Incorporation of Hexanuclear Mn(II,III) Carboxylate Clusters with a {Mn6O2} Core in Polymeric Structures
Abstract
:1. Introduction
2. Experimental Section
2.1. Materials and Methods
2.2. X-ray Crystallography
2.3. Synthesis
3. Results and Discussion
3.1. Synthetic Aspects
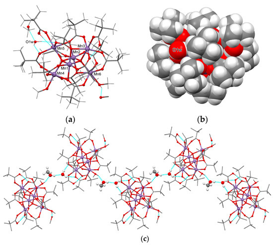
3.2. X-ray Structure Study
4. Conclusions
Supplementary Materials
Acknowledgments
Author Contributions
Conflicts of Interest
References
- Baca, S.G. The design of coordination networks from polynuclear Mn(II, III) and Fe(III) oxo-carboxylate clusters. In Advances in Chemistry Research; Taylor, J.C., Ed.; Nova Science Publishers, Inc.: New York, NY, USA, 2018; Volume 43, ISBN 978-1-53613-079-9. [Google Scholar]
- Nakata, K.; Miyasaka, H.; Sugimoto, K.; Ishii, T.; Sugiura, K.; Yamashita, M. Construction of a one-dimensional chain composed of Mn6 clusters and 4,4′-bipyridine linkers: The first step for creation of “nano-dots-wires”. Chem. Lett. 2002, 31, 658–659. [Google Scholar] [CrossRef]
- Moushi, E.E.; Tasiopoulos, A.J.; Manos, M.J. Synthesis and structural characterization of a metal cluster and a coordination polymer based on the [Mn6(μ4-O)2]10+ unit. Bioinorg. Chem. Appl. 2010, 367128. [Google Scholar] [CrossRef] [PubMed]
- Ma, C.-B.; Hu, M.-Q.; Chen, H.; Chen, C.-N.; Liu, Q.-T. Aggregation of hexanuclear, mixed-valence manganese oxide clusters linked by propionato ligands to form a one-dimensional polymer [Mn6O2(O2CEt)10(H2O4)]n. Eur. J. Inorg. Chem. 2008, 5274–5280. [Google Scholar] [CrossRef]
- Malaestean, I.L.; Kravtsov, V.C.; Speldrich, M.; Dulcevscaia, G.; Simonov, Y.A.; Lipkowski, J.; Ellern, A.; Baca, S.G.; Kögerler, P. One-dimensional coordination polymers from hexanuclear manganese carboxylate clusters featuring a {MnII4MnIII2(μ4-O)2} core and spacer linkers. Inorg. Chem. 2010, 49, 7764–7772. [Google Scholar] [CrossRef] [PubMed]
- Ovcharenko, V.; Fursova, E.; Romanenko, G.; Ikorskii, V. Synthesis and structure of heterospin compounds based on the [Mn6O2piv10]-cluster unit and nitroxide. Inorg. Chem. 2004, 43, 3332–3334. [Google Scholar] [CrossRef] [PubMed]
- Fursova, E.Y.; Ovcharenko, V.I.; Bogomyakov, A.S.; Romanenko, G.V. Structure of the complex of hexanuclear manganese pivalate with isonicotinamide. J. Struct. Chem. 2013, 54, 164–167. [Google Scholar] [CrossRef]
- Malaestean, I.L.; Ellern, A.; van Leusen, J.; Kravtsov, V.C.; Kögerler, P.; Baca, S.G. Cluster-based networks: Assembly of a (4,4) layer and a rare T-shaped bilayer from [MnIII2MnII4O2(RCOO)10] coordination clusters. CrystEngComm 2014, 16, 6523–6525. [Google Scholar] [CrossRef]
- Kar, P.; Haldar, R.; Gómez-García, C.J.; Ghosh, A. Antiferromagnetic porous metal-organic framework containing mixed-valence [MnII4MnIII2(μ4-O)2]10+ units with catecholase activity and selective gas adsorption. Inorg. Chem. 2012, 51, 4265–4273. [Google Scholar] [CrossRef] [PubMed]
- Baca, S.G.; Clerac, R.; Sevryugina, Y.; Malaestean, I.; Gerbeleu, N.; Petrukhina, M.A. Linear trinuclear manganese(II) complexes: Crystal structures and magnetic properties. Inorg. Chem. Commun. 2005, 8, 474–478. [Google Scholar] [CrossRef]
- Baca, S.G.; Malaestean, I.L.; Keene, T.D.; Adams, H.; Ward, M.D.; Hauser, J.; Neels, A.; Decurtins, S. One-dimensional manganese coordination polymers composed of polynuclear cluster blocks and polypyridyl linkers: Structures and properties. Inorg. Chem. 2008, 47, 11108–11119. [Google Scholar] [CrossRef] [PubMed]
- Murrie, M.; Parsons, S.; Winpenny, R.E.P. Deltahedra as underlying structural motifs in polynuclear metal chemistry: Structure of an undecanuclear manganese-potassium cage. J. Chem. Soc. Dalton Trans. 1998, 9, 1423–1424. [Google Scholar] [CrossRef]
- Sheldrick, G.M. A short history of SHELX. Acta Crystallogr. 2008, A64, 112–122. [Google Scholar] [CrossRef] [PubMed]
- Spek, A.L. Single-crystal structure validation with the program PLATON. J. Appl. Crystallogr. 2003, 36, 7–13. [Google Scholar] [CrossRef]
- Cairns, A.J.; Perman, J.A.; Wojtas, L.; Kravtsov, V.C.; Alkordi, M.H.; Eddaoudi, M.; Zaworotko, M.J. Supermolecular building blocks (sbbs) and crystal design: 12-connected open frameworks based on a molecular cubohemioctahedron. J. Am. Chem. Soc. 2008, 130, 1560–1561. [Google Scholar] [CrossRef] [PubMed]






| 1 | 2 | 3 | 4 | 5 | 6 | |
|---|---|---|---|---|---|---|
| Empirical formula | C72H136Mn6O31 | C68H134Mn6O30 | C64H128Mn6O31 | C46H82Mn6N2O24 | C92H158Mn12N6O47 | C68H119Mn6NO28 |
| Mr (g mol–1) | 1827.44 | 1761.38 | 1723.3 | 1376.77 | 2759.53 | 1728.27 |
| T (K) | 150(2) | 293(2) | 173(2) | 293(2) | 296(2) | 150(2) |
| Crystal system | Triclinic | Monoclinic | Monoclinic | Triclinic | Triclinic | Monoclinic |
| Space group | P-1 | C 2/c | P21/n | P-1 | P-1 | Cc |
| a (Å) | 13.4165(2) | 13.4037(5) | 14.6642(1) | 13.1919(9) | 12.7175(6) | 24.9206(3) |
| b (Å) | 15.7141(2) | 29.2459(11) | 22.9974(2) | 13.3591(7) | 13.3257(6) | 14.3552(2) |
| c (Å) | 25.3229(3) | 23.7135(11) | 25.9750(2) | 20.8662(9) | 21.8431(10) | 26.5404(4) |
| α (°) | 73.080(1) | 90 | 90 | 100.647(4) | 72.388(1) | 90 |
| β (°) | 79.534(1) | 88.703(4) | 100.022(1) | 93.502(4) | 81.217(1) | 115.847(2) |
| γ (°) | 66.796(1) | 90 | 90 | 112.826(6) | 66.346(1) | 90 |
| V (Å3) | 4680.9(1) | 9293.4(7) | 8626.1(1) | 3295.0(3) | 3229.7(3) | 8544.7(2) |
| Z, ρ (Mg m–3) | 2, 1.297 | 4, 1.259 | 4, 1.327 | 2, 1.388 | 1, 1.419 | 4, 1.343 |
| μ (mm–1) | 0.856 | 0.859 | 0.925 | 1.185 | 1.209 | 0.932 |
| F(000) | 1932 | 3728 | 3640 | 1428 | 1428 | 3632 |
| Crystal size (mm) | 0.34 × 0.24 × 0.15 | 0.60 × 0.40 × 0.12 | 0.28 × 0.25 × 0.09 | 0.60 × 0.25 × 0.10 | 0.16 × 0.16 × 0.08 | 0.13 × 0.10 × 0.05 |
| θ range (°) | 1.453–28.235 | 2.930–24.999 | 1.592–24.999 | 3.105–24.500 | 1.731–25.000 | 1.684 to 25.999 |
| Index ranges | −17 ≤ h ≤ 17, −20 ≤ k ≤ 20, −33 ≤ l ≤ 33 | −15 ≤ h ≤ 15, −34 ≤ k ≤ 34, −28 ≤ l ≤ 26 | −17 ≤ h ≤ 17, −27 ≤ k ≤ 27, −30 ≤ l ≤ 30 | −15 ≤ h ≤ 15, −15 ≤ k ≤ 14, −24 ≤ l ≤ 24 | −15 ≤ h ≤ 15, −15 ≤ k ≤ 15, −25 ≤ l ≤ 25 | −30 ≤ h ≤ 30, −17 ≤ k ≤ 17, −32 ≤ l ≤ 32 |
| Reflections collected/unique | 200157/21845 [Rint = 0.0431] | 26421/8169 [Rint = 0.0510] | 91815/15189 [Rint = 0.0317] | 19693/10877 [Rint = 0.0456] | 25957/11303 [Rint = 0.0441] | 66940/16778 [Rint = 0.0748] |
| Completeness to θmax | 99.8% | 99.8% | 99.9% | 99.1% | 99.6% | 100% |
| Data /restraints/ parameters | 21845 / 0 / 989 | 8169 / 80 / 520 | 15189 / 92 / 966 | 10877 / 13 / 748 | 11303 / 3/ 720 | 16778 / 60 / 939 |
| Final R indices [I>2σ(I)] | R1 = 0. 0401, wR2 = 0.0988 | R1 = 0.0651 wR2 = 0.1727 | R1 = 0.0463, wR2 = 0.1290 | R1 = 0.0848 wR2 = 0.2247 | R1 = 0. 0416, wR2 = 0. 0934 | R1 = 0. 0508, wR2 = 0.987 |
| R indices (all data) | R1 = 0. 0522, wR2 = 0.1073 | R1 = 0.1043 wR2 = 0.1979 | R1 = 0.0555, wR2 = 0.1354 | R1 = 0.1264, wR2 = 0.2581 | R1 = 0. 0704, wR2 = 0.1022 | R1 = 0. 0757, wR2 = 0.1096 |
| Goodness-of-fit on F2 | 1.007 | 1.007 | 1.008 | 1.016 | 1.003 | 1.007 |
| Largest diff. peak and hole (e Å–3) | 1.264 and −0.663 | 0.456 and −0.392 | 1.133 and −0.668 | 1.652 and −0.664 | 1.210 and −0.437 | 0.415 and −0.332 |
© 2018 by the authors. Licensee MDPI, Basel, Switzerland. This article is an open access article distributed under the terms and conditions of the Creative Commons Attribution (CC BY) license (http://creativecommons.org/licenses/by/4.0/).
Share and Cite
Darii, M.; Filippova, I.G.; Hauser, J.; Decurtins, S.; Liu, S.-X.; Kravtsov, V.C.; Baca, S.G. Incorporation of Hexanuclear Mn(II,III) Carboxylate Clusters with a {Mn6O2} Core in Polymeric Structures. Crystals 2018, 8, 100. https://doi.org/10.3390/cryst8020100
Darii M, Filippova IG, Hauser J, Decurtins S, Liu S-X, Kravtsov VC, Baca SG. Incorporation of Hexanuclear Mn(II,III) Carboxylate Clusters with a {Mn6O2} Core in Polymeric Structures. Crystals. 2018; 8(2):100. https://doi.org/10.3390/cryst8020100
Chicago/Turabian StyleDarii, Mariana, Irina G. Filippova, Jürg Hauser, Silvio Decurtins, Shi-Xia Liu, Victor Ch. Kravtsov, and Svetlana G. Baca. 2018. "Incorporation of Hexanuclear Mn(II,III) Carboxylate Clusters with a {Mn6O2} Core in Polymeric Structures" Crystals 8, no. 2: 100. https://doi.org/10.3390/cryst8020100
APA StyleDarii, M., Filippova, I. G., Hauser, J., Decurtins, S., Liu, S.-X., Kravtsov, V. C., & Baca, S. G. (2018). Incorporation of Hexanuclear Mn(II,III) Carboxylate Clusters with a {Mn6O2} Core in Polymeric Structures. Crystals, 8(2), 100. https://doi.org/10.3390/cryst8020100

