Temperature Dependence of Raman Frequency Shift in SrWO4 Crystal Studied by Lattice Dynamical Calculations
Abstract
:1. Introduction
2. Materials and Methods
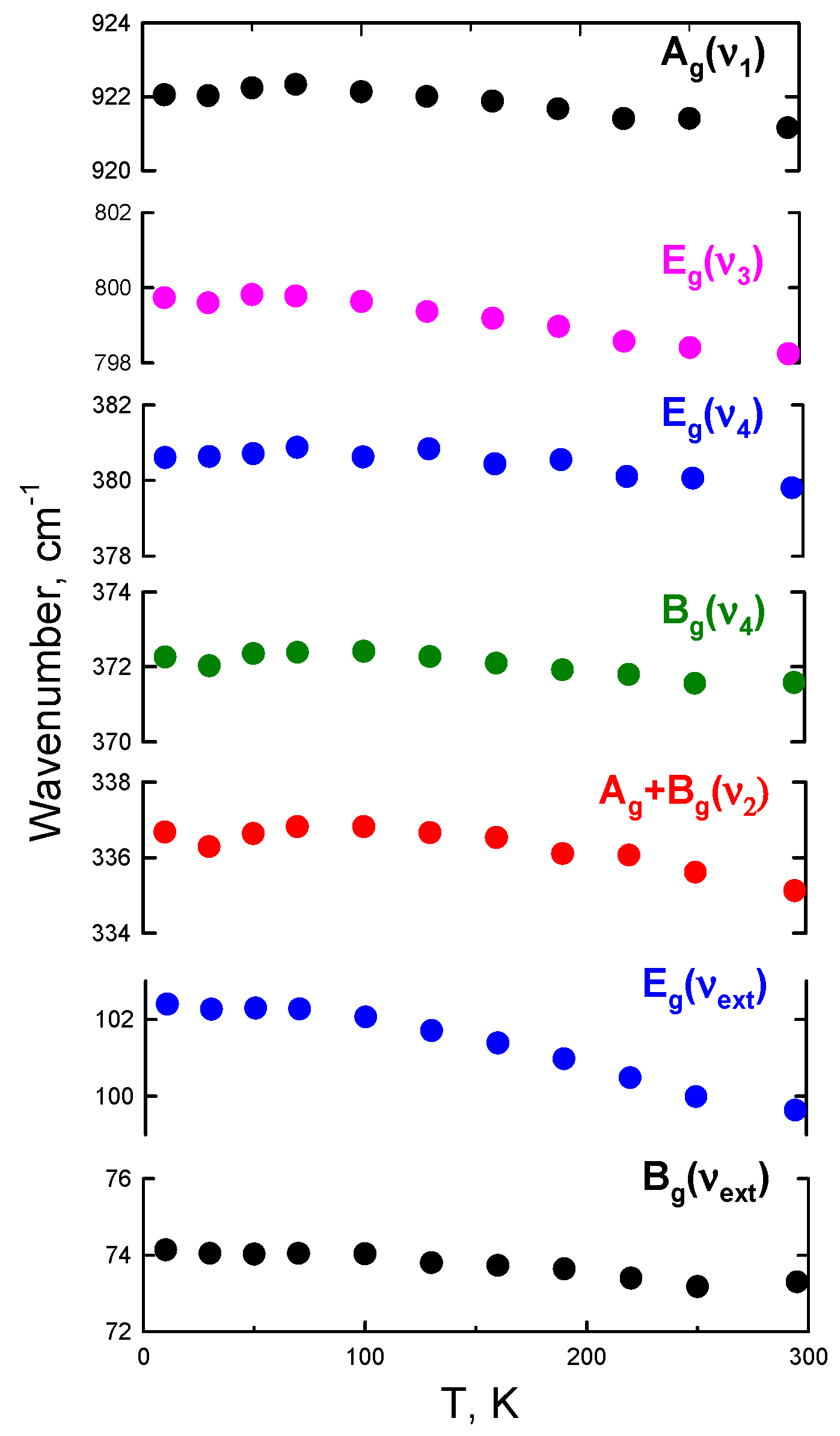
3. Results
4. Discussion
Author Contributions
Funding
Conflicts of Interest
References
- Porto, S.P.S.; Scott, J.F. Raman spectra of CaWO4, CaMoO4, SrWO4 and SrMoO4. Phys. Rev. 1967, 157, 716–719. [Google Scholar] [CrossRef]
- Basiev, T.T.; Sobol, A.A.; Zverev, P.G.; Osiko, V.V.; Powell, R.C. Comparative spontaneous Raman spectroscopy of crystals for Raman lasers. Appl. Opt. 1999, 38, 594–598. [Google Scholar] [CrossRef] [PubMed]
- Basiev, T.T.; Osiko, V.V. New materials for SRS lasers. Russ. Chem. Rev. 2006, 75, 847–862. [Google Scholar] [CrossRef]
- Černý, P.; Jelínková, H.; Zverev, P.G.; Basiev, T.T. Solid state lasers with Raman frequency conversion. Prog. Quantum Electron. 2004, 28, 113–143. [Google Scholar] [CrossRef]
- Basiev, T.T.; Zverev, P.G.; Karasik, A.Y.; Osiko, V.V.; Sobol, A.A.; Chunaev, D.S. Picosecond stimulated Raman scattering in crystals. J. Exp. Theor. Phys. 2004, 126, 1073–1082. [Google Scholar] [CrossRef]
- Ding, S.; Zhang, X.; Wang, Q.; Su, F.; Li, S.; Fan, S.; Liu, Z.; Chang, J.; Zhang, S.; Wang, S.; et al. Highly efficient Raman frequency converter with strontium tungstate crystal. IEEE J. Quantum Electron. 2006, 42, 78–84. [Google Scholar] [CrossRef]
- Farinello, P.; Pirzio, F.; Zhang, X.; Petrov, V.; Agnesi, A. Efficient picosecond traveling-wave Raman conversion in a SrWO4 crystal pumped by multi-Watt MOPA lasers at 1064 nm. Appl. Phys. B 2015, 120, 731–735. [Google Scholar] [CrossRef]
- Zhang, H.; Li, P. High-efficiency eye-safe Nd: YAG/SrWO4 Raman laser operating at 1664 nm. Appl. Phys. B 2016, 122, 12. [Google Scholar] [CrossRef]
- Frank, M.; Smetanin, S.N.; Jelinek, M.; Vyhlidal, D.; Kopalkin, A.A.; Shukshin, V.E.; Ivleva, L.I.; Zverev, P.G.; Kubecek, V. Synchronously-pumped all-solid-state SrMoO4 Raman laser generating at combined vibrational Raman modes with 26-fold pulse shortening down to 1.4 ps at 1220 nm. Opt. Laser Technol. 2019, 111, 129–133. [Google Scholar] [CrossRef]
- Šulc, J.; Jelínková, H.; Basiev, T.T.; Doroschenko, M.E.; Ivleva, L.I.; Osiko, V.V.; Zverev, P.G. Nd:SrWO4 and Nd:BaWO4 Raman lasers. Opt. Mater. 2007, 30, 195–197. [Google Scholar] [CrossRef]
- Suda, J.; Chiba, H.; Sato, T. Temperature dependence of the Ag+Bg-mode of Raman shift for CaWO4 crystal. J. Phys. Soc. Jpn. 1998, 67, 20–22. [Google Scholar] [CrossRef]
- Suda, J.; Zverev, P.G. Investigation of the phonon band gap effect on Raman-active optical phonons in BaWO4 crystal. Vib. Spectrosc. 2012, 62, 85–91. [Google Scholar] [CrossRef]
- Suda, J.; Zverev, P.G. Investigation of the phonon band gap effect on Raman-active optical phonons in SrMoO4 crystal. Vib. Spectrosc. 2014, 71, 6–11. [Google Scholar] [CrossRef]
- Suda, J. Investigation of band gap effect on Raman shift of scheelite PbWO4 studied by Raman spectrometry and first-principles calculations. Solid State Commun. 2017, 255, 29–32. [Google Scholar] [CrossRef]
- Suda, J.; Zverev, P.G. Investigation of band gap effect and dephasing on Raman line broadening for the highest-frequency Ag mode in comparison with SrWO4 and SrMoO4. Vib. Spectrosc. 2016, 84, 127–132. [Google Scholar] [CrossRef]
- Basiev, T.T.; Sobol, A.A.; Voronko, Y.K.; Zverev, P.G. Spontaneous Raman spectroscopy of tungstate and molybdate crystals for Raman lasers. Opt. Mater. 2000, 15, 205–216. [Google Scholar] [CrossRef]
- Ashcroft, N.W.; Mermin, N.D. Solid State Physics; Saunders College Press: Philadelphia, PA, USA, 1976; pp. 487–510. [Google Scholar]
- Kresse, G.; Marsman, M.; Furthmüller, J. Computer Code VASP. Available online: http://cms.mpi.univie.ac.at/vasp (accessed on 12 October 2008).
- Manjón, F.J.; Errandonea, D.; Garro, N.; Pellicer-Porres, J.; Rodríguez-Hernández, P.; Radescu, S.; López-Solano, J.; Mujica, A.; Muñoz, A. Lattice dynamics study of scheelite tungstates under high pressure I. BaWO4. Phys. Rev. B 2006, 74, 144111. [Google Scholar] [CrossRef]
- Ling, Z.C.; Xia, H.R.; Ran, D.G.; Liu, F.Q.; Sun, S.Q.; Fan, J.D.; Zhang, H.J.; Wang, J.Y.; Yu, L.L. Lattice vibration spectra and thermal properties of SrWO4 single crystal. Chem. Phys. Lett. 2006, 426, 85–90. [Google Scholar] [CrossRef]
- Fan, J.D.; Zhang, H.J.; Wang, J.Y.; Jiang, M.H.; Boughton, R.I.; Ran, D.G.; Sun, S.Q.; Xia, H.R. Growth and thermal properties of SrWO4 single crystal. J. Appl. Phys. 2006, 100, 063513. [Google Scholar] [CrossRef]




| Raman Mode | νR, cm−1 | ΔνR, cm−1 | γR | ∂νR/∂T, (cm·grad)−1 × 10−3 |
|---|---|---|---|---|
| Ag(ν1) | 921 | 3.02 | 0.15 | −5.67 |
| Eg(ν3) | 798 | 3.28 | 0.19 | −7.0 |
| Eg(ν4) | 380 | 6.61 | 0.14 | −5.3 |
| Bg(ν4) | 372 | 3.71 | 0.16 | −6.0 |
| Ag + Bg(ν2) | 335 | 10.0 | 0.26 | −10.0 |
| Eg(νext.) | 100 | 2.48 | 0.35 | −13.2 |
| Bg(νext.) | 74 | 1.56 | 0.15 | −6.54 |
© 2019 by the authors. Licensee MDPI, Basel, Switzerland. This article is an open access article distributed under the terms and conditions of the Creative Commons Attribution (CC BY) license (http://creativecommons.org/licenses/by/4.0/).
Share and Cite
Suda, J.; Zverev, P.G. Temperature Dependence of Raman Frequency Shift in SrWO4 Crystal Studied by Lattice Dynamical Calculations. Crystals 2019, 9, 197. https://doi.org/10.3390/cryst9040197
Suda J, Zverev PG. Temperature Dependence of Raman Frequency Shift in SrWO4 Crystal Studied by Lattice Dynamical Calculations. Crystals. 2019; 9(4):197. https://doi.org/10.3390/cryst9040197
Chicago/Turabian StyleSuda, Jun, and Petr G. Zverev. 2019. "Temperature Dependence of Raman Frequency Shift in SrWO4 Crystal Studied by Lattice Dynamical Calculations" Crystals 9, no. 4: 197. https://doi.org/10.3390/cryst9040197
APA StyleSuda, J., & Zverev, P. G. (2019). Temperature Dependence of Raman Frequency Shift in SrWO4 Crystal Studied by Lattice Dynamical Calculations. Crystals, 9(4), 197. https://doi.org/10.3390/cryst9040197
