Cocrystal Assembled by Pyrene Derivative and 1,4-Diiodotetrafluorobenzene via a C=O···I Halogen Bond
Abstract
1. Introduction
2. Materials and Methods
2.1. Crystal Preparation
2.2. Measurement
2.3. Hirshfeld Surface Analysis
3. Results
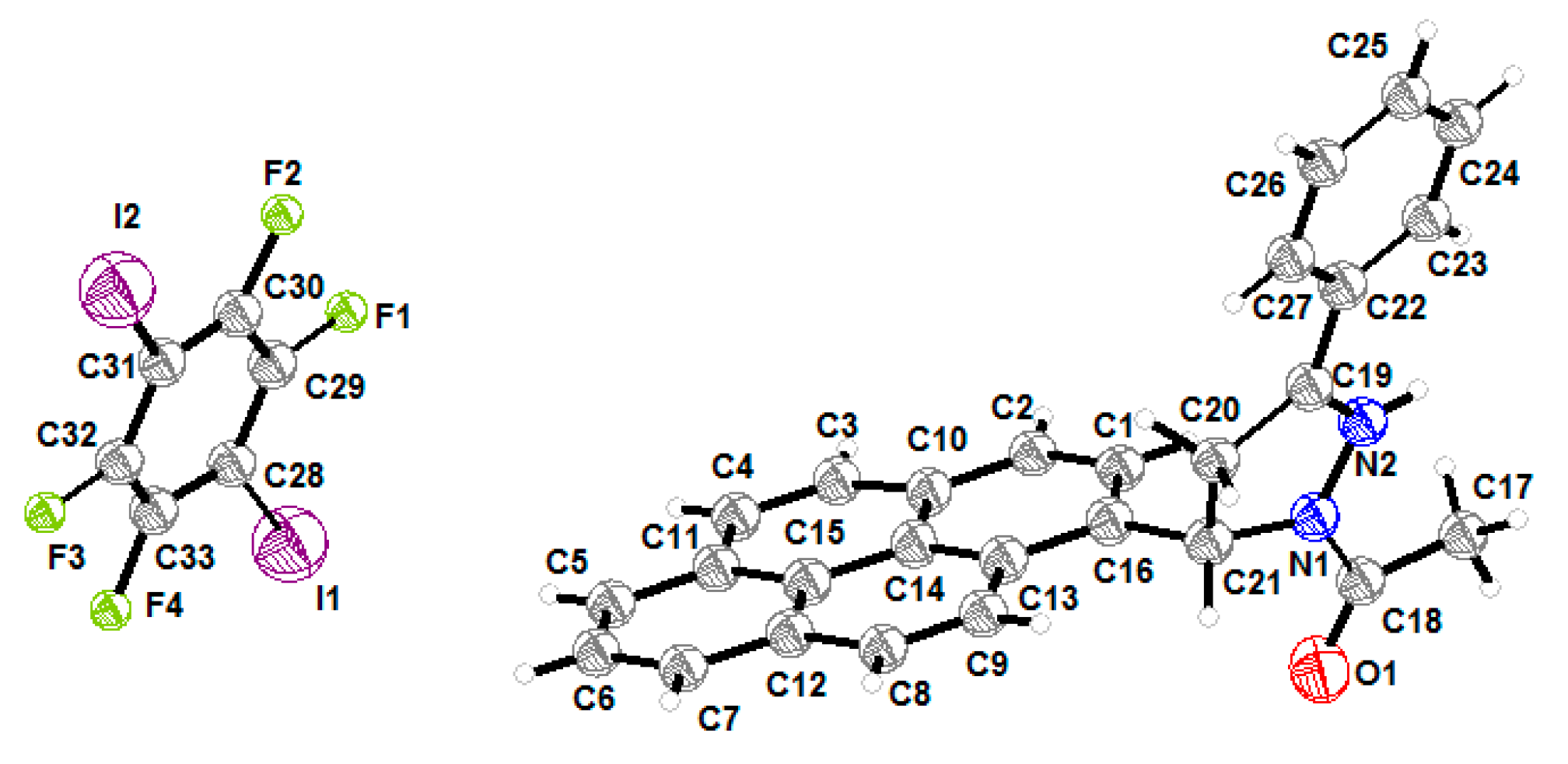
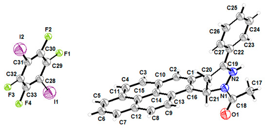
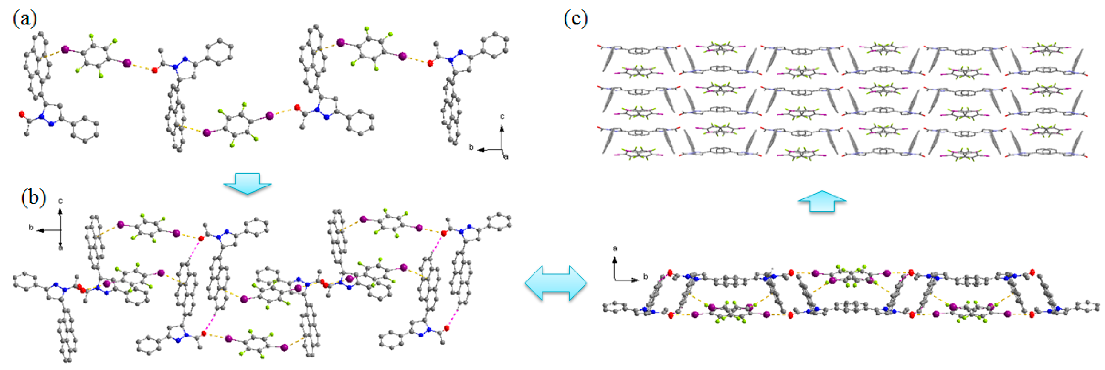
3.1. Crystal Structure
3.2. Powder X-ray Diffraction (PXRD) Patterns
3.3. Thermal Properties
3.4. FT-IR Spectroscopy and Hirshfeld Surface Analysis
4. Conclusions
Author Contributions
Funding
Conflicts of Interest
References
- Przybylek, M.; Ziolkowska, D.; Mroczynska, K.; Cysewski, P. Applicability of phenolic acids as effective enhancers of cocrystal solubility of methylxanthines. Cryst. Growth Des. 2017, 17, 2186–2193. [Google Scholar] [CrossRef]
- Ranjan, S.; Devarapalli, R.; Kundu, S.; Vangala, V.R.; Ghosh, A.; Reddy, C.M. Three new hydrochlorothiazide cocrystals: Structural analyses and solubility studies. J. Mol. Struct. 2017, 1133, 405–410. [Google Scholar] [CrossRef]
- Panzade, P.; Shendarkar, G.; Shaikh, S.; Rathi, P.B. Pharmaceutical cocrystal of piroxicam: Design, formulation and evaluation. Adv. Pharm. Bull. 2017, 7, 399–408. [Google Scholar] [CrossRef] [PubMed]
- Cysewski, P.; Przybylek, M. Selection of effective cocrystals former for dissolution rate improvement of active pharmaceutical ingredients based on lipoaffinity index. Eur. J. Pharm. Sci. 2017, 107, 87–96. [Google Scholar] [CrossRef] [PubMed]
- Krishna, G.R.; Shi, L.M.; Bag, P.P.; Sun, C.C.; Reddy, C.M. Correlation among crystal structure, mechanical behavior, and tabletability in the co-crystals of vanillin isomers. Cryst. Growth Des. 2015, 15, 1827–1832. [Google Scholar] [CrossRef]
- Karagianni, A.; Malamatari, M.; Kachrimanis, K. Pharmaceutical cocrystals: New solid phase modification approaches for the formulation of APIs. Pharmaceutics 2018, 10. [Google Scholar] [CrossRef] [PubMed]
- Thakuria, R.; Sarma, B. Drug-drug and drug-nutraceutical cocrystal/salt as alternative medicine for combination therapy: A crystal engineering approach. Crystals 2018, 8, 101. [Google Scholar] [CrossRef]
- Aitipamula, S.; Vangala, V.R. X-ray crystallography and its role in understanding the physicochemical properties of pharmaceutical cocrystals. J. Indian Inst. Sci. 2017, 97, 227–243. [Google Scholar] [CrossRef]
- Hang, G.Y.; Yu, W.L.; Wang, T.; Wang, J.T.; Li, Z. Molecular dynamics calculation on structures, stabilities, mechanical properties, and energy density of CL-20/FOX-7 cocrystal explosives. J. Mol. Model. 2018, 23. [Google Scholar] [CrossRef] [PubMed]
- Ghosh, M.; Sikder, A.K.; Banerjee, S.; Gonnade, R.G. Studies on CL-20/HMX (2:1) cocrystal: A new preparation method and structural and thermokinetic analysis. Cryst. Growth Des. 2018, 18, 3781–3793. [Google Scholar] [CrossRef]
- Zhuo, M.; Tao, Y.; Wang, X.; Wu, Y.; Chen, S.; Liao, L.; Jiang, L. 2D organic photonics: An asymmetric optical waveguide in self-assembled halogen-bonded cocrystals. Angew. Chem. Int. Ed. 2018, 57, 11300–11304. [Google Scholar] [CrossRef] [PubMed]
- Rozhkov, A.V.; Novikov, A.S.; Ivanov, D.M.; Bolotin, D.S.; Bokach, N.A.; Kukushkin, V.Y. Structure-directing weak interactions with 1,4-Diiodotetrafluorobenzene convert one-dimensional arrays of [M-II(acac)(2)] species into three-dimensional networks. Cryst. Growth Des. 2018, 18, 3626–3636. [Google Scholar] [CrossRef]
- Pigge, F.C.; Vangala, V.R.; Swenson, D.C. Relative importance of X···O=C vs. X···X halogen bonding as structural determinants in 4-halotriaroylbenzenes. Chem. Commun. 2006, 20, 2123–2125. [Google Scholar] [CrossRef] [PubMed]
- Shen, Q.; Pang, X.; Zhao, X.; Gao, H.; Sun, H.; Jin, W. Phosphorescent cocrystals constructed by 1,4-diiodotetrafluorobenzene and polyaromatic hydrocarbons based on C–I···π halogen bonding and other assisting weak interactions. CrystEngComm 2012, 14, 5027–5034. [Google Scholar] [CrossRef]
- Gao, H.; Shen, Q.; Zhao, X.; Yan, X.; Pang, X.; Jin, W. Phosphorescent co-crystal assembled by 1,4-diiodotetrafluorobenzene with carbazole based on C–I···π halogen bonding. J. Mater. Chem. 2012, 22, 5336–5343. [Google Scholar] [CrossRef]
- Gao, Y.; Li, L.; Liu, R.; Jin, W. Phosphorescence of several cocrystals assembled by diiodotetrafluorobenzene and three ring angular diazaphenanthrenes via C–I···N halogen bond. Spectrochim. Acta Part A 2017, 173, 792–799. [Google Scholar] [CrossRef] [PubMed]
- Liu, R.; Gao, Y.; Jin, W. Color-tunable phosphorescence of 1,10-phenanthrolines by 4,7-methyl/-diphenyl/-dichloro substituents in cocrystals assembled via bifurcated C–I···N halogen bonds using 1,4-diiodotetrafluorobenzene as a bonding donor. Acta Crystallogr. B 2017, B73, 247–254. [Google Scholar] [CrossRef] [PubMed]
- Feng, Q.; Wang, M.; Dong, B.; He, J.; Xu, C. Regulation of arrangements of pyrene fuorophores via solvates and cocrystals for fluorescence modulation. Cryst. Growth Des. 2013, 13, 4418–4427. [Google Scholar] [CrossRef]
- Hellmann, M.; Bilbo, A.J.; Pummer, W.J. Synthesis and Properties of Fluorinated Polyphenyls. J. Am. Chem. Soc. 1955, 77, 3650–3651. [Google Scholar] [CrossRef]
- Sheldrick, G.M. A short history of SHELX. Acta Crystallogr. A 2008, 64, 112–122. [Google Scholar] [CrossRef] [PubMed]
- Wolff, S.K.; Grimwood, D.J.; McKinnon, J.J.; Jayatilaka, D.; Spackman, M.A. CrystalExplorer 3.1; The University of Western Australia: Perth, Australia, 2012. [Google Scholar]
- Nwachukwu, C.I.; Bowling, N.P.; Bosch, E. C–I···N and C–I···π halogen bonding in the structures of 1-benzyliodoimidazole derivatives. Acta Crystallogr. C 2017, 73, 2–8. [Google Scholar] [CrossRef] [PubMed]
- Umezono, S.; Okuno, T. Systematic study of intermolecular C-X···O=S (X = Cl, Br, I) halogen bonds in (E)-10-(1,2-dihalovinyl)-10H-phenothiazine 5,5-dioxides. J. Mol. Struct. 2017, 1147, 636–642. [Google Scholar] [CrossRef]
- Feng, Q.; Wang, M.; Dong, B.; Xu, C.; Zhao, J.; Zhang, H. Tuning solid-state fluorescence of pyrene derivatives via a cocrystal strategy. CrystEngComm 2013, 15, 3623–3629. [Google Scholar] [CrossRef]
- McKinnon, J.J.; Spackman, M.A.; Mitchell, A.S. Novel tools for visualizing and exploring intermolecular interactions in molecular crystals. Acta Crystallogr. B 2004, 60, 627–668. [Google Scholar] [CrossRef] [PubMed]








| Crystal | APPP and 1,4-DITFB Cocrystal |
|---|---|
| Formula | C33H21F4I2N2O |
| Temperature/K | 296(2) |
| morphology | needle |
| Crystal system | monoclinic |
| Space group | P21/c |
| a/Å | 7.5134(6) |
| b/Å | 29.349(3) |
| c/Å | 13.3746(12) |
| α/deg | 90 |
| β/deg | 100.924(3) |
| γ/deg | 90 |
| V/Å3 | 2895.8(4) |
| Z | 4 |
| ρ (calcd)/Mg m−3 | 1.815 |
| θ Range for data collection/° | 2.081–27.590 |
| F(000) | 1532 |
| R1, wR2 (I > 2σ(I)) | 0.0583, 0.1400 |
| R1, wR2 (all data) | 0.0956, 0.1566 |
| Goodness-of-fit, S | 1.015 |
| CCDC | 1,855,431 |
| D–X···A | D–X | X···A | D···A | D–X···A |
|---|---|---|---|---|
| C(18)=O(1)···I(1) | 1.217 | 3.059 | 3.815 | 119.97 |
| C(31)-I(2)···π(C15) | 2.068 | 3.571 | 5.435 | 147.89 |
| Contact | % | Contact | % |
|---|---|---|---|
| I···O | 0.9 | H···F | 19.7 |
| O···H | 4.9 | H···H | 28.3 |
| C···C | 10.7 | C···H | 12.5 |
| C···F | 3.5 | C···I | 4.7 |
| C···N | 0.1 | H···I | 10.1 |
| H···N | 0.2 | F···F | 2.6 |
| F···I | 1.0 | F···N | 0.4 |
| I···N | 0.4 |
© 2018 by the authors. Licensee MDPI, Basel, Switzerland. This article is an open access article distributed under the terms and conditions of the Creative Commons Attribution (CC BY) license (http://creativecommons.org/licenses/by/4.0/).
Share and Cite
Feng, Q.; Huan, W.; Wang, J.; Guo, F.; Lu, J.; Diao, G.; Shan, Y. Cocrystal Assembled by Pyrene Derivative and 1,4-Diiodotetrafluorobenzene via a C=O···I Halogen Bond. Crystals 2018, 8, 392. https://doi.org/10.3390/cryst8100392
Feng Q, Huan W, Wang J, Guo F, Lu J, Diao G, Shan Y. Cocrystal Assembled by Pyrene Derivative and 1,4-Diiodotetrafluorobenzene via a C=O···I Halogen Bond. Crystals. 2018; 8(10):392. https://doi.org/10.3390/cryst8100392
Chicago/Turabian StyleFeng, Qi, Wenhui Huan, Jiali Wang, Fang Guo, Jiadan Lu, Guowang Diao, and Yaqi Shan. 2018. "Cocrystal Assembled by Pyrene Derivative and 1,4-Diiodotetrafluorobenzene via a C=O···I Halogen Bond" Crystals 8, no. 10: 392. https://doi.org/10.3390/cryst8100392
APA StyleFeng, Q., Huan, W., Wang, J., Guo, F., Lu, J., Diao, G., & Shan, Y. (2018). Cocrystal Assembled by Pyrene Derivative and 1,4-Diiodotetrafluorobenzene via a C=O···I Halogen Bond. Crystals, 8(10), 392. https://doi.org/10.3390/cryst8100392
