Vertical Liquid Crystal Alignment of Comb-Like Alkyl Hydroxybenzoate-Substituted Polystyrene
Abstract
1. Introduction
2. Materials and Methods
2.1. Materials
2.2. Preparation of Alkyl Hydroxybenzoate-Modified Polystyrene
2.3. Preparation of Films and LC Cell Assembly
2.4. Instrumentation
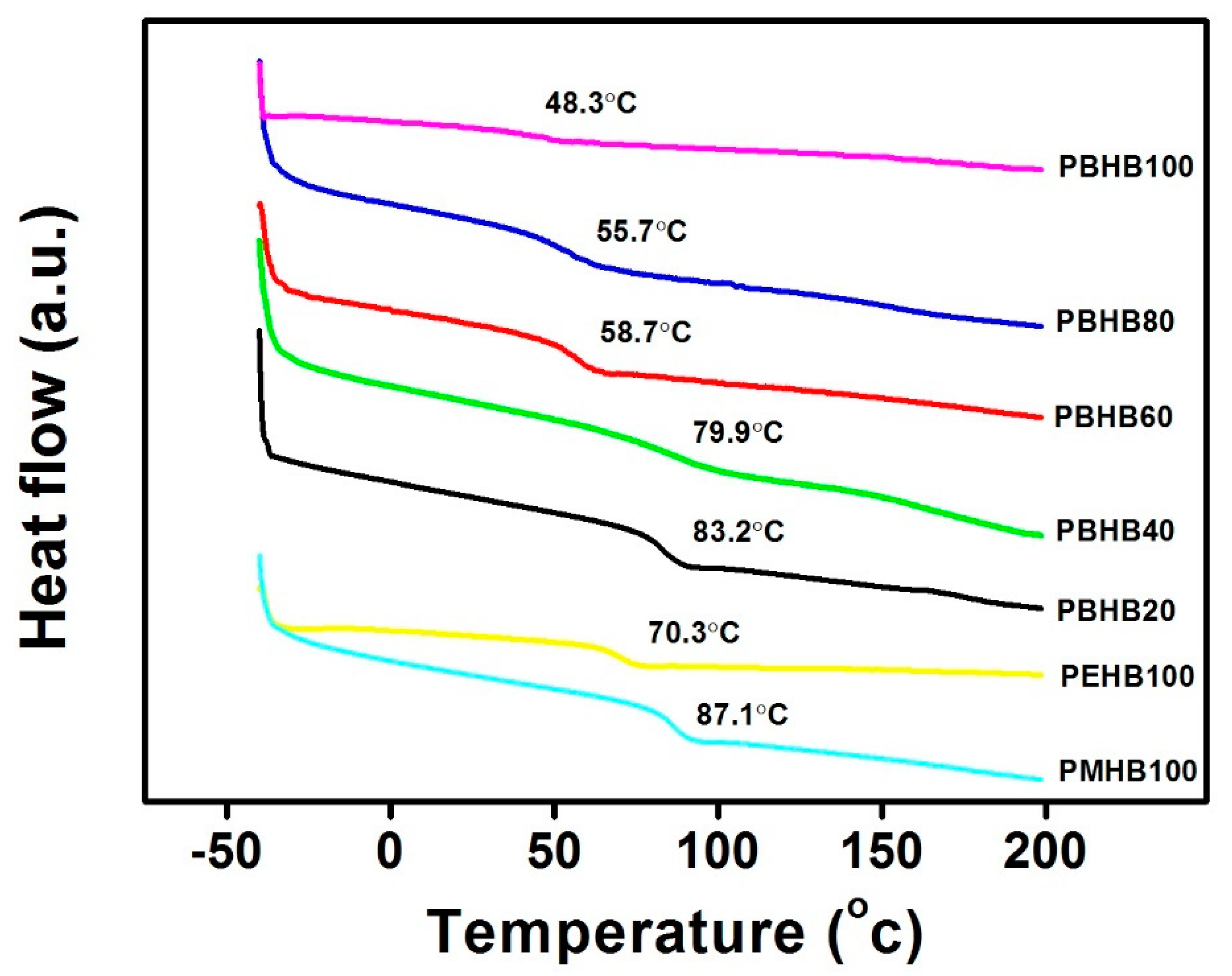
3. Results and Discussion
4. Conclusions
Author Contributions
Funding
Conflicts of Interest
References
- Chandrasekhar, S. Liquid Crystals, 2nd ed.; Cambridge University Press: Cambridge, UK, 1992; ISBN 978-0521417471. [Google Scholar]
- Meyer, R.B. Effects of electric and magnetic fields on the structure of cholesteric liquid crystals. Appl. Phys. Lett. 1968, 12, 281–282. [Google Scholar] [CrossRef]
- Brostow, W.; Hagg Lobland, H.E. Materials: Introduction and Applications, 1st ed.; John Wiley & Sons: Chichester, UK, 2017; pp. 242–246. ISBN 978-0-470-52379-7. [Google Scholar]
- Baetens, R.; Jelle, B.P.; Gustavsen, A. Properties, requirements and possibilities of smart windows for dynamic daylight and solar energy control in buildings: A state-of-the-art review. Sol. Energy Mater. Sol. Cells 2010, 94, 87–105. [Google Scholar] [CrossRef]
- Mori, H.; Itoh, Y.; Nishiura, Y.; Nakamura, T.; Shinagawa, T. Performance of a novel optical compensation film based on negative birefringence of discotic compound for wide-viewing-angle twisted-nematic liquid-crystal displays. Jpn. J. Appl. Phys. 1997, 36, 143–147. [Google Scholar] [CrossRef]
- Bisoyi, H.K.; Kumar, S. Liquid-crystal nanoscience: an emerging avenue of soft self-assembly. Chem. Soc. Rev. 2011, 40, 306–319. [Google Scholar] [CrossRef] [PubMed]
- Woltman, S.J.; Jay, G.D.; Crawford, G.P. Liquid-crystal materials find a new order in biomedical applications. Nat. Mater. 2007, 6, 929–938. [Google Scholar] [CrossRef] [PubMed]
- Kato, T.; Yoshio, M.; Ichikawa, T.; Soberats, B.; Ohno, H.; Funahashi, M. Transport of ions and electrons in nanostructured liquid crystals. Nat. Rev. Mater. 2017, 2, 1–20. [Google Scholar] [CrossRef]
- Kumar, M.; Kumar, S. Liquid crystals in photovoltaics: a new generation of organic photovoltaics. Polym. J. 2017, 49, 85–111. [Google Scholar] [CrossRef]
- Stöhr, J.; Samant, M.G.; Cossy-Favre, A.; Diaz, J.; Momoi, Y.; Odahara, S.; Nagata, T. Microscopic origin of liquid crystal alignment on rubbed polymer surfaces. Macromolecules 1998, 31, 1942–1946. [Google Scholar] [CrossRef]
- Bremer, M.; Kirsch, P.; Klasen-Memmer, M.; Tarumi, K. The TV in your pocket: Development of liquid-crystal materials for the new millennium. Angew. Chem. Int. Ed. 2013, 52, 8880–8896. [Google Scholar] [CrossRef] [PubMed]
- Yang, D.-K.; Wu, S.-T. Fundamentals of Liquid Crystal Devices, 2nd ed.; John Wiley & Sons: Chichester, UK, 2014; p. 263. ISBN 978-1118752005. [Google Scholar]
- Jeong, H.S.; Woo, S.W.; Kim, S.S.; Choi, B.D. Liquid crystal display black light leakage correlation between VA and IPS by curvature. In Proceedings of the 2014 21st International Workshop on Active-Matrix Flatpanel Displays and Devices (AM-FPD), Kyoto, Japan, 2–4 July 2014. [Google Scholar]
- Kang, H.; Hong, H.; Kim, D.-G.; Shon, E.-H.; Shim, J.; Kang, D.; Lee, J.-C. Liquid crystal alignment behaviours on poly(methyl methacrylate) having polyhedral oligomeric silsesquioxane groups. Liq. Cryst. 2015, 42, 32–40. [Google Scholar] [CrossRef]
- Kang, H.; Choi, Y.-S.; Hong, H.; Ko, T.; Kang, D.; Lee, J.-C. Vertical alignment of liquid crystals on polymer films containing renewable cardanol moieties. Eur. Polym. J. 2014, 61, 13–22. [Google Scholar] [CrossRef]
- Kang, H.; Park, J.S.; Sohn, E.-H.; Kang, D.; Rosenblatt, C.; Lee, J.-C. Polyimide blend alignment layers for control of liquid crystal pretilt angle through baking. Polymer 2009, 50, 5220–5227. [Google Scholar] [CrossRef]
- Chang, C.-J.; Tseng, I.-H.; Lin, Y.-C.; Wu, B.-S.; Liang, B.-J.; Tsai, M.-H. Soluble polyimide films as alignment layers for bistable chiral-tilted homeotropic nematic liquid crystal display applications. Thin Solid Films 2013, 544, 74–78. [Google Scholar] [CrossRef]
- Lee, S.B.; Shin, G.J.; Chi, J.H.; Zin, W.-C.; Jung, J.C.; Hahm, S.G.; Ree, M.; Chang, T. Synthesis, characterization and liquid-crystal-aligning properties of novel aromatic polypyromellitimides bearing (n-alkyloxy)biphenyloxy side chains. Polymer 2006, 47, 6606–6621. [Google Scholar] [CrossRef]
- Takatoh, K.; Sakamoto, M.; Hasegawa, R.; Koden, M.; Itoh, N.; Hasegawa, M. Alignment Technologies and Applications of Liquid Crystal Devices, 1st ed.; CRC Press: Boca Raton, FL, USA, 2005; ISBN 978-0748409020. [Google Scholar]
- Ichimura, K. Photoalignment of liquid-crystal systems. Chem. Rev. 2000, 100, 1847–1874. [Google Scholar] [CrossRef]
- Stöhr, J.; Samant, M.G. Liquid crystal alignment by rubbed polymer surfaces: A microscopic bond orientation model. J. Electron. Spectrosc. Relat. Phenom. 1999, 98–99, 189–207. [Google Scholar] [CrossRef]
- Schadt, M. Liquid crystal materials and liquid crystal displays. Annu. Rev. Mater. Sci. 1997, 27, 305–379. [Google Scholar] [CrossRef]
- Natansohn, A.; Rochon, P. Photoinduced motions in azo-containing polymers. Chem. Rev. 2002, 102, 4139–4176. [Google Scholar] [CrossRef] [PubMed]
- Ree, M. High performance polyimides for applications in microelectronics and flat panel displays. Macromol. Res. 2006, 14, 1–33. [Google Scholar] [CrossRef]
- Ghosh, M.K.; Mittal, K.L. Polyimides: Fundamentals and Applications, 1st ed.; Marcel Dekker: New York, NY, USA, 1996; ISBN 9780824794668. [Google Scholar]
- Feller, M.B.; Chen, W.; Shen, T.R. Investigation of surface-induced alignment of liquid-crystal molecules by optical second-harmonic generation. Phys. Rev. A 1991, 43, 6778–6792. [Google Scholar] [CrossRef]
- Van Aerle, N.A.J.M.; Tol, A.J.W. Molecular orientation in rubbed polyimide alignment layers used for liquid-crystal displays. Macromolecules 1994, 27, 6520–6526. [Google Scholar] [CrossRef]
- Lee, K.-W.; Paek, S.-H.; Lien, A.; Durning, C.; Fukuro, H. Microscopic molecular reorientation of alignment layer polymer surfaces induced by rubbing and its effects on LC pretilt angles. Macromolecules 1996, 29, 8894–8899. [Google Scholar] [CrossRef]
- Weiss, K.; Woll, C.; Böhm, E.; Fiebranz, B.; Forstmann, G.; Peng, B.; Scheumann, V.; Johannsmann, D. Molecular orientation at rubbed polyimide surfaces determined with X-ray absorption spectroscopy: Relevance for liquid crystal alignment. Macromolecules 1998, 31, 1930–1936. [Google Scholar] [CrossRef]
- Meister, R.; Jérôme, B. The conformation of a rubbed polyimide. Macromolecules 1999, 32, 480–486. [Google Scholar] [CrossRef]
- Ge, J.J.; Li, C.Y.; Xue, G.; Mann, I.K.; Zhang, D.; Wang, S.-Y.; Harris, F.W.; Cheng, S.Z.D.; Hong, S.-C.; Zhuang, X.; Shen, Y.R. Rubbing-induced molecular reorientation on an alignment surface of an aromatic polyimide containing cyanobiphenyl side chains. J. Am. Chem. Soc. 2001, 123, 5768–5776. [Google Scholar] [CrossRef]
- Kim, D.; Oh-e, M.; Shen, Y.R. Rubbed polyimide surface studied by sum-frequency vibrational spectroscopy. Macromolecules 2001, 34, 9125–9129. [Google Scholar] [CrossRef]
- Vaughn, K.E.; Sousa, M.; Kang, D.; Rosenblatt, C. Continuous control of liquid crystal pretilt angle from homeotropic to planar. Appl. Phys. Lett. 2007, 90, 194102. [Google Scholar] [CrossRef]
- Lee, S.W.; Kim, S.I.; Park, Y.H.; Reea, M.; Rim, Y.N.; Yoon, H.J.; Kim, H.C.; Kim, Y.B. Liquid-crystal alignment on the rubbed film surface of semi-flexible copolyimides containing n-Alkyl side groups. Mol. Cryst. Liq. Cryst. 2000, 349, 279–282. [Google Scholar] [CrossRef]
- Lee, Y.J.; Kim, Y.W.; Ha, J.D.; Oh, J.M.; Yi, M.H. Synthesis and characterization of novel polyimides with 1-octadecyl side chains for liquid crystal alignment layers. Polym. Adv. Technol. 2007, 18, 226–234. [Google Scholar] [CrossRef]
- Lee, S.W.; Chae, B.; Lee, B.; Choi, W.; Kim, S.B.; Kim, S.I.; Park, S.-M.; Jung, J.C.; Lee, K.H.; Ree, M. Rubbing-induced surface morphology and polymer segmental reorientations of a model brush polyimide and interactions with liquid crystals at the surface. Chem. Mater. 2003, 15, 3105–3112. [Google Scholar] [CrossRef]
- Kang, H.; Park, J.S.; Kang, D.; Lee, J.-C. Liquid crystal alignment property of n-alkylthiomethyl- or n-alkylsulfonylmethyl-substituted polystyrenes. Polym. Adv. Technol. 2009, 20, 878–886. [Google Scholar] [CrossRef]
- Kang, H.; Kim, T.-H.; Kang, D.; Lee, J.-C. 4-Alkylphenoxymethyl-substituted polystyrenes for liquid crystal alignment layers. Macromol. Chem. Phys. 2009, 210, 926–935. [Google Scholar] [CrossRef]
- De Croo, F.; de Schutter, J.; van den Bossche, W.; de Moerloose, P. Gas chromatographic determination of parabens in various pharmaceutical dosage forms. Chromatographia 1984, 18, 260–264. [Google Scholar] [CrossRef]
- Lin, H.-J.; Choong, Y.-M. A simple method for the simultaneous determination of various preservatives in liquid foods. J. Food Drug Anal. 1999, 7, 291–304. [Google Scholar]
- Heo, Y.J.; Lee, K.-J. Application of micellar electrokinetic capillary chromatography for the determination of benzoic acid and its esters in liquid formula medicines as preservatives. J. Pharm. Biomed. Anal. 1998, 17, 1371–1379. [Google Scholar] [CrossRef]
- Wang, S.-P.; Chang, C.-L. Determination of parabens in cosmetic products by supercritical fluid extraction and capillary zone electrophoresis. Anal. Chim. Acta 1998, 377, 85–93. [Google Scholar] [CrossRef]
- Lin, Y.H.; Chou, S.S.; Sheu, F.; Shyu, Y.Y. Simultaneous determination of sweeteners and preservatives in preserved fruits by micellar electrokinetic capillary chromatography. J. Chromatogr. Sci. 2000, 38, 345–352. [Google Scholar] [CrossRef] [PubMed]
- Burini, G. Determination of the alkyl esters of p-hydroxybenzoic acid in mayonnaise by high-performance liquid chromatography and fluorescence labelling. J. Chromatogr. A 1994, 664, 213–219. [Google Scholar] [CrossRef]
- Rastogi, S.C.; Schouten, A.; de Kruijf, N.; Weijland, J.W. Contents of methyl-, ethyl-, propyl-, butyl- and benzylparaben in cosmetic products. Contact Dermatitis 1995, 32, 28–30. [Google Scholar] [CrossRef]
- Ellepola, A.N.B.; Khan, Z.U.; Chandy, R.; Philip, L. A comparison of the antifungal activity of herbal Toothpastes against other brands of toothpastes on clinical isolates of Candida albicans and Candida dubliniensis. Med. Princ. Pract. 2011, 20, 112–117. [Google Scholar] [CrossRef]
- Scott, A.I.; Stolowich, N.J.; Williams, H.J.; Gonzalez, M.D.; Roessner, C.A.; Grant, S.K.; Pichon, C. Concerning the catalytic site of porphobilinogen deaminase. J. Am. Chem. Soc. 1988, 110, 5898–5900. [Google Scholar] [CrossRef]
- Ryu, D.Y.; Shin, K.; Drockenmuller, E.; Hawker, C.J.; Russell, T.P. A generalized approach to the modification of solid surfaces. Science 2005, 308, 236–239. [Google Scholar] [CrossRef]
- Owens, D.K.; Wendt, R.C. Estimation of the surface free energy of polymers. J. Appl. Polym. Sci. 1969, 13, 1741–1747. [Google Scholar] [CrossRef]
- Gedde, U.W. Polymer Physics, 1999th ed.; Chapman & Hall: London, UK, 1995; pp. 78–79. ISBN 978-0412626401. [Google Scholar]
- Dine-Hart, R.A.; Parker, D.B.V.; Wright, W.W. Oxidative degradation of a polyimide film: I. Initial studies. Br. Polym. J. 1971, 3, 222–225. [Google Scholar] [CrossRef]
- Hsiao, Y.-S.; Whang, W.-T.; Wu, S.-C.; Chuang, K.-R. Chemical formation of palladium-free surface-nickelized polyimide film for flexible electronics. Thin Solid Films 2008, 516, 4258–4266. [Google Scholar] [CrossRef]
- Yang, C.-P.; Su, Y.-Y.; Wen, S.-J.; Hsiao, S.-H. Highly optically transparent/low color polyimide films prepared from hydroquinone- or resorcinol-based bis(ether anhydride) and trifluoromethyl-containing bis(ether amine)s. Polymer 2006, 47, 7021–7033. [Google Scholar] [CrossRef]








| Polymer Designation | Alkyl hydroxybenzoate (mol%) | Degree of Substitution (%) | Tg |
|---|---|---|---|
| PCMS | - | - | 106 |
| PBHB20 | 20 | 20 | 83.2 |
| PBHB40 | 40 | 40 | 79.9 |
| PBHB60 | 60 | 60 | 58.7 |
| PBHB80 | 80 | 80 | 55.7 |
| PBHB100 | 150 | 100 | 48.3 |
| PMHB100 | 150 | 100 | 87.1 |
| PEHB100 | 150 | 100 | 70.3 |
| Polymer Designation | Contact Angle (°) a | Surface Energy (mJ/m2) b | LC Aligning Ability c | |||
|---|---|---|---|---|---|---|
| Water | Diiodomethane | Polar | Dispersion | Total | ||
| PCMS | 70.9 | 35.4 | 8.83 | 36.86 | 45.69 | X |
| PBHB20 | 84.6 | 26.4 | 2.26 | 43.56 | 45.82 | X |
| PBHB40 | 87.6 | 30.7 | 1.70 | 42.29 | 43.99 | O |
| PBHB60 | 89.2 | 33.3 | 1.46 | 41.37 | 42.83 | O |
| PBHB80 | 91.0 | 40.2 | 1.45 | 38.10 | 39.55 | O |
| PBHB100 | 93.0 | 50.8 | 1.76 | 32.23 | 33.99 | O |
| PMHB100 | 76.0 | 28.7 | 5.55 | 40.90 | 46.45 | X |
| PEHB100 | 79.6 | 33.6 | 4.51 | 39.35 | 43.86 | O |
© 2019 by the authors. Licensee MDPI, Basel, Switzerland. This article is an open access article distributed under the terms and conditions of the Creative Commons Attribution (CC BY) license (http://creativecommons.org/licenses/by/4.0/).
Share and Cite
Ju, C.; Kang, S.; Kim, T.; Park, C.; Kang, H. Vertical Liquid Crystal Alignment of Comb-Like Alkyl Hydroxybenzoate-Substituted Polystyrene. Crystals 2019, 9, 281. https://doi.org/10.3390/cryst9060281
Ju C, Kang S, Kim T, Park C, Kang H. Vertical Liquid Crystal Alignment of Comb-Like Alkyl Hydroxybenzoate-Substituted Polystyrene. Crystals. 2019; 9(6):281. https://doi.org/10.3390/cryst9060281
Chicago/Turabian StyleJu, Changha, Shinwoo Kang, Taehyung Kim, Chanhyuk Park, and Hyo Kang. 2019. "Vertical Liquid Crystal Alignment of Comb-Like Alkyl Hydroxybenzoate-Substituted Polystyrene" Crystals 9, no. 6: 281. https://doi.org/10.3390/cryst9060281
APA StyleJu, C., Kang, S., Kim, T., Park, C., & Kang, H. (2019). Vertical Liquid Crystal Alignment of Comb-Like Alkyl Hydroxybenzoate-Substituted Polystyrene. Crystals, 9(6), 281. https://doi.org/10.3390/cryst9060281
