Abstract
Polycrystalline Bi2Se3−xTex (x = 0~1.5) samples were prepared by self-propagating high-temperature synthesis (SHS) combined with spark plasma sintering (SPS) and their thermoelectric properties were investigated. The SHS-SPS process can shorten the time with few energy consumptions, and obtain almost pure Bi2Se3-based phases. Consequently, the Se vacancies and anti-site defects contribute to the converged carrier concentration of ~2 × 1019 cm−3 while the increased carrier effective mass enhances the Seebeck coefficient to more than −158 μV K−1 over the entire temperature range. The lattice thermal conductivity is suppressed from 1.07 Wm−1 K−1 for the pristine specimen to ~0.6 Wm−1 K−1 for Te-substitution samples at 300 K because of point defects caused by the difference of mass and size between Te and Se atoms. Coupled with the enhanced power factor and reduced lattice thermal conductivity, a high ZT of 0.67 can be obtained at 473 K for the Bi2Se1.5Te1.5 sample. Our results reveal that Te-substitution based on the SHS-SPS method is highly-efficient and can improve the thermoelectric properties of Bi2Se3-based materials largely.
1. Introduction
With increasing attention on the environmental protection and renewable resources, thermoelectric (TE) instruments, which can directly convert heat into electricity, are considered as a potential solution for harness waste heat [1,2,3]. Considerable numbers of efforts have been devoted to improving the energy conversion efficiency and the stability of the TE materials [4]. The conversion efficiency depends positively on the dimensionless figure of merit, ZT = S2σT/κ, where S is the Seebeck coefficient, σ is the electrical conductivity, κ is the thermal conductivity and T is the absolute temperature, respectively [5]. To maximize the ZT value of a kind of material, a large Seebeck coefficient, electrical conductivity and low thermal conductivity are needed. However, these parameters have a strong coupling with each other, which makes it a challenging task to enhance ZT significantly. Motivated by achieving high thermoelectric performance, multiple methods have been adopted [6]. Many studies so far have focused on the atomic or molecular scales such as doping or alloying to enhance carrier concentration or carrier mobility and thus electrical conductivity to optimize TE performance [7,8,9,10]. To enhance Seebeck coefficient while maintaining high electrical conductivity, manipulating the band structure offers a new guideline [11]. Meanwhile, effective alteration at nanometer or mesoscopic scales including the quantum confinement [12] and energy filtering effect [13] can drastically elevate electrical properties. And developing multi-scale microstructures can obtain a lower thermal conductivity, which is caused by the phonons scattering from high to low frequencies [14]. Besides, further efforts have been made to explore new TE materials and new synthesis methods [15,16,17].
Bismuth selenide (Bi2Se3) is a V-VI semiconductor with a narrow band gap of ~0.3 eV. Several excellent work describing its application of optical recording system [18] and photoelectrochemical devices [19] can be found elsewhere. Because of good TE properties in the mid-temperature, bismuth chalcogenides gained more attention [20,21,22,23] in thermoelectrics. Bi2Se3 has a rhombohedral layered structure, where Se-Se layers are bonded by van der Waals [24]. On the basis of the weak inter-layer bonding, Sun et al. have reported on the enhancement of the thermoelectric properties of Bi2Se3 by the interlayer Cu doping [22]. So far, Bi-Te-Se crystals could be fabricated through the zone melting method [25]. Bi2Se3 nanostructures have been synthesized by solvothermal method and ZT of 0.096 was obtained at 523 K [26]. Similarly, for Bi2Se3−xTex (x ≤ 1.5), Liu prepared by ball milling, but only achieved ZT of ~0.3 [9]. Nonetheless, the mentioned methods of zone melting, solvothermal method and ball milling et al. are time and energy consuming. Meanwhile, the ZT of Bi2Se3-based materials is not large enough to meet the requirements of application in mass production. In contrast, self-propagating high-temperature synthesis (SHS) has been proved to be an efficient method to prepare the TE materials alternatively. When the heating rate and temperature are high enough, the reaction wave appears. The heat generated by the exothermic reaction can maintain the whole combustion process, which is exceptionally fast. It shortens the time with few consumptions and can be easily adopted in the commercial application [27]. A wide range of TE materials have been synthesized successfully by this method, including Cu2Se, BiCuSeO, Cu3SbSe3 and so on [27,28,29,30].
Previous work showed that Bi2Se3 and Bi2Te3 can be prepared by SHS method [31]. However, there are few studies focusing on the thermoelectric properties of Bi2Se3−xTex (x ≤ 1.5) prepared by combustion method. In this work, we successfully synthesized Bi2Se3−xTex (x = 0, 0.3, 0.6, 0.9, 1.2, 1.5) via the SHS method followed by spark plasma sintering (SPS) and studied the thermoelectric properties from 300 K to 593 K. Our results show that the highest power factor (PF = S2σ) can achieve 11.2 μWcm−1 K−2 for Bi2Se1.5Te1.5 at 300 K and the lattice thermal conductivity (κL) could be reduced to the lowest value of 0.35 Wm−1 K−1 at 593 K via Te alloying for Bi2Se2.1Te0.9. The ZT of ~0.67 is finally achieved at 473 K for Bi2Se1.5Te1.5, demonstrating the potential application for energy conversion in the mid-temperature. And SHS process will have more hopeful prospects in commercial applications.
2. Experimental Procedures
In the initial stage, Bi (99.99%, Aladdin), Se (99.99%, Aladdin), and Te (99.99%, Aladdin) powders were mixed meticulously in stoichiometric amounts. Then the mixture was cold-pressed into pellets with the diameter of 20 mm. The SHS process was started by heating the bottom of the pellets with a hand torch in the air. Once ignited, the hand torch is removed immediately. The heat generated by the combination reaction kept the combustion process propagating until it was finished in several seconds. Then the pellets were grounded into fine powders carefully by hand. The powders were then sintered into pellets of φ 12.7 mm by SPS (Sumitomo Coal Mining Co., Ltd., Tokyo, Japan) at the temperature of 593 K for 5 min under a uniaxial pressure of 40 MPa.
The phase structures were investigated by X-ray diffraction (XRD, RINT2000, Rigaku, Tokyo, Japan) analysis. The morphology and composition of cross-sectional bulks were checked by field-emission scanning electron microscopy (FESEM) (LEO1530, Oxford Instruments, Oxford, UK). The electrical properties including electrical conductivity and Seebeck coefficient were measured from room temperature to 593 K by ZEM-3 (ULVAC, Kanagawa, Japan). The van der Pauw method was used in an Eastchanging Hall measurement station to measure Hall coefficient (RH). The carrier concentration (n) and mobility (μ) were estimated by the equation n = 1/eRH and μ = σRH. To ensure the accuracy, the samples were polished to be thinner than 0.5 mm for the measurements. The total thermal conductivity is determined by the equation κ = DCpρ, where D is thermal diffusivity, Cp is specific heat and ρ is the density of the bulks. The thermal diffusivity was obtained by the laser flash method and the specific heat was calculated by the Dulong-Petit relation. The density of the bulks was derived with Archimedes method.
3. Results and Discussion
Figure 1a is the XRD result of all the Bi2Se3−xTex samples with x = 0~1.5. All the major peaks in the XRD patterns correspond to a standard card, Bi2Se3, PDF #33-0214. The additional small peaks can be identified as Bi2O2Se (PDF #29-0237), which is possibly generated by oxidation during the ultra-fast combustion process in the air. In this work, we assume that all the samples contain the same amount of Bi2O2Se, and we neglect the effect of existence of Bi2O2Se due to its small amount (small peaks in the XRD result). In Figure 1b, the lattice parameters were calculated according to the position of XRD peaks. With increasing Te content, the lattice constants a and c increase linearly, which indicates Te can successfully substitute for Se atoms to form solid solution by SHS process in a short time. Figure 1c–e show the morphology of cross-sectional bulks (x = 0, 0.3, 1.5). All the samples were sintered well with high density (94% or above). The layer structure can be seen clearly in the Bi2Se3−xTex bulks.
Figure 1.
(a) XRD patterns and (b) lattice parameters of sintered Bi2Se3−xTex bulk samples; field-emission scanning electron micrographs of Bi2Se3−xTex, for which, (c) x = 0; (d) x = 0.3; and (e) x = 1.5.
Figure 2 shows the temperature dependence of electrical conductivity and Seebeck coefficient. The electrical conductivity σ (in Figure 2a) of pristine Bi2Se3 maintains at about 400 Scm−1 from 300 K to 593 K, which is much higher than Bi2Se3 prepared by other method [22]. Se is much easier to evaporate during the combustion process because of low energy of evaporation and thus it leaves Se vacancies and free electrons, which may contribute to higher electrical conductivity. This can be indicated in the following equation:
Figure 2.
Temperature dependence of (a) electrical conductivity and (b) Seebeck coefficient for Bi2Se3−xTex samples.
As the Te content increases (x > 0), the electrical conductivity at 300 K initially increases to ~870 Scm−1 because of increased carrier concentration (Table 1), then decreases to ~400 Scm−1 owing to the change of carrier mobility, which is much lower than the pristine Bi2Se3 (Table 1). The carrier concentration increases may be a result of increasing anti-site defects () [31], which is caused by the fact that Bi can jump from Bi-site to Te-site easily because of small difference in electronegativity [10], as indicated in Equation (2).
Table 1.
Actual composition, carrier concentration (n), carrier mobility (μ), carrier effective mass (m*), Seebeck coefficient (S), Lorenz constant (L), lattice thermal conductivity (κL), κL/κ, and density of Bi2Se3−xTex samples at 300 K.
On the contrary, the number of Se vacancies will be fewer due to the increasing Te content. The decreased Se vacancies and increased anti-site defects make the carrier concentration converges to about 2 × 1019 cm−3. The carrier mobility decreases with higher Te content at 300 K in general due to the enhanced alloy scattering. Interestingly, we found μ of Bi2Se1.5Te1.5 (x = 1.5) is slightly larger than Bi2Se1.8Te1.2 (x = 1.2) at the room temperature, which is possibly caused by the intrinsic high mobility of Bi2Te3 [31].
As shown in Figure 2b, the negative Seebeck coefficient of all the samples indicates the dominance of electrons in the transport process. Generally, the value of Seebeck coefficient can be estimated by the equation [32]:
where , , , , , and are the carrier charge, Boltzmann constant, absolute temperature, Planck constant, the effective mass of the carrier, and carrier concentration. As shown in the formula, because of largely enhanced carrier concentration with increasing Te content (x < 0.9) at 300 K, the Seebeck coefficient decreases. Then the Seebeck coefficient was improved due to the larger carrier effective mass at 300 K (Table 1). It should be noticed that each sample with x ≥ 0.9, as the temperature increases, the value of Seebeck coefficient first increases then decreases, which is caused by the intrinsic excitations. The highest Seebeck coefficient of −180 μV K−1 is achieved at 473 K for the Bi2Se1.5Te1.5 sample. The Bi2Se1.5Te1.5 sample attains the largest effective mass of ~0.60 m0, which is in accord with the difference of Seebeck coefficient with different Te contents at room temperature.
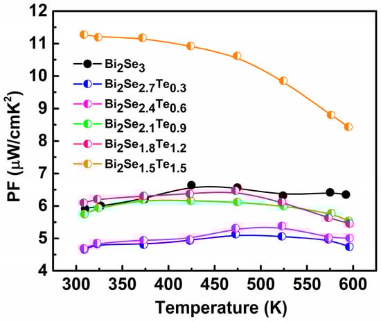
The variation of power factor (PF = S2σ) with increasing temperature of all the samples is shown in Figure 3. The Bi2Se1.5Te1.5 sample reaches the highest PF of 11.2 μWcm−1 K−2 at room temperature, which is almost twice higher than that of pristine Bi2Se3. But it drops to about 8 μWcm−1 K−2 at 593 K owing to the decreased electrical conductivity and Seebeck coefficient.
Figure 3.
The temperature dependence of power factor for Bi2Se3−xTex samples.
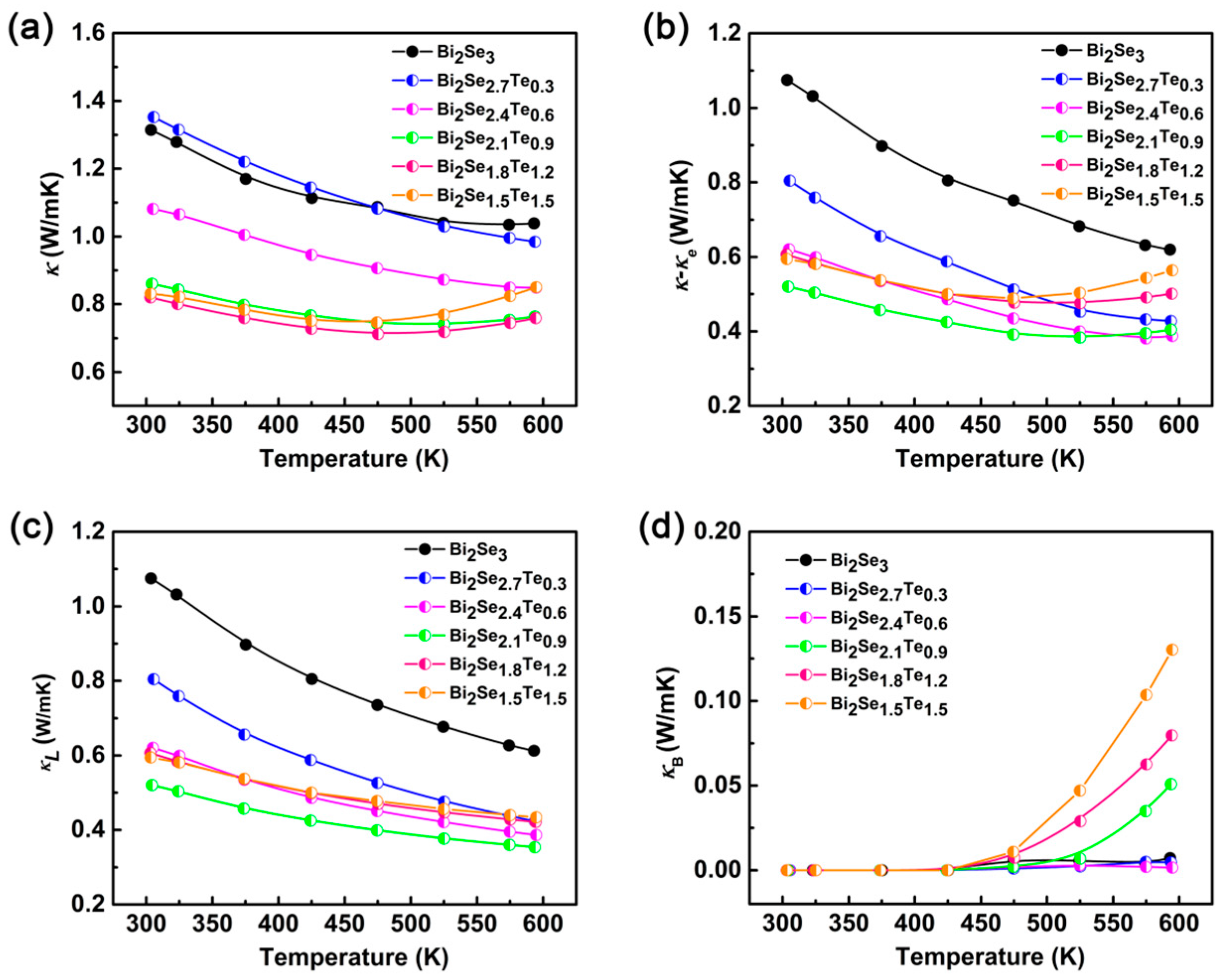
Figure 4a illustrates the total thermal conductivity (κ) as a function of temperature from room temperature to 593 K. The κ of pristine Bi2Se3 is in the range of 1.04–1.31 Wm−1 K−1. As x increases to 1.2, the κ drops into the range of 0.76–0.82 Wm−1 K−1 from 300 K to 593 K. With further increasing Te content, κ is much larger than the sample of x = 1.2. To have a better understanding of the thermal transport properties, κ is subsequently divided into three parts:
where κe is electron thermal conductivity, κL is lattice thermal conductivity and κB is the bipolar thermal conductivity induced by intrinsic excitaions. κe can be estimated by Wiedemann-Franz relation:
where L is the Lorenz constant and σ is electrical conductivity. In the single parabolic band model, L depends on the reduced chemical potential and scattering parameter. It can be estimated by fitting the values of the Seebeck coefficient and the room temperature data has been listed in Table 1. The details can be seen elsewhere [33,34]. As mentioned above (Figure 2b), intrinsic excitaions don’t occur until 423 K or above. Therefore, the κB can be ignored at low temperature in Figure 4b. Consequently, κL and the reciprocal temperature, T−1, follow a linear relationship. As shown in Figure 4c, the lattice thermal conductivity drops substantially after alloying. Note that the κL of Bi2Se2.1Te0.9 achieves the lowest value of 0.35 Wm−1 K−1 at 593 K. The effective suppression of the κL of could be attributed to point defects caused by the different mass and size between Te and Se atoms. Similar to the previous literature [9], the κL rises slightly when x is above 0.9. This may be ascribed to the relatively high κL of Bi2Te3 [31], whose effect is larger than the point defects. Figure 4d shows the temperature dependence of κB. With low Te content (x ≤ 0.6), κB is almost zero from 300 K to 593 K, because there are no intrinsic excitaions. Intrinsic excitaions occur and κB’s contribution to κ becomes larger when x ≥ 0.9, which is owing to narrower band gap with increasing Te content [35].
κ = κe + κL + κB
κe = LσT
Figure 4.
The temperature dependence of the (a) total thermal conductivity; (b) κ − κB; (c) lattice thermal conductivity; and (d) the bipolar thermal conductivity for Bi2Se3−xTex samples.
The ZT values for all the Bi2Se3−xTex samples (x = 0, 0.3, 0.6, 0.9, 1.2, 1.5) are presented in Figure 5. The enhanced power factor and the effective suppression of lattice thermal conductivity synergistically contribute to the highest ZT value of 0.67 at 473 K for the sample of Bi2Se1.5Te1.5, which is almost twice higher than the pristine Bi2Se3. ZT values of Bi2Se3 (ball milling) [22], Bi2Se2Te (ball milling) [9], Bi2Te3 (SHS) [31] from the literature are included for comparison. Our results show that the ZT value of Te-substituted Bi2Se3-based materials prepared by SHS is much larger than that by other methods.
Figure 5.
The temperature dependence of ZT for Bi2Se3−xTex samples.
4. Conclusions
In summary, we have investigated the thermoelectric properties (300–593 K) of Bi2Se3−xTex samples (x = 0, 0.3, 0.6, 0.9, 1.2, 1.5), which are prepared by SHS-SPS process successfully. Compared with other methods, the SHS-SPS process is much faster and requires less energy, which is desirable in commercial application even though with small amount of second phase Bi2O2Se. Our results show that the power factor of Bi2Se1.5Te1.5 achieves 11.2 μWcm−1 K−2 at 300 K by the increased carrier concentration and the enhancement of Seebeck coefficient. The point defects originate from the difference of mass and size between Te and Se atoms significantly suppresses the lattice thermal conductivity. Benefiting from the improved power factor and the decreased lattice thermal conductivity, a high ZT of 0.67 can be obtained at 473 K for the sample of Bi2Se1.5Te1.5, which demonstrates that the Te-substitution via SHS-SPS method is highly-efficient and can enhance the thermoelectric properties of Bi2Se3-based materials.
Acknowledgments
This work was supported by the National Key Research Programme of China, under grant No. 2016YFA0201003, Ministry of Sci & Tech of China through a 973-Project under grant No. 2013CB632506, and National Science Foundation of China under grand No. 51672155 and 51532003.
Author Contributions
Rui Liu performed the experiments and wrote the paper. Guangkun Ren, Yaochu Liu, Cewen Nan and Yuanhua Lin revised the manuscript. Chan Liu, Xing Tan and Zhifang Zhou assisted in experiments.
Conflicts of Interest
The authors declare no conflict of interest.
References
- Yang, S.H.; Zhu, T.J.; Sun, T.; He, J.; Zhang, S.N.; Zhao, X.B. Nanostructures in high-performance (GeTe)x(AgSbTe2)100−x thermoelectric materials. Nanotechnology 2008, 19, 245707. [Google Scholar] [CrossRef] [PubMed]
- Bell, L.E. Cooling, heating, generating power, and recovering waste heat with thermoelectric systems. Science 2008, 321, 1457–1461. [Google Scholar] [CrossRef] [PubMed]
- Tritt, T.M. Holey and unholey semiconductors. Science 1999, 283, 804. [Google Scholar] [CrossRef]
- Rhyee, J.S.; Lee, K.H.; Lee, S.M.; Cho, E.; Kim, S.I.; Lee, E.; Kwon, Y.S.; Shim, J.H.; Kotliar, G. Peierls distortion as a route to high thermoelectric performance in In4Se3−δ crystals. Nature 2009, 459, 965–968. [Google Scholar] [CrossRef] [PubMed]
- Nolas, G.S.; Sharp, J.; Goldsmid, J. Thermoelectrics: Basic Principles and New Materials Developments; Springer: Berlin, Germany, 2013; Volume 45, p. 111. [Google Scholar]
- Snyder, G.J.; Toberer, E.S. Complex thermoelectric materials. Nat. Mater. 2008, 7, 105–114. [Google Scholar] [CrossRef] [PubMed]
- Mehta, R.J.; Zhang, Y.; Karthik, C.; Singh, B.; Siegel, R.W.; Borca-Tasciuc, T.; Ramanath, G. A new class of doped nanobulk high-figure-of-merit thermoelectrics by scalable bottom-up assembly. Nat. Mater. 2012, 11, 233–240. [Google Scholar] [CrossRef] [PubMed]
- Tan, X.; Lan, J.L.; Ren, G.K.; Liu, Y.; Lin, Y.H.; Nan, C.W. Enhanced thermoelectric performance of n-type Bi2O2Se by Cl-doping at Se site. J. Am. Ceram. Soc. 2017, 100, 1494–1501. [Google Scholar] [CrossRef]
- Liu, W.S.; Lukas, K.C.; McEnaney, K.; Lee, S.; Zhang, Q.; Opeil, C.P.; Chen, G.; Ren, Z.F. Studies on the Bi2Te3–Bi2Se3–Bi2S3 system for mid-temperature thermoelectric energy conversion. Energy Environ. Sci. 2013, 6, 552–560. [Google Scholar] [CrossRef]
- Liu, W.S.; Zhang, Q.Y.; Lan, Y.C.; Chen, S.; Yan, X.; Zhang, Q.; Wang, H.; Wang, D.Z.; Chen, G.; Ren, Z.F. Thermoelectric property studies on Cu-doped n-type CuxBi2Te2.7Se0.3 nanocomposites. Adv. Energy Mater. 2011, 1, 577–587. [Google Scholar] [CrossRef]
- Pei, Y.Z.; Shi, X.Y.; Lalonde, A.; Wang, H.; Chen, L.D.; Snyder, G.J. Convergence of electronic bands for high performance bulk thermoelectrics. Nature 2011, 473, 66–69. [Google Scholar] [CrossRef] [PubMed]
- Hicks, L.D.; Dresselhaus, M.S. Thermoelectric figure of merit of a one-dimensional conductor. Phys. Rev. B 1992, 47, 16631. [Google Scholar] [CrossRef]
- Humphrey, T.E.; Linke, H. Reversible Thermoelectric Nanomaterials. Phys. Rev. Lett. 2005, 94, 096601. [Google Scholar] [CrossRef] [PubMed]
- Biswa, K.; He, J.Q.; Blum, I.D.; Wu, C.I.; Hogan, T.P.; Seidman, D.D.; Dravid, V.P.; Kanatzidis, M.G. High-performance bulk thermoelectrics with all-scale hierarchical architectures. Nature 2012, 489, 414–418. [Google Scholar] [CrossRef] [PubMed]
- Dresselhaus, M.S.; Chen, G.; Tang, M.Y.; Yang, R.; Lee, H.; Wang, D.; Ren, Z.; Fleurial, J.P.; Gogna, P. New directions for low-dimensional thermoelectric materials. Adv. Mater. 2007, 19, 1043–1053. [Google Scholar] [CrossRef]
- Chen, G.; Dresselhaus, M.; Dresselhaus, G.; Fleurial, J.P.; Caillat, T. Recent developments in thermoelectric materials. Int. Mater. Rev. 2003, 48, 45–66. [Google Scholar] [CrossRef]
- Kauzlarich, S.M.; Brown, S.R.; Snyder, G.J. Zintl phases for thermoelectric devices. Dalton Trans. 2007, 21, 2099–2107. [Google Scholar] [CrossRef] [PubMed]
- Watanabe, K.; Sato, N.; Miyaoko, S. New optical recording material for video disc system. J. Appl. Phys. 1983, 54, 1256. [Google Scholar] [CrossRef]
- Waters, J.; Crouch, D.; Raftery, J.; O’Brien, P. Deposition of bismuth chalcogenide thin films using novel single-source precursors by metal-organic chemical vapor deposition. Chem. Mater. 2004, 16, 3289–3298. [Google Scholar] [CrossRef]
- Bayaz, A.A.; Giani, A.; Foucaran, A.; Pascal-Delannoy, F.; Boyer, A. Electrical and thermoelectrical properties of Bi2Se3 grown by metal organic chemical vapour deposition technique. Thin Solid Films 2003, 441, 1–5. [Google Scholar] [CrossRef]
- Tang, Z.L.; Hu, L.P.; Zhu, T.J.; Liu, X.H.; Zhao, X.B. High performance n-type bismuth telluride based alloys for mid-temperature power generation. J. Mater. Chem. C 2015, 3, 10597–10603. [Google Scholar] [CrossRef]
- Sun, G.L.; Qin, X.Y.; Li, D.; Zhang, J.; Ren, B.J.; Zou, T.H.; Xin, H.X.; Paschen, S.B.; Yan, X.L. Enhanced thermoelectric performance of n-type Bi2Se3 doped with Cu. J. Alloys Compd. 2015, 639, 9–14. [Google Scholar] [CrossRef]
- Kim, D.; Syers, P.; Butch, N.P.; Paglione, J.; Fuhrer, M.S. Ambipolar surface state thermoelectric power of topological insulator Bi2Se3. Nano Lett. 2014, 14, 1701–1706. [Google Scholar] [CrossRef] [PubMed]
- Nakajima, S. The crystal structure of Bi2Te3−xSex. J. Phys. Chem. Solids 1963, 24, 479–485. [Google Scholar] [CrossRef]
- Jiang, J.; Chen, L.D.; Yao, Q.; Bai, S.Q.; Wang, Q. Effect of TeI4 content on the thermoelectric properties of n-type Bi–Te–Se crystals prepared by zone melting. Mater. Chem. Phys. 2005, 92, 39–42. [Google Scholar] [CrossRef]
- Kadel, K.; Kumari, L.; Li, W.Z.; Huang, Y.Y.; Provencio, P.P. Synthesis and thermoelectric properties of Bi2Se3 nanostructures. Nanoscale Res. Lett. 2011, 6, 57. [Google Scholar] [CrossRef] [PubMed]
- Su, X.; Fu, F.; Yan, Y.; Zheng, G.; Liang, T.; Zhang, Q.; Cheng, X.; Yang, D.; Chi, H.; Tang, X.; et al. Self-propagating high-temperature synthesis for compound thermoelectrics and new criterion for combustion processing. Nat. Commun. 2014, 5, 4908. [Google Scholar] [CrossRef] [PubMed]
- Ren, G.K.; Lan, J.L.; Butt, S.; Ventura, K.J.; Lin, Y.H.; Nan, C.W. Enhanced thermoelectric properties in Pb-doped BiCuSeO oxyselenides prepared by ultrafast synthesis. RSC Adv. 2015, 5, 69878–69885. [Google Scholar] [CrossRef]
- Liu, R.; Ren, G.K.; Tan, X.; Lin, Y.L.; Nan, C.W. Enhanced thermoelectric properties of Cu3SbSe3-based composites with inclusion phases. Energies 2016, 9, 816. [Google Scholar] [CrossRef]
- Yang, D.W.; Su, X.L.; Yan, Y.G.; Hu, T.Z.; Xie, H.Y.; He, J.; Uher, C.; Kanatzidis, M.G.; Tang, X.F. Manipulating the combustion wave during self-Propagating synthesis for high thermoelectric performance of layered oxychalcogenide Bi1−xPbxCuSeO. Chem. Mater. 2016, 28, 4628–4640. [Google Scholar] [CrossRef]
- Zheng, G.; Su, X.L.; Liang, T.; Lu, Q.B.; Yan, Y.G.; Uher, C.; Tang, X.F. High thermoelectric performance of mechanically robust n-type Bi2Te3−xSex prepared by combustion synthesis. J. Mater. Chem. A 2015, 3, 6603–6613. [Google Scholar] [CrossRef]
- Koumoto, K.; Funahashi, R.; Guilmeau, E.; Miyazaki, Y.; Weidenkaff, A.; Wang, Y.F.; Wan, C.L. Thermoelectric ceramics for energy harvesting. J. Am. Ceram. Soc. 2013, 96, 1–23. [Google Scholar] [CrossRef]
- Pei, Y.L.; He, J.; Li, J.F.; Li, F.; Liu, Q.J.; Pan, W.; Barreteau, C.; Berardan, D.; Dragoe, N.; Zhao, L.D. High thermoelectric performance of oxyselenides: Intrinsically low thermal conductivity of Ca-doped BiCuSeO. NPG Asia Mater. 2013, 5, 425–434. [Google Scholar] [CrossRef]
- Kumar, G.S.; Prasad, G.; Pohl, R.O. Experimental determinations of the Lorenz number. J. Mater. Sci. 1993, 28, 4261–4272. [Google Scholar] [CrossRef]
- Imamuddin, M.; Dupre, A. Thermoelectric properties of p-type Bi2Te3-Sb2Te3-Sb2Se3 alloys and n-type Bi2Te3-Bi2Se3 alloys in the temperature range 300 to 600 K. Phys. Status Solidi A 1972, 10, 415–424. [Google Scholar] [CrossRef]
© 2017 by the authors. Licensee MDPI, Basel, Switzerland. This article is an open access article distributed under the terms and conditions of the Creative Commons Attribution (CC BY) license (http://creativecommons.org/licenses/by/4.0/).




