Unprecedented Hexanuclear Cobalt(II) Nonsymmetrical Salamo-Based Coordination Compound: Synthesis, Crystal Structure, and Photophysical Properties
Abstract
:1. Introduction
2. Experimental
2.1. Materials and Physical Measurements
2.2. Preparations and Characterizations
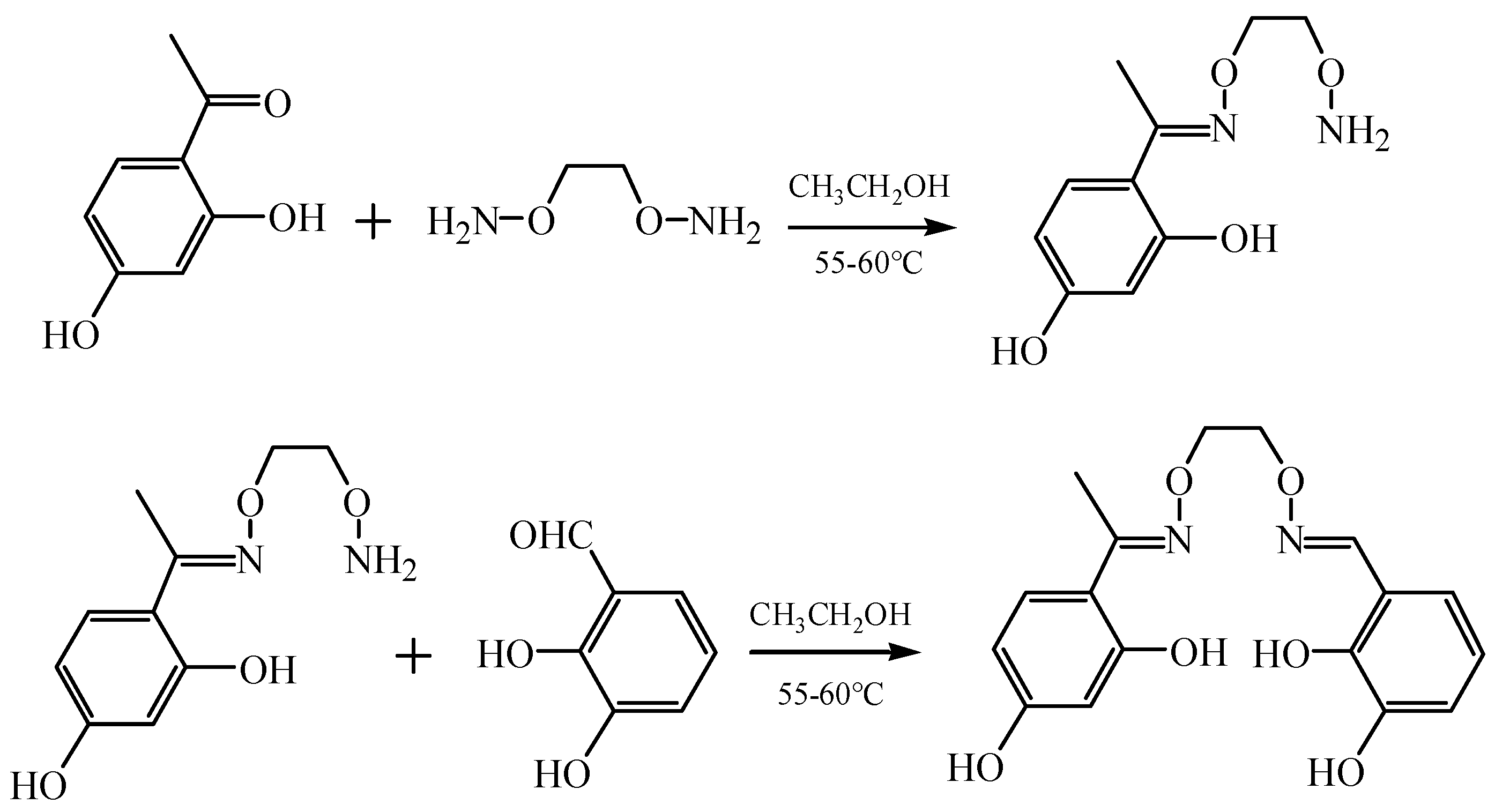
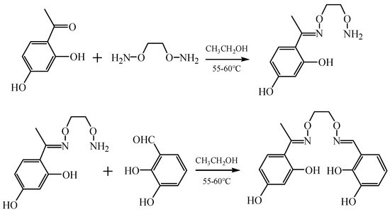
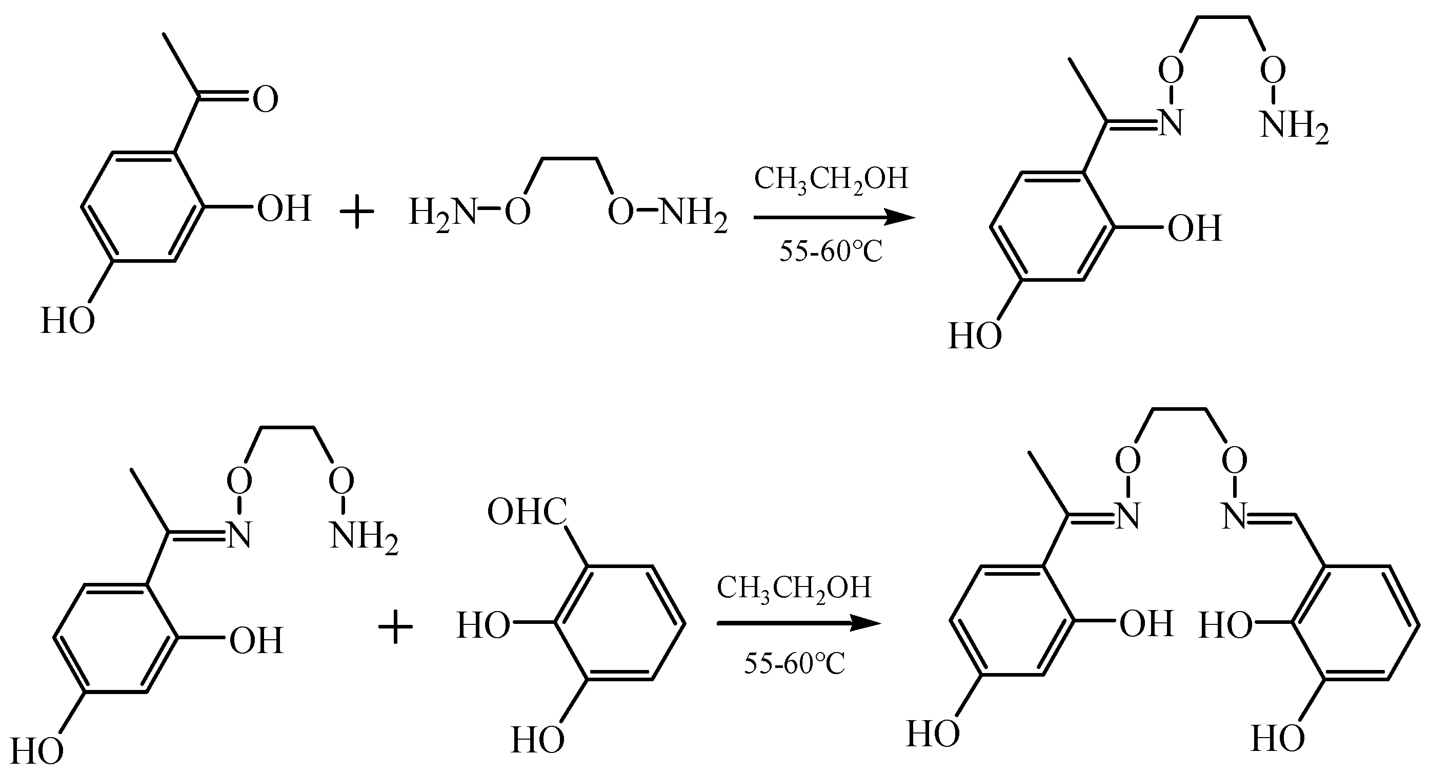
2.2.1. Preparation and Characterization of H4L
2.2.2. Preparation and Characterizationof the Co(II) Coordination Compound
2.3. X-ray Structure Determination of the Co(II) Coordination Compound
3. Results and Discussion
3.1. Description of the Crystal Structure
3.2. IR Spectroscopy
3.3. UV–Vis Spectroscopy
3.4. Fluorescence Properties
4. Conclusions
Acknowledgments
Author Contributions
Conflicts of Interest
References
- Zhou, J.J.; Song, X.Q.; Liu, Y.A.; Wang, X.L. Substituent-tuned structure and luminescence sensitizing towards Al3+ based on phenoxy bridged dinuclear EuIII complexes. RSC Adv. 2017, 7, 25549–25559. [Google Scholar] [CrossRef]
- Xu, L.; Zhu, L.C.; Ma, J.C.; Zhang, Y.; Zhang, J.; Dong, W.K. Syntheses, structures and spectral properties of mononuclear CuII and dimeric ZnII complexes based on an asymmetric Salamo-type N2O2 ligand. Z. Anorg. Allg. Chem. 2015, 641, 2520–2524. [Google Scholar] [CrossRef]
- Dong, X.Y.; Li, X.Y.; Liu, L.Z.; Zhang, H.; Ding, Y.J.; Dong, W.K. Tri- and hexanuclear heterometallic Ni(II)–M(II) (M = Ca, Sr and Ba) bis(Salamo)-type complexes: Synthesis, structure and fluorescence properties. RSC Adv. 2017, 7, 48394–48403. [Google Scholar] [CrossRef]
- Yang, Y.H.; Hao, J.; Dong, Y.J.; Wang, G. Two znic(II) complexes constructed from a bis(Salamo)-type tetraoxime ligand: Syntheses, crystal structures and luminescence properties. Chin. J. Inorg. Chem. 2017, 33, 1280–1292. [Google Scholar]
- Chai, L.Q.; Huang, J.J.; Zhang, H.S. An unexpected cobalt (III) complex containing a schiff base ligand: Synthesis, crystal structure, spectroscopic behavior, electrochemical property and SOD-like activity. Spectrochim. Acta Part A 2014, 131, 526–530. [Google Scholar] [CrossRef] [PubMed]
- Chai, L.Q.; Tang, L.J.; Chen, L.C.; Huang, J.J. Structural, spectral, electrochemical and DFT studies of two mononuclear manganese(II) and zinc(II) complexes. Polyhedron 2017, 122, 228–240. [Google Scholar] [CrossRef]
- Chai, L.Q.; Huang, J.J.; Zhang, J.Y.; Li, Y.X. Two 1-D and 2-D cobalt(II) complexes: Synthesis, crystal structures, spectroscopic and electrochemical properties. J. Coord. Chem. 2015, 68, 1224–1237. [Google Scholar] [CrossRef]
- Chai, L.Q.; Zhang, K.Y.; Tang, L.J.; Zhang, J.Y.; Zhang, H.S. Two mono- and dinuclear Ni(II) complexes constructed from quinazoline-type ligands: Synthesis, x-ray structures, spectroscopic, electrochemical, thermal, and antimicrobial studies. Polyhedron 2017, 130, 100–107. [Google Scholar] [CrossRef]
- Dong, Y.J.; Dong, X.Y.; Dong, W.K.; Zhang, Y.; Zhang, L.S. Three asymmetric Salamo-type copper(II) and cobalt(II) complexes: Syntheses, structures, fluorescent properties. Polyhedron 2017, 123, 305–315. [Google Scholar] [CrossRef]
- Dong, W.K.; Ma, J.C.; Dong, Y.J.; Zhao, L.; Zhu, L.C.; Sun, Y.X.; Zhang, Y. Two hetero-trinuclear Zn(II)-M(II) (M = Sr, Ba) complexes based on metallohost of mononuclear Zn(II) complex: Syntheses, structures and fluorescence properties. J. Coord. Chem. 2016, 69, 3231–3240. [Google Scholar] [CrossRef]
- Dong, Y.J.; Ma, J.C.; Zhu, L.C.; Dong, W.K.; Zhang, Y. Four 3d–4f heteromultinuclear zinc(II)–lanthanide(III) complexes constructed from a distinct hexadentate N2O2-type ligand: Syntheses, structures and photophysical properties. J. Coord. Chem. 2017, 70, 103–115. [Google Scholar] [CrossRef]
- Dong, W.K.; Akogun, S.F.; Zhang, Y.; Dong, X.Y. A reversible “turn-on” fluorescent sensor for selective detection of Zn2+. Sens. Actuators B 2017, 238, 723–734. [Google Scholar] [CrossRef]
- Dong, W.K.; Ma, J.C.; Zhu, L.C.; Zhang, Y.; Li, X.L. Four new nickel(II) complexes based on an asymmetric Salamo-type ligand: Synthesis, structure, solvent effect and electrochemical property. Inorg. Chim. Acta 2016, 445, 140–148. [Google Scholar] [CrossRef]
- Dong, W.K.; Zhu, L.C.; Dong, Y.J.; Ma, J.C.; Zhang, Y. Mono, di and heptanuclear metal(II) complexes based on symmetric and asymmetric tetradentate Salamo-type ligands: Syntheses, structures and spectroscopic properties. Polyhedron 2016, 117, 148–154. [Google Scholar] [CrossRef]
- Ma, J.C.; Dong, X.Y.; Dong, W.K.; Zhang, Y.; Zhu, L.C.; Zhang, J.T. A new application of Salamo-type bisoximes: As a relay–sensor for Zn2+/Cu2+ and its novel complexes for successive sensing of H+/OH−. J. Coord. Chem. 2016, 69, 149–159. [Google Scholar] [CrossRef]
- Chai, L.Q.; Liu, G.; Zhang, Y.L.; Huang, J.J.; Tong, J.F. Synthesis, crystal structure, fluorescence, electrochemical property, and SOD-like activity of an unexpected nickel(II) complex with a quinazoline-type ligand. J. Coord. Chem. 2013, 66, 3926–3938. [Google Scholar] [CrossRef]
- Chai, L.Q.; Wang, G.; Sun, Y.X.; Dong, W.K.; Zhao, L.; Gao, X.H. Synthesis, crystal structure, and fluorescence of an unexpected dialkoxo-bridged dinuclear copper(II) complex with bis(Salen)-type tetraoxime. J. Coord. Chem. 2012, 65, 1621–1631. [Google Scholar] [CrossRef]
- Chai, L.Q.; Zhang, H.S.; Dong, W.K.; Zhao, Y.L. Synthesis of unsymmetrical ureas with coumarin and thiadiazole ring under microwave irradiation. Phosphorus Sulfur Silicon 2010, 185, 1332–1337. [Google Scholar] [CrossRef]
- Bella, S.D.; Fragalà, I. Chem Inform abstract: Synthesis and second-order nonlinear optical properties of bis(salicylaldiminato) M(II) metalloorganic materials. Synth. Met. 2000, 115, 191–196. [Google Scholar] [CrossRef]
- Li, L.H.; Dong, W.K.; Zhang, Y.; Akogun, S.F.; Xu, L. Syntheses, structures and catecholase activities of homo- and hetero-trinuclear cobalt(II) complexes constructed from an acyclic naphthalenediol-based bis(Salamo)-type ligand. Appl. Organomet. Chem. 2017, 31, e3818. [Google Scholar] [CrossRef]
- Li, X.Y.; Chen, L.; Gao, L.; Zhang, Y.; Akogun, S.F.; Dong, W.K. Syntheses, crystal structures and catalytic activities of two solvent-induced homotrinuclear Co(II) complexes with a naphthalenediol-based bis(Salamo)-type tetraoxime ligand. RSC Adv. 2017, 7, 35905–35916. [Google Scholar] [CrossRef]
- Wu, H.L.; Pan, G.L.; Bai, Y.C.; Wang, H.; Kong, J. Synthesis, structure, antioxidation, and DNA-bindingstudies of a binuclear ytterbium(III) complex with bis(N-salicylidene)-3-oxapentane-1,5-diamine. Res. Chem. Intermed. 2015, 41, 3375–3388. [Google Scholar] [CrossRef]
- Wu, H.L.; Bai, Y.C.; Zhang, Y.H.; Pan, G.L.; Kong, J.; Shi, F.; Wang, X.L. Two lanthanide(III) complexes based on the schiff base N,N-Bis(salicylidene)-1,5-diamino-3-oxapentane: Synthesis, characterization, DNA-binding properties, and antioxidation. Z. Anorg. Allg. Chem. 2014, 640, 2062–2071. [Google Scholar] [CrossRef]
- Chen, C.Y.; Zhang, J.W.; Zhang, Y.H.; Yang, Z.H.; Wu, H.L. Gadolinium(III) and dysprosium(III) complexes with a schiff base bis(N-salicylidene)-3-oxapentane-1,5-diamine: Synthesis, characterization, antioxidation, and DNA-binding studies. J. Coord. Chem. 2015, 68, 1054–1071. [Google Scholar] [CrossRef]
- Wu, H.L.; Bai, Y.C.; Zhang, Y.H.; Li, Z.; Wu, M.C.; Chen, C.Y.; Zhang, J.W. Synthesis, crystal structure, antioxidation and DNA-binding properties of a dinuclear copper(II) complex with bis(N-salicylidene)-3-oxapentane-1,5-diamine. J. Coord. Chem. 2014, 67, 3054–3066. [Google Scholar] [CrossRef]
- Wu, H.L.; Pan, G.L.; Bai, Y.C.; Zhang, Y.H.; Wang, H.; Shi, F.R.; Wang, X.L.; Kong, J. Study on synthesis, crystal structure, antioxidant and DNA-binding of mono-, di-and poly-nuclear lanthanides complexes with bis (N-salicylidene)-3-oxapentane-1, 5-diamine. J. Photochem. Photobiol. B 2014, 135, 33–43. [Google Scholar] [CrossRef] [PubMed]
- Wu, H.L.; Pan, G.L.; Bai, Y.C.; Wang, H.; Kong, J.; Shi, F.R.; Zhang, Y.H.; Wang, X.L. Preparation, structure, DNA-binding properties, and antioxidant activities of a homodinuclear erbium(III) complex with a pentadentate schiff base ligand. J. Chem. Res. 2014, 38, 211–217. [Google Scholar] [CrossRef]
- Wu, H.L.; Wang, C.P.; Wang, F.; Peng, H.P.; Zhang, H.; Bai, Y.C. A new manganese(III) complex from bis(5-methylsalicylaldehyde)-3-oxapentane-1,5-diamine: Synthesis, characterization, antioxidant activity and luminescence. J. Chin. Chem. Soc. 2015, 62, 1028–1034. [Google Scholar] [CrossRef]
- Wu, H.L.; Bai, Y.; Yuan, J.K.; Wang, H.; Pan, G.L.; Fan, X.Y.; Kong, J. A zinc(II) complex with tris(2-(N-methyl)benzimidazlylmethyl)amine and salicylate: Synthesis, crystal structure, and DNA-binding. J. Coord. Chem. 2012, 65, 2839–2851. [Google Scholar] [CrossRef]
- Song, X.Q.; Liu, P.P.; Wang, C.Y.; Liu, Y.A.; Liu, W.S.; Zhang, M. Three sandwich-type zinc(II)–lanthanide(III) clusters: Structures, luminescence and magnetic properties. RSC Adv. 2017, 7, 22692–22698. [Google Scholar] [CrossRef]
- Zheng, S.S.; Dong, W.K.; Zhang, Y.; Chen, L.; Ding, Y.J. Four Salamo-type 3d–4f hetero-bimetallic [ZnIILnIII] complexes: Syntheses, crystal structures, and luminescent and magnetic properties. New J. Chem. 2017, 41, 4966–4973. [Google Scholar] [CrossRef]
- Dong, W.K.; Ma, J.C.; Zhu, L.C.; Zhang, Y. Nine self–assembled nickel(II)–lanthanide(III) heterometallic complexes constructed from a Salamo–type bisoxime and bearing N- or O-donor auxiliary ligand: Syntheses, structures and magnetic properties. New J. Chem. 2016, 40, 6998–7010. [Google Scholar] [CrossRef]
- Sun, Y.X.; Wang, L.; Dong, X.Y.; Ren, Z.L.; Meng, W.S. Synthesis, characterization, and crystal structure of a supramolecular CoII complex containing Salen-type bisoxime. Synth. React. Inorg. Met.-Org. Nano Met. Chem. 2013, 43, 599–603. [Google Scholar] [CrossRef]
- Sun, Y.X.; Xu, L.; Zhao, T.H.; Liu, S.H.; Dong, X.T. Synthesis and crystal structure of a 3D supramolecular copper(II) complex with 1-(3-{[(E)-3-bromo-5-chloro-2-hydroxybenzylidene]amino}phenyl) ethanoneoxime. Synth. React. Inorg. Met.-Org. Nano Met. Chem. 2013, 43, 509–513. [Google Scholar] [CrossRef]
- Sun, Y.X.; Zhang, S.T.; Ren, Z.L.; Dong, X.Y.; Wang, L. Synthesis, characterization, and crystal structure of a new supramolecular CdII complex with halogen-substituted Salen-type bisoxime. Synth. React. Inorg. Met.-Org. Nano Met. Chem. 2013, 43, 995–1000. [Google Scholar] [CrossRef]
- Sun, Y.X.; Gao, X.H. Synthesis, characterization, and crystal structure of a new CuII complex with Salen-type ligand. Synth. React. Inorg. Met.-Org. Nano Met. Chem. 2011, 41, 973–978. [Google Scholar] [CrossRef]
- Song, X.Q.; Liu, P.P.; Xiao, Z.R.; Li, X.; Liu, Y.A. Four polynuclear complexes based on a versatile salicylamide Salen-like ligand: Synthesis, structural variations and magnetic properties. Inorg. Chim. Acta 2015, 438, 232–244. [Google Scholar] [CrossRef]
- Liu, Y.A.; Wang, C.Y.; Zhang, M.; Song, X.Q. Structures and magnetic properties of cyclic heterometallic tetranuclear clusters. Polyhedron 2017, 127, 278–286. [Google Scholar] [CrossRef]
- Liu, P.P.; Wang, C.Y.; Zhang, M.; Song, X.Q. Pentanuclear sandwich-type ZnII-LnIII clusters based on a new Salen-like salicylamide ligand: Structure, near-infrared emission and magnetic properties. Polyhedron 2017, 129, 133–140. [Google Scholar] [CrossRef]
- Liu, P.P.; Sheng, L.; Song, X.Q.; Xu, W.Y.; Liu, Y.A. Synthesis, structure and magnetic properties of a new one dimensional manganese coordination polymer constructed by a new asymmetrical ligand. Inorg. Chim. Acta 2015, 434, 252–257. [Google Scholar] [CrossRef]
- Song, X.Q.; Peng, Y.J.; Chen, G.Q.; Wang, X.R.; Liu, P.P.; Xu, W.Y. Substituted group-directed assembly of Zn(II) coordination complexes based on two new structural related pyrazolone based Salen ligands: Syntheses, structures and fluorescence properties. Inorg. Chim. Acta 2015, 427, 13–21. [Google Scholar] [CrossRef]
- Song, X.Q.; Liu, P.P.; Liu, Y.A.; Zhou, J.J.; Wang, X.L. Two dodecanuclearheterometallic [Zn6Ln6] clusters constructed by a multidentate salicylamide Salen-like ligand: Synthesis, structure, luminescence and magnetic properties. Dalton. Trans. 2016, 45, 8154–8163. [Google Scholar] [CrossRef] [PubMed]
- Wang, L.; Hao, J.; Zhai, L.X.; Zhang, Y.; Dong, W.K. Synthesis, crystal structure, luminescence, electrochemical and antimicrobial properties of bis(Salamo)-based Co(II) complex. Crystals 2017, 7, 277. [Google Scholar] [CrossRef]
- Akine, S. Novel ion recognition systems based on cyclic and acyclic oligo(Salen)-type ligands. J. Incl. Phenom. Macrocycl. Chem. 2012, 72, 25–54. [Google Scholar] [CrossRef]
- Zhang, H.; Dong, W.K.; Zhang, Y.; Akogun, S.F. Naphthalenediol-based bis(Salamo)-type homo- and heterotrinuclear cobalt(II) complexes: Syntheses, structures and magnetic properties. Polyhedron 2017, 133, 279–293. [Google Scholar] [CrossRef]
- Li, X.Y.; Kang, Q.P.; Liu, L.Z.; Ma, J.C.; Dong, W.K. Trinuclear Co(II) and mononuclear Ni(II) Salamo-type bisoxime coordination compounds. Crystals 2018, 8, 43. [Google Scholar] [CrossRef]
- Dong, W.K.; Li, G.; Wang, Z.K.; Dong, X.Y. A novel trinuclear cobalt(II) complex derived from an asymmetric Salamo-type N2O3bisoxime chelate ligand: Synthesis, structure and optical properties. Spectrochim. Acta Part A 2014, 133, 340–347. [Google Scholar] [CrossRef] [PubMed]
- Dong, X.Y.; Akogun, S.F.; Zhou, W.M.; Dong, W.K. Tetranuclear Zn(II) complex based on an asymmetrical Salamo-type chelating ligand: Synthesis, structural characterization, and fluorescence property. J. Chin. Chem. Soc. 2017, 64, 412–419. [Google Scholar] [CrossRef]
- Dong, W.K.; Ma, J.C.; Zhu, L.C.; Zhang, Y. Self-assembled zinc(II)-lanthanide(III) heteromultinuclear complexes constructed from 3-MeO Salamo ligand: Syntheses, structures and luminescent properties. Cryst. Growth Des. 2016, 16, 6903–6914. [Google Scholar] [CrossRef]
- Zhao, L.; Dang, X.T.; Chen, Q.; Zhao, J.X.; Wang, L. Synthesis, crystal structure and spectral properties of a 2D supramolecular copper(II) complex with 1-(4-{[(E)-3-ethoxyl-2-hydroxybenzylidene]amino}phenyl)ethanoneoxime. Synth. React. Inorg. Met.-Org. Nano Met. Chem. 2013, 43, 1241–1246. [Google Scholar] [CrossRef]
- Zhao, L.; Wang, L.; Sun, Y.X.; Dong, W.K.; Tang, X.L.; Gao, X.H. A supramolecular copper(II) complex bearing Salen-type bisoxime ligand: Synthesis, structural characterization, and thermal property. Synth. React. Inorg. Met.-Org. Nano Met. Chem. 2012, 42, 1303–1308. [Google Scholar] [CrossRef]
- Wang, P.; Zhao, L. An infinite 2D supramolecular cobalt(II) complex based on an asymmetric Salamo-type ligand: Synthesis, crystal structure, and spectral properties. Synth. React. Inorg. Met.-Org. Nano Met. Chem. 2016, 46, 1095–1101. [Google Scholar] [CrossRef]
- Wang, P.; Zhao, L. Synthesis, structure and spectroscopic properties of the trinuclear cobalt(II) and nickel(II) complexes based on 2-hydroxynaphthaldehyde and bis(aminooxy)alkane. Spectrochim. Acta Part A 2015, 135, 342–350. [Google Scholar] [CrossRef] [PubMed]
- Wang, L.; Ma, J.C.; Dong, W.K.; Zhu, L.C.; Zhang, Y. A novel self–assembled nickel(II)–cerium(III) heterotetranuclear dimer constructed from N2O2-type bisoxime and terephthalic acid: Synthesis, structure and photophysical properties. Z. Anorg. Allg. Chem. 2016, 642, 834–839. [Google Scholar] [CrossRef]
- Dong, W.K.; Li, X.L.; Wang, L.; Zhang, Y.; Ding, Y.J. A new application of Salamo-type bisoximes: As a relay-sensor for Zn2+/Cu2+ and its novel complexes for successive sensing of H+/OH−. Sens. Actuators B 2016, 229, 370–378. [Google Scholar] [CrossRef]
- Dong, W.K.; Zhang, J.T.; Dong, Y.J.; Zhang, Y.; Wang, Z.K. Construction of mononuclear copper(II) and trinuclear cobalt(II) complexes based on asymmetric Salamo-type ligands. Z. Anorg. Allg. Chem. 2016, 642, 189–196. [Google Scholar] [CrossRef]
- Dong, W.K.; Sun, Y.X.; He, X.N.; Tong, J.F.; Wu, J.C. Trinuclear and mononuclear copper(II) complexes incorporating tetradentate 2,2′-[1,1′-(ethylenedioxydinitrilo)diethylidyne]diphenol ligand: Syntheses, crystal structures, spectral and thermal behaviors. Spectrochim. Acta Part A 2010, 76, 476–483. [Google Scholar] [CrossRef] [PubMed]
- Dong, W.K.; Li, X.; Yang, C.J.; Zhao, M.M.; Li, G.; Dong, X.Y. Syntheses and crystal structures of 5-methoxy-6′-hydroxy-2,2′ -[ethylenedioxybis(nitrilomethylidyne)]diphenol and its tetranuclear zinc(II) complex. Chin. J. Inorg. Chem. 2014, 30, 710–716. [Google Scholar]
- Dong, W.K.; Zhang, F.; Li, N.; Xu, L.; Zhang, Y.; Zhang, J.; Zhu, L.C. Trinuclear cobalt(II) and zinc(II) Salamo-type complexes: Syntheses, crystal structures, and fluorescent properties. Z. Anorg. Allg. Chem. 2016, 642, 532–538. [Google Scholar] [CrossRef]
- Chen, L.; Dong, W.K.; Zhang, H.; Zhang, Y.; Sun, Y.X. Structural variation and luminescence properties of trianddinuclear CuII and ZnII complexes constructed from a naphthalenediol-based bis(Salamo)-type ligand. Cryst. Growth Des. 2017, 17, 3636–3648. [Google Scholar] [CrossRef]
- Wang, F.; Gao, L.; Zhao, Q.; Zhang, Y.; Dong, W.K.; Ding, Y.J. A highly selective fluorescent chemosensor for CN− based on a novel bis(Salamo)-type tetraoxime ligand. Spectrochim. Acta Part A 2018, 190, 111–115. [Google Scholar] [CrossRef] [PubMed]
- Dong, X.Y.; Gao, L.; Wang, F.; Zhang, Y.; Dong, W.K. Tri- and mono-nuclear zinc(II) complexes based onhalf- and mono-Salamo chelating ligands. Crystals 2017, 7, 267. [Google Scholar] [CrossRef]
- Peng, Y.D.; Li, X.Y.; Kang, Q.P.; An, G.X.; Zhang, Y.; Dong, W.K. Synthesis and fluorescence properties of asymmetrical Salamo-type tetranuclear zinc(II) complex. Crystals 2018, 8, 107. [Google Scholar] [CrossRef]
- Hao, J.; Liu, L.Z.; Dong, W.K.; Zhang, J.; Zhang, Y. Three multinuclear Co(II), Zn(II) and Cd(II) complexes based on a single-armed Salamo-type bisoxime: Syntheses, structural characterizations and fluorescent properties. J. Coord. Chem. 2017, 70, 1936–1952. [Google Scholar] [CrossRef]
- Wang, L.; Li, X.Y.; Zhao, Q.; Li, L.H.; Dong, W.K. Fluorescence properties of heterotrinuclear Zn(II)-M(II) (M = Ca, Sr and Ba) bis(Salamo)-type complexes. RSC Adv. 2017, 7, 48730–48737. [Google Scholar] [CrossRef]
- Akine, S.; Morita, Y.; Utsuno, F.; Nabeshima, T. Multiple folding structures mediated by metal coordination of acyclic multidentate ligand. Inorg. Chem. 2009, 48, 10670–10678. [Google Scholar] [CrossRef] [PubMed]
- Gao, L.; Liu, C.; Wang, F.; Dong, W.K. Tetra-, penta- and hexa-coordinated transition metal complexes constructed from coumarin-containing N2O2 ligand. Crystals 2018, 8, 77. [Google Scholar] [CrossRef]
- Li, G.; Hao, J.; Liu, L.Z.; Zhou, W.M.; Dong, W.K. Syntheses, crystal structures and thermal behaviors of two supramolecular Salamo-type cobalt(II) and zinc(II) complexes. Crystals 2017, 7, 217. [Google Scholar]
- Gao, L.; Wang, F.; Zhao, Q.; Zhang, Y.; Dong, W.K. Mononuclear Zn(II) and trinuclear Ni(II) complexes derived from a coumarin-containing N2O2 ligand: Syntheses, crystal structures and fluorescence properties. Polyhedron 2018, 139, 7–16. [Google Scholar] [CrossRef]
- Hao, J.; Li, L.H.; Zhang, J.T.; Akogun, S.F.; Wang, L.; Dong, W.K. Four homo- and hetero-bismetallic 3d/3d-2s complexes constructed from a naphthalenediol-based acyclic bis(Salamo)-type tetraoxime ligand. Polyhedron 2017, 134, 1–10. [Google Scholar] [CrossRef]
- Dong, X.Y.; Sun, Y.X.; Wang, L.; Li, L. Synthesis and structure of a penta- and hexa-coordinated tri-nuclear cobalt(II) complex. J. Chem. Res. 2012, 36, 387–390. [Google Scholar] [CrossRef]
- Dong, W.K.; Zhang, J.; Zhang, Y.; Li, N. Novel multinuclear transition metal(II) complexes based on an asymmetric Salamo-type ligand: Syntheses, structure characterizations and fluorescent properties. Inorg. Chim. Acta 2016, 444, 95–102. [Google Scholar] [CrossRef]
- Dong, X.Y.; Kang, Q.P.; Li, X.Y.; Ma, J.C.; Dong, W.K. Structurally characterized solvent-induced homotrinuclear cobalt(II) N2O2-donor bisoxime-type complexes. Crystals 2018, 8, 139. [Google Scholar] [CrossRef]
- Dong, W.K.; Sun, Y.X.; Zhao, C.Y.; Dong, X.Y.; Xu, L. Synthesis, structure and properties of supramolecular MnII, CoII, NiII and ZnII complexes containing Salen-type bisoxime ligands. Polyhedron 2010, 29, 2087–2097. [Google Scholar] [CrossRef]
- Wang, B.J.; Dong, W.K.; Zhang, Y.; Akogun, S.F. A novel relay-sensor for highly sensitive and selective detection of Zn2+/Pic− and fluorescence on/off switch response of H+/OH−. Sens. Actuators B 2017, 247, 254–264. [Google Scholar] [CrossRef]
- Dong, W.K.; Du, W.; Zhang, X.Y.; Li, G.; Dong, X.Y. Synthesis, crystal structure and spectral properties of a supramolecular trinuclear nickel(II) complex with 5-methoxy-4′-bromo-2,2′-[ethylenedioxybis(nitrilomethylidyne)]diphenol. Spectrochim. Acta Part A 2014, 132, 588–593. [Google Scholar] [CrossRef] [PubMed]
- Dong, Y.J.; Li, X.L.; Zhang, Y.; Dong, W.K. A highly selective visual and fluorescent sensor for Pb2+ and Zn2+ and crystal structure of Cu2+ complex based-on a novel single-armed Salamo-type bisoxime. Supramol. Chem. 2017, 29, 518–527. [Google Scholar] [CrossRef]
- Akine, S.; Dong, W.K.; Nabeshima, T. Octanuclearzinc(II) and cobalt(II) clusters produced by cooperative tetrameric assembling of oxime chelate ligands. Inorg. Chem. 2006, 45, 4677–4684. [Google Scholar] [CrossRef] [PubMed]
- Kruszynski, R.; Siera´nski, T. Can stacking interactions exist beyond the commonly accepted limits? Cryst. Growth Des. 2016, 16, 587–595. [Google Scholar] [CrossRef]
- Bernstein, J.; Davis, R.E.; Shimoni, L.; Chang, N.L. Patterns in hydrogen bonding: Functionality and graph set analysis in crystals. Angew. Chem. Int. Ed. Engl. 1995, 34, 1555–1573. [Google Scholar] [CrossRef]
- Percy, G.; Thornton, D. Infrared spectra of N-aryl salicylaldimine complexes substituted in both aryl rings. J. Inorg. Nucl. Chem. 1973, 35, 2319–2327. [Google Scholar] [CrossRef]
- Song, X.Q.; Wang, L.; Zheng, Q.F.; Liu, W.S. Synthesis, crystal structure and luminescence properties of lanthanide complexes with a new semirigid bridging furfurylsalicylamide ligand. Inorg. Chim. Acta 2013, 391, 171–178. [Google Scholar] [CrossRef]
- Song, X.Q.; Cheng, G.Q.; Wang, X.R.; Xu, W.Y.; Liu, P.P. Structure-based description of a step-by-step synthesis of heterodinuclear ZnIILnIII complexes and their luminescence properties. Inorg. Chim. Acta 2015, 425, 145–153. [Google Scholar] [CrossRef]









| Molecular formula | C50H72Co6N4O28 |
| Molecular weight/g·mol–1 | 1530.63 |
| Color | Light-brown |
| Habit | Block-shaped |
| Crystal size (mm) | 0.21 × 0.23 × 0.31 |
| Crystal system | Monoclinic |
| Space group | C2/c |
| Unit cell dimension | |
| a (Å) | 17.9738(8) |
| b (Å) | 15.0717(8) |
| c (Å) | 24.5022(14) |
| α (°) | 90 |
| β (°) | 102.627(5) |
| γ (°) | 90 |
| V (Å3) | 6477.0(6) |
| Z | 4 |
| Dc(g·cm–3) | 1.570 |
| μ(mm–1) | 1.585 |
| F(000) | 3144 |
| θ range for data collection (°) | 3.2–26.0 |
| Index ranges | −22 ≤ h ≤ 22, −18 ≤ k ≤ 18, −29 ≤ l ≤ 30 |
| Reflections collected | 14,114 |
| Completeness to θ = 25.00 (%) | 99.7 |
| Data/restraints/parameters | 6381/0/415 |
| Final Rindices(I > 2σ(I)) | R1 = 0.0504, wR2 = 0.1227 |
| R indices(all data) | R1 = 0.0694, wR2 = 0.1111 |
| Largest diff. peak and hole (e·Å–3) | 0.51 and −0.43 |
| Bond | Dist. | Bond | Dist. | Bond | Dist. |
|---|---|---|---|---|---|
| Co2–O1 | 2.117(3) | Co3–O6 | 2.061(2) | Co1–O1 | 2.019(3) |
| Co2–O2 | 2.141(3) | Co3–O6#1 | 2.089(3) | Co1–O5 | 2.025(2) |
| Co2–O5 | 2.029(2) | Co3–O7 | 2.150(2) | Co1–O8 | 2.112(3) |
| Co2–O6 | 2.067(3) | Co3–O11 | 2.208(3) | Co1–O9 | 2.214(3) |
| Co2–O7 | 2.073(2) | Co3–O12 | 2.116(3) | Co1–N18 | 2.165(3) |
| Co2–O7#1 | 2.209(2) | Co3–O13 | 2.041(3) | Co1–N25 | 2.113(4) |
| Co3–Co3#1 | 2.9071(10) | Co3–C18 | 2.511(4) | Co3#1–O6 | 2.089(3) |
| Co2#1–O7 | 2.209(2) | ||||
| Bond | Angles | Bond | Angles | Bond | Angles |
| O1–Co2–O2 | 90.80(11) | O11–Co3–C18 | 30.08(12) | Co3–O6–Co2 | 101.80(10) |
| O1–Co2–O7#1 | 153.79(9) | O12–Co3–Co3#1 | 146.40(9) | Co3–O6–Co3#1 | 88.94(11) |
| O2–Co2–O7#1 | 88.85(10) | O13–Co3–O6 | 91.72(11) | C20–O6–Co2 | 121.2(3) |
| O5–Co2–O1 | 76.15(10) | O13–Co3–O6#1 | 93.82(14) | C20–O6–Co3 | 122.4(2) |
| O5–Co2–O2 | 86.34(10) | O13–Co3–O7 | 170.00(10) | C20–O6–Co3#1 | 115.2(3) |
| O5–Co2–O6 | 101.62(10) | O13–Co3–O11 | 92.80(13) | Co2–O7–Co2#1 | 92.10(9) |
| O5–Co2–O7#1 | 77.67(9) | O13–Co3–O12 | 98.46(11) | Co2–O7–Co3 | 98.68(9) |
| O5–Co2–O7 | 163.15(10) | O13–Co3–C18 | 97.74(13) | Co3–O7–Co2#1 | 94.82(9) |
| O6–Co2–O1 | 102.51(11) | C18–Co3–Co3#1 | 176.17(11) | C15–O7#1–Co2#1 | 105.67(19) |
| O6–Co2–O2 | 165.75(10) | O1–Co1–O5 | 78.47(10) | C15–O7–Co2#1 | 133.1(2) |
| O6–Co2–O7 | 80.59(9) | O1–Co1–O8 | 98.60(14) | C15–O7–Co3#1 | 121.9(2) |
| O6–Co2–O7#1 | 81.45(10) | O1–Co1–O9 | 87.35(11) | Co1–O8–H8 | 111(4) |
| O7–Co2–O1 | 119.97(10) | O1–Co1–N18 | 161.07(12) | C24–O8–Co1 | 132.9(3) |
| O7–Co2–O2 | 88.43(10) | O1–Co1–N25 | 86.34(13) | Co1–O9–H9 | 98(4) |
| O7–Co2–O7#1 | 86.23(9) | O5–Co1–O8 | 91.60(11) | C23–O9–Co1 | 122.5(3) |
| O6#1–Co3–Co3#1 | 45.14(7) | O5–Co1–O9 | 90.46(11) | C18–O11–Co3 | 88.4(3) |
| O6–Co3–Co3#1 | 45.92(8) | O5–Co1–N18 | 83.09(11) | C18–O12–Co3 | 92.5(2) |
| O6–Co3–O6#1 | 87.96(11) | O5–Co1–N25 | 164.65(13) | C10–O13–Co3 | 126.2(4) |
| O6–Co3–O7#1 | 82.40(10) | O8–Co1–O9 | 173.99(13) | O4–N18–Co1 | 124.2(2) |
| O6–Co3–O7 | 78.93(9) | O8–Co1–N18 | 86.09(14) | C10–N18–Co1 | 127.3(3) |
| O6–Co3–O11#1 | 161.75(10) | O8–Co1–N25 | 92.93(14) | O3–N25–Co1 | 120.9(3) |
| O6–Co3–O11 | 108.83(11) | N18–Co1–O9 | 88.55(13) | C7–N25–Co1 | 128.9(3) |
| O6–Co3–O12#1 | 101.92(11) | N25–Co1–O9 | 86.53(14) | Co1–O5–Co2 | 103.33(11) |
| O6–Co3–O12 | 165.23(11) | N25–Co1–N18 | 111.85(14) | C16–O5–Co2 | 112.6(2) |
| O6–Co3–C18 | 137.80(13) | Co1–O1–Co2 | 100.48(11) | C16–O5–Co1 | 132.1(2) |
| O6–Co3#1–C18 | 131.87(12) | C1–O1–Co2 | 128.5(3) | Co2–O6–Co3#1 | 101.10(11) |
| O7–Co3–Co3#1 | 90.21(6) | C1–O1–Co1 | 129.0(2) | O12–Co3–O7 | 91.39(10) |
| O7–Co3–O11 | 93.59(11) | C21–O2–Co2 | 128.6(3) | O12–Co3–O11 | 60.23(11) |
| O7–Co3–C18 | 91.63(12) | O12–Co3–O7 | 91.39(10) | O12–Co3–O11 | 60.23(11) |
| O11–Co3–Co3#1 | 153.05(8) |
| D–H···A | d(D–H) | d(H···A) | d(D···A) | ∠D–H···A | Symmetry Code |
|---|---|---|---|---|---|
| C12–H12···O13 | 0.93 | 2.35 | 3.275(5) | 171 | −1/2+x,–1/2+y,z |
| O9–H9···O2 | 0.85 | 1.77 | 2.616(4) | 171 | |
| O10–H10···O11 | 0.82 | 1.99 | 2.759(5) | 157 | |
| O14–H14A···O12 | 0.82 | 1.90 | 2.718(5) | 175 | −x,y,1/2 − z |
| C2–H2···O11 | 0.93 | 2.46 | 3.191(5) | 135 | |
| C8–H8B···O9 | 0.97 | 2.45 | 3.291(6) | 145 | |
| C17–H17C···O3 | 0.96 | 2.19 | 2.543(8) | 100 |
| Compound | ν(O–H) | ν(C=N) | ν(Ar–O) | ν(Co–O) | ν(Co–N) |
|---|---|---|---|---|---|
| H4L | 3373 | 1630 | 1260 | – | – |
| Co(II) | 3421 | 1592 | 1255 | 463 | 519 |
© 2018 by the authors. Licensee MDPI, Basel, Switzerland. This article is an open access article distributed under the terms and conditions of the Creative Commons Attribution (CC BY) license (http://creativecommons.org/licenses/by/4.0/).
Share and Cite
Ren, Z.-L.; Wang, F.; Liu, L.-Z.; Jin, B.-X.; Dong, W.-K. Unprecedented Hexanuclear Cobalt(II) Nonsymmetrical Salamo-Based Coordination Compound: Synthesis, Crystal Structure, and Photophysical Properties. Crystals 2018, 8, 144. https://doi.org/10.3390/cryst8040144
Ren Z-L, Wang F, Liu L-Z, Jin B-X, Dong W-K. Unprecedented Hexanuclear Cobalt(II) Nonsymmetrical Salamo-Based Coordination Compound: Synthesis, Crystal Structure, and Photophysical Properties. Crystals. 2018; 8(4):144. https://doi.org/10.3390/cryst8040144
Chicago/Turabian StyleRen, Zong-Li, Fei Wang, Ling-Zhi Liu, Bo-Xian Jin, and Wen-Kui Dong. 2018. "Unprecedented Hexanuclear Cobalt(II) Nonsymmetrical Salamo-Based Coordination Compound: Synthesis, Crystal Structure, and Photophysical Properties" Crystals 8, no. 4: 144. https://doi.org/10.3390/cryst8040144
APA StyleRen, Z.-L., Wang, F., Liu, L.-Z., Jin, B.-X., & Dong, W.-K. (2018). Unprecedented Hexanuclear Cobalt(II) Nonsymmetrical Salamo-Based Coordination Compound: Synthesis, Crystal Structure, and Photophysical Properties. Crystals, 8(4), 144. https://doi.org/10.3390/cryst8040144

