A Magnetic-Dependent Vibration Energy Harvester Based on the Tunable Point Defect in 2D Magneto-Elastic Phononic Crystals
Abstract
1. Introduction
2. Theoretical Model and Calculation Method
3. Numerical Results and Discussion
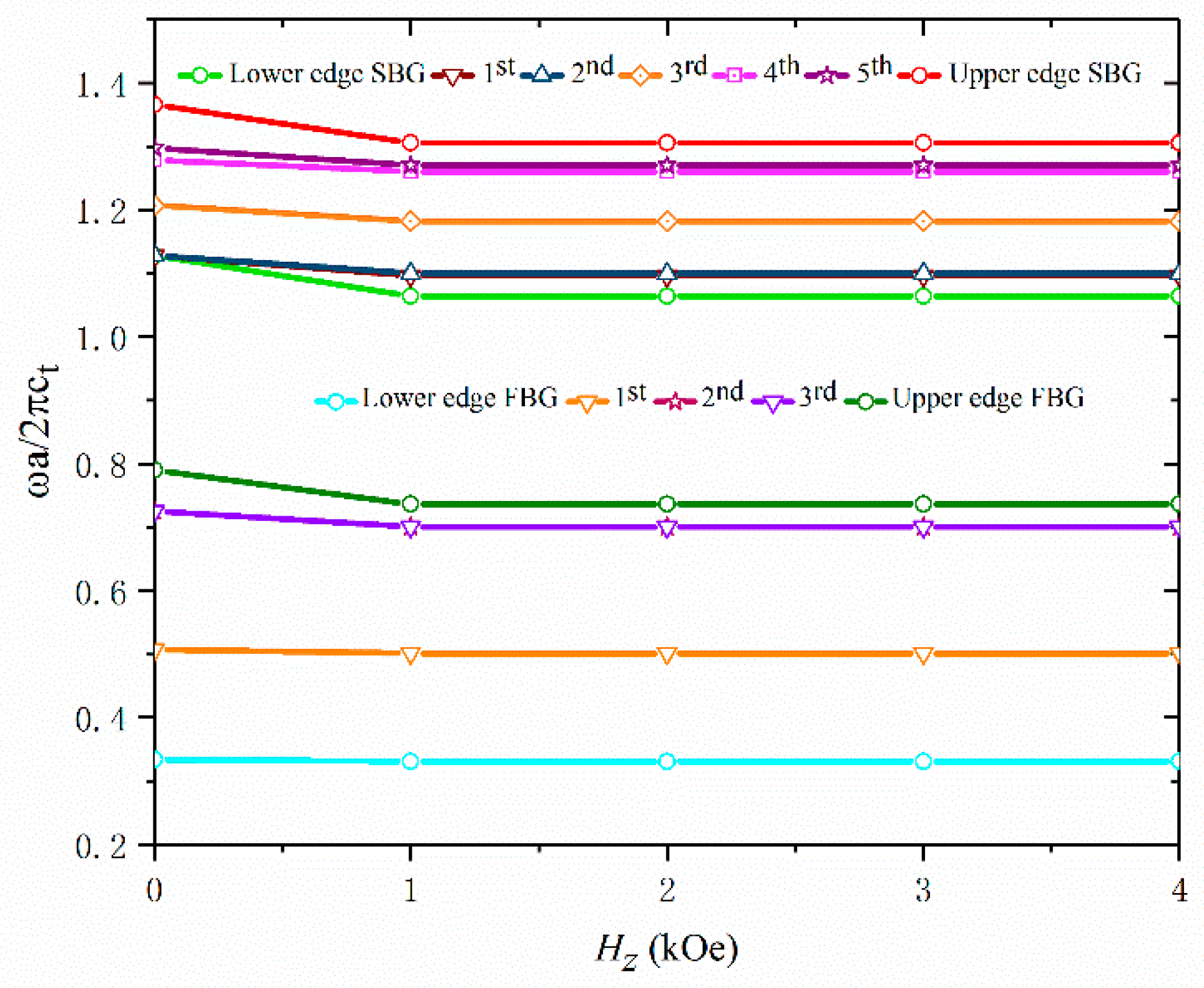
3.1. Verification of Point-Defect Bands
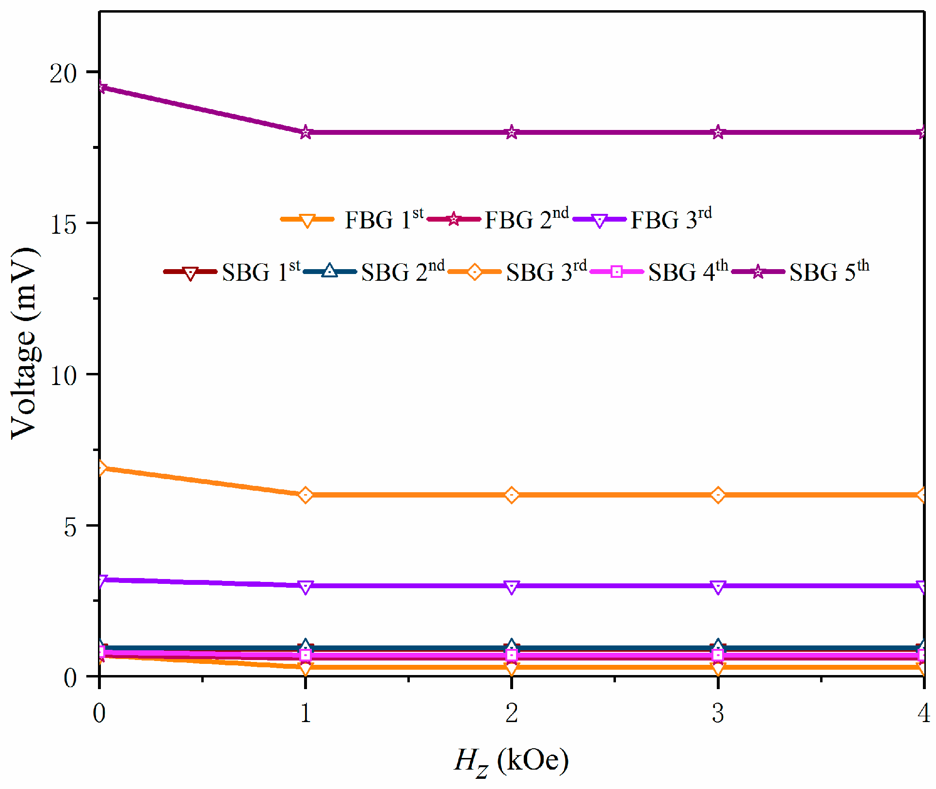
3.2. Output Voltage and Power for in-Plane Modes (XY Modes)
3.3. Output Voltage for Anti-Plane Mode (Z Mode)
4. Conclusions
Author Contributions
Funding
Conflicts of Interest
References
- Mitcheson, P.D.; Green, T.C.; Yeatman, E.M.; Holmes, A.S. Architectures for vibration-driven micropower generators. J. Microelectromech. Syst. 2004, 13, 429–440. [Google Scholar] [CrossRef]
- Liu, H.C.; Zhong, J.W.; Lee, C.K.; Lee, S.W.; Lin, L.W. A comprehensive review on piezoelectric energy harvesting technology: Materials, mechanisms, and applications. Appl. Phys. Rev. 2018, 5, 041306. [Google Scholar] [CrossRef]
- Kaldellis, J.K.; Zafirakis, D. The wind energy (r)evolution: A short review of a long history. Renew. Energ. 2011, 36, 1887–1901. [Google Scholar] [CrossRef]
- Beeby, S.P.; Tudor, M.J.; White, N.M. Energy harvesting vibration sources for microsystems applications. Meas. Sci. Technol. 2006, 17, R175. [Google Scholar] [CrossRef]
- Parameshwarana, R.; Kalaiselvam, S.; Harikrishnan, S.; Elayaperumal, A. Sustainable thermal energy storage technologies for buildings: A review. Renew. Sust. Energ. Rev. 2012, 16, 2394–2433. [Google Scholar]
- Ottman, G.K.; Hofmann, H.F.; Lesieutre, G.A. Optimized piezoelectric energy harvesting circuit using step-down converter in discontinuous conduction mode. IEEE Trans. Power Electron. 2003, 18, 1988–1994. [Google Scholar] [CrossRef]
- Ching, N.N.H.; Wong, H.Y.; Li, W.J.; Leong, P.H.W.; Wen, Z. A laser-micromachined multi-modal resonating power transducer for wireless sensing systems. Sens. Actuator A-Phys. 2002, 97, 685–690. [Google Scholar] [CrossRef]
- Meninger, S.; Mur-Miranda, J.O.; Amirtharajah, R.; Chandrakasan, A.P.; Lang, J.H. Vibration-to-electricenergy conversion. IEEE Trans. Very Large Scale Integr. 2001, 9, 64–76. [Google Scholar] [CrossRef]
- Cui, Z.Y.; Chen, T.N.; Wu, J.H.; Chen, H.L.; Zhang, B. Measurements and calculations of two-dimensional band gap structure composed of narrowly slit tubes. Appl. Phys. Lett. 2008, 93, 377. [Google Scholar] [CrossRef]
- Pennec, Y.; Djafari-Rouhani, B.; Vasseur, J.O.; Khelif, A.; Deymier, P.A. Tunable filtering and demultiplexing in phononic crystals with hollow cylinders. Phys. Rev. E 2004, 69, 046608. [Google Scholar] [CrossRef] [PubMed]
- Khelif, A.; Wilm, M.; Laude, V.; Ballandras, S.; Djafari-Rouhani, B. Guided elastic waves along a rod defect of a two-dimensional phononic crystal. Phys. Rev. E 2004, 69, 279–307. [Google Scholar] [CrossRef]
- Khelif, A.; Djafarirouhani, B.; Vasseur, J.O.; Deymier, P.; Lambin, P.; Dobrzynski, L. Transmittivity through straight and stublike waveguides in a two-dimensional phononic crystal. Phys. Rev. B 2002, 65, 174308. [Google Scholar] [CrossRef]
- Khelif, A.; Choujaa, A.; Djafari-Rouhani, B.; Wilm, M.; Ballandras, S.; Laude, V. Trapping and guiding of acoustic waves by defect modes in a full-band-gap ultrasonic crystal. Phys. Rev. B 2006, 68, 214301. [Google Scholar] [CrossRef]
- Romero-García, V.; Sánchez Pérez, J.V.; García Raffi, L.M. Propagating and evanescent properties of double-point defect in sonic crystals. New J. Phys. 2010, 12, 083024. [Google Scholar] [CrossRef]
- Yao, Z.J.; Yu, G.L.; Wang, Y.S.; Wang, Y.S.; Shi, Z.F. Propagation of bending waves in phononic crystal thin plates with a point defect. Int. J. Solids Struct. 2009, 46, 2571–2576. [Google Scholar] [CrossRef]
- Wu, F.G.; Liu, Z.Y.; Liu, Y.Y. Splitting and tuning characteristics of the point defect modes in two-dimensional phononic crystals. Phys. Rev. E 2004, 69, 066609. [Google Scholar] [CrossRef] [PubMed]
- Su, X.L.; Gao, Y.W.; Zhou, Y.H. The influence of material properties on the elastic band structures of one-dimensional functionally graded phononic crystals. J. Appl. Phys. 2012, 112, 73–83. [Google Scholar] [CrossRef]
- Bayat, A.; Gordaninejad, F. Dynamic response of a tunable phononic crystal under applied mechanical and magnetic loadings. Smart Mater. Struct. 2015, 24, 065027. [Google Scholar] [CrossRef]
- Zhang, S.Z.; Yao, H.; Gao, Y.W. A 2D mechanical-magneto-thermal model for direction-dependent magnetoelectric effect in laminates. J. Magn. Magn. Mater. 2017, 428, 437–447. [Google Scholar] [CrossRef]
- Zou, X.Y.; Chen, Q.; Liang, B.; Cheng, J.C. Control of the elastic wave bandgaps in two-dimensional piezoelectric periodic structures. Smart Mater. Struct. 2007, 17, 015008. [Google Scholar] [CrossRef]
- Wang, G.; Wang, J.W.; Chen, S.B.; Wen, J.H. Vibration attenuations induced by periodic arrays of piezoelectric patches connected by enhanced resonant shunting circuits. Smart Mater. Struct. 2011, 20, 125019. [Google Scholar] [CrossRef]
- Bou Matar, O.; Robillard, J.F.; Vasseur, J.O.; Hladky-Hennion, A.C.; Deymier, P.A.; Pernod, P.; Preobrazhensky, V. Band gap tunability of magneto-elastic phononic crystal. J. Appl. Phys. 2012, 111, 141. [Google Scholar] [CrossRef]
- Ding, R.; Su, X.L.; Zhang, J.J.; Gao, Y.W. Tunability of longitudinal wave band gaps in one dimensional phononic crystal with magnetostrictive material. J. Appl. Phys. 2014, 115, 074104. [Google Scholar] [CrossRef]
- Zhang, S.Z.; Shi, Y.; Gao, Y.W. Tunability of band structures in a two-dimensional magnetostrictive phononic crystal plate with stress and magnetic loadings. Phys. Lett. A. 2017, 381, 1055–1066. [Google Scholar] [CrossRef]
- Gu, C.L.; Jin, F. Research on the tunability of point defect modes in a two-dimensional magneto-elastic phononic crystal. J. Phys. D-Appl. Phys. 2016, 49, 175103. [Google Scholar] [CrossRef]
- Wu, L.Y.; Chen, L.W.; Liu, C.M. Acoustic energy harvesting using resonant cavity of a sonic crystal. Appl. Phys. Lett. 2009, 95, 57. [Google Scholar] [CrossRef]
- Lv, H.Y.; Tian, X.Y.; Wang, M.Y.; Li, D.C. Vibration energy harvesting using a phononic crystal with point defect states. Appl. Phys. Lett. 2013, 102, 034103. [Google Scholar] [CrossRef]
- Carrara, M.; Cacan, M.R.; Toussaint, J.; Leamy, M.J.; Ruzzene, M.; Erturk, A. Metamaterial-inspired structures and concepts for elastoacoustic wave energy harvesting. Smart Mater. Struct. 2013, 22, 065004. [Google Scholar] [CrossRef]
- Yang, A.C.; Li, P.; Wen, Y.M.; Lu, C.J.; Peng, X.; Zhang, J.T.; He, W. Enhanced acoustic wave localization effect using coupled sonic crystal resonators. Appl. Phys. Lett. 2014, 104, 151904. [Google Scholar] [CrossRef]
- Wang, W.C.; Wu, L.Y.; Chen, L.W.; Liu, C.M. Acoustic energy harvesting by piezoelectric curved beams in the cavity of a sonic crystal. Smart Mater. Struct. 2010, 19, 126–134. [Google Scholar] [CrossRef]
- Qi, S.B.; Oudich, M.; Li, Y.; Assouar, B. Acoustic energy harvesting based on a planar acoustic metamaterial. Appl. Phys. Lett. 2016, 108, 263501. [Google Scholar] [CrossRef]
- COMSOL Multiphysics 5.3a, Manual, comsol AB; COMSOL Inc.: Stockholm, Sweden, 2017.
- Liu, X.E.; Zheng, X.J. A nonlinear constitutive model for magnetostrictive materials. Acta Mech. Sin. 2005, 21, 278–285. [Google Scholar] [CrossRef]
- Roundy, S.; Wright, P.K. A piezoelectric vibration based generator for wireless electronics. Smart Mater. Struct. 2004, 13, 1131. [Google Scholar] [CrossRef]
- Li, Y.G.; Chen, T.N.; Wang, X.P.; Ma, T.; Jiang, P. Acoustic confinement and waveguiding in two-dimensional phononic crystals with material defect states. J. Appl. Phys. 2014, 116, 024904. [Google Scholar] [CrossRef]
- Gao, Y.W.; Zhang, J.J. Nonlinear magnetoelectric transient responses of a circular-shaped magnetoelectric layered structure. Smart Mater. Struct. 2012, 22, 015015. [Google Scholar] [CrossRef]
- Wu, T.T.; Huang, Z.G. Level repulsions of bulk acoustic waves in composite materials. Phys. Rev. B 2004, 70, 155–163. [Google Scholar] [CrossRef]
- Butt, Z.; Pasha, R.A.; Qayyum, F.; Anjum, Z.; Ahmad, N.; Elahi, H. Generation of electrical energy using lead zirconate titanate (PZT-5A) piezoelectric material: Analytical, numerical and experimental verifications. J. Mech. Sci. Technol. 2016, 30, 3553–3558. [Google Scholar] [CrossRef]
- Kinsler, L.E.; Frey, A.R.; Coppens, A.B.; Sanders, J.V. Fundamentals of Acoustics, 4th ed.; John Wiley and Sons: New York, NY, USA, 1999. [Google Scholar]















| Materials | |||||||||
|---|---|---|---|---|---|---|---|---|---|
| Terfenol-D | 9200 | 60 | 0.3 | ___ | ___ | 1950 | 20.4 | 200 | 0.96 |
| PMMA | 1200 | ___ | ___ | 7.11 | 2.03 | ___ | ___ | ___ | ___ |
| Physical Parameters | Elastic Coefficient (GPa) | Piezoelectric Coefficient (10−12 C/m2) | Dielectric Constant (10−9 F/m) | |||||||
|---|---|---|---|---|---|---|---|---|---|---|
| PZT-5A | 121 | 75.40 | 75.20 | 111 | 21.1 | -5.4 | 15.8 | 12.3 | 8.107 | 7.346 |
| Magnetic Field Hz (kOe) | Frequency of Defect Band (Hz) | Quality Factor | ||
|---|---|---|---|---|
| 1.1 | 0 | 121,410 | 809 | 150.074 |
| 2 | 0 | 122,384 | 960 | 127.483 |
| 2.5 | 0 | 122,579 | 1215 | 100.888 |
| 1.1 | −20 | 118,401 | 1838 | 64.418 |
| 2 | −20 | 120,948 | 739 | 163.664 |
| 2.5 | −20 | 122,078 | 920 | 132.693 |
© 2019 by the authors. Licensee MDPI, Basel, Switzerland. This article is an open access article distributed under the terms and conditions of the Creative Commons Attribution (CC BY) license (http://creativecommons.org/licenses/by/4.0/).
Share and Cite
Deng, T.; Zhang, S.; Gao, Y. A Magnetic-Dependent Vibration Energy Harvester Based on the Tunable Point Defect in 2D Magneto-Elastic Phononic Crystals. Crystals 2019, 9, 261. https://doi.org/10.3390/cryst9050261
Deng T, Zhang S, Gao Y. A Magnetic-Dependent Vibration Energy Harvester Based on the Tunable Point Defect in 2D Magneto-Elastic Phononic Crystals. Crystals. 2019; 9(5):261. https://doi.org/10.3390/cryst9050261
Chicago/Turabian StyleDeng, Tian, Shunzu Zhang, and Yuanwen Gao. 2019. "A Magnetic-Dependent Vibration Energy Harvester Based on the Tunable Point Defect in 2D Magneto-Elastic Phononic Crystals" Crystals 9, no. 5: 261. https://doi.org/10.3390/cryst9050261
APA StyleDeng, T., Zhang, S., & Gao, Y. (2019). A Magnetic-Dependent Vibration Energy Harvester Based on the Tunable Point Defect in 2D Magneto-Elastic Phononic Crystals. Crystals, 9(5), 261. https://doi.org/10.3390/cryst9050261
