Soda Cans Metamaterial: A Subwavelength-Scaled Phononic Crystal
Abstract
:1. Introduction
2. The Soda Can: A Resonant Building Block
2.1. Why the Soda Can?
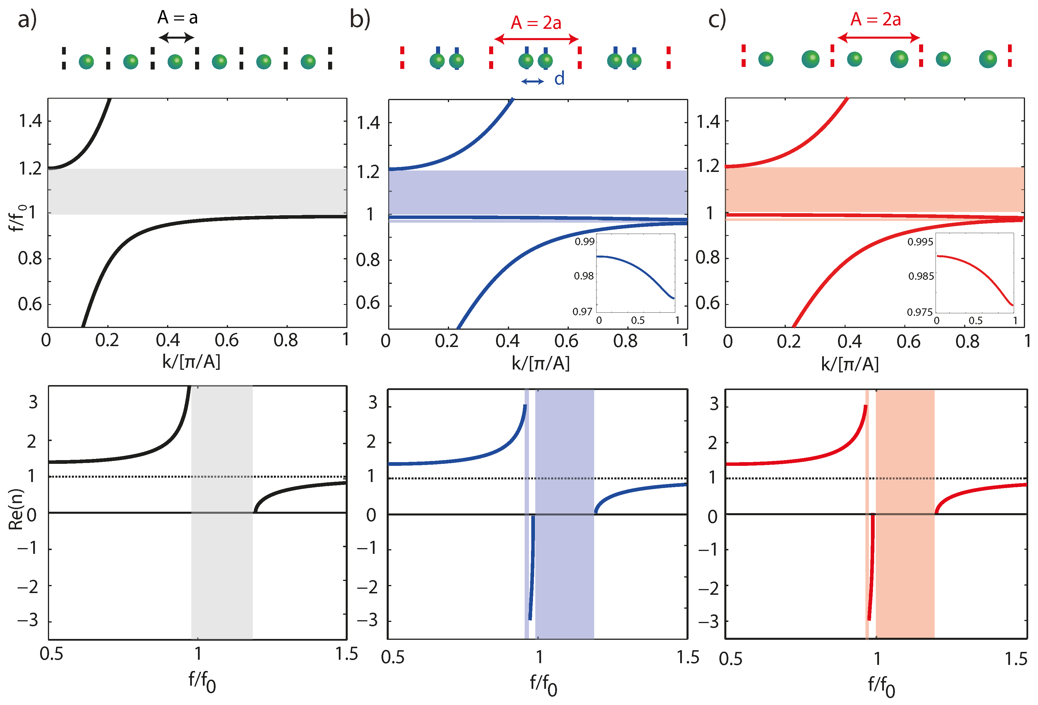
2.2. Band Structure of the Soda Can Medium
3. Exploiting the First Propagating Band with High Bloch Wavenumbers for Subwavelength Focusing from the Far Field
3.1. Subwavelength Focusing in the Context of Metamaterials
3.2. Eigenmodes of a Finite-Sized Array of Soda Cans
3.3. Subwavelength Focusing from the Far Field
4. Subwavelength Trapping and Waveguiding by Exploiting the Low Frequency Band Gap
4.1. Existence of a So-Called Hybridization Band Gap
4.2. Creating a Defect within the Hybridization Band Gap
4.3. Molding Experimentally the Flow of Acoustic Waves at a Subwavelength Scale
5. Spatial Structuration and Multiple Scattering Lead to Negative Refraction
5.1. Toward More Complex Metamaterial Crystals by Complexifying the Unit Cell
5.2. Physical Origin of the Negative Index Branch
5.3. From 1D to 2D Media
5.4. Experimental Demonstration: Acoustic Superlensing
6. Conclusions
Acknowledgments
Author Contributions
Conflicts of Interest
References
- Floquet, G. Sur les équations différentielles linéaires à coefficients périodiques. Ann. Sci. l’Écol. Norm. Supér. 1883, 12, 47–88. [Google Scholar]
- Bloch, F. Über die Quantenmechanik der Elektronen in Kristallgittern. Z. Phys. Hadron. Nucl. 1929, 52, 555–600. [Google Scholar]
- Bragg, W.L. The diffraction of short electromagnetic waves by a crystal. Camb. Phil. Soc. Proc. 1912, 17, 43–57. [Google Scholar]
- John, S. Strong localization of photons in certain disordered dielectric superlattices. Phys. Rev. Lett. 1987, 58, 2486. [Google Scholar] [CrossRef] [PubMed]
- Yablonovitch, E. Inhibited Spontaneous Emission in Solid-State Physics and Electronics. Phys. Rev. Lett. 1987, 58, 2059–2062. [Google Scholar] [CrossRef] [PubMed]
- Kushwaha, M.S.; Halevi, P.; Dobrzynski, L.; Djafari-Rouhani, B. Acoustic band structure of periodic elastic composites. Phys. Rev. Lett. 1993, 71, 2022. [Google Scholar] [CrossRef] [PubMed]
- Yang, S.; Page, J.; Liu, Z.; Cowan, M.; Chan, C.; Sheng, P. Focusing of sound in a 3D phononic crystal. Phys. Rev. Lett. 2004, 93, 024301. [Google Scholar] [CrossRef] [PubMed]
- Otsuka, P.H.; Nanri, K.; Matsuda, O.; Tomoda, M.; Veres, I.; Danworaphong, S.; Khelif, A.; Benchabane, S.; Laude, V.; Wright, O.B. Broadband evolution of phononic-crystal-waveguide eigenstates in real- and k-spaces. Sci. Rep. 2013, 3, 3351. [Google Scholar] [CrossRef] [PubMed]
- Liu, Z.; Zhang, X.; Mao, Y.; Zhu, Y.Y.; Yang, Z.; Chan, C.T.; Sheng, P. Locally Resonant Sonic Materials. Science 2000, 289, 1734–1736. [Google Scholar] [CrossRef] [PubMed]
- Pendry, J.B.; Holden, A.J.; Stewart, W.J.; Youngs, I. Extremely Low Frequency Plasmons in Metallic Mesostructures. Phys. Rev. Lett. 1996, 76, 4773–4776. [Google Scholar] [CrossRef] [PubMed]
- Pendry, J.B.; Holden, A.J.; Robbins, D.J.; Stewart, W.J. Magnetism from conductors and enhanced nonlinear phenomena. IEEE Trans. Microw. Theory Tech. 1999, 47, 2075–2084. [Google Scholar] [CrossRef]
- Deymier, P.A. Acoustic Metamaterials and Phononic Crystals; Springer Science & Business Media: Berlin, Germany, 2013; Volume 173. [Google Scholar]
- Fang, N.; Xi, D.; Xu, J.; Ambati, M.; Srituravanich, W.; Sun, C.; Zhang, X. Ultrasonic metamaterials with negative modulus. Nat. Mater. 2006, 5, 452–456. [Google Scholar] [CrossRef] [PubMed]
- Guenneau, S.; Movchan, A.; Pétursson, G.; Ramakrishna, S.A. Acoustic metamaterials for sound focusing and confinement. New J. Phys. 2007, 9, 399. [Google Scholar] [CrossRef]
- Ding, Y.; Liu, Z.; Qiu, C.; Shi, J. Metamaterial with Simultaneously Negative Bulk Modulus and Mass Density. Phys. Rev. Lett. 2007, 99, 093904. [Google Scholar] [CrossRef] [PubMed]
- Zhang, S.; Yin, L.; Fang, N. Focusing Ultrasound with an Acoustic Metamaterial Network. Phys. Rev. Lett. 2009, 102, 194301. [Google Scholar] [CrossRef] [PubMed]
- Lee, S.H.; Park, C.M.; Seo, Y.M.; Wang, Z.G.; Kim, C.K. Composite acoustic medium with simultaneously negative density and modulus. Phys. Rev. Lett. 2010, 104, 054301. [Google Scholar] [CrossRef] [PubMed]
- Christensen, J.; Liang, Z.; Willatzen, M. Metadevices for the confinement of sound and broadband double-negativity behavior. Phys. Rev. B 2013, 88, 100301. [Google Scholar] [CrossRef]
- Yang, M.; Ma, G.; Yang, Z.; Sheng, P. Coupled Membranes with Doubly Negative Mass Density and Bulk Modulus. Phys. Rev. Lett. 2013, 110, 134301. [Google Scholar] [CrossRef] [PubMed]
- García-Chocano, V.M.; Christensen, J.; Sánchez-Dehesa, J. Negative refraction and energy funneling by hyperbolic materials: An experimental demonstration in acoustics. Phys. Rev. Lett. 2014, 112, 144301. [Google Scholar] [CrossRef] [PubMed]
- Ma, G.; Yang, M.; Xiao, S.; Yang, Z.; Sheng, P. Acoustic metasurface with hybrid resonances. Nat. Mater. 2014, 13, 873–878. [Google Scholar] [CrossRef] [PubMed]
- Brunet, T.; Merlin, A.; Mascaro, B.; Zimny, K.; Leng, J.; Poncelet, O.; Aristégui, C.; Mondain-Monval, O. Soft 3D acoustic metamaterial with negative index. Nat. Mater. 2015, 14, 384–388. [Google Scholar] [CrossRef] [PubMed]
- Ma, G.; Sheng, P. Acoustic metamaterials: From local resonances to broad horizons. Sci. Adv. 2016, 2, e1501595. [Google Scholar] [CrossRef] [PubMed]
- Von Helmholtz, H. On the Sensations of Tone as a Physiological Basis for the Theory of Music; Longmans, Green and Co.: London, UK, 1885. [Google Scholar]
- Lemoult, F.; Fink, M.; Lerosey, G. Acoustic Resonators for Far-Field Control of Sound on a Subwavelength Scale. Phys. Rev. Lett. 2011, 107, 064301. [Google Scholar] [CrossRef] [PubMed]
- Lerosey, G.; de Rosny, J.; Tourin, A.; Fink, M. Focusing Beyond the Diffraction Limit with Far-Field Time Reversal. Science 2007, 315, 1120–1122. [Google Scholar] [CrossRef] [PubMed]
- Lemoult, F.; Lerosey, G.; de Rosny, J.; Fink, M. Resonant Metalenses for Breaking the Diffraction Barrier. Phys. Rev. Lett. 2010, 104, 203901. [Google Scholar] [CrossRef] [PubMed]
- Lemoult, F.; Fink, M.; Lerosey, G. Revisiting the wire medium: An ideal resonant metalens. Waves Random Complex Media 2011, 21, 591–613. [Google Scholar] [CrossRef]
- Kinsler, L.E.; Frey, A.R.; Coppens, A.B.; Sanders, J.V. Fundamentals of Acoustics, 4th ed.; Wiley: New York, NY, USA, 2000. [Google Scholar]
- Kergomard, J.; Chaigne, A. Acoustique des Instruments de Musique; Editions Belin: Paris, France, 2008. [Google Scholar]
- Kosten, C.W.; Zwikker, C.S. Sound Absorbing Materials; Elsevier: Amsterdam, The Netherlands, 1949. [Google Scholar]
- Lagendijk, A. Vibrational relaxation studied with light. Ultrashort Process. Condens. Matter 1993, 314, 197. [Google Scholar]
- Fano, U. Effects of Configuration Interaction on Intensities and Phase Shifts. Phys. Rev. 1961, 124, 1866–1878. [Google Scholar] [CrossRef]
- Lemoult, F.; Kaina, N.; Fink, M.; Lerosey, G. Wave propagation control at the deep subwavelength scale in metamaterials. Nat. Phys. 2013, 9, 55–60. [Google Scholar] [CrossRef]
- Brunet, T.; Leng, J.; Mondain-Monval, O. Materials science. Soft acoustic metamaterials. Science 2013, 342, 323–324. [Google Scholar] [CrossRef] [PubMed]
- Fokin, V.; Ambati, M.; Sun, C.; Zhang, X. Method for retrieving effective properties of locally resonant acoustic metamaterials. Phys. Rev. B 2007, 76, 144302. [Google Scholar] [CrossRef]
- Veselago, V.G. The electrodynamics of substances with simultaneous negative values of ϵ and μ. Physics-Uspekhi 1968, 10, 509. [Google Scholar] [CrossRef]
- Pendry, J.B. Negative Refraction Makes a Perfect Lens. Phys. Rev. Lett. 2000, 85, 3966–3969. [Google Scholar] [CrossRef] [PubMed]
- Zhu, J.; Christensen, J.; Jung, J.; Martin-Moreno, L.; Yin, X.; Fok, L.; Zhang, X.; Garcia-Vidal, F.J. A holey-structured metamaterial for acoustic deep-subwavelength imaging. Nat. Phys. 2011, 7, 52–55. [Google Scholar] [CrossRef]
- Li, J.; Fok, L.; Yin, X.; Bartal, G.; Zhang, X. Experimental demonstration of an acoustic magnifying hyperlens. Nat. Mater. 2009, 8, 931–934. [Google Scholar] [CrossRef] [PubMed]
- Christensen, J.; Fernandez-Dominguez, A.I.; de Leon-Perez, F.; Martin-Moreno, L.; Garcia-Vidal, F.J. Collimation of sound assisted by acoustic surface waves. Nat. Phys. 2007, 3, 851–852. [Google Scholar] [CrossRef]
- De Rosny, J.; Fink, M. Overcoming the Diffraction Limit in Wave Physics Using a Time-Reversal Mirror and a Novel Acoustic Sink. Phys. Rev. Lett. 2002, 89, 124301. [Google Scholar] [CrossRef] [PubMed]
- Sukhovich, A.; Merheb, B.; Muralidharan, K.; Vasseur, J.O.; Pennec, Y.; Deymier, P.A.; Page, J.H. Experimental and Theoretical Evidence for Subwavelength Imaging in Phononic Crystals. Phys. Rev. Lett. 2009, 102, 154301. [Google Scholar] [CrossRef] [PubMed]
- Lanoy, M.; Pierrat, R.; Lemoult, F.; Fink, M.; Leroy, V.; Tourin, A. Subwavelength focusing in bubbly media using broadband time reversal. Phys. Rev. B 2015, 91, 224202. [Google Scholar] [CrossRef]
- Rupin, M.; Catheline, S.; Roux, P. Super-resolution experiments on Lamb waves using a single emitter. Appl. Phys. Lett. 2015, 106, 024103. [Google Scholar] [CrossRef]
- Lemoult, F.; Fink, M.; Lerosey, G. Far-field sub-wavelength imaging and focusing using a wire medium based resonant metalens. Waves Random Complex Media 2011, 21, 614–627. [Google Scholar] [CrossRef]
- Lemoult, F.; Fink, M.; Lerosey, G. A polychromatic approach to far-field superlensing at visible wavelengths. Nature Commun. 2012, 3, 889. [Google Scholar] [CrossRef] [PubMed]
- Pierrat, R.; Vandenbem, C.; Fink, M.; Carminati, R. Subwavelength focusing inside an open disordered medium by time reversal at a single point antenna. Phys. Rev. A 2013, 87, 041801. [Google Scholar] [CrossRef]
- Maznev, A.A.; Gu, G.; yuan Sun, S.; Xu, J.; Shen, Y.; Fang, N.; Zhang, S. Extraordinary focusing of sound above a soda can array without time reversal. New J. Phys. 2015, 17, 042001. [Google Scholar] [CrossRef]
- Fink, M. Time Reversed Acoustics. Phys. Today 1997, 50, 34–40. [Google Scholar] [CrossRef]
- Derode, A.; Tourin, A.; Fink, M. Random multiple scattering of ultrasound. II. Is time reversal a self-averaging process? Phys. Rev. E 2001, 64, 036606. [Google Scholar] [CrossRef] [PubMed]
- Lemoult, F.; Lerosey, G.; de Rosny, J.; Fink, M. Manipulating Spatiotemporal Degrees of Freedom of Waves in Random Media. Phys. Rev. Lett. 2009, 103, 173902. [Google Scholar] [CrossRef] [PubMed]
- Mosk, A.P.; Lagendijk, A.; Lerosey, G.; Fink, M. Controlling waves in space and time for imaging and focusing in complex media. Nat. Photonics 2012, 6, 283–292. [Google Scholar] [CrossRef]
- Lord Rayleigh, F.R.S. Investigations in optics, with special reference to the spectroscope. Philos. Mag. Ser. 5 1879, 8, 261–274. [Google Scholar] [CrossRef]
- Tanter, M.; Aubry, J.F.; Gerber, J.; Thomas, J.L.; Fink, M. Optimal focusing by spatio-temporal inverse filter. I. Basic principles. J. Acoust. Soc. Am. 2001, 110, 37–47. [Google Scholar] [CrossRef] [PubMed]
- Montaldo, G.; Tanter, M.; Fink, M. Real time inverse filter focusing through iterative time reversal. J. Acoust. Soc. Am. 2004, 115, 768–775. [Google Scholar] [CrossRef] [PubMed]
- Lani, S.; Sabra, K.G.; Degertekin, F.L. Super-resolution ultrasonic imaging of stiffness variations on a microscale active metasurface. Appl. Phys. Lett. 2016, 108, 084104. [Google Scholar] [CrossRef]
- Sigalas, M.; Economou, E.N. Band structure of elastic waves in two dimensional systems. Solid State Commun. 1993, 86, 141–143. [Google Scholar] [CrossRef]
- Psarobas, I.E.; Modinos, A.; Sainidou, R.; Stefanou, N. Acoustic properties of colloidal crystals. Phys. Rev. B 2002, 65, 064307. [Google Scholar] [CrossRef]
- Penciu, R.S.; Kriegs, H.; Petekidis, G.; Fytas, G.; Economou, E.N. Phonons in colloidal systems. J. Chem. Phys. 2003, 118, 5224–5240. [Google Scholar] [CrossRef]
- Leroy, V.; Strybulevych, A.; Scanlon, M.G.; Page, J.H. Transmission of ultrasound through a single layer of bubbles. Eur. Phys. J. E 2009, 29, 123–130. [Google Scholar] [CrossRef] [PubMed]
- Leroy, V.; Bretagne, A.; Fink, M.; Willaime, H.; Tabeling, P.; Tourin, A. Design and characterization of bubble phononic crystals. Appl. Phys. Lett. 2009, 95, 171904. [Google Scholar] [CrossRef]
- Cowan, M.L.; Page, J.H.; Sheng, P. Ultrasonic wave transport in a system of disordered resonant scatterers: Propagating resonant modes and hybridization gaps. Phys. Rev. B 2011, 84, 094305. [Google Scholar] [CrossRef]
- Beltramo, P.J.; Schneider, D.; Fytas, G.; Furst, E.M. Anisotropic Hypersonic Phonon Propagation in Films of Aligned Ellipsoids. Phys. Rev. Lett. 2014, 113, 205503. [Google Scholar] [CrossRef] [PubMed]
- Economou, E.N. The Physics of Solids: Essentials and Beyond; Springer Science & Business Media: Berlin, Germany, 2010. [Google Scholar]
- Miroshnichenko, A.E.; Flach, S.; Kivshar, Y.S. Fano resonances in nanoscale structures. Rev. Mod. Phys. 2010, 82, 2257–2298. [Google Scholar] [CrossRef]
- Still, T.; Cheng, W.; Retsch, M.; Sainidou, R.; Wang, J.; Jonas, U.; Stefanou, N.; Fytas, G. Simultaneous Occurrence of Structure-Directed and Particle-Resonance-Induced Phononic Gaps in Colloidal Films. Phys. Rev. Lett. 2008, 100, 194301. [Google Scholar] [CrossRef] [PubMed]
- Page, J.H.; Lee, E.J.; Croënne, C. Anomalous ultrasonic transport in phononic crystals with overlapping Bragg and hybridization gaps. J. Acoust. Soc. Am. 2013, 134, 4026–4026. [Google Scholar] [CrossRef]
- Alonso-Redondo, E.; Schmitt, M.; Urbach, Z.; Hui, C.; Sainidou, R.; Rembert, P.; Matyjaszewski, K.; Bockstaller, M.; Fytas, G. A new class of tunable hypersonic phononic crystals based on polymer-tethered colloids. Nat. Commun. 2015, 6, 8309. [Google Scholar] [CrossRef] [PubMed]
- Martinezsala, R.; Sancho, J.; Sánchez, J.; Gómez, V.; Llinares, J.; Meseguer, F. Sound-attenuation by sculpture. Nature 1995, 378, 241. [Google Scholar] [CrossRef]
- De Espinosa, F.M.; Jimenez, E.; Torres, M. Ultrasonic band gap in a periodic two-dimensional composite. Phys. Rev. Lett. 1998, 80, 1208. [Google Scholar] [CrossRef]
- Yang, S.; Page, J.H.; Liu, Z.; Cowan, M.L.; Chan, C.T.; Sheng, P. Ultrasound Tunneling through 3D Phononic Crystals. Phys. Rev. Lett. 2002, 88, 104301. [Google Scholar] [CrossRef] [PubMed]
- Page, J.; Sukhovich, A.; Yang, S.; Cowan, M.; Van Der Biest, F.; Tourin, A.; Fink, M.; Liu, Z.; Chan, C.; Sheng, P. Phononic crystals. Phys. Status Solidi B 2004, 241, 3454–3462. [Google Scholar] [CrossRef]
- Sukhovich, A.; Jing, L.; Page, J.H. Negative refraction and focusing of ultrasound in two-dimensional phononic crystals. Phys. Rev. B 2008, 77, 014301. [Google Scholar] [CrossRef]
- Joannopoulos, J.D.; Johnson, S.G.; Winn, J.N.; Meade, R.D. Photonic Crystals: Molding the Flow of Light; Princeton University Press: Princeton, NJ, USA, 2011. [Google Scholar]
- Kafesaki, M.; Sigalas, M.M.; García, N. Frequency Modulation in the Transmittivity of Wave Guides in Elastic-Wave Band-Gap Materials. Phys. Rev. Lett. 2000, 85, 4044–4047. [Google Scholar] [CrossRef] [PubMed]
- Khelif, A.; Choujaa, A.; Djafari-Rouhani, B.; Wilm, M.; Ballandras, S.; Laude, V. Trapping and guiding of acoustic waves by defect modes in a full-band-gap ultrasonic crystal. Phys. Rev. B 2003, 68, 214301. [Google Scholar] [CrossRef]
- Miyashita, T. Sonic crystals and sonic wave-guides. Meas. Sci. Technol. 2005, 16, R47. [Google Scholar] [CrossRef]
- Chutinan, A.; Noda, S. Highly confined waveguides and waveguide bends in three-dimensional photonic crystal. Appl. Phys. Lett. 1999, 75, 3739–3741. [Google Scholar] [CrossRef]
- Painter, O.; Lee, R.K.; Scherer, A.; Yariv, A.; O’Brien, J.D.; Dapkus, P.D.; Kim, I. Two-Dimensional Photonic Band-Gap Defect Mode Laser. Science 1999, 284, 1819–1821. [Google Scholar] [CrossRef] [PubMed]
- Kaina, N.; Lemoult, F.; Fink, M.; Lerosey, G. Ultra small mode volume defect cavities in spatially ordered and disordered metamaterials. Appl. Phys. Lett. 2013, 102, 144104. [Google Scholar] [CrossRef]
- Purcell, E.M. Spontaneous emission probabilities at radio frequencies. Phys. Rev. 1946, 69, 674. [Google Scholar]
- Martin-Cano, D.; Nesterov, M.L.; Fernandez-Dominguez, A.I.; Garcia-Vidal, F.J.; Martin-Moreno, L.; Moreno, E. Plasmons for subwavelength terahertz circuitry. Opt. Express 2010, 18, 754–764. [Google Scholar] [CrossRef] [PubMed]
- Kafesaki, M.; Penciu, R.S.; Economou, E.N. Air Bubbles in Water: A Strongly Multiple Scattering Medium for Acoustic Waves. Phys. Rev. Lett. 2000, 84, 6050–6053. [Google Scholar] [CrossRef] [PubMed]
- Sainidou, R.; Stefanou, N.; Modinos, A. Linear chain of weakly coupled defects in a three-dimensional phononic crystal: A model acoustic waveguide. Phys. Rev. B 2006, 74, 172302. [Google Scholar] [CrossRef]
- Kaina, N.; Causier, A.; Fink, M.; Berthelot, T.; Lerosey, G. Slow Waves in Locally Resonant Metamaterials Line Defect Waveguides. Available online: http://arxiv.org/abs/1604.08117 (accessed on 27 April 2016).
- Kaina, N.; Lemoult, F.; Fink, M.; Lerosey, G. Negative refractive index and acoustic superlens from multiple scattering in single negative metamaterials. Nature 2015, 525, 77–81. [Google Scholar] [CrossRef] [PubMed]
- de Vries, P.; van Coevorden, D.V.; Lagendijk, A. Point scatterers for classical waves. Rev. Mod. Phys. 1998, 70, 447–466. [Google Scholar] [CrossRef]
- Fleischhauer, M.; Imamoglu, A.; Marangos, J.P. Electromagnetically induced transparency: Optics in coherent media. Rev. Mod. Phys. 2005, 77, 633–673. [Google Scholar] [CrossRef]
- Papasimakis, N.; Fedotov, V.A.; Zheludev, N.I.; Prosvirnin, S.L. Metamaterial Analog of Electromagnetically Induced Transparency. Phys. Rev. Lett. 2008, 101, 253903. [Google Scholar] [CrossRef] [PubMed]
- Li, J.; Chan, C.T. Double-negative acoustic metamaterial. Phys. Rev. E 2004, 70, 055602. [Google Scholar] [CrossRef] [PubMed]











© 2016 by the authors; licensee MDPI, Basel, Switzerland. This article is an open access article distributed under the terms and conditions of the Creative Commons Attribution (CC-BY) license (http://creativecommons.org/licenses/by/4.0/).
Share and Cite
Lemoult, F.; Kaina, N.; Fink, M.; Lerosey, G. Soda Cans Metamaterial: A Subwavelength-Scaled Phononic Crystal. Crystals 2016, 6, 82. https://doi.org/10.3390/cryst6070082
Lemoult F, Kaina N, Fink M, Lerosey G. Soda Cans Metamaterial: A Subwavelength-Scaled Phononic Crystal. Crystals. 2016; 6(7):82. https://doi.org/10.3390/cryst6070082
Chicago/Turabian StyleLemoult, Fabrice, Nadège Kaina, Mathias Fink, and Geoffroy Lerosey. 2016. "Soda Cans Metamaterial: A Subwavelength-Scaled Phononic Crystal" Crystals 6, no. 7: 82. https://doi.org/10.3390/cryst6070082
APA StyleLemoult, F., Kaina, N., Fink, M., & Lerosey, G. (2016). Soda Cans Metamaterial: A Subwavelength-Scaled Phononic Crystal. Crystals, 6(7), 82. https://doi.org/10.3390/cryst6070082
