Antimonate Removal from Polluted Mining Water by Calcined Layered Double Hydroxides
Abstract
:1. Introduction
2. Materials and Methods
2.1. LDHs Synthesis and Calcination
2.2. Sorption Experiments
2.2.1. Effect of Coexistent Anions
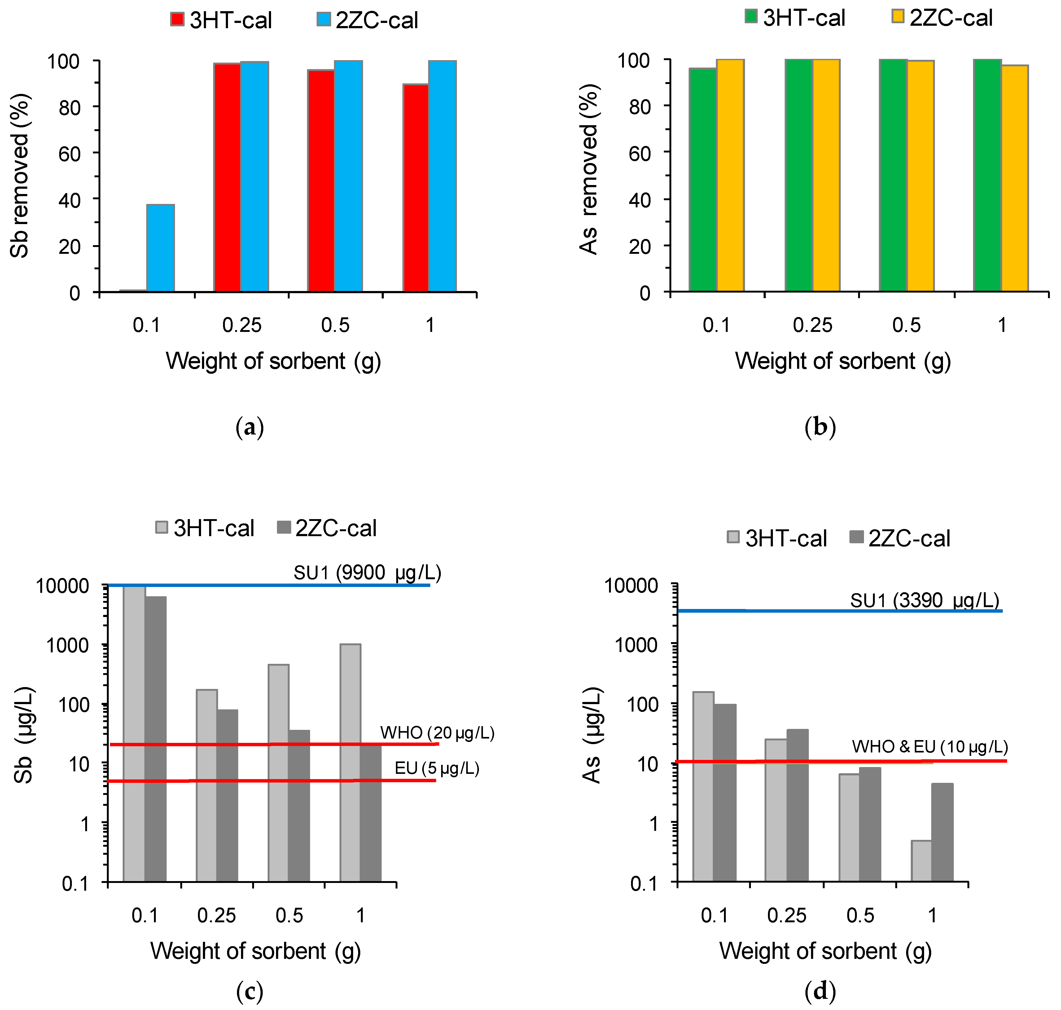
2.2.2. Sorption Experiments with Su Suergiu Mine Drainage
2.3. Mineralogical Characterization
3. Results
3.1. Effect of Coexistent Anions on Sb(V) Removal
3.1.1. Sorptive Competition
3.1.2. Kinetics
3.1.3. Characterization of Sorbents
3.2. Sorption Experiments with Su Suergiu Mine Drainage (SU1)
3.2.1. Solutions
3.2.2. Sorbents
4. Discussion
4.1. Effect of Coexistent Anions
4.2. Sorption Experiments with Su Suergiu Mine Drainage (SU1)
5. Conclusions
Supplementary Materials
Author Contributions
Funding
Acknowledgments
Conflicts of Interest
References
- Filella, M.; Belzile, N.; Chen, Y.W. Antimony in the environment: A review focused on natural waters I. Occurrence. Earth Sci. Rev. 2002, 57, 125–176. [Google Scholar] [CrossRef]
- WHO. World Health Organization: Guidelines for Drinking Water Quality, 4th ed.; WHO: Geneva, Switzerland, 2011. [Google Scholar]
- Council of the European Union. Council Directive 98/83/EC of 3 November 1998 on the quality of water intended for human consumption. Off. J. Eur. Communities 1998, 330, 35–54. [Google Scholar]
- Filella, M.; Belzile, N.; Chen, Y.W.; Quentel, F. Antimony in the environment: A review focused on natural waters II. Relevant solution chemistry. Earth Sci. Rev. 2002, 59, 265–285. [Google Scholar] [CrossRef]
- Reimann, C.; Matschullat, J.; Birke, M.; Salminen, R. Antimony in the environment: Lessons from geochemical mapping. Appl. Geochem. 2010, 25, 175–198. [Google Scholar] [CrossRef]
- Cidu, R.; Dore, E.; Biddau, R.; Nordstrom, D.K. Fate of Antimony and Arsenic in Contaminated Waters at the Abandoned Su Suergiu Mine (Sardinia, Italy). Mine Water Environ. 2018, 37, 151–165. [Google Scholar] [CrossRef]
- He, M.; Wang, X.; Wu, F.; Fu, Z. Antimony pollution in China. Sci. Total. Environ. 2012, 421, 41–50. [Google Scholar] [CrossRef]
- Okkenhaug, G.; Gebhardt, K.H.G.; Amstaetter, K.; Bue, H.L.; Herzel, H.; Mariussen, E.; Almas, Å.R.; Cornelissen, G.; Breedveld, G.; Rasmussen, G.; et al. Antimony (Sb) and lead (Pb) in contaminated shooting range soils: Sb and Pb mobility and immobilization by iron based sorbents, a field study. J. Hazard. Mater. 2016, 307, 336–343. [Google Scholar] [CrossRef] [PubMed]
- Li, J.; Zheng, B.; He, Y.; Zhou, Y.; Chen, X.; Ruan, S.; Yang, Y.; Dai, C.; Tang, L. Antimony contamination, consequences and removal techniques: A review. Ecotox. Environ. Saf. 2018, 156, 125–134. [Google Scholar] [CrossRef]
- Guo, X.; Wu, Z.; He, M. Removal of antimony (V) and antimony (III) from drinking water by coagulation-flocculation-sedimentation (CFS). Water Res. 2009, 43, 4327–4335. [Google Scholar] [CrossRef]
- Bergmann, M.E.H.; Koparal, A.S. Electrochemical antimony removal from accumulator acid: Results from removal trials in laboratory cells. J. Hazard. Mater. 2011, 196, 59–65. [Google Scholar] [CrossRef]
- Zhu, J.; Wu, F.; Pan, X.; Guo, J.; Wen, D. Removal of antimony from antimony mine flotation wastewater by electrocoagulation with aluminum electrodes. J. Environ. Sci. 2011, 23, 1066–1071. [Google Scholar] [CrossRef]
- Ma, B.; Wang, X.; Liu, R.; Jefferson, W.A.; Lan, H.; Liu, H.; Qu, J. Synergistic process using Fe hydrolytic flocs and ultrafiltration membrane for enhanced antimony (V) removal. J. Membr. Sci. 2017, 537, 93–100. [Google Scholar] [CrossRef]
- Saito, T.; Tsuneda, S.; Hirata, A.; Nishiyama, S.; Saito, K.; Saito, K.; Sugita, K.; Uezu, K.; Tamada, M.; Sugo, T. Removal of antimony (III) using polyol-ligand-containing porous hollow-fiber membranes. Sep. Sci. Technol. 2010, 39, 3011–3022. [Google Scholar] [CrossRef]
- Leuz, A.K.; Mönch, H.; Johnson, C.A. Sorption of Sb(III) and Sb(V) to goethite: Influence on Sb(III) oxidation and mobilization. Environ. Sci. Technol. 2006, 40, 7277–7282. [Google Scholar] [CrossRef] [PubMed]
- Rakshit, S.; Sarkar, D.; Punamiya, P.; Datta, R. Antimony sorption at gibbsite-water interface. Chemosphere 2011, 84, 480–483. [Google Scholar] [CrossRef] [PubMed]
- Thanabalasingam, P.; Pickering, W.F. Specific sorption of antimony (III) by the hydrous oxides of Mn, Fe and Al. Water Air Soil Poll. 1990, 49, 175–185. [Google Scholar] [CrossRef]
- Watkins, R.; Weiss, D.; Dubbin, W.; Peel, K.; Coles, B.; Arnold, T. Investigation into the kinetics and thermodynamics of Sb(III) adsorption on goethite (α-FeOOH). J. Colloid Interf. Sci. 2006, 303, 639–646. [Google Scholar] [CrossRef]
- Liu, Y.; Wu, P.; Liu, F.; Li, F.; An, X.; Liu, J.; Wang, Z.; Shen, C.; Sand, W. Electroactive modified carbon nanotube filter for simultaneous detoxification and sequestration of Sb(III). Environ. Sci. Technol. 2019, 53, 1527–1535. [Google Scholar] [CrossRef]
- Luo, J.; Luo, X.; Critteden, J.; Qu, J.; Bai, Y.; Peng, Y.; Li, J. Removal of antimonite (Sb(III)) and antimonate (Sb(V)) from aqueous solution using carbon nanofibers that are decorated with zirconium oxide (ZrO2). Environ. Sci. Technol. 2015, 49, 11115–11124. [Google Scholar] [CrossRef]
- Wang, L.; Wang, J.; Wang, Z.; He, C.; Lyu, W.; Yan, W.; Yang, L. Enhanced antimonate (Sb(V)) removal from aqueous solution by La-doped magnetic biochars. Chem. Eng. J. 2018, 354, 623–632. [Google Scholar] [CrossRef]
- Wang, L.; Wang, J.; Wang, Z.; Feng, J.; Li, S.; Yan, W. Synthesis of Ce-doped magnetic biochar for effective Sb(V) removal: Performance and mechanism. Powder Technol. 2019, 345, 501–508. [Google Scholar] [CrossRef]
- Goh, K.H.; Lim, T.T.; Dong, Z. Application of layered double hydroxides for removal of oxyanions: A review. Water Res. 2008, 42, 1343–1368. [Google Scholar] [CrossRef] [PubMed]
- Cavani, F.; Trifirò, F.; Vaccari, A. Hydrotalcite-type anionic clays: Preparation, properties and applications. Catal. Today 1991, 11, 173–301. [Google Scholar] [CrossRef]
- Mills, S.J.; Christy, A.G.; Génin, J.-M.R.; Kameda, T.; Colombo, F. Nomenclature of the hydrotalcite supergroup: Natural layered double hydroxides. Mineral. Mag. 2012, 76, 1289–1336. [Google Scholar] [CrossRef]
- Carriazo, D.; del Arco, M.; Martín, C.; Rives, V. A comparative study between chloride and calcined carbonate hydrotalcites as adsorbent for Cr(VI). Appl. Clay Sci. 2007, 37, 231–239. [Google Scholar] [CrossRef]
- Wang, S.L.; Cheng, H.L.; Ming, K.W.; Chuang, Y.H.; Chiang, P.N. Arsenate adsorption by Mg/Al-NO3 layered double hydroxides with varying the Mg/Al ratio. Appl. Clay Sci. 2009, 43, 79–85. [Google Scholar] [CrossRef]
- You, Y.W.; Vance, G.F.; Zhao, H.T. Selenium adsorption on Mg-Al and Zn-Al layered double hydroxides. Appl. Clay Sci. 2001, 20, 13–25. [Google Scholar] [CrossRef]
- Iftekhar, S.; Küçük, M.E.; Srivastava, V.; Repo, E.; Sillanpää, M. Application of zinc-aluminium layered double hydroxides for adsorptive removal of phosphate and sulfate: Equilibrium, kinetic and thermodynamic. Chemosphere 2018, 209, 470–479. [Google Scholar] [CrossRef]
- Kameda, T.; Honda, M.; Yoshioka, T. Removal of antimonate ions and simultaneous formation of a brandholzite-like compound from magnesium-aluminum oxide. Sep. Purif. Technol. 2011, 80, 235–239. [Google Scholar] [CrossRef]
- Kameda, T.; Nakamura, M.; Yoshioka, T. Removal of antimonate ions from an aqueous solution by anion exchange with magnesium-aluminum layered double hydroxides and the formation of a brandholzite-like structure. J. Environ. Sci. Heal. A 2012, 47, 1146–1151. [Google Scholar] [CrossRef]
- Kameda, T.; Kondo, E.; Yoshioka, T. Equilibrium and kinetics studies on As(V) and Sb(V) removal by Fe2+-doped Mg-Al layered double hydroxides. J. Environ. Manag. 2015, 151, 303–309. [Google Scholar] [CrossRef] [PubMed]
- Ardau, C.; Frau, F.; Lattanzi, P. Antimony removal from aqueous solutions by the use of Zn-Al sulphate Layered Double Hydroxide. Water Air Soil Poll. 2016, 227, 344. [Google Scholar] [CrossRef]
- Lu, H.; Zhu, Z.; Zhang, H.; Zhu, J.; Qiu, Y. Simultaneous removal of arsenate and antimonate in simulated and practical water samples by adsorption onto Zn/Fe layered double hydroxide. Chem. Eng. J. 2015, 276, 365–375. [Google Scholar] [CrossRef]
- Cao, D.; Zeng, H.; Yang, B.; Zhao, X. Mn assisted electrochemical generation of two-dimensional Fe-Mn layered double hydroxides for efficient Sb(V) removal. J. Hazard. Mater. 2017, 336, 33–40. [Google Scholar] [CrossRef] [PubMed]
- Dore, E.; Frau, F. Antimonate uptake by calcined and uncalcined layered double hydroxides: Effect of cationic composition and M2+/M3+ molar ratio. Environ. Sci. Pollut. Res. 2018, 25, 916–929. [Google Scholar] [CrossRef] [PubMed]
- Cidu, R.; Biddau, R.; Dore, E.; Vacca, A.; Marini, L. Antimony in the soil-water-plant system at the Su Suergiu abandoned mine (Sardinia, Italy): Strategies to mitigate contamination. Sci. Total. Environ. 2014, 497, 319–331. [Google Scholar] [CrossRef] [PubMed]
- Lagergren, S. About the theory of so-called adsorption of soluble substances. K. Sven. Vetensk. Handl. 1898, 24, 1–39. [Google Scholar]
- Ho, Y.S.; McKay, G. A comparison of chemisorption kinetic models applied to pollutant removal on various sorbents. Process. Saf. Environ. 1998, 76, 332–340. [Google Scholar] [CrossRef]
- Lozano, R.P.; Rossi, C.; La Iglesia, Á.; Matesanz, E. Zaccagnaite-3R, a new Zn-Al polytype from El Soplao cave (Cantabria, Spain). Am. Minerol. 2012, 97, 513–523. [Google Scholar] [CrossRef]
- Zhang, Y.; Li, X. Preparation of Zn-Al CLDH to remove bromate from drinking water. J. Environ. Eng. Asce 2014, 140, 04014018. [Google Scholar] [CrossRef]
- Bonaccorsi, E.; Merlino, S.; Orlandi, P. Zincalstibite, a new mineral, and cualstibite: Crystal chemical and structural relationships. Am. Minerol. 2007, 92, 198–203. [Google Scholar] [CrossRef]
- Friedrich, A.; Wildner, M.; Tillmanns, E.; Merz, P.L. Cristal chemistry of the new mineral brandholzite, Mg(H2O)6[Sb(OH)6]2, and of the synthetic analogues M2+(H2O)6[Sb(OH)6]2 (M2+ = Mg, Co). Am. Minerol. 2000, 85, 593–599. [Google Scholar] [CrossRef]
- Cidu, R.; Biddau, R.; Dore, E. Determination of traces of Sb(III) using ASV in Sb-rich water samples affected by mining. Anal. Chim. Acta 2015, 854, 34–39. [Google Scholar] [CrossRef] [PubMed]
- Türk, T.; Alp, I.; Deveci, H. Adsorption of As(V) from water using Mg–Fe-based hydrotalcite (FeHT). J. Hazard. Mater. 2009, 17, 1665–1670. [Google Scholar] [CrossRef] [PubMed]
- Lee, S.H.; Tanaka, M.; Takahashi, Y.; Kim, K.W. Enhanced adsorption of arsenate and antimonate by calcined Mg/Al layered double hydroxide: Investigation of comparative adsorption mechanism by surface characterization. Chemosphere 2018, 211, 903–911. [Google Scholar] [CrossRef] [PubMed]
- Ardau, C.; Frau, F.; Lattanzi, P. New data on arsenic sorption properties of Zn-Al sulphate layered double hydroxides: Influence of competition with other anions. App. Clay Sci. 2013, 80, 1–9. [Google Scholar] [CrossRef]
- Ardau, C.; Frau, F.; Ricci, P.C.; Lattanzi, P. Sulphate-arsenate exchange properties of Zn-Al layered double hydroxides: Preliminary data. Period. Minerol. 2011, 80, 339–349. [Google Scholar]
- GURI. Decreto Legislativo 3 Aprile 2006, n. 152, Norme in Materia Ambientale; Gazzetta Ufficiale della Repubblica Italiana: Roma, Italia, 2006. Suppl. ord. n. 96. (In Italian)
- Bhaumik, A.; Samanta, S.; Mal, N.K. Efficient removal of arsenic from polluted ground water by using a layered double hydroxide exchanger. Indian J. Chem. A 2005, 44, 1406–1409. [Google Scholar]
- Dessalegne, M.; Zewge, F.; Pfenninger, N.; Johnson, C.A.; Diaz, I. Layered double hydroxide and its calcined product for fluoride removal from groundwater of Ethiopian Rift Valley. Water Air Soil Pollut. 2016, 227, 381. [Google Scholar] [CrossRef]
- Dore, E.; Frau, F. Calcined and uncalcined carbonate layered double hydroxides for possible water defluoridation in rural communities of the East African Rift Valley. J. Water Process. Eng. 2019, 31, 100855. [Google Scholar] [CrossRef]
- Kuzawa, K.; Jung, Y.J.; Kiso, Y.; Yamada, T.; Nagai, M.; Lee, T.G. Phosphate removal and recovery with a synthetic hydrotalcite as an adsorbent. Chemosphere 2006, 62, 45–52. [Google Scholar] [CrossRef] [PubMed]
- Lazaridis, N.K.; Pandi, T.A.; Matis, K.A. Chromium(VI) removal from aqueous solutions by Mg–Al–CO3 hydrotalcite: Sorption–desorption kinetic and equilibrium studies. Ind. Eng. Chem. Res. 2004, 43, 2209–2215. [Google Scholar] [CrossRef]
- Lee, S.H.; Choi, H.; Kim, K.W. Removal of As(V) and Sb(V) in water using magnetic nanoparticle-supported layered double hydroxide nanocomposites. J. Geochem. Explor. 2018b, 184, 247–254. [Google Scholar] [CrossRef]






| Sample | Zn | Al | M2+/M3+ | Sample | Mg | Al | Fe3+ | M2+/M3+ |
|---|---|---|---|---|---|---|---|---|
| mmol/g | mmol/g | Molar Ratio | mmol/g | mmol/g | mmol/g | Molar Ratio | ||
| 2ZC-CO3 | 6.8 | 3.2 | 2.1 | 3HT-CO3 | 7.4 | 1.3 | 1.4 | 2.8 |
| 2ZC-cal | 9.0 | 4.1 | 2.2 | 3HT-cal | 12.5 | 2.2 | 2.3 | 2.8 |
| Sample | Experiment | Time | pH | Sb(OH)6− | Sb(OH)6− | An− | An− | Zn | Al |
|---|---|---|---|---|---|---|---|---|---|
| removed | removed | ||||||||
| h | mmol/L | % | mmol/L | % | mmol/L | ||||
| 2ZC-cal | Sb | 0 | 5.1 | 1.02 | 0 | 0 | |||
| 48 | 8.5 | 0.15 | 85 | <dl | <dl | ||||
| Sb/HCO3 | 0 | 8.2 | 1.03 | 1.09 | 0 | 0 | |||
| 48 | 8.7 | 0.24 | 77 | na | na | <dl | <dl | ||
| Sb/SO4 | 0 | 5.2 | 1.01 | 1.08 | 0 | 0 | |||
| 48 | 9.5 | 0.22 | 79 | 1.04 | 4 | <dl | <dl | ||
| Sb/HAsO4 | 0 | 8.6 | 1.02 | 1.03 | 0 | 0 | |||
| 48 | 8.1 | 0.93 | 8.6 | 0.87 | 16 | 0.02 | <dl | ||
| Sample | Experiment | Time | pH | Sb(OH)6− | Sb(OH)6− | An− | An− | Mg | Al | Fe |
|---|---|---|---|---|---|---|---|---|---|---|
| removed | removed | |||||||||
| mmol/L | % | mmol/L | % | mmol/L | ||||||
| 3HT-cal | Sb | 0 | 5.2 | 1.03 | 0 | 0 | 0 | |||
| 48 | 9.3 | 0.29 | 72 | 0.20 | <dl | <dl | ||||
| Sb/HCO3 | 0 | 8.3 | 1.02 | 1.05 | 0 | 0 | 0 | |||
| 48 | 9.5 | 0.51 | 50 | na | na | 0.22 | <dl | <dl | ||
| Sb/SO4 | 0 | 5.1 | 1.03 | 1.08 | 0 | 0 | 0 | |||
| 48 | 9.1 | 0.28 | 73 | 1.06 | 2 | 0.33 | <dl | <dl | ||
| Sb/HAsO4 | 0 | 8.6 | 1.03 | 1.02 | 0 | 0 | 0 | |||
| 48 | 9.8 | 0.99 | 3.7 | 0.43 | 57 | 0.19 | <dl | <dl | ||
| Sample | Experiment | Pseudo-First Order Kinetic Model | Pseudo-Second Order Kinetic Model | |||||
|---|---|---|---|---|---|---|---|---|
| qe | qcalc | k1 | r2 | qcalc | k2 | r2 | ||
| mmol/g | mmol/g | 1/h | mmol/g | g/mmol h | ||||
| 2ZC-cal | Sb | 3.47 | 1.86 | 0.093 | 0.848 | 3.52 | 0.235 | 0.999 |
| Sb/HCO3 | 3.18 | 1.59 | 0.052 | 0.631 | 3.19 | 0.196 | 0.992 | |
| Sb/SO4 | 3.17 | 1.86 | 0.080 | 0.856 | 3.23 | 0.186 | 0.997 | |
| Sb/HAsO4 | 0.35 | 4.78 | 0.068 | 0.754 | 0.36 | 1.568 | 0.992 | |
| 3HT-cal | Sb | 2.94 | 1.51 | 0.143 | 0.761 | 3.02 | 0.272 | 0.999 |
| Sb/HCO3 | 2.04 | 1.13 | 0.074 | 0.641 | 2.07 | 0.303 | 0.997 | |
| Sb/SO4 | 2.99 | 1.58 | 0.137 | 0.738 | 3.08 | 0.231 | 0.999 | |
| Sb/HAsO4 | 0.15 | 0.16 | 12.9 | 0.995 | ||||
| SU1 | SU1 + 2ZC-cal | SU1 + 3HT-cal | ||||||||
|---|---|---|---|---|---|---|---|---|---|---|
| Weight of Sorbent (g) | Weight of Sorbent (g) | |||||||||
| 0.1 | 0.25 | 0.5 | 1 | 0.1 | 0.25 | 0.5 | 1 | |||
| EC | mS/cm | 2.40 | 2.33 | 2.24 | 2.14 | 2.04 | 2.24 | 2.12 | 1.99 | 1.75 |
| pH | 8.2 | 8.1 | 8.1 | 8.0 | 7.9 | 8.4 | 9.2 | 9.4 | 9.7 | |
| SO4 | mg/L | 1000 | 1080 | 1050 | 1000 | 960 | 1070 | 1050 | 960 | 770 |
| HCO3 | mg/L | 485 | 252 | 169 | 125 | 80 | 127 | 48 | 29 | 18 |
| Cl | mg/L | 59 | 64 | 65 | 63 | 63 | 64 | 64 | 63 | 63 |
| NO3 | mg/L | 0.6 | 4.4 | 0.7 | 1.3 | 0.6 | 1.4 | 1.9 | 3.5 | 6.3 |
| F | mg/L | 1.7 | 1.6 | 1.1 | 0.5 | 0.3 | 0.8 | 0.4 | 0.1 | 0.1 |
| Ca | mg/L | 362 | 278 | 264 | 234 | 244 | 131 | 68 | 80 | 129 |
| Mg | mg/L | 63 | 62 | 56 | 45 | 25 | 120 | 140 | 109 | 59 |
| Na | mg/L | 166 | 168 | 161 | 167 | 163 | 166 | 166 | 166 | 162 |
| K | mg/L | 4.7 | 4.4 | 4.4 | 4.8 | 4.3 | 4.7 | 4.6 | 4.8 | 4.6 |
| Zn | μg/L | 30 | 1490 | 174 | 260 | 242 | <20 | <20 | <20 | <20 |
| Al | μg/L | <30 | 78 | 105 | 67 | <30 | 700 | <30 | <30 | <30 |
| Fe | μg/L | <20 | <20 | <20 | <20 | <20 | <20 | <20 | <20 | <20 |
| Sb | μg/L | 9900 | 6190 | 78 | 34 | 20 | 9830 | 170 | 430 | 1000 |
| As | μg/L | 3390 | 92 | 35 | 8.3 | 4.5 | 150 | 25 | 6.5 | <0.5 |
© 2019 by the authors. Licensee MDPI, Basel, Switzerland. This article is an open access article distributed under the terms and conditions of the Creative Commons Attribution (CC BY) license (http://creativecommons.org/licenses/by/4.0/).
Share and Cite
Dore, E.; Frau, F.; Cidu, R. Antimonate Removal from Polluted Mining Water by Calcined Layered Double Hydroxides. Crystals 2019, 9, 410. https://doi.org/10.3390/cryst9080410
Dore E, Frau F, Cidu R. Antimonate Removal from Polluted Mining Water by Calcined Layered Double Hydroxides. Crystals. 2019; 9(8):410. https://doi.org/10.3390/cryst9080410
Chicago/Turabian StyleDore, Elisabetta, Franco Frau, and Rosa Cidu. 2019. "Antimonate Removal from Polluted Mining Water by Calcined Layered Double Hydroxides" Crystals 9, no. 8: 410. https://doi.org/10.3390/cryst9080410
APA StyleDore, E., Frau, F., & Cidu, R. (2019). Antimonate Removal from Polluted Mining Water by Calcined Layered Double Hydroxides. Crystals, 9(8), 410. https://doi.org/10.3390/cryst9080410

