R-curve Evaluation of Copper and Nickel Single Crystals Using Atomistic Simulations
Abstract
1. Introduction
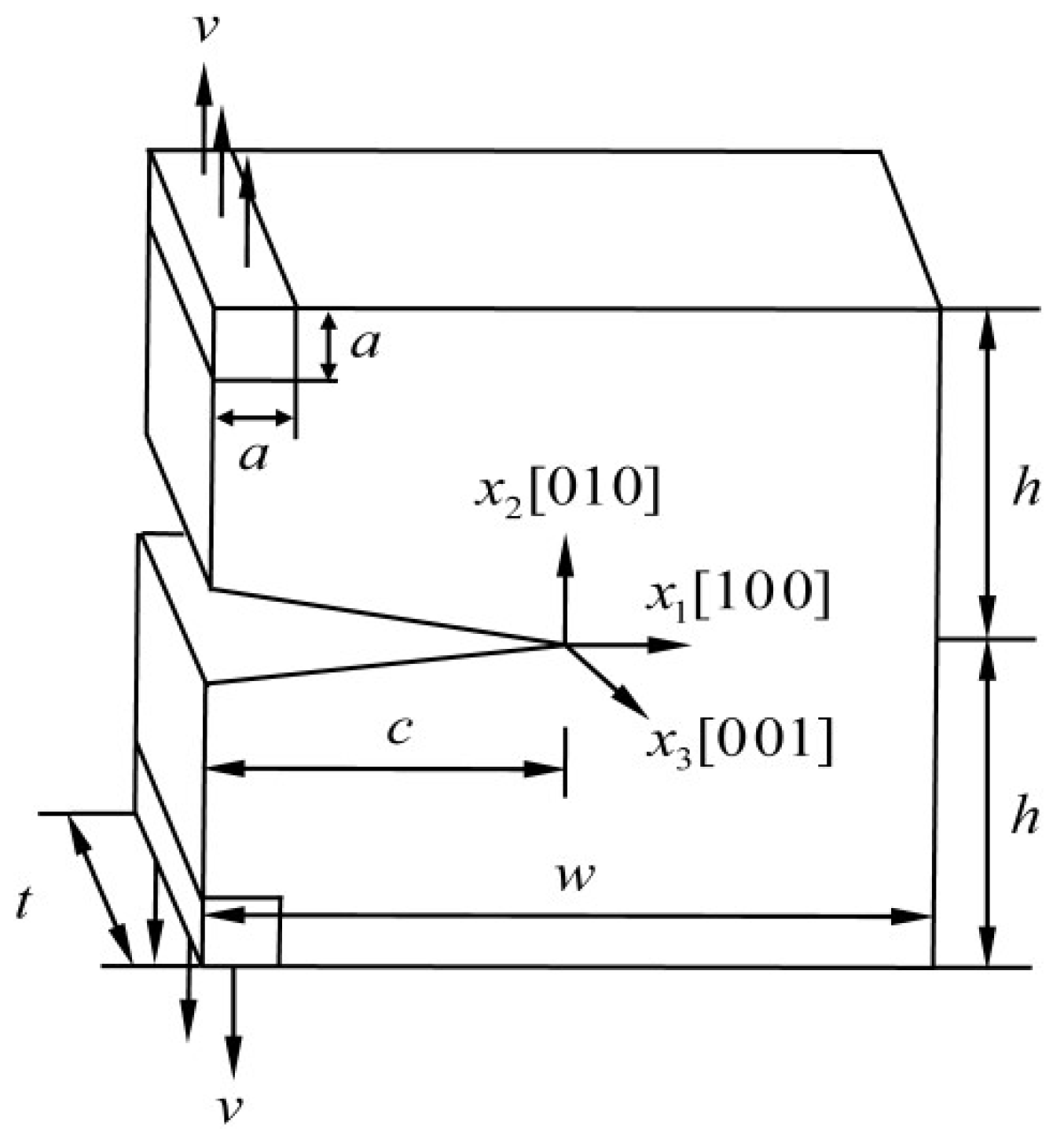
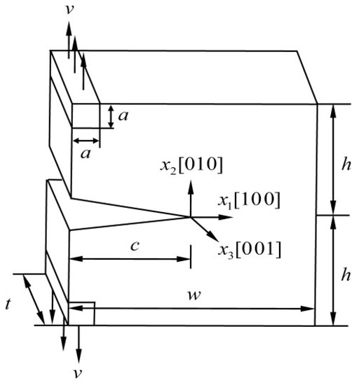
2. Materials and Methods
3. Results and Discussion
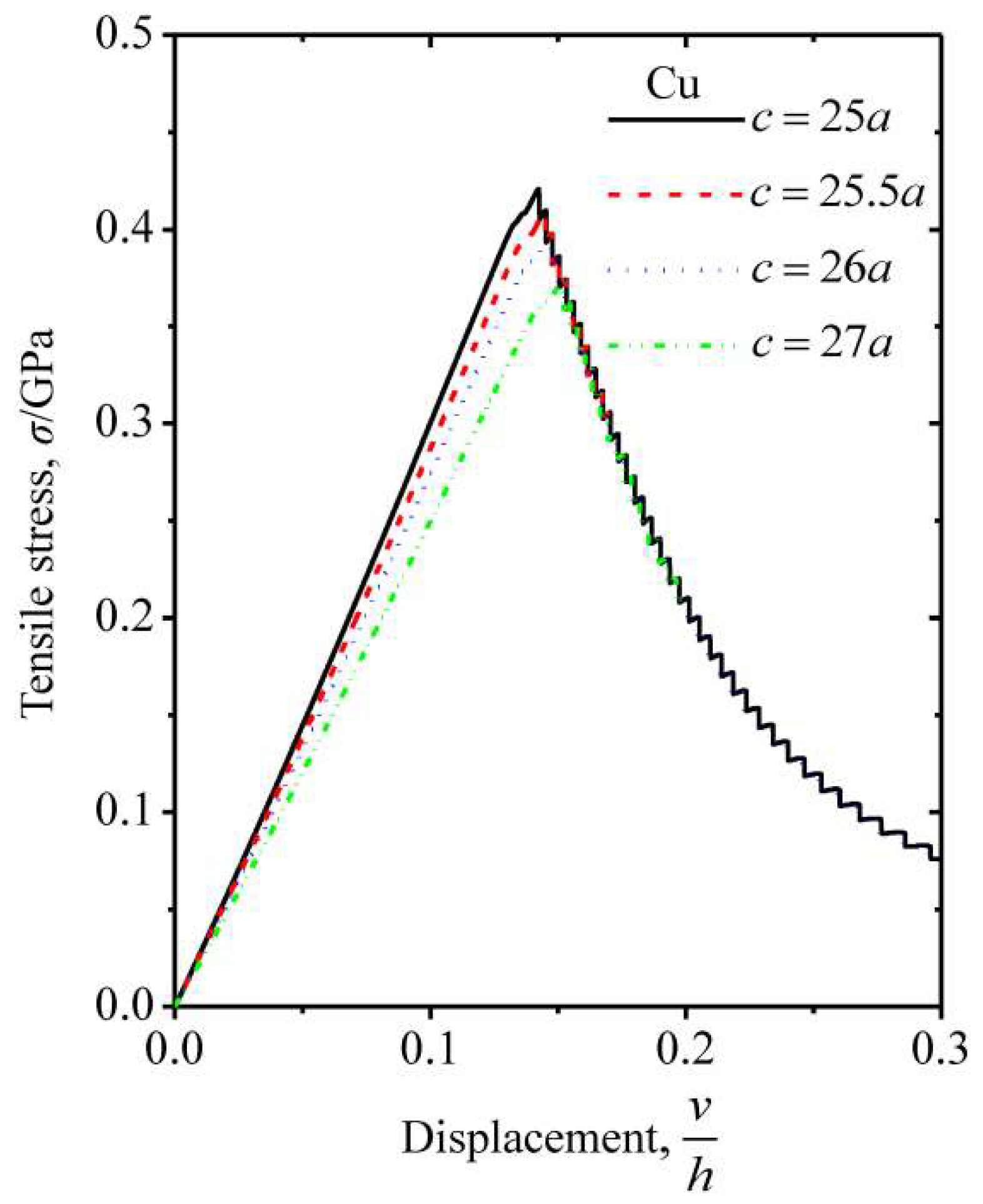
3.1. Tensile Stress-Displacement Curves of the Cu Nanoplates
3.2. Tensile Stress-Displacement Curves of the Ni Nanoplates
3.3. Evaluation of the R-curve
4. Conclusions
Author Contributions
Funding
Acknowledgments
Conflicts of Interest
References
- Yang, P.; Yan, H.; Mao, S.; Russo, R.; Johnson, J.; Saykally, R.; Morris, N.; Pham, J.; He, R.; Choi, H.J. Controlled Growth of ZnO Nanowires and Their Optical Properties. Adv. Funct. Mater. 2010, 12, 323–331. [Google Scholar] [CrossRef]
- Balandin, A.A.; Ghosh, S.; Bao, W.; Calizo, I.; Teweldebrhan, D.; Miao, F.; Lau, C.N. Superior thermal conductivity of single-layer graphene. Nano Lett. 2008, 8, 902. [Google Scholar] [CrossRef] [PubMed]
- Kang, K.; Cai, W. Size and temperature effects on the fracture mechanisms of silicon nanowires: Molecular dynamics simulations. Int. J. Plast. 2010, 26, 1387–1401. [Google Scholar] [CrossRef]
- Cui, Y.; Duan, X.; Hu, J.; Lieber, C.M. Doping and electrical transport in silicon nanowires. J. Phys. Chem. B 2000, 104, 5213–5216. [Google Scholar] [CrossRef]
- Whitney, T.M.; Searson, P.C.; Jiang, J.S.; Chien, C.L. Fabrication and magnetic properties of arrays of metallic nanowires. Science 1993, 261, 1316–1319. [Google Scholar] [CrossRef] [PubMed]
- Zhou, D.W. Measurement and modelling of R-curves for low-constraint specimens. Eng. Fract. Mech. 2011, 78, 605–622. [Google Scholar] [CrossRef]
- Hou, F.; Hong, S. Characterization of R-curve behavior of translaminar crack growth in cross-ply composite laminates using digital image correlation. Eng. Fract. Mech. 2014, 117, 51–70. [Google Scholar] [CrossRef]
- Bornhauser, A.; Kromp, K.; Pabst, R.F. R-curve evaluation with ceramic materials at elevated temperatures by an energy approach using direct observation and compliance calculation of the crack length. J. Mater. Sci. 1985, 20, 2586–2596. [Google Scholar] [CrossRef]
- Rödel, J.; Seo, Y.H.; Benčan, A.; Malič, B.; Kosec, M.; Webber, K.G. R-curves in transformation toughened lead zirconatetitanate. Eng. Fract. Mech. 2013, 100, 86–91. [Google Scholar] [CrossRef]
- Pinho, S.T.; Robinson, P.; Iannucci, L. Fracture toughness of the tensile and compressive fibre failure modes in laminated composites. Compos. Sci. Technol. 2006, 66, 2069–2079. [Google Scholar] [CrossRef]
- Ippolito, M.; Mattoni, A.; Colombo, L.; Pugno, N. Role of lattice discreteness on brittle fracture: Atomistic simulations versus analytical models. Phys. Rev. B 2006, 73, 4111. [Google Scholar] [CrossRef]
- Cheng, Y.; Zhu, P.; Li, R. The influence of vertical vibration on nanoscale friction: A molecular dynamics simulation study. Crystals 2018, 8, 129. [Google Scholar] [CrossRef]
- Yi, D.; Li, J.; Zhu, P. Study of nanoscratching process of GaAs using molecular dynamics. Crystals 2018, 8, 321. [Google Scholar] [CrossRef]
- Zhuo, X.R.; Beom, H.G. Size-dependent torsional deformation of silicon nanowires. Mater. Lett. 2018, 213, 48–50. [Google Scholar] [CrossRef]
- Zhuo, X.R.; Beom, H.G. Atomistic study of the bending properties of silicon nanowires. Comput. Mater. Sci. 2018, 152, 331–336. [Google Scholar] [CrossRef]
- Karimi, M.; Roarty, T.; Kaplan, T. Molecular dynamics simulations of crack propagation in Ni with defects. Model. Simul. Mater. Sci. Eng. 2006, 14, 1409. [Google Scholar] [CrossRef]
- Petucci, J.; Leblond, C.; Karimi, M. Molecular dynamics simulations of brittle fracture in fcc crystalline materials in the presence of defects. Comput. Mater. Sci. 2014, 86, 130–139. [Google Scholar] [CrossRef]
- Wu, W.P.; Yao, Z.Z. Molecular dynamics simulation of stress distribution and microstructure evolution ahead of a growing crack in single crystal nickel. Theor. Appl. Fract. Mech. 2012, 62, 67–75. [Google Scholar] [CrossRef]
- Cui, C.B.; Beom, H.G. Molecular dynamics simulations of edge cracks in copper and aluminum single crystals. Mater. Sci. Eng. A 2014, 609, 102–109. [Google Scholar] [CrossRef]
- Plimpton, S. Fast parallel algorithms for short-range molecular dynamics. J. Comput. Phys. 1995, 117, 1–19. [Google Scholar] [CrossRef]
- Farkas, D. Fracture Resistance of Nanocrystalline Ni. Metall. Mater. Trans. A 2007, 38, 2168–2173. [Google Scholar] [CrossRef]
- Andric, P.; Curtin, W.A. New theory for Mode I crack-tip dislocation emission. J. Mech. Phys. Solids 2017, 106, 315–337. [Google Scholar] [CrossRef]
- Li, J. AtomEye: An efficient atomistic configuration viewer. Model. Simul. Mater. Sci. Eng. 2003, 11, 173. [Google Scholar] [CrossRef]
- Mishin, Y.; Mehl, M.J.; Papaconstantopoulos, D.A.; Voter, A.F.; Kress, J.D. Structural stability and lattice defects in copper: Ab initio, tight-binding, and embedded-atom calculations. Phys. Rev. B 2001, 63, 224106. [Google Scholar] [CrossRef]
- Mishin, Y.; Farkas, D.; Papaconstantopoulos, M.J.M.A. Interatomic potentials for monoatomic metals from experimental data and ab initio calculations. Phys. Rev. B 1999, 59, 3393–3407. [Google Scholar] [CrossRef]
- Swygenhoven, H.V.; Derlet, P.M. Grain-boundary sliding in nanocrystalline fcc metals. Phys. Rev. B 2001, 64, 224105. [Google Scholar] [CrossRef]
- Cahn, J.W.; Mishin, Y.; Suzuki, A. Coupling grain boundary motion to shear deformation. Acta Mater. 2006, 54, 4953–4975. [Google Scholar] [CrossRef]
- Zhuo, X.R.; Beom, H.G. Molecular statics simulations of the size-dependent mechanical properties of copper nanofilms under shear loading. Comput. Mater. Sci. 2015, 99, 390–395. [Google Scholar] [CrossRef]
- Jin, Z.H.; Gumbsch, P.; Albe, K.; Ma, E.; Lu, K.; Gleiter, H.; Hahn, H. Interactions between non-screw lattice dislocations and coherent twin boundaries in face-centered cubic metals. Acta Mater. 2008, 56, 1126–1135. [Google Scholar] [CrossRef]
- Zhuo, X.R.; Beom, H.G. Size-dependent fracture properties of cracked silicon nanofilms. Mater. Sci. Eng. A 2015, 636, 470–475. [Google Scholar] [CrossRef]
- Swenson, R.J. Comments on virial theorems for bounded systems. Am. J. Phys. 1983, 51, 940–942. [Google Scholar] [CrossRef]
- Subramaniyan, A.K.; Sun, C.T. Continuum interpretation of virial stress in molecular simulations. Int. J. Solids Struct. 2008, 45, 4340–4346. [Google Scholar] [CrossRef]
- Stukowski, A.; Bulatov, V.V.; Arsenlis, A. Automated identification and indexing of dislocations in crystal interfaces. Model. Simul. Mater. Sci. Eng. 2012, 20, 085007. [Google Scholar] [CrossRef]
- Kelchner, C.L.; Plimpton, S.J.; Hamilton, J.C. Dislocation nucleation and defect structure during surface indentation. Phys. Rev. B 1998, 58, 11085–11088. [Google Scholar] [CrossRef]
- Stukowski, A.; Albe, K. Extracting dislocations and non-dislocation crystal defects from atomistic simulation data. Model. Simul. Mater. Sci. Eng. 2010, 18, 085001. [Google Scholar] [CrossRef]
- Cheung, K.S.; Yip, S. Brittle-ductile transition in intrinsic fracture behavior of crystals. Phys. Rev. Lett. 1990, 65, 2804. [Google Scholar] [CrossRef] [PubMed]
- Huang, S.; Zhang, S.; Belytschko, T.; Terdalkar, S.S.; Zhu, T. Mechanics of nanocrack: Fracture, dislocation emission, and Amorphization. J. Mech. Phys. Solids 2009, 57, 840–850. [Google Scholar] [CrossRef]
- Anderson, T.L. Fracture Mechanics: Fundamentals and Applications; CRC Press: Boca Raton, FL, USA, 1991; pp. 635–636. [Google Scholar]
- Eftis, J.; Liebowitz, H. On fracture toughness evaluation for semi-brittle fracture. Eng. Fract. Mech. 1975, 7, 101–135. [Google Scholar] [CrossRef]
- Griffith, A.A. The Phenomena of Rupture and Flow in Solids. Philos. Trans. R. Soc. Lond. 1921, 221, 163–198. [Google Scholar] [CrossRef]
- Adnan, A.; Sun, C.T. Evolution of nanoscale defects to planar cracks in a brittle solid. J. Mech. Phys. Solids 2010, 58, 983–1000. [Google Scholar] [CrossRef]
- Sakib, A.R.N.; Adnan, A. On the size-dependent critical stress intensity factor of confined brittle nanofilms. Eng. Fract. Mech. 2012, 86, 13–22. [Google Scholar] [CrossRef]
- Thomson, R.; Hsieh, C.; Rana, V. Lattice Trapping of Fracture Cracks. J. Appl. Phys. 1971, 42, 3154–3160. [Google Scholar] [CrossRef]








© 2018 by the authors. Licensee MDPI, Basel, Switzerland. This article is an open access article distributed under the terms and conditions of the Creative Commons Attribution (CC BY) license (http://creativecommons.org/licenses/by/4.0/).
Share and Cite
Zhuo, X.R.; Kim, J.H.; Beom, H.G. R-curve Evaluation of Copper and Nickel Single Crystals Using Atomistic Simulations. Crystals 2018, 8, 441. https://doi.org/10.3390/cryst8120441
Zhuo XR, Kim JH, Beom HG. R-curve Evaluation of Copper and Nickel Single Crystals Using Atomistic Simulations. Crystals. 2018; 8(12):441. https://doi.org/10.3390/cryst8120441
Chicago/Turabian StyleZhuo, Xiao Ru, Jang Hyun Kim, and Hyeon Gyu Beom. 2018. "R-curve Evaluation of Copper and Nickel Single Crystals Using Atomistic Simulations" Crystals 8, no. 12: 441. https://doi.org/10.3390/cryst8120441
APA StyleZhuo, X. R., Kim, J. H., & Beom, H. G. (2018). R-curve Evaluation of Copper and Nickel Single Crystals Using Atomistic Simulations. Crystals, 8(12), 441. https://doi.org/10.3390/cryst8120441
