Synthesis, Crystal Structure, DFT Study and Antifungal Activity of 4-(5-((4-Bromobenzyl) thio)-4-Phenyl-4H-1,2,4-Triazol-3-yl)pyridine
Abstract
:1. Introduction
2. Results and Discussion
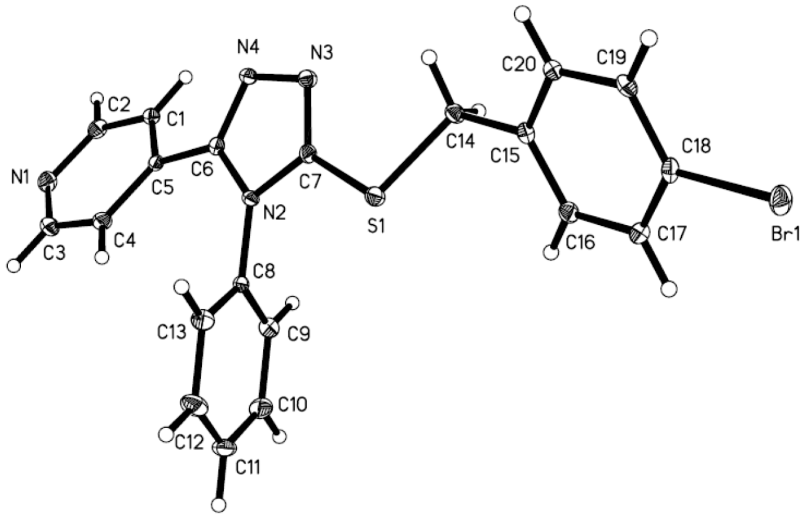
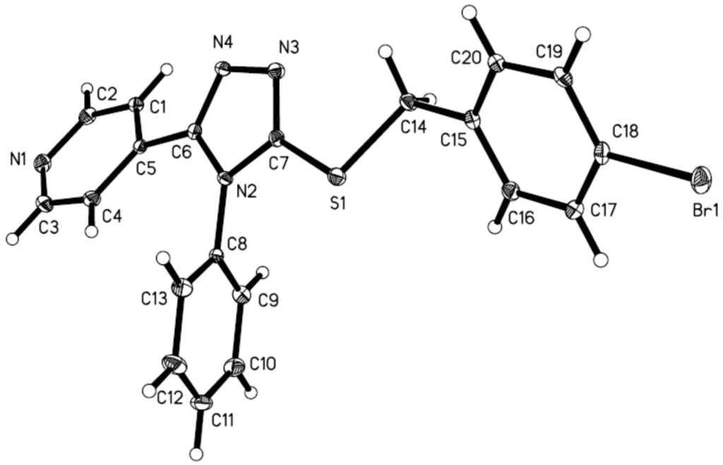
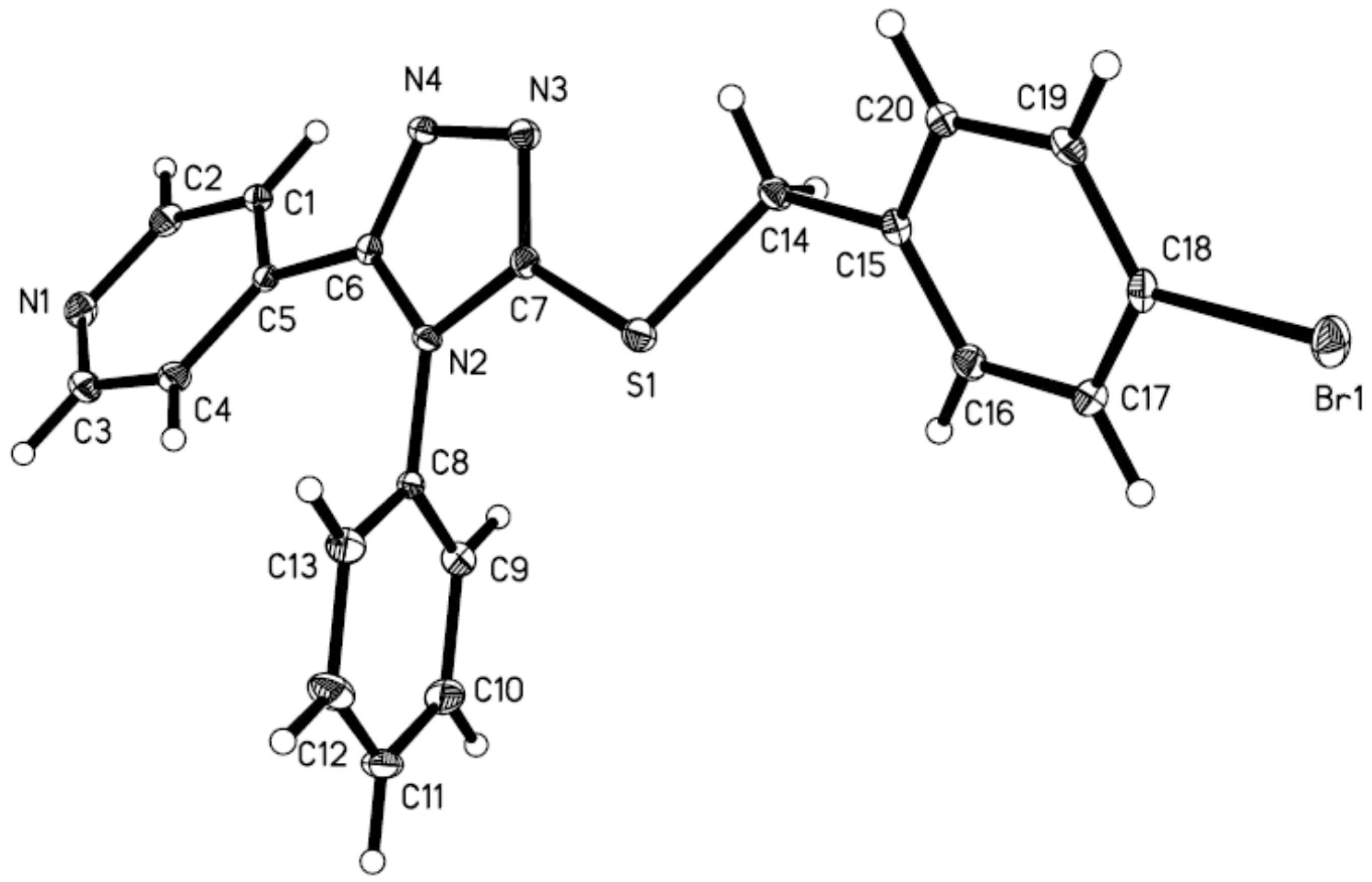
2.1. Crystal Structure

| Bond | X-Ray | DFT | Angle | X-Ray | DFT |
|---|---|---|---|---|---|
| Br1–C18 | 1.9010(19) | 1.946 | C7–S1–C14 | 98.36(8) | 97.256 |
| S1–C7 | 1.739(2) | 1.808 | C3–N1–C2 | 115.73(17) | 117.152 |
| S1–C14 | 1.8273(18) | 1.938 | C7–N2–C6 | 104.50(14) | 104.663 |
| N1–C3 | 1.329(2) | 1.350 | C7–N2–C8 | 125.40(15) | 125.446 |
| N1–C2 | 1.343(2) | 1.355 | C6–N2–C8 | 129.53(16) | 129.696 |
| N2–C7 | 1.369(2) | 1.388 | C7–N3–N4 | 106.70(14) | 107.011 |
| N2–C6 | 1.375(2) | 1.404 | C6–N4–N3 | 107.78(14) | 108.056 |
| N2–C8 | 1.445(2) | 1.440 | C2–C1–C5 | 119.39(17) | 119.274 |
| N3–C7 | 1.315(2) | 1.327 | N3–C7–S1 | 126.94(14) | 125.812 |
| N3–N4 | 1.391(2) | 1.408 | N2–C7–S1 | 122.17(13) | 123.328 |
| N4–C6 | 1.311(2) | 1.333 | N1–C2–C1 | 124.02(18) | 123.374 |
| C1–C2 | 1.379(2) | 1.393 | N1–C3–C4 | 124.92(18) | 123.604 |
| C1–C5 | 1.391(2) | 1.410 | N4–C6–N2 | 110.13(15) | 109.415 |
| C5–C6 | 1.473(2) | 1.464 | C3–C4–C5 | 118.49(18) | 119.022 |
| C8–C9 | 1.370(3) | 1.401 | N2–C6–C5 | 127.01(16) | 127.815 |
| C15–C20 | 1.383(2) | 1.406 | S1–C14–C15 | 108.42(12) | 108.905 |

2.2. Frontier Orbital Energy Analysis and Molecular Total Energies
| Energy | DFT |
|---|---|
| Etotal/Hartree b | −3959.60345337 |
| EHOMO/Hartree | −0.23217 |
| ELUMO/Hartree | −0.05718 |
| ΔE a/Hartree | 0.17499 |

2.3. Mulliken Atomic Charges and Electrostatic Potential (ESP)
| Atom | DFT | Atom | DFT |
|---|---|---|---|
| Br | 0.153554 | C8 | 0.193822 |
| S | 0.414796 | C9 | 0.087561 |
| N1 | −0.34484 | C10 | 0.001415 |
| N2 | −0.74971 | C11 | 0.045526 |
| N3 | −0.2961 | C12 | 0.002975 |
| N4 | −0.29831 | C13 | 0.081998 |
| C1 | 0.039917 | C14 | −0.13113 |
| C2 | 0.137539 | C15 | 0.095849 |
| C3 | 0.130136 | C16 | 0.016004 |
| C4 | 0.018614 | C17 | 0.067704 |
| C5 | 0.144262 | C18 | −0.31752 |
| C6 | 0.331575 | C19 | 0.068198 |
| C7 | 0.112535 | C20 | −0.00637 |

2.4. Evaluation of the Bioactivity
3. Experimental Section
3.1. Instruments
3.2. General Procedure

3.3. Structure Determination
| CCDC No. | 1438378 |
| Empirical Formula | C20H15BrN4S |
| Formula weight | 423.33 |
| T/K | 113(2) |
| λ/nm | 0.071073 |
| Crystal system, space group | Triclinic, P-1 |
| Unit cell dimensions | a = 7.717(3) Å, α = 80.347(13)° b = 9.210(3) Å, β = 77.471(13)° c = 13.370(5) Å, γ = 89.899(16)° |
| V/nm3 | 913.9(6) Å3 |
| Z | 2 |
| Calculated density/(g·cm−3) | 1.538 |
| Absorption coefficient/mm−1 | 2.374 |
| Reflections collected/unique | 9617/4313 (R(int) = 0.0306) |
| Refinement method | Full-matrix least-squares on F2 |
| Data/restraints/parameters | 4313/0/235 |
| Goodness-of-fit on F2 | 1.059 |
| Final R indices (I > 2 σ(I)) | R1 = 0.0263, wR2 = 0.0567 |
| Largest diff. peak and hole | 0.713 and −0.281 e/Å3 |
3.4. Therotical Calculations
3.5. Antifungal Activity
4. Conclusions
Acknowledgments
Author Contributions
Conflicts of Interest
References
- Mumtaz, A.; Saeed, A.; Malik, I. Synthesis, Characterization and Antimicrobial Activities of Mercaptoxadiazoles, Mercaptotriazoles and their Derivatives. J. Chem. Soc. Pak. 2014, 36, 852–857. [Google Scholar]
- Liu, X.H.; Zhai, Z.W.; Xu, X.Y.; Yang, M.Y.; Sun, Z.H.; Weng, J.Q.; Tan, C.X.; Chen, J. Facile and efficient synthesis and herbicidal activity determination of novel 1,2,4-triazolo[4,3-a]pyridin-3(2H)-one derivatives via microwave irradiation. Bioorg. Med. Chem. Lett. 2015, 25, 5524–5528. [Google Scholar] [CrossRef] [PubMed]
- Tan, C.X.; Weng, J.Q.; Liu, Z.X.; Liu, X.H.; Zhao, W.G. Synthesis, crystal structure and fungicidal activity of a novel 1,2,3-thiadiazole compound. Phosphorus Sulfur Silicon Relat. Elem. 2012, 187, 990–996. [Google Scholar] [CrossRef]
- Liu, X.H.; Weng, J.Q.; Wang, B.L.; Li, Y.H.; Tan, C.X.; Li, Z.M. Microwave-assisted synthesis of novel fluorinated 1,2,4-triazole derivatives, and study of their biological activity. Res. Chem. Intermed. 2014, 40, 2605–2612. [Google Scholar] [CrossRef]
- Liu, X.H.; Xu, X.Y.; Tan, C.X.; Weng, J.Q.; Xin, J.H.; Chen, J. Synthesis, crystal structure, herbicidal activities and 3D-QSAR study of some novel 1,2,4-triazolo[4,3-a]pyridine derivatives. Pest Manag. Sci. 2015, 71, 292–301. [Google Scholar] [CrossRef] [PubMed]
- Liu, X.H.; Tan, C.X.; Weng, J.Q. Synthesis, dimeric crystal, and fungicidal activity of 1-(4-methylphenyl)-2-(5-((3,5-dimethyl-1H-pyrazol-1-yl)methyl)-4-phenyl-4H-1,2,4-triazol-3-ylthio)ethanone. Phosphorus Sulfur Silicon Relat. Elem. 2011, 186, 558–564. [Google Scholar] [CrossRef]
- Liu, X.H.; Sun, Z.H.; Yang, M.Y.; Tan, C.X.; Weng, J.Q.; Zhang, Y.G.; Ma, Y. Microwave assistant one pot synthesis, crystal structure, antifungal activities and 3D-QSAR of novel 1,2,4-triazolo[4,3-a]pyridines. Chem. Biol. Drug Des. 2014, 84, 342–347. [Google Scholar] [CrossRef] [PubMed]
- Yang, M.Y.; Zhai, Z.W.; Sun, Z.H.; Yu, S.J.; Liu, X.H.; Weng, J.Q.; Tan, C.X.; Zhao, W.G. A facile one-pot synthesis of novel 1,2,4-triazolo[4,3-a]pyridine derivatives containing the trifluoromethyl moiety using microwave irradiation. J. Chem. Res. 2015, 39, 521–523. [Google Scholar] [CrossRef]
- Sun, N.-B.; Fu, J.-Q.; Weng, J.-Q.; Jin, J.-Z.; Tan, C.-X.; Liu, X.-H. Microwave assisted synthesis, antifungal activity and DFT theoretical study of some novel 1,2,4-triazole derivatives containing the 1,2,3-thiadiazole moiety. Molecules 2013, 18, 12725–12739. [Google Scholar] [CrossRef] [PubMed]
- Bielenica, A.; Kedzierska, E.; Fidecka, S.; Maluszynska, H.; Miroslaw, B.; Koziol, A.E.; Stefanska, J.; Madeddu, S.; Giliberti, G.; Sanna, G. Synthesis, Antimicrobial and Pharmacological Evaluation of Thiourea-derivatives of 4H-1,2,4-triazole. Lett. Drug Des. Discov. 2015, 12, 263–276. [Google Scholar] [CrossRef]
- Blayo, A.L.; Maingot, M.; Aicher, B.; M’Kadmi, C.; Schmidt, P.; Muller, G.; Teifel, M.; Gunther, E.; Gagne, D.; Denoyelle, S. New trisubstituted 1,2,4-triazoles as ghrelin receptor antagonists. Bioorg. Med. Chem. Lett. 2015, 25, 20–24. [Google Scholar] [CrossRef] [PubMed]
- Popiolek, L.; Kosikowska, U.; Wujec, M.; Malm, A. Synthesis and Antimicrobial Evaluation of New Schiff Base Hydrazones Bearing 1,2,4-Triazole Moiety. Phosphorus Sulfur Silicon Relat. Elem. 2014, 189, 1611–1623. [Google Scholar] [CrossRef]
- Kamel, M.M.; Abdo, N.Y.M. Synthesis of novel 1,2,4-triazoles, triazolothiadiazines and triazolothiadiazoles as potential anticancer agents. Eur. J. Med. Chem. 2014, 86, 75–80. [Google Scholar] [CrossRef] [PubMed]
- Plech, T.; Kapron, B.; Luszczki, J.J.; Paneth, A.; Siwek, A.; Kolaczkowski, M.; Zolnierek, M.; Nowak, G. Studies on the anticonvulsant activity of 4-alkyl-1,2,4-triazole-3-thiones and their effect on GABAergic system. Eur. J. Med. Chem. 2014, 86, 690–699. [Google Scholar] [CrossRef] [PubMed]
- Krishna, K.M.; Inturi, B.; Pujar, G.V.; Purohit, M.N.; Vijaykumar, G.S. Design, synthesis and 3D-QSAR studies of new diphenylamine containing 1,2,4-triazoles as potential antitubercular agents. Eur. J. Med. Chem. 2014, 86, 516–529. [Google Scholar] [CrossRef] [PubMed]
- Liu, X.H.; Tan, C.X.; Weng, J.Q. Phase transfer-catalyzed, one-pot synthesis of some novel N-pyrimidinyl-N′-picotinyl thiourea derivatives. Phosphorus Sulfur Silicon Relat. Elem. 2011, 186, 552–557. [Google Scholar] [CrossRef]
- Liu, X.H.; Pan, L.; Ma, Y.; Weng, J.Q.; Tan, C.X.; Li, Y.H.; Shi, Y.X.; Li, B.J.; Li, Z.M.; Zhang, Y.G. Design, synthesis, biological activities, and 3D-QSAR of new N,N′-diacylhydrazines containing 2-(2,4-dichlorophenoxy)propane moiety. Chem. Biol. Drug Des. 2011, 78, 689–694. [Google Scholar] [CrossRef] [PubMed]
- Nikkhoo, A.R.; Miri, R.; Arianpour, N.; Firuzi, O.; Ebadi, A.; Salarian, A.A. Cytotoxic activity assessment and c-Src tyrosine kinase docking simulation of thieno[2,3-b]pyridine-based derivatives. Med. Chem. Res. 2014, 23, 1225–1233. [Google Scholar] [CrossRef]
- Judge, V.; Narasimhan, B.; Ahuja, M.; Sriram, D.; Yogeeswari, P. Isonicotinic acid hydrazide derivatives: Synthesis, antimycobacterial, antiviral, antimicrobial activity and QSAR studies. Lett. Drug Des. Discov. 2011, 8, 792–810. [Google Scholar] [CrossRef]
- El-Emary, T.I.; El-Mohsen, S.A. Multi-component one-pot synthesis and antimicrobial activities of 3-methyl-1,4-diphenyl-7-thioxo-4,6,8,9-tetrahydro-pyrazolo[5,4-b]pyrimidino[5,4-e]pyridine-5-one and related derivatives. Molecules 2012, 17, 14464–14483. [Google Scholar] [CrossRef] [PubMed]
- Kojima, A.; Takita, S.; Sumiya, T.; Ochiai, K.; Iwase, K.; Kishi, T.; Ohinata, A.; Yageta, Y.; Yasue, T.; Kohno, Y. Phosphodiesterase inhibitors. Part 6: Design, synthesis, and structure-activity relationships of PDE4-inhibitory pyrazolo[1,5-a]pyridines with anti-inflammatory activity. Bioorg. Med. Chem. Lett. 2013, 23, 5311–5316. [Google Scholar] [CrossRef] [PubMed]
- Yan, S.L.; Yang, M.Y.; Sun, Z.H.; Min, L.J.; Tan, C.X.; Weng, J.Q.; Wu, H.K.; Liu, X.H. Synthesis and antifungal activity of 1,2,3-thiadiazole derivatives containing 1,3,4-thiadiazole moiety. Lett. Drug Des. Discov. 2014, 11, 940–943. [Google Scholar] [CrossRef]
- Zhang, L.J.; Yang, M.Y.; Hu, B.Z.; Sun, Z.H.; Liu, X.H.; Weng, J.Q.; Tan, C.X. Microwave-assisted synthesis of novel 8-chloro-[1,2,4]triazolo[4,3-a]pyridine derivatives. Turk. J. Chem. 2015, 39, 867–873. [Google Scholar] [CrossRef]
- Zhang, L.J.; Yang, M.Y.; Sun, Z.H.; Tan, C.X.; Weng, J.Q.; Wu, H.K.; Liu, X.H. Synthesis and antifungal activity of 1,3,4-thiadiazole derivatives containing pyridine group. Lett. Drug Des. Discov. 2014, 11, 1107–1111. [Google Scholar] [CrossRef]
- Sun, Z.H.; Zhai, Z.W.; Yang, M.Y.; Liu, X.H.; Tan, C.X.; Weng, J.Q. Microwave assistant synthesis and dimeric crystal structure of 2-(((6-chloropyridin-3-yl)methyl)thio)-5-(pyridin-4-yl)-1,3,4-thiadiazole. Chin. J. Struct. Chem. 2014, 33, 1779–1783. [Google Scholar]
- Zhai, Z.W.; Yang, M.Y.; Sun, Z.H.; Liu, X.H.; Weng, J.Q.; Tan, C.X. Facile and efficient synthesis of novel 1,2,3-thiadiazole derivatives using microwave irradiation. J. Chem. Res. 2015, 39, 340–342. [Google Scholar] [CrossRef]
- Liu, X.F. Reactions of a diacetylenic tetracobalt carbonyl complex with monophosphine triphenylphosphine or diphosphines. Polyhedron 2014, 72, 66–71. [Google Scholar] [CrossRef]
- Weng, J.Q.; Wang, L.; Liu, X.H. Synthesis, Crystal Structure and Herbicidal Activity of a 1,2,4-triazol-5(4H)-one Derivative. J. Chem. Soc. Pak. 2012, 34, 1248–1252. [Google Scholar]
- Ke, W.; Sun, N.-B.; Wu, H.-K. Microwave assistant synthesis, crystal structure and biological activity of a 1,2,4-triazole compound. J. Chem. Soc. Pak. 2013, 35, 1239–1244. [Google Scholar]
- Sun, G.-X.; Yang, M.-Y.; Shi, Y.-X.; Sun, Z.-H.; Liu, X.-H.; Wu, H.-K.; Li, B.-J.; Zhang, Y.-G. Microwave assistant synthesis, antifungal activity and DFT theoretical study of some novel 1,2,4-triazole derivatives containing pyridine moiety. Int. J. Mol. Sci. 2014, 15, 8075–8090. [Google Scholar] [CrossRef] [PubMed]
- Sun, G.X.; Shi, Y.X.; Sun, Z.H.; Yang, M.Y.; Wu, H.K.; Weng, J.Q.; Tan, C.X.; Liu, X.H.; Li, B.J.; Zhang, Y.G. Synthesis and Bioactivities of Novel 1,3,4-oxadiazole Derivatives Containing Pyridine Moiety. Lett. Drug Des. Discov. 2014, 11, 1119–1123. [Google Scholar] [CrossRef]
- Sheldrick, G.M. SHELXS-97, Program for X-ray Crystal Structure Solution; University of Göttingen: Göttingen, Germany, 1997. [Google Scholar]
- Frisch, M.-J.; Trucks, G.-W.; Schlegel, H.-B.; Scuseria, G.-E.; Robb, M.-A.; Cheeseman, J.-R.; Montgomery, J.-A., Jr.; Vreven, T.; Kudin, K.-N.; Burant, J.-C.; et al. Gaussian 03, Revision C. 01; Gaussian, Inc.: Wallingford, CT, USA, 2004. [Google Scholar]
- Yang, M.Y.; Zhao, W.; Liu, X.H.; Tan, C.X.; Weng, J.Q. Synthesis, crystal structure and antifungal activity of 4-(5-((2,4-dichlorobenzyl)thio)-4-phenyl-4H-1,2,4-triazol-3-yl)pyridine. Chin. J. Struct. Chem. 2015, 34, 203–207. [Google Scholar]
- Min, L.-J.; Shi, Y.-X.; Wu, H.-K.; Sun, Z.-H.; Liu, X.-H.; Li, B.-J.; Zhang, Y.-G. Microwave-Assisted Synthesis and Antifungal Activity of Some Novel Thioethers Containing 1,2,4-Triazole Moiety. Appl. Sci. 2015, 5, 1211–1220. [Google Scholar] [CrossRef]
© 2015 by the authors; licensee MDPI, Basel, Switzerland. This article is an open access article distributed under the terms and conditions of the Creative Commons by Attribution (CC-BY) license (http://creativecommons.org/licenses/by/4.0/).
Share and Cite
Mu, J.-X.; Zhai, Z.-W.; Yang, M.-Y.; Sun, Z.-H.; Wu, H.-K.; Liu, X.-H. Synthesis, Crystal Structure, DFT Study and Antifungal Activity of 4-(5-((4-Bromobenzyl) thio)-4-Phenyl-4H-1,2,4-Triazol-3-yl)pyridine. Crystals 2016, 6, 4. https://doi.org/10.3390/cryst6010004
Mu J-X, Zhai Z-W, Yang M-Y, Sun Z-H, Wu H-K, Liu X-H. Synthesis, Crystal Structure, DFT Study and Antifungal Activity of 4-(5-((4-Bromobenzyl) thio)-4-Phenyl-4H-1,2,4-Triazol-3-yl)pyridine. Crystals. 2016; 6(1):4. https://doi.org/10.3390/cryst6010004
Chicago/Turabian StyleMu, Jin-Xia, Zhi-Wen Zhai, Ming-Yan Yang, Zhao-Hui Sun, Hong-Ke Wu, and Xing-Hai Liu. 2016. "Synthesis, Crystal Structure, DFT Study and Antifungal Activity of 4-(5-((4-Bromobenzyl) thio)-4-Phenyl-4H-1,2,4-Triazol-3-yl)pyridine" Crystals 6, no. 1: 4. https://doi.org/10.3390/cryst6010004
APA StyleMu, J.-X., Zhai, Z.-W., Yang, M.-Y., Sun, Z.-H., Wu, H.-K., & Liu, X.-H. (2016). Synthesis, Crystal Structure, DFT Study and Antifungal Activity of 4-(5-((4-Bromobenzyl) thio)-4-Phenyl-4H-1,2,4-Triazol-3-yl)pyridine. Crystals, 6(1), 4. https://doi.org/10.3390/cryst6010004
