Phase-Engineered Electrospun Poly(vinylidene fluoride) Nanofibers with Enhanced Piezoelectricity
Abstract
1. Introduction
2. Materials and Methods
2.1. Preparation of Electrospun PVDF Nanofiber Webs with TBAP and BTNPs
2.2. Corona Poling Process
2.3. Fabrication of Piezoelectric Sensors
2.4. Piezoelectric Output Measurement
2.5. Characterization
3. Results
3.1. Electrospun Nanofibers from PVDF Solution with TBAP
3.2. Electrospun Nanofiber Webs from PVDF Incorporating BTNPs
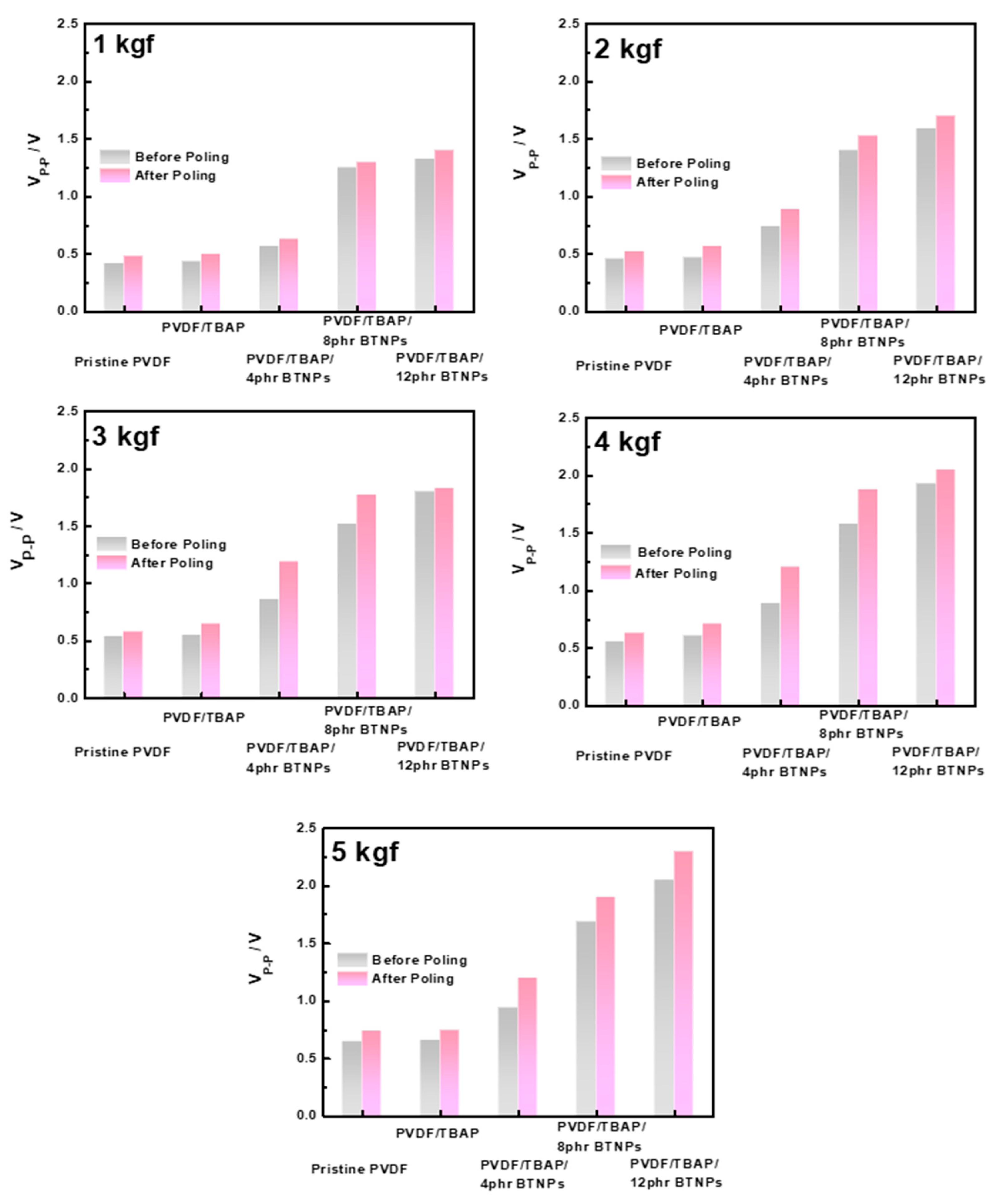
3.3. Electrospun PVDF Nanofiber Webs with Corona Poling Treatment
4. Conclusions
Author Contributions
Funding
Data Availability Statement
Acknowledgments
Conflicts of Interest
References
- Kalimuldina, G.; Turdakyn, N.; Abay, I.; Medeubayev, A.; Nurpeissova, A.; Adair, D.; Bakenov, Z. A Review of Piezoelectric PVDF Film by Electrospinning and Its Applications. Sensors 2020, 20, 5214. [Google Scholar] [CrossRef] [PubMed]
- Bai, Y.; Liu, Y.; Lv, H.; Shi, H.; Zhou, W.; Liu, Y.; Yu, D.-G. Processes of Electrospun Polyvinylidene Fluoride-Based Nanofibers, Their Piezoelectric Properties, and Several Fantastic Applications. Polymers 2022, 14, 4311. [Google Scholar] [CrossRef] [PubMed]
- Lee, S.; Ahn, Y.; Null, A.P.; Null, K.K. Piezoelectric Polymer and Piezocapacitive Nanoweb Based Sensors for Monitoring Vital Signals and Energy Expenditure in Smart Textiles. J. Fiber Bioeng. Inform. 2013, 6, 369–381. [Google Scholar] [CrossRef]
- Zhuo, H.; Hu, J.; Chen, S.; Yeung, L. Preparation of Polyurethane Nanofibers by Electrospinning. J. Appl. Polym. Sci. 2008, 109, 406–411. [Google Scholar] [CrossRef]
- Bai, X.; Li, H.; Chu, X.; Liu, M.; Li, H.; Wang, H.; Sun, X.; Yan, S. The Tuning of Crystallization Behavior of Ferroelectric Poly(vinylidene fluoride-co-trifluoroethylene). J. Polym. Sci. 2024, 62, 1742–1770. [Google Scholar] [CrossRef]
- Cozza, E.S.; Monticelli, O.; Marsano, E.; Cebe, P. On the Electrospinning of PVDF: Influence of the Experimental Conditions on the Nanofiber Properties. Polym. Int. 2013, 62, 41–48. [Google Scholar] [CrossRef]
- Mandal, D.; Yoon, S.; Kim, K.J. Origin of Piezoelectricity in an Electrospun Poly(vinylidene fluoride-trifluoroethylene) Nanofiber Web-Based Nanogenerator and Nano-Pressure Sensor. Macromol. Rapid Commun. 2011, 32, 831–837. [Google Scholar] [CrossRef]
- He, L.; Xia, G.; Sun, J.; Zhao, Q.; Song, R.; Ma, Z. Unzipped Multiwalled Carbon Nanotubes-Incorporated Poly(vinylidene fluoride) Nanocomposites with Enhanced Interface and Piezoelectric β Phase. J. Colloid Interface Sci. 2013, 393, 97–103. [Google Scholar] [CrossRef]
- Yoon, S.; Prabu, A.A.; Kim, K.J.; Park, C. Metal Salt-Induced Ferroelectric Crystalline Phase in Poly(vinylidene fluoride) Films. Macromol. Rapid Commun. 2008, 29, 1316–1321. [Google Scholar] [CrossRef]
- Lee, J.S.; Kim, K.J.; Prabu, A.A. Ferroelectric P(VDF/TrFE) Ultrathin Film for SPM-Based Data Storage Devices. Solid State Phenom. 2007, 124–126, 303–306. [Google Scholar] [CrossRef]
- Huang, Z.M.; Zhang, Y.Z.; Kotaki, M.; Ramakrishna, S. A Review on Polymer Nanofibers by Electrospinning and Their Applications in Nanocomposites. Compos. Sci. Technol. 2003, 63, 2223–2253. [Google Scholar] [CrossRef]
- Jia, H.; Zhu, G.; Vugrinovich, B.; Kataphinan, W.; Reneker, D.H.; Wang, P. Enzyme-Carrying Polymeric Nanofibers Prepared via Electrospinning for Use as Unique Biocatalysts. Biotechnol. Prog. 2002, 18, 1027–1032. [Google Scholar] [CrossRef] [PubMed]
- Ekbote, G.S.; Khalifa, M.; Mahendran, A.; Anandhan, S. Cationic Surfactant Assisted Enhancement of Dielectric and Piezoelectric Properties of PVDF Nanofibers for Energy Harvesting Application. Soft Matter 2021, 17, 2215–2222. [Google Scholar] [CrossRef] [PubMed]
- Lin, T. (Ed.) Nanofibers—Production, Properties and Functional Applications; InTech: Rijeka, Croatia, 2011. [Google Scholar] [CrossRef]
- Tashiro, K.; Kobayashi, M. FTIR Study on Molecular Orientation and Ferroelectric Phase Transition in Vacuum-Evaporated and Solution-Cast Thin Films of Vinylidene Fluoride–Trifluoroethylene Copolymers: Effects of Heat Treatment and High-Voltage Poling. Spectrochim. Acta Part A Mol. Spectrosc. 1994, 50, 1573–1588. [Google Scholar] [CrossRef]
- Bune, A.V.; Fridkin, V.M.; Ducharme, S.; Blinov, L.M.; Palto, S.P.; Sorokin, A.V.; Yudin, S.G.; Zlatkin, A. Two-Dimensional Ferroelectric Films. Nature 1998, 391, 874–877. [Google Scholar] [CrossRef]
- Xu, H. Dielectric Properties and Ferroelectric Behavior of Poly(vinylidene fluoride-trifluoroethylene) 50/50 Copolymer Ultrathin Films. J. Appl. Polym. Sci. 2001, 80, 2259–2266. [Google Scholar] [CrossRef]
- Zhang, Q.M.; Xu, H.; Fang, F.; Cheng, Z.Y.; Xia, F.; You, H. Critical Thickness of Crystallization and Discontinuous Change in Ferroelectric Behavior with Thickness in Ferroelectric Polymer Thin Films. J. Appl. Phys. 2001, 89, 2613–2616. [Google Scholar] [CrossRef]
- Xia, F.; Razavi, B.; Xu, H.; Cheng, Z.Y.; Zhang, Q.M. Dependence of Threshold Thickness of Crystallization and Film Morphology on Film Processing Conditions in Poly(vinylidene fluoride–trifluoroethylene) Copolymer Thin Films. J. Appl. Phys. 2002, 92, 3111–3115. [Google Scholar] [CrossRef]
- Reece, T.J.; Ducharme, S.; Sorokin, A.V.; Poulsen, M. Nonvolatile Memory Element Based on a Ferroelectric Polymer Langmuir–Blodgett Film. Appl. Phys. Lett. 2003, 82, 142–144. [Google Scholar] [CrossRef]
- Mandal, D.; Kim, K.J.; Lee, J.S. Simple Synthesis of Palladium Nanoparticles, β-Phase Formation, and the Control of Chain and Dipole Orientations in Palladium-Doped Poly(vinylidene fluoride) Thin Films. Langmuir 2012, 28, 10310–10317. [Google Scholar] [CrossRef]
- Constantino, C.J.L.; Job, A.E.; Chinaglia, D.L. Phase Transition in Poly(Vinylidene Fluoride) Investigated with Micro-Raman Spectroscopy. Appl. Spectrosc. 2005, 59, 275–279. [Google Scholar] [CrossRef]
- Abdulelah, H.; Sweah, Z.J.; Fouad, F.; Modhi, H. Enhancing PVDF Polymer Properties via Varied Barium Titanate Morphologies and Synthesis Techniques: Review. J. Technol. Sci. 2024, 1, 16–41. [Google Scholar] [CrossRef]
- Kubin, M.; Makreski, P.; Zanoni, M.; Gasperini, L.; Selleri, G.; Fabiani, D.; Gualandi, C.; Bužarovska, A. Effects of Nano-Sized BaTiO3 on Microstructural, Thermal, Mechanical and Piezoelectric Behavior of Electrospun PVDF/BaTiO3 Nanocomposite Mats. Polym. Test. 2023, 126, 108158. [Google Scholar] [CrossRef]
- Abdolmaleki, H.; Agarwala, S. PVDF-BaTiO3 Nanocomposite Inkjet Inks with Enhanced β-Phase Crystallinity for Printed Electronics. Polymers 2020, 12, 2430. [Google Scholar] [CrossRef] [PubMed]
- Athira, B.S.; George, A.; Vaishna Priya, K.; Hareesh, U.S.; Gowd, E.B.; Surendran, K.P.; Chandran, A. High-Performance Flexible Piezoelectric Nanogenerator Based on Electrospun PVDF-BaTiO3 Nanofibers for Self-Powered Vibration Sensing Applications. ACS Appl. Mater. Interfaces 2022, 14, 44239–44250. [Google Scholar] [CrossRef]
- Mahapatra, S.D.; Mohapatra, P.C.; Aria, A.I.; Christie, G.; Mishra, Y.K.; Hofmann, S.; Thakur, V.K. Piezoelectric Materials for Energy Harvesting and Sensing Applications: Roadmap for Future Smart Materials. Adv. Sci. 2021, 8, 2100864. [Google Scholar] [CrossRef]
- Sorayani Bafqi, M.S.; Bagherzadeh, R.; Latifi, M. Fabrication of Composite PVDF-ZnO Nanofiber Mats by Electrospinning for Energy Scavenging Application with Enhanced Efficiency. J. Polym. Res. 2015, 22, 130. [Google Scholar] [CrossRef]
- Sobola, D.; Kaspar, P.; Částková, K.; Dallaev, R.; Papež, N.; Sedlák, P.; Trčka, T.; Orudzhev, F.; Kaštyl, J.; Weiser, A.; et al. PVDF Fibers Modification by Nitrate Salts Doping. Polymers 2021, 13, 2439. [Google Scholar] [CrossRef]
- Hong, S.K.; Lee, J.J.; Kim, K.J.; Choi, S.W. Electrospun Poly L-Lactic Acid Nanofiber Webs Presenting Enhanced Piezoelectric Properties. Polymers 2024, 16, 347. [Google Scholar] [CrossRef]
- Bhadwal, N.; Ben Mrad, R.; Behdinan, K. Review of Piezoelectric Properties and Power Output of PVDF and Copolymer-Based Piezoelectric Nanogenerators. Nanomaterials 2023, 13, 3170. [Google Scholar] [CrossRef]






| TBAP Concentration/wt% | Vp–p/V | ||
|---|---|---|---|
| Max | Min | Average | |
| 0 | 0.73 | 0.52 | 0.65 |
| 0.05 | 0.72 | 0.55 | 0.64 |
| 0.1 | 0.7 | 0.58 | 0.65 |
| 0.15 | 0.69 | 0.61 | 0.65 |
| 0.2 | 0.68 | 0.63 | 0.66 |
| 0.25 | 0.69 | 0.63 | 0.65 |
Disclaimer/Publisher’s Note: The statements, opinions and data contained in all publications are solely those of the individual author(s) and contributor(s) and not of MDPI and/or the editor(s). MDPI and/or the editor(s) disclaim responsibility for any injury to people or property resulting from any ideas, methods, instructions or products referred to in the content. |
© 2025 by the authors. Licensee MDPI, Basel, Switzerland. This article is an open access article distributed under the terms and conditions of the Creative Commons Attribution (CC BY) license.
Share and Cite
Hong, S.K.; Lee, J.-J.; Choi, S.-W. Phase-Engineered Electrospun Poly(vinylidene fluoride) Nanofibers with Enhanced Piezoelectricity. Crystals 2026, 16, 30. https://doi.org/10.3390/cryst16010030
Hong SK, Lee J-J, Choi S-W. Phase-Engineered Electrospun Poly(vinylidene fluoride) Nanofibers with Enhanced Piezoelectricity. Crystals. 2026; 16(1):30. https://doi.org/10.3390/cryst16010030
Chicago/Turabian StyleHong, Seung Kwan, Jae-Jin Lee, and Suk-Won Choi. 2026. "Phase-Engineered Electrospun Poly(vinylidene fluoride) Nanofibers with Enhanced Piezoelectricity" Crystals 16, no. 1: 30. https://doi.org/10.3390/cryst16010030
APA StyleHong, S. K., Lee, J.-J., & Choi, S.-W. (2026). Phase-Engineered Electrospun Poly(vinylidene fluoride) Nanofibers with Enhanced Piezoelectricity. Crystals, 16(1), 30. https://doi.org/10.3390/cryst16010030

