Sustainable Routes to a Soluble Anthelmintic Thiabendazole Organic Salt
Abstract
1. Introduction
2. Materials and Methods
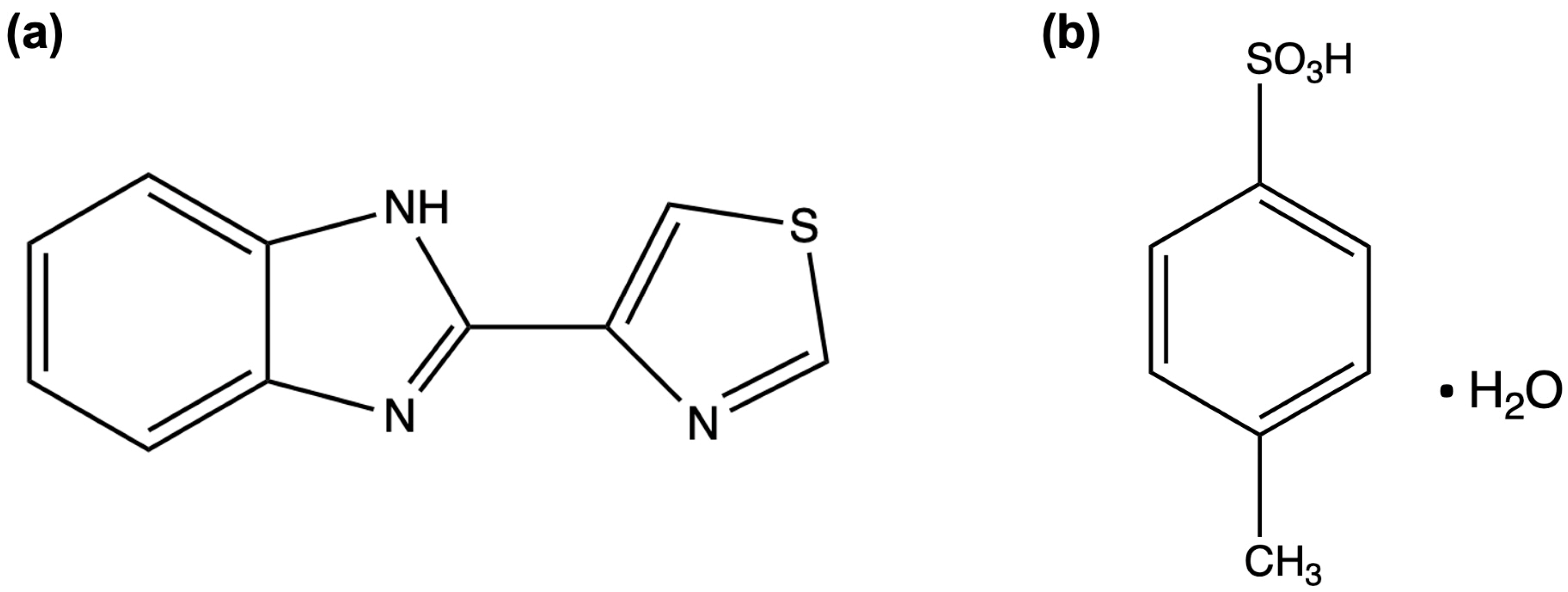
2.1. Materials
2.2. Methods
2.2.1. Mechanochemical Routes for Preparing TBZ Multicomponent Crystal
2.2.2. Characterization
Powder X-Ray Diffraction (PXRD)
Differential Scanning Calorimetry (DSC) Analysis
Thermogravimetric Analysis (TGA)
Hot-Stage Microscopy (HSM)
Fourier-Transform Infrared Spectroscopy (FT-IR)-Attenuated Total Reflectance (ATR) Analysis
Scanning Electron Microscopy (SEM) Analysis
Physical Stability Tests Under Various Temperature Conditions
Solubility Studies
Intrinsic Dissolution Rate (IDR) Tests
In Vivo Activity
3. Results and Discussion
4. Conclusions
Supplementary Materials
Author Contributions
Funding
Data Availability Statement
Conflicts of Interest
Abbreviations
References
- Transforming Our World: The 2030 Agenda for Sustainable Development. Department of Economic and Social Affairs. Available online: https://sdgs.un.org/2030agenda (accessed on 22 November 2025).
- Muthoni, L.K. Sustainable Practices in Pharmaceutical Manufacturing. NewPort Int. J. Pub Health Pharm. 2025, 6, 42–49. [Google Scholar] [CrossRef]
- Dunn, P.J.; Wells, A.S.; Williams, M.T. (Eds.) Green Chemistry in the Pharmaceutical Industry; Wiley: Hoboken, NJ, USA, 2010; ISBN 9783527324187. [Google Scholar]
- Ferreira da Silva, J.L.; Minas da Piedade, M.F.; André, V.; Domingos, S.; Martins, I.C.B.; Duarte, M.T. The Lisbon Supramolecular Green Story: Mechanochemistry towards New Forms of Pharmaceuticals. Molecules 2020, 25, 2705. [Google Scholar] [CrossRef]
- Martínez, L.M.; Cruz-Angeles, J.; Vázquez-Dávila, M.; Martínez, E.; Cabada, P.; Navarrete-Bernal, C.; Cortez, F. Mechanical Activation by Ball Milling as a Strategy to Prepare Highly Soluble Pharmaceutical Formulations in the Form of Co-Amorphous, Co-Crystals, or Polymorphs. Pharmaceutics 2022, 14, 2003. [Google Scholar] [CrossRef]
- Ying, P.; Yu, J.; Su, W. Liquid-Assisted Grinding Mechanochemistry in the Synthesis of Pharmaceuticals. Adv. Synth. Catal. 2021, 363, 1246–1271. [Google Scholar] [CrossRef]
- Speight, I.R.; Ardila-Fierro, K.J.; Hernández, J.G.; Emmerling, F.; Michalchuk, A.A.L.; García, F.; Colacino, E.; Mack, J. Ball Milling for Mechanochemical Reactions. Nat. Rev. Met. Prim. 2025, 5, 29. [Google Scholar] [CrossRef]
- Arfelis, S.; Martín-Perales, A.I.; Nguyen, R.; Pérez, A.; Cherubin, I.; Len, C.; Malpartida, I.; Bala, A.; Fullana-i-Palmer, P. Linking Mechanochemistry with the Green Chemistry Principles: Review Article. Heliyon 2024, 10, e34655. [Google Scholar] [CrossRef]
- Fantozzi, N.; Volle, J.-N.; Porcheddu, A.; Virieux, D.; García, F.; Colacino, E. Green Metrics in Mechanochemistry. Chem. Soc. Rev. 2023, 52, 6680–6714. [Google Scholar] [CrossRef]
- Montgomery, M.D. Thiabendazole. In xPharm: The Comprehensive Pharmacology Reference; Elsevier: Amsterdam, The Netherlands, 2009; pp. 1–5. [Google Scholar]
- History-Merck.Com. Available online: https://www.merck.com/company-overview/history (accessed on 22 November 2025).
- Lombardi, B. Optimization of Parameters and Adsorption Mechanism of Thiabendazole Fungicide by a Montmorillonite of North Patagonia, Argentina. Appl. Clay Sci. 2003, 24, 43–50. [Google Scholar] [CrossRef]
- Cavalcanti, G.R.S.; Fonseca, M.G.; da Silva Filho, E.C.; Jaber, M. Thiabendazole/Bentonites Hybrids as Controlled Release Systems. Colloids Surf. B Biointerfaces 2019, 176, 249–255. [Google Scholar] [CrossRef]
- Motwadie, M.E.; Hashem, M.M.; Abo-EL-Sooud, K.; Abd-Elhakim, Y.M.; El-Metwally, A.E.; Ali, H.A. Modulation of Immune Functions, Inflammatory Response, and Cytokine Production Following Long-Term Oral Exposure to Three Food Additives; Thiabendazole, Monosodium Glutamate, and Brilliant Blue in Rats. Int. Immunopharmacol. 2021, 98, 107902. [Google Scholar] [CrossRef]
- Li, H.; Luo, X.; Haruna, S.A.; Zhou, W.; Chen, Q. Rapid Detection of Thiabendazole in Food Using SERS Coupled with Flower-like AgNPs and PSL-Based Variable Selection Algorithms. J. Food Compos. Anal. 2023, 115, 105016. [Google Scholar] [CrossRef]
- Estevez, M.-C.; Belenguer, J.; Gomez-Montes, S.; Miralles, J.; Escuela, A.M.; Montoya, A.; Lechuga, L.M. Indirect Competitive Immunoassay for the Detection of Fungicide Thiabendazole in Whole Orange Samples by Surface Plasmon Resonance. Analyst 2012, 137, 5659. [Google Scholar] [CrossRef]
- Arenas, R.V.; Rahman, H.; Johnson, N.A. Determination of Thiabendazole Residues in Whole Citrus Fruits by Liquid Chromatography with Fluorescence Detection. J. AOAC Int. 1996, 79, 579–582. [Google Scholar] [CrossRef]
- Müller, C.; David, L.; Chiş, V.; Pînzaru, S.C. Detection of Thiabendazole Applied on Citrus Fruits and Bananas Using Surface Enhanced Raman Scattering. Food Chem. 2014, 145, 814–820. [Google Scholar] [CrossRef]
- Budetić, M.; Kopf, D.; Dandić, A.; Samardžić, M. Review of Characteristics and Analytical Methods for Determination of Thiabendazole. Molecules 2023, 28, 3926. [Google Scholar] [CrossRef]
- Aeindartehran, L.; Lefton, J.B.; Burleson, J.; Unruh, D.K.; Runčevski, T. Soluble Thiabendazolium Salts with Anthelminthic Properties. Int. J. Pharm. 2023, 647, 123516. [Google Scholar] [CrossRef]
- Gao, S.; Liu, Y.; Jiang, J.; Li, X.; Zhao, L.; Fu, Y.; Ye, F. Encapsulation of Thiabendazole in Hydroxypropyl-β-cyclodextrin Nanofibers via Polymer-free Electrospinning and Its Characterization. Pest Manag. Sci. 2020, 76, 3264–3272. [Google Scholar] [CrossRef]
- Cruz-Cabeza, A.J. Acid–Base Crystalline Complexes and the PKa Rule. CrystEngComm 2012, 14, 6362. [Google Scholar] [CrossRef]
- Cruz-Cabeza, A.J.; Lusi, M.; Wheatcroft, H.P.; Bond, A.D. The Role of Solvation in Proton Transfer Reactions: Implications for Predicting Salt/Co-Crystal Formation Using the ΔpKa Rule. Faraday Discuss. 2022, 235, 446–466. [Google Scholar] [CrossRef]
- Quintano, M.; Moura, R.T.; Kraka, E. The PKa Rule in Light of Local Mode Force Constants. Chem. Phys. Lett. 2023, 826, 140654. [Google Scholar] [CrossRef]
- Childs, S.L.; Stahly, G.P.; Park, A. The Salt−Cocrystal Continuum: The Influence of Crystal Structure on Ionization State. Mol. Pharm. 2007, 4, 323–338. [Google Scholar] [CrossRef]
- Peluzo, B.M.T.C.; Bodo, F.; Aeindartehran, L.; Runčevski, T.; Kraka, E. Thiabendazole: Fumaric acid as a case study on the salt cocrystal continuum: A local vibrational mode perspective. Chem. Phys. Lett. 2025, 860, 141772. [Google Scholar] [CrossRef]
- Konce, İ.; Akkoc, S.; Üstun, Z.; Demilaray, E.Ç. Liquid Chromatographic Determination of PKa Value of 1-(2-Methylbenzonitrile)-3-Benzylbenzimidazolium Bromide as a Drug Candidate in Acetonitrile-Water Binary Mixtures. J. Res. Pharm. 2022, 26, 655–662. [Google Scholar] [CrossRef]
- Guthrie, J.P. Hydrolysis of Esters of Oxy Acids: PKa Values for Strong Acids; Brønsted Relationship for Attack of Water at Methyl; Free Energies of Hydrolysis of Esters of Oxy Acids; and a Linear Relationship between Free Energy of Hydrolysis and PKa Holding over a Range of 20 PK Units. Can. J. Chem. 1978, 56, 2342–2354. [Google Scholar] [CrossRef]
- Gaisford, S. Salt Selection. In Remington; Elsevier: Amsterdam, The Netherlands, 2021; pp. 307–314. [Google Scholar]
- D’Abbrunzo, I.; Beltrame, F.; Gigli, L.; Demitri, N.; Cepek, C.; Bassato, F.; Procida, G.; Voinovich, D.; Perissutti, B. The Ideal Duo for Salt Formation: Vinpocetine and Tosylic Acid. RSC Pharm 2026. [Google Scholar] [CrossRef]
- Kobayashi, S.; Tamura, T.; Yoshimoto, S.; Kawakami, T.; Masuyama, A. 4-Methyltetrahydropyran (4-MeTHP): Application as an Organic Reaction Solvent. Chem. Asian J. 2019, 14, 3921–3937. [Google Scholar] [CrossRef]
- Nienałtowski, T.; Krzesiński, P.; Baumert, M.E.; Skoczeń, A.; Suska-Kauf, E.; Pawłowska, J.; Kajetanowicz, A.; Grela, K. 4-Methyltetrahydropyran as a Convenient Alternative Solvent for Olefin Metathesis Reaction: Model Studies and Medicinal Chemistry Applications. ACS Sustain. Chem. Eng. 2020, 8, 18215–18223. [Google Scholar] [CrossRef]
- D’Abbrunzo, I.; Bianco, E.; Gigli, L.; Demitri, N.; Birolo, R.; Chierotti, M.R.; Škoríc, I.; Keiser, J.; Häberli, C.; Voinovich, D.; et al. Praziquantel Meets Niclosamide: A Dual-Drug Antiparasitic Cocrystal. Int. J. Pharm. 2023, 644, 123315. [Google Scholar] [CrossRef]
- Zanolla, D.; Perissutti, B.; Vioglio, P.C.; Chierotti, M.R.; Gigli, L.; Demitri, N.; Passerini, N.; Albertini, B.; Franceschinis, E.; Keiser, J.; et al. Exploring Mechanochemical Parameters Using a DoE Approach: Crystal Structure Solution from Synchrotron XRPD and Characterization of a New Praziquantel Polymorph. Eur. J. Pharm. Sci. 2019, 140, 105084. [Google Scholar] [CrossRef]
- D’Abbrunzo, I.; Venier, E.; Selmin, F.; Škorić, I.; Bernardo, E.; Procida, G.; Perissutti, B. Stability of Ternary Drug–Drug–Drug Coamorphous Systems Obtained Through Mechanochemistry. Pharmaceutics 2025, 17, 92. [Google Scholar] [CrossRef]
- D’Abbrunzo, I.; Birolo, R.; Chierotti, M.R.; Bučar, D.-K.; Voinovich, D.; Perissutti, B.; Hasa, D. Enantiospecific Crystallisation Behaviour of Malic Acid in Mechanochemical Reactions with Vinpocetine. Eur. J. Pharm. Biopharm. 2024, 201, 114344. [Google Scholar] [CrossRef]
- Zanolla, D.; Perissutti, B.; Passerini, N.; Chierotti, M.R.; Hasa, D.; Voinovich, D.; Gigli, L.; Demitri, N.; Geremia, S.; Keiser, J.; et al. A New Soluble and Bioactive Polymorph of Praziquantel. Eur. J. Pharm. Biopharm. 2018, 127, 19–28. [Google Scholar] [CrossRef] [PubMed]
- D’Abbrunzo, I.; Hasa, D. More than “Just a Drop”: The Enigmatic Role of Liquid Additives in Mechanochemistry. CrystEngComm 2026. [Google Scholar] [CrossRef]
- Germann, L.S.; Katsenis, A.D.; Huskić, I.; Julien, P.A.; Uzarevic, K.; Etter, M.; Farha, O.K.; Friscic, T.; Dinnebier, R.E. Real-Time in Situ Monitoring of Particle and Structure Evolution in Mechanochemical Synthesis of UiO-66 Metal-Organic Framework. Cryst. Growth Des. 2020, 20, 49–54. [Google Scholar] [CrossRef]
- Tabanez, A.M.; Nogueira, B.A.; Milani, A.; Eusébio, M.E.S.; Paixão, J.A.; Nur Kabuk, H.; Jajuga, M.; Ildiz, G.O.; Fausto, R. Thiabendazole and Thiabendazole-Formic Acid Solvate: A Computational, Crystallographic, Spectroscopic and Thermal Study. Molecules 2020, 25, 3083. [Google Scholar] [CrossRef] [PubMed]
- Thiabendazole. Available online: https://webbook.nist.gov/cgi/cbook.cgi?ID=C148798&Mask=80#IR-Spec (accessed on 17 December 2025).
- European Pharmacopoeia 11.0. Available online: https://pheur.edqm.eu/subhome/11-8 (accessed on 22 November 2025).
- Žegarac, M.; Lekšić, E.; Šket, P.; Plavec, J.; Devčić Bogdanović, M.; Bučar, D.-K.; Dumić, M.; Meštrović, E. A Sildenafil Cocrystal Based on Acetylsalicylic Acid Exhibits an Enhanced Intrinsic Dissolution Rate. CrystEngComm 2014, 16, 32–35. [Google Scholar] [CrossRef]
- Teleki, A.; Nylander, O.; Bergström, C.A.S. Intrinsic Dissolution Rate Profiling of Poorly Water-Soluble Compounds in Biorelevant Dissolution Media. Pharmaceutics 2020, 12, 493. [Google Scholar] [CrossRef]








| Drug | Dose (mg/kg) | No. of Mice Cured/Studied | Average Worm Number (SD) | Worm Burden Reduction (%) |
|---|---|---|---|---|
| TBZ-PTOS salt * | 200 | 0/4 | 21.0 (3.0) | 64.5 |
| TBZ ** | 100 | 0/4 | 26.3 (2.2) | 62.0 |
| Control 1 | - | 0/4 | 58.8 (6.7) | - |
| Control 2 | - | 0/4 | 69.3 (3.7) | - |
Disclaimer/Publisher’s Note: The statements, opinions and data contained in all publications are solely those of the individual author(s) and contributor(s) and not of MDPI and/or the editor(s). MDPI and/or the editor(s) disclaim responsibility for any injury to people or property resulting from any ideas, methods, instructions or products referred to in the content. |
© 2026 by the authors. Licensee MDPI, Basel, Switzerland. This article is an open access article distributed under the terms and conditions of the Creative Commons Attribution (CC BY) license.
Share and Cite
D’Abbrunzo, I.; Zampieri, E.; Bjelošević Žiberna, M.; Bertoni, S.; Häberli, C.; Keiser, J.; Perissutti, B. Sustainable Routes to a Soluble Anthelmintic Thiabendazole Organic Salt. Crystals 2026, 16, 63. https://doi.org/10.3390/cryst16010063
D’Abbrunzo I, Zampieri E, Bjelošević Žiberna M, Bertoni S, Häberli C, Keiser J, Perissutti B. Sustainable Routes to a Soluble Anthelmintic Thiabendazole Organic Salt. Crystals. 2026; 16(1):63. https://doi.org/10.3390/cryst16010063
Chicago/Turabian StyleD’Abbrunzo, Ilenia, Elisa Zampieri, Maja Bjelošević Žiberna, Serena Bertoni, Cécile Häberli, Jennifer Keiser, and Beatrice Perissutti. 2026. "Sustainable Routes to a Soluble Anthelmintic Thiabendazole Organic Salt" Crystals 16, no. 1: 63. https://doi.org/10.3390/cryst16010063
APA StyleD’Abbrunzo, I., Zampieri, E., Bjelošević Žiberna, M., Bertoni, S., Häberli, C., Keiser, J., & Perissutti, B. (2026). Sustainable Routes to a Soluble Anthelmintic Thiabendazole Organic Salt. Crystals, 16(1), 63. https://doi.org/10.3390/cryst16010063

