Abstract
We propose a theoretical approach and a numerical method for determining the Frank elastic constants based on the experimental dependence of the effective values of the permittivity components on the magnetic field. The theoretical task was to find the minimum of the free energy and then to solve the inverse problem on finding elastic constants by the least squares root minimizing with experimental data. The proposed approach combines strong and weak models with various pretilt conditions at the boundaries. This model also describes the inhomogeneity of the electric field inside the sample. The proposed method allows to achieve higher accuracy using a small amount of experimental data. This statement is confirmed by the error estimation study, which is also presented in this research. As an experimental sample, we used the gadolinium-based liquid crystal complex, since there are no data on the Frank elastic constants for this complex.
1. Introduction
Paramagnetic liquid crystalline lanthanide complexes with organic ligands (lanthanidomesogens) combined highly effective luminescence with abnormally large values of magnetic susceptibility anisotropy , and are components of magnetic susceptibility in directions parallel and perpendicular to the axis of the preferred orientation of the molecules [1].
These properties of nematic lanthanidomesogens make it possible to create optical media with linearly polarized luminescence for use in optoelectronic devices controlled by magnetic and electric fields [2]. Some gadolinium-based liquid crystal complex are applied as contrast agents in magnetic resonance imaging (see, e.g., the review [3]). However, the thermotropic liquid crystal complex considered in this work cannot be used as a contrast agent, since the liquid crystal state is reached at a temperature of the order of 100 C.
For effective practical use of lanthanidomesogens, it is necessary to study orientation processes occurring in lanthanidomesogens under the influence of magnetic and electric fields. In this regard, the aim of this work is to experimentally and theoretically investigate the influence of a magnetic field on the degree of homogeneity of the orientation of lanthanidomesogens and the determination of the Frank elastic constants.
Changing the degree of homogeneity of the director orientation is connected with the well-known Fréedericksz transition. The classical Fréedericksz effect has been studied for a long time and it is described in detail both theoretically and experimentally [4,5,6]. Recently, much attention has been paid to the study of this effect in more complex systems and in more complex situations than previously, see, e.g., [7,8,9,10,11,12,13,14,15].
Considerable attention was paid to the analysis of the transition for different types of boundary conditions. The most common model for the anchoring energy of the molecules with the orienting surface is the Gaussian-type Rapini–Popular potential [16]. In the nematic liquid crystals with finite anchoring energy, the Fréedericksz transition is continuous and the director orientation above the threshold is changed in the whole volume including the boundary [5].
Between the description of the Fréedericksz effect in the electric and magnetic fields, there is a significant difference. The reason is that the electric field inside the liquid crystal with a nonuniform distribution of the director is not homogeneous [17,18]. The details of this problem and the choice of an appropriate thermodynamic potential describing the system in an external field are discussed in [19,20,21,22].
In the present work, we investigate the changing the degree of homogeneity of the director orientation with the strong and weak anchoring in the presence of the external electric and magnetic field. In order to determine the type of equilibrium configuration of the director, we used a method based on the minimization of the liquid crystal free energy. Moreover, the Frank elastic constants were considered as unknown parameters. They were also obtained by minimizing the functional of the free energy.
A good agreement was achieved between the experimental results and numerical calculations, taking into account that two elastic constants were obtained using minimization procedures. The estimation of errors in determining elastic constants is carried out. As a self check, the proposed method was tested on a well-studied sample of a liquid crystal (5CB). For this sample, good agreement was achieved between the known values of the elastic constants and the values calculated numerically.
The paper is organized as follows. Section 2 describes the sample under investigation, experimental setup, and the measurement procedure. Section 3 presents the general equations for the free energy of the liquid crystal cell in external electric and magnetic fields. In this section, the expression for the sample permittivity is obtained. In Section 4 variational method for numerical simulations is described. Section 5 contains results for the director distribution in the cell obtained by direct minimization of the free energy. In this section, we obtain the best values for the Frank elastic constants for the lanthanidomesogens and perform the error estimation. Finally, in Section 6 we discuss the obtained results.
2. Materials and Methods
The object of the study was a liquid crystal (LC) complex tris[1-(4-(4-propylcyclohexyl)phenyl)octane-1,3-dion]-[5,5’-di(heptadecyl)-2,2’-bipyridine] gadolinium which has been synthesized in Kazan National Research Technological University. The material was synthesized in Kazan National Research Technological University (KNRTU) by research group of professor Yu.G. Galyametdinov. The chemical structure and synthesis procedure of the investigated material are shown on Figure 1. The general procedure for synthesis of nematic complexes of lanthanides is given in [23].
Figure 1.
The chemical structure and synthesis procedure of the investigated material.
Upon heating, the gadolinium complex exhibits smectic A and nematic polymorphism, which were observed by a polarizing microscope Olympus-BX51 (Olympus, Japan) (Figure 2). Upon cooling, the complexes do not crystallize but the mesophase freezes into a glass, while maintaining the texture of the smectic A mesophase.
Figure 2.
Micrographs of smectic A (a) and nematic (b) mesophases of the gadolinium complex at 500× magnification [24].
The temperatures of phase transition were determined using an Olympus-BX51 (Olympus, Japan) polarizing optical microscope with a Linkam heating system and differential scanning calorimeter DSC-1 Star system (Mettler-Toledo, Greifensee, Switzerland) in the heating and cooling mode at a scan rate of 10 C/min (Figure 3).
Figure 3.
Differential scanning calorimetry (DSC) thermogram of the gadolinium complex at a heating and cooling rate of 10 C/min [24].
The intervals of existence of smectic and nematic phases are 70–98 C and 98–141 C respectively. Polarized optical microscopy (POM) and differential scanning calorimetry (DSC) investigations were conducted by researchers from KNRTU [23,24].
The anisotropy of the magnetic susceptibility of the complex was measured in Technical University Darmstadt by research group of professors W. Haase. The object of study was cooled from an isotropic melt in the presence of a magnetic field. In this case, the total magnetic moment of the substance increased due to the ordering of the molecules under the action of an external magnetic field. The anisotropy of the magnetic susceptibility was found from the difference in the values of the effective magnetic moment in the ordered and disordered states using Faraday weights. The value of anisotropy of the magnetic susceptibility for the gadolinium complex is [24,25].
The anisotropy of the magnetic susceptibility of the complex () was measured using the Faraday method [24,25].
The positive sign of was determined via optical birefringence measurements in a magnetic field (Cotton–Mouton effect) [26].
In this case () the direction of the greatest magnetic susceptibility and the director of the coincide with the direction of the orienting magnetic field.
To analyze the degree of homogeneity of the orientation of in a magnetic field, the capacitance method was used [27,28]. The degree of homogeneity of the orientation under the action of external fields is accompanied by a change in the electrical capacity of the cells under study. Measuring the capacitance of liquid crystal cells at different magnetic field strengths allows us to record the results of the field effect on the degree of homogeneity of the orientation in the sample under study.
The measuring cell was a flat titanium capacitor with a capacity of 12 pF and an electrode spacing of d = 200 . Capacitance measurements were performed using an RLC-Meter HIOKI-3532 at the frequency of Hz at which the components of the dielectric permittivity have quasistatic values [29]. A probing voltage U was used 1 V because the dielectric permittivity does not depend on U between 0.5 V and 2.0 V. Consequently in this range of U the electric field does not affect the orientation of the complex [29].
The components of dielectric permittivity and in directions parallel and perpendicular to the axis of the preferred orientation of the molecules in the cell was calculated from the measured capacitance. The macroscopic alignment of the sample under study was created by the magnetic field of the electromagnet. The maximum magnitude of the magnetic field reached 7500 Oe.
The orientation of the nematic liquid crystal molecules in the plane perpendicular to the boundaries of the cell relative to the direction of the orienting magnetic field and the probing electric field is shown schematically on Figure 4.
Figure 4.
The orientation of nematic liquid crystal molecules in the sample cell: (a) initial conditions (b) measurement (c) measurement. Here, is the director, is the angle between the director and the z axis, and is the pretilt angle on the surfaces of the sample.
The temperature of the substance in the cell was maintained at 130 by a thermostat with an accuracy of 0.1 .
The effective dielectric permittivities of were measured at various values of the orienting magnetic field in geometries shown on Figure 4. The dependencies of effective dielectric permittivities on the orienting magnetic field magnitude are presented on Figure 11 and will be discussed in Section 5.
3. Theoretical Model
The effective permittivity of the sample is dependent on the distribution of the director throw the volume of the sample. That distribution can be found by solving the minimization problem on the free energy F. The energy is determined by its density in each point of the sample volume V
and the surface interaction contribution, that was considered with both weak and strong anchoring models with nonzero pretilt angle.
The free energy density consists of elastic and field contributions . First describes internal interactions and is given by [4]
where , , are Frank elastic constants, which describe the elastic properties of the material. The second is given by
where is electric field, is magnetic field, is anisotropy of susceptibility, and is anisotropy of permittivity; are permittivities along and across .
The idea that the director remains the same in the plane of constant height in the sample leads us to
For the materials with the director in the sample may be described with the angle only [5]. Than, using the transformation of the contribution due to the electric field to the dependence on voltage [30] we can obtain
To set the minimization task, it is necessary to add boundary conditions. In what follows, we assume that the surfaces bounding the sample at planes and are the same. Therefore, the boundary conditions on these surfaces are also considered the same. In this paper, we consider both the strong
For the case it is easily seen that
Here the boundary conditions allow making the director the same through the whole sample. The same situation takes place for
Then, using Equation (6) we have
That leads us to the condition on :
where is permittivity of a sample in absence of electric and magnetic fields. As the electric field in our experiment is chosen so that it does not affect to orientation of the director we can estimate the pretilt angle from the measurement for zero H and nonzero E.
Now we can set the problem of minimization of the functional (4) with boundary conditions (7) or surface energy density (8). The minimum of the free energy gives us the profile of the director, i.e., the dependence . That will lead us to the dependence of on H with the system parameters and . This problem was solved numerically for various parameters , for the set of experimental values of the magnetic field H.
Note that the proposed model makes it possible to study the behavior of the system at various temperatures. Indeed, in functional (4), the temperature functions are the permittivities, anisotropy of magnetic susceptibility, and Frank elastic constants. The dependence of the Frank elastic constants on temperature has both experimental and theoretical confirmations. For example, in the well-known molecular statistical model of hard rods, the temperature dependences of the Frank elastic constants were obtained quite a long time ago [31,32]. The experimental results on determining the temperature dependences of the Frank constants or their relations are also well known. For example, for the cyanobiphenyl family, one of whose homologues we will use as a model system, these results were obtained by the Rayleigh light scattering methods [33], capacitance detection of the Fréedericksz transition [34], and optical transmission method [35]. It should be noted that there is a significant limitation in the study of the temperature dependences of the Frank elastic constants. As a rule, most theoretical models and experimental methods do not work well near phase transition points. The same applies to the model under consideration. Far from the phase transition points, this model allows one to obtain information on the values of Frank elastic constants at various temperatures in those cases when the values of permittivity and anisotropy of magnetic susceptibility at these temperatures are known.
4. Numerical Calculations
The first step of the numerical task was to find the dependence of on z for various values of magnetic fields. The solution was found by approximation with a cubic spline. The direct numerical solution of the minimization problem has an advantage over the corresponding problem of finding a solution using the Euler–Lagrange equation [6], since it does not require the calculation of the second derivative, which requires additional accuracy of calculations. Moreover, the soft boundary conditions are naturally implemented in the direct minimization problem method while they are represented as the special boundary problem which requires additional computations for the Euler–Lagrange equation.
A feature of this minimization problem is the presence of at least two minima. For example, for we have trivial solution for any field, and a non-trivial solution only for a field above the threshold value. The trivial solution gives us local, but not global minimum for the field above the threshold. This problem is especially acute when the field is close to critical. The task of searching for a global minimum was solved using the basin-hopping [36] method which represents a genetic algorithm for searching for the multidimensional global minimum.
The position and amount of the control points for the cubic spline are defined by the adaptive way. The initial configuration of the control points was uniformly distributed with the amount of 5. New points were set in the centre of the interval where the ratio of the maximum derivative to the interval length was maximum. The criterion for reaching the necessary number of points is the insignificance of impact for implementing additional points in .
The second step was to find a theoretical dependence of on H that is the closest to the experimental one. The least squares root (LSR) method was chosen as the minimum criterion
Thus, two minimization problems are solved sequentially, one for finding , and the second one for the best , according to the experimental results.
5. Results
For the first part of the calculations we obtain the profile of , where . Figure 5 illustrates this dependence for different values of magnetic field for the case.
Figure 5.
Profiles of the angle on for the Gd complex with various H.
This dependence was obtained for elastic constants , given by the minimization procedure on the second step of numerical calculations. The boundary conditions are defined by Equations (7) and (12).
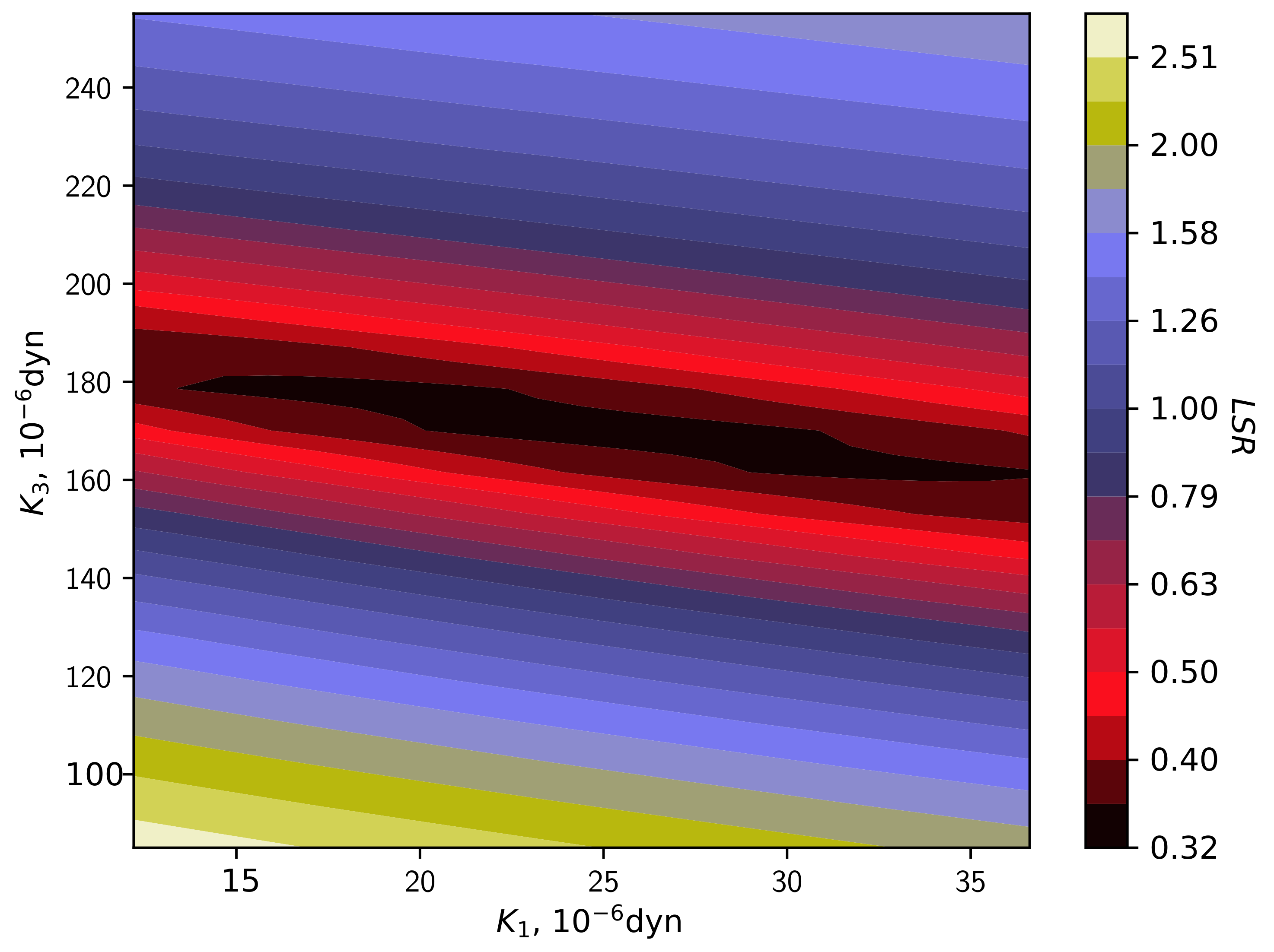
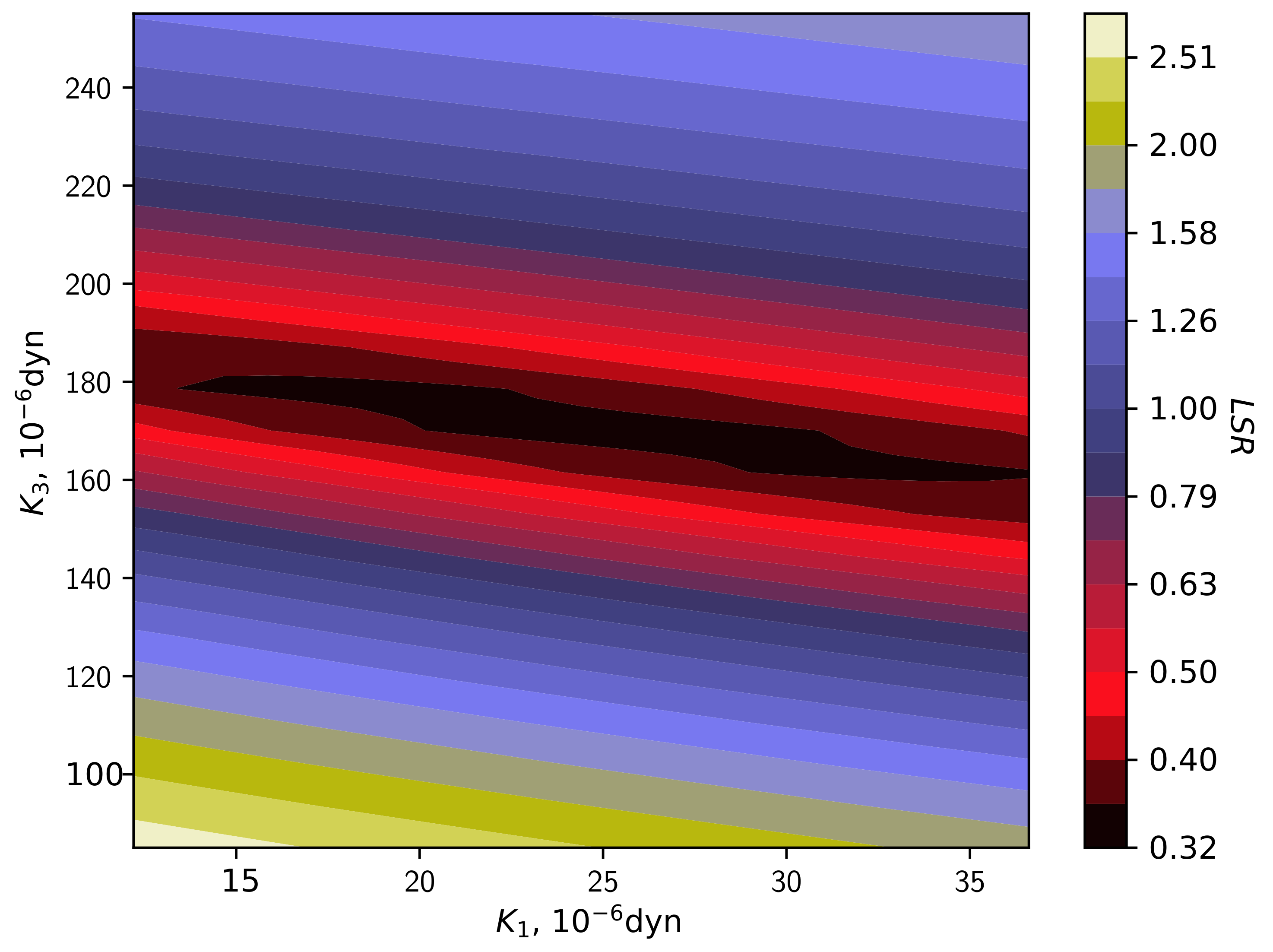
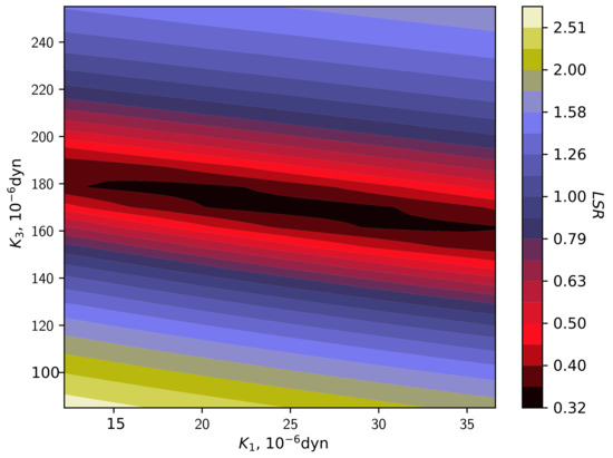
The process of searching for the best , consists of obtaining the map for the LSR criterion (13) for various elastic constants.
On Figure 6 one can see the region with the lowest LSR results. This map was made using 1681 uniformly distributed points. The minimum point is dyn, dyn.
Figure 6.
The map for the LSR criterion on , for Gd complex.
For the error estimation study the self check procedure was made. For this purpose the dependence given by Equation (6) was generated for the same set of H as for experiment with lanthanide complex with given dyn, dyn, that correspond to the minimization results for Gd complex and , that corresponds to the value of for . Suppose that we do not know the and for this dependence and try to find them by LSR criterion (13). The map on , obtained under this assumption is given on Figure 7. One can see, that the minimum takes place at the exact same , as it was expected.
Figure 7.
The map for the least squares root (LSR) criterion on , for the test dependence based on Gd complex.
From Figure 7 one can see the angle of inclination for the long axis of the ellipses with the constant value of . This angle is related to the pretilt angle . To show it we make the maps on , for the set of . Figure 8 shows these maps. Note, our minimization procedure allows us to estimate the pretilt angle. It can be added to the minimization problem as an additional free parameter. However, in our case, this is not necessary, as we can estimate the pretilt angle by the value of effective permittivity at zero magnetic field.
Figure 8.
The map for the LSR criterion on , for test dependence based on Gd complex for different values of : (a), (b), (c), (d). Here, the and values are plotted along the axes on the same scale as in Figure 7.
Another way to make the self check is to perform the same measurements for a well known LC. The well-studied 5CB was taken as such a liquid crystal. The results of the measurements for 5CB for the same cell and the same geometries are presented on Figure 9.
Figure 9.
The dependencies of on H for a sample of a liquid crystal (5CB): experimental (dots) and theoretical (solid line). The line and the dots marked as 1 correspond to the case . The line and the dots marked as 2 correspond to the case .
Then basing on the measurement results only, we have implemented the numerical procedure described in Section 4. The map for the LSR criterion on , for 5CB was calculated (Figure 10).
Figure 10.
The map for the LSR criterion on , for 5CB.
The map gives the minimum for dyn, dyn. Making the comparison with known values for 5CB [37] dyn, dyn we can see a good matching of the results for the elastic constant and satisfactory matching for the constant . The solid lines on Figure 9 are calculated basing on the values of and , obtained from the map for the LSR criterion. One can see a good agreement between experimental data and calculation results.
Finally, Figure 11 shows the experimental data and calculated approximations for the dependencies of on H for Gd complex.
Figure 11.
The dependencies of on H for Gd complex: experimental (dots) and theoretical (solid line). The line and the dots marked as 1 correspond to the case . The line and the dots marked as 2 correspond to the case .
Here, the solid lines are calculated based on the values of and , obtained from the map for the LSR criterion (Figure 6). The Frank elastic constants for was taken as dyn, dyn. One can see a good agreement between experimental data and calculation results.
We performed calculations both for the strong boundary conditions and for weak coupling with a series of values for the coefficient k in Equation (8). The best match for lanthanidomesogen was achieved for the case of strong boundary conditions.
6. Discussion
In the present paper, we proposed a numerical minimization procedure which allows us to estimate two elastic constants and to obtain a profile of the director which gives a good agreement between experimental data and numerical results. As an experimental sample, we used the gadolinium complex and investigate the magnetic field-induced macroscopic alignment.
The estimated error (LSR criterion) is represented with a set of ellipses inclined at the same angle to the horizontal axis. This angle depends on the pretilt angle of the director and increases with it. Thus, it can be said that some linear combination of and was estimated with rather high accuracy, however, since the values of these coefficients themselves are interesting for practical purposes, the final data obtained by this method is not so accurate. The value of is measured with significantly greater accuracy, since for the selected geometry, assuming there is no pretilt, does not significantly affect the system and its contribution grows with the pretilt angle, and consequently, the inclination angle of the ellipse. It can be noted that the inclination angle of the ellipse on the test map coincides with the inclination angle of the ellipse when using experimental data, which additionally confirms the correctness of the used theoretical model.
As one can see, this method cannot provide accurate information on for lanthanidomesogens, but at least it gives us the information that it is several times smaller than . It is not as accurate as optical methods, but still can be useful for some special cases like this one. It should be noted that the values of the elastic constants for lanthanidomesogen turned out to be quite large in comparison with ordinary LCs.
The revealed dependence of the minimum vicinity on the pretilt angle suggests that the accuracy of determining the value of the elastic constant can be improved by fixing the pretilt angle close to . The proposed numerical method can be generalized to more complex systems, for example, helicoidal LCs or systems with negative magnetic anisotropy. In this case, it will be possible to determine the third elastic constant .
The proposed theoretical model and numerical procedure make it possible to determine Frank elastic constants in a wide temperature range. For these purposes, it is necessary to obtain the dependences of the effective permittivity on the magnitude of the magnetic field at various temperatures and to calculate the Frank constants using the proposed numerical procedure.
It should be noted that the synthesis of lanthanidomesogens of the class under consideration, which have a liquid crystalline state at room temperature, would significantly expand the field of practical applications. However, at the moment we do not have information on the synthesis of such complexes.
Author Contributions
L.D. and A.K. performed the experimental study. E.A. and E.R. planned the research. I.T. performed numerical simulations. E.A. and I.T. performed the theoretical study. E.A., L.D., A.K. and I.T. wrote the manuscript.
Funding
This research received no external funding.
Acknowledgments
The studies were carried out using the equipment of the resource center for Diagnostics of Functional Materials for Medicine, Pharmacology and Nanoelectronics of the Research Park of Saint Petersburg State University.
Conflicts of Interest
The authors declare no conflict of interest.
References
- Knyazev, A.A.; Molostova, E.Y.; Krupin, A.S.; Heinrich, B.; Donnio, B.; Haase, W.; Galyametdinov, Y.G. Mesomorphic Behaviour and Luminescent Properties of Mesogenic-diketonate Lanthanide Adducts with 5,5’-di(heptadecyl)-2,2’-bipyridine. Liq. Cryst. 2013, 40, 857–863. [Google Scholar] [CrossRef]
- Galyametdinov, Y.G.; Knyazev, A.A.; Dzhabarov, V.I.; Cardinaels, T.; Driesen, K.; Görller-Walrand, C.; Binnemans, K. Polarized Luminescence from Aligned Samples of Nematogenic Lanthanide Complexes. Adv. Mater. 2008, 20, 252–257. [Google Scholar] [CrossRef]
- Mulet, X.; Boyd, B.J.; Drummond, C.J. Advances in Drug Delivery and Medical Imaging Using Colloidal Lyotropic Liquid Crystalline Dispersions. J. Colloid Interface Sci. 2013, 393, 1–20. [Google Scholar] [CrossRef] [PubMed]
- De Gennes, P.G.; Prost, J. The Physics of Liquid Crystals; Clarendon Press: Oxford, UK, 1993. [Google Scholar]
- Pikin, S.A. Structural Transformations in Liquid Crystals; Gordon & Breach: New York, NY, USA, 1991. [Google Scholar]
- Stewart, I.W. The Static and Dynamic Continuum Theory of Liquid Crystals: A Mathematical Introduction, Liquid Crystals Book Series; Taylor & Francis: London, UK, 2004. [Google Scholar]
- Brown, C.V.; Mottram, N.J. Influence of flexoelectricity above the nematic Fréedericksz transition. Phys. Rev. E 2003, 68, 031702. [Google Scholar] [CrossRef] [PubMed]
- Škarabot, M.; Ravnik, M.; Babič, D.; Osterman, N.; Poberaj, I.; Žumer, S.; Muševič, I.; Nych, A.; Ognysta, U.; Nazarenko, V. Laser trapping of low refractive index colloids in a nematic liquid crystal. Phys. Rev. E 2006, 73, 021705. [Google Scholar] [CrossRef]
- Smith, A.A.T.; Brown, C.V.; Mottram, N.J. Theoretical analysis of the magnetic Fréedericksz transition in the presence of flexoelectricity and ionic contamination. Phys. Rev. E 2007, 75, 041704. [Google Scholar] [CrossRef]
- Kopčanský, P.; Tomašovičová, N.; Koneracká, M.; Závišová, V.; Timko, M.; Džarová, A.; Šprincová, A.; Éber, N.; Fodor-Csorba, K.; Tóth-Katona, T.; et al. Structural changes in the 6CHBT liquid crystal doped with spherical, rodlike, and chainlike magnetic particles. Phys. Rev. E 2008, 78, 011702. [Google Scholar] [CrossRef]
- Babayan, E.A.; Budagovsky, I.A.; Shvetsov, S.A.; Smayev, M.P.; Zolot’ko, A.S.; Boiko, N.I.; Barnik, M.I. Light- and electric-field-induced first-order orientation transitions in a dendrimer-doped nematic liquid crystal. Phys. Rev. E 2010, 82, 061705. [Google Scholar] [CrossRef]
- Makarov, D.V.; Zakhlevnykh, A.N. Tricritical phenomena at the Fréedericksz transition in ferronematic liquid crystals. Phys. Rev. E 2010, 81, 051710. [Google Scholar] [CrossRef]
- Bevilacqua, G.; Napoli, G. Periodic splay-twist Fréedericksz transition for nematics confined between two concentric cylinders. Phys. Rev. E 2010, 81, 031707. [Google Scholar] [CrossRef]
- Shelestiuk, S.M.; Reshetnyak, V.Y.; Sluckin, T.J. Frederiks transition in ferroelectric liquid-crystal nanosuspensions. Phys. Rev. E 2011, 83, 041705. [Google Scholar] [CrossRef] [PubMed]
- Chernyshuk, S.B.; Tovkach, O.M.; Lev, B.I. Theory of elastic interaction between colloidal particles in a nematic cell in the presence of an external electric or magnetic field. Phys. Rev. E 2012, 85, 011706. [Google Scholar] [CrossRef] [PubMed]
- Rapini, A.; Papoular, M. Distorsion d’une lamelle nématique sous champ magnétique conditions d’ancrage aux parois. J. Phys. Colloq. 1969, 30, 54–56. [Google Scholar] [CrossRef]
- Deuling, H.J. Deformation of Nematic Liquid Crystals in an Electric Field. Mol. Cryst. Liq. Cryst. 1972, 19, 123–131. [Google Scholar] [CrossRef]
- Cheng, J.; Thurston, R.N.; Berreman, D.W. Boundary-layer model of field effects in a bistable liquid-crystal geometry. J. Appl. Phys. 1981, 52, 2756–2765. [Google Scholar] [CrossRef]
- Thurston, R.N.; Berreman, D.W. Equilibrium and stability of liquid-crystal configurations in an electric field. J. Appl. Phys. 1981, 52, 508–509. [Google Scholar] [CrossRef]
- Berreman, D.W.; Heffner, W.R. New bistable liquid-crystal twist cell. J. Appl. Phys. 1981, 52, 3032–3039. [Google Scholar] [CrossRef]
- Thurston, R.N. Exact solutions for liquid crystal configurations and an improved boundary layer model. J. Appl. Phys. 1983, 54, 4966–4988. [Google Scholar] [CrossRef]
- Hirning, R.; Funk, W.; Trebin, H.-R.; Schmidt, M.; Schmiedel, H. Threshold behavior and electro-optical properties of twisted nematic layers with weak anchoring in the tilt and twist angle. J. Appl. Phys. 1991, 70, 4211–4216. [Google Scholar] [CrossRef]
- Dzhabarov, V.I.; Knyazev, A.A.; Strelkov, M.V.; Molostova, E.Y.; Schustov, V.A.; Haase, W.; Galyametdinov, Y.G. Tris(β-diketonates) lanthanum nematic adducts. Liq. Cryst. 2010, 37, 285–291. [Google Scholar] [CrossRef]
- Dzhabarov, V.I. Synthesis, Phase Behavior, Magnetic and Optical Properties of Tris(β-diketonates) Lanthanum Nematic Adducts with the Lewis Bases. Ph.D. Thesis, Kazan State Technological University, Kazan, Russia, 2009. [Google Scholar]
- Galyametdinov, Y.G.; Haase, W.; Goderis, B.; Moors, D.; Driesen, K.; van Deun, R.; Binnemans, K. Magnetic Alignment Study of Rare-earth-containing Liquid Crystals. J. Phys. Chem. B 2007, 111, 13881–13885. [Google Scholar] [CrossRef][Green Version]
- Dzhabarov, V.I.; Knyazev, A.A.; Nikolaev, V.F.; Galyametdinov, Y.G. Anisotropy of the Magnetic Susceptibility of Mesogeneous Lanthanide Complexes. Rus. J. Phys. Chem. A 2011, 85, 1450–1453. [Google Scholar] [CrossRef]
- Meyerhofer, D. Field-induced distortions of a liquid crystal with various surface alignments. Phys. Lett. A 1975, 51, 407. [Google Scholar] [CrossRef]
- Aksenova, E.V.; Karetnikov, A.A.; Karetnikov, N.A.; Kovshik, A.P.; Ryumtsev, E.I.; Sakhatskii, A.S.; Svanidze, A.V. Effect of an Electric Field on the Orientation of a Liquid Crystal in a Cell with a Nonuniform Director Distribution. JETP 2016, 122, 942–949. [Google Scholar] [CrossRef]
- Dobrun, L.A.; Kovshik, A.P.; Ryumtsev, E.I.; Galyametdinov, Y.G.; Knyazev, A.A. Dielectric properties of gadolinium-based liquid crystalline complex. Crystallogr. Rep. 2017, 62, 753–757. [Google Scholar] [CrossRef]
- Val’kov, A.Y.; Aksenova, E.V.; Romanov, V.P. First-order and continuous Fréedericksz transitions in cholesteric liquid crystals. Phys. Rev. E 2013, 87, 022508. [Google Scholar] [CrossRef]
- Kimura, H.; Hosino, M.; Nakano, H. Molecular Statistical Theory of the Frank Elastic Constants of Liquid Crystals. Mol. Cryst. Liq. Cryst. 1981, 74, 55–69. [Google Scholar] [CrossRef]
- Alben, R. Pretransition effects in nematic liquid crystals: Model calculations. Mol. Cryst. Liq. Cryst. 1971, 13, 193. [Google Scholar] [CrossRef]
- Hara, M.; Hirakata, J.-I.; Toyooka, T.; Takezoe, H.; Fukuda, A. Determination of the Frank Elastic Constant Ratios in Nematic Liquid Crystals (nCB) by Observing Angular Dependence of Rayleigh Light Scattering Intensity. Mol. Cryst. Liq. Cryst. 1985, 122, 161–168. [Google Scholar] [CrossRef]
- Bradshaw, M.J.; Raynes, E.P. Electric permittivities and elastic constants of the cyano bi-cyclohexanes (CCH). Mol. Cryst. Liq. Cryst. 1981, 72, 35. [Google Scholar] [CrossRef]
- Hakemi, H.E.; Jagodzinski, F.; DuPre, D.B. The determination of the elastic constants of a series of n-alkylcyanobiphenyls by anisotropy of turbidity. J. Chem. Phys. 1983, 78, 1513. [Google Scholar] [CrossRef]
- Wales, D.J. Energy Landscapes; Cambridge University Press: Cambridge, UK, 2003. [Google Scholar]
- Dunmur, D.A.; Fukuda, A.; Luckhurst, G.R. Physical Properties of Liquid Crystals: Nematics; EMIS Datareviews Series No. 25; The Institution of Electrical Engineers (INSPEC): London, UK, 2001. [Google Scholar]
© 2019 by the authors. Licensee MDPI, Basel, Switzerland. This article is an open access article distributed under the terms and conditions of the Creative Commons Attribution (CC BY) license (http://creativecommons.org/licenses/by/4.0/).










