Next Article in Journal
Preparation and Characterization of Electrodeposited Ni-Al2O3 Coatings Applied to Cylinder Liner
Previous Article in Journal
Bioabsorbable Mg-Zn Alloys: Study of Their Performance in Simulated-Fever Conditions
Previous Article in Special Issue
First-Principles and PSO-Driven Exploration of Ca-Pt Intermetallics: Stable Phases and Pressure-Driven Transitions
 
 
Font Type:
Arial Georgia Verdana
Font Size:
Aa Aa Aa
Line Spacing:
Column Width:
Background:
Article

Structural Characterization of Ti/B4C/(±Ni) Composite Powders Obtained by Mechanical Milling

by
Argentina Niculina Sechel
1,2,*,
Călin-Virgiliu Prică
1,2,
Florin Popa
1,2,
Traian Florin Marinca
1,2,
Bogdan Viorel Neamţu
1,2 and
Răzvan Hirian
3
1
Department of Materials Science and Engineering, Technical University of Cluj-Napoca, Muncii Ave. 103–105, 400641 Cluj-Napoca, Romania
2
EUT+ Institute of Nanomaterials and Nanotechnologies-EUTINN, European University of Technology, European Union, 28 Memorandumului Street, 400114 Cluj-Napoca, Romania
3
Faculty of Physics, Babeş-Bolyai University, 1 Mihail Kogălniceanu Street, 400084 Cluj-Napoca, Romania
*
Author to whom correspondence should be addressed.
Crystals 2026, 16(1), 22; https://doi.org/10.3390/cryst16010022 (registering DOI)
Submission received: 21 November 2025 / Revised: 22 December 2025 / Accepted: 27 December 2025 / Published: 28 December 2025

Abstract

The main goal of this research is the preparation of mechanically and mechanochemically activated Ti/B4C/(±Ni) composite powders, which will constitute the source of reinforcement formation in the titanium powder matrix. For this purpose, two composite powders of the Ti/B4C/(±Ni) type were obtained in the molar ratio Ti:B4C = 5:1 and Ti:B4C:Ni = 6:1:1, respectively, by mechanical milling (MM) in a high-energy planetary ball mill for up to 7 h. The morphological and structural characteristics of composite powders were determined by laser particle size analysis, scanning electron microscopy with energy-dispersive X-ray spectrometry, X-ray diffraction, and differential thermal analysis. By milling for up to 7 h, a good homogenization of B4C in the Ti matrix occurs. Also, the addition of Ni leads to new phases of formation: NiTi and TiB2.

1. Introduction

The discontinuous reinforcement of titanium matrices presents high scientific interest, mainly due to their superior specific mechanical properties (specific ultimate strength, specific elastic modulus), creep resistance, and corrosion resistance [1,2,3]. Titanium matrix composites are used in various industries (military, aerospace, automotive, medicine, etc.) [3,4,5]. Titanium borides and titanium carbides exhibit good compatibility with the titanium-based matrix of ceramic reinforcement components [2,6,7,8,9]. To ensure high mechanical characteristics of composites, in situ development processes are used, which are based on various reactions that take place during the synthesis process, solid–solid reactions [2,6,7,10,11,12,13], or solid–liquid reactions [1,4,9,14]. In addition to achieving an optimal bond at the matrix reinforcement interface, in situ techniques also ensure lower production costs than ex situ processes [6].
The most widely used in situ techniques for obtaining composites with a titanium matrix reinforced discontinuously with titanium borides (TiB, Ti3B4, TiB2) and titanium carbide (TiC) are specific to powder metallurgy, such as reactive sintering [10,11,12], reactive hot pressing [6,13,15], and reactive spark plasma sintering (SPS) [7,8]. In order to obtain these types of composites, the mechanisms of in situ reinforcement formation were studied for a series of reactions that take place in different powder mixture systems during sintering, such as Ti-B4C [7,11,13], Ti-B4C-C [2,6], Ti-B4C-graphene [16], Ti-B-graphene [5], and Ti-boron-modified polysilazane polymers [17].
The Ti-B4C system has been intensively researched both in terms of obtaining titanium matrix composites [3,7,8] and ceramic composites of the TiC/TiB2 type [18,19,20,21,22,23,24]. The main reactions underlying the synthesis of these composites through in situ processes are as follows [15]:
5Ti + B4C → 4TiB + TiC
4Ti + B4C → 2TiB2 + TiC
The most important factors influencing the kinetics of reactions between Ti powder and B4C are the properties of the initial powder mixtures (size of the initial powder particles, Ti:B4C molar ratio, chemical composition of the powders) as well as the processing conditions (temperature, pressure, holding time) [7,8,13,14].
Depending on the processing conditions, according to published data, during the in situ processing of Ti/(TiB + TiC) composites by powder metallurgy, the reaction between Ti and B4C powders, reaction (1), can be initiated at approximately 950 °C [7], with the reaction being completed in the (1100–1450) °C temperature range [11,12,13]. According to Ref. [11], reaction (1) is completed by reactive sintering of powder compacts, in vacuum, at temperatures of 1450 °C, with a holding time of one hour. Jimoh et al. state that by sintering in a vacuum (90 min. at 1100 °C), some mixtures of fine powders of titanium hydride (TiH2) and B4C (below 10 µm) and the entire amount of B4C react to form TiB and TiC in the titanium matrix [12]. In the case of composites with a titanium matrix reinforced with 10 vol.% (TiB + TiC), obtained from mechanically milling of Ti and B4C mixtures, after hot pressing (vacuum, 1200 °C, 30 min., 20 MPa), it was found that the size of the B4C particles controls the formation of TiB whiskers in the cluster shape [15]. These agglomerates can be dispersed homogeneously in the titanium matrix by hot plastic deformation (extrusion) [15].
Xiu et al. obtained a core–shell composite powder of spherical Ti with 30 vol.% B4C by mechanical milling [10]. After spark plasma sintering at 1200 °C for 35 min at 40 MPa, the presence of Ti, TiC, and TiB phases and unreacted B4C was identified in the sample [10].
To facilitate the complete reaction between Ti and B4C, an important step is the homogenization of the powder mixtures [17,25,26]. The homogenization of Ti and B4C mixtures must ensure a finely dispersed distribution of the components by increasing the specific surface area of the components, favoring diffusion in the solid state during sintering [17,25]. In most published studies on in situ processing starting from mixtures of Ti and B4C powders, they are subjected to homogenization by mechanical milling in high-energy ball mills at different milling parameters with relatively long times of over 4 h [2,7,8,12,15,16,18]. However, there are few published data on the characteristics of the powders after milling. Grützner, S. et al., aimed only at a uniform distribution of B4C and C powder on spherical titanium powder by mechanical milling up to 4 h [2]. The influence of the TiB:TiC ratio on the mechanical properties of titanium matrix composites was investigated, focusing on composites based on the Ti-5Al-5Mo-5V-3Cr alloy reinforced with 12 vol.% (TiB + TiC). The results indicate that the presence of alloying elements in the titanium matrix (Mo, V, and Cr) slows down the reaction between Ti and B4C during spark plasma sintering at 1200 °C, resulting in partially unreacted B4C [2]. Nevertheless, the addition of reinforcement to the matrix leads to improved compressive strength, hardness, bending strength, and stiffness [2]. A similar purpose is served by mechanical milling in Ref [10] to obtain core–shell Ti-B4C powders. By adding 30 vol.% B4C to titanium, the compressive strength increases to approximately 1529 MPa, with a hardness of 698 HV [10].
Another mechanochemical activation method is based on the published results in the field of TiC/TiB2 ceramic composites developed by combustion synthesis and self-propagating high-temperature synthesis (SHS) [19,20,21,23,24,27]. Published data demonstrate the positive effect of the addition of elements such as nickel [19,20,21], copper [23,24], or aluminum [27] on the kinetics of reactions in the Ti-B4C system via SHS. The presence of nickel in the Ti + B4C mixture may favor the appearance of a transient liquid phase during sintering by forming eutectics with a low melting point, which may lead to an increase in the rate of progress and a decrease in the starting temperature of the Ti + B4C reaction [19,20,21,23]. Also, nickel could lead to the formation of intermetallic compounds in the Ti-Ni system with a positive effect on the performance of titanium matrix composites. Y.F. Yang et al. studied the effect of Ni addition on mixtures of Ti and B4C powders in a molar ratio of Ti:B4C = 3:1, a stoichiometric ratio corresponding to reaction (2), with the aim of obtaining TB2/TiC composites by SHS [19,20,21]. The results obtained according to Ref. [20] show that the nickel content affects both the ignition temperature of the reaction between Ti and B4C and the products resulting from the reaction. Another important factor affecting the reaction is the particle size of the reactants [21]. The strongest effect on the decrease in the reaction ignition temperature and on the rate of reaction progress is the size of the B4C particles [21]. As the size of the B4C particles decreases from 150 µm to 3.5 µm, the combustion temperature and progress rate of the Ti + B4C reaction increase [21].
The aim of the present work is to obtain and characterize mechanically and mechanochemically activated Ti/B4C/(±Ni) composite powders, whose use would enable the subsequent production of titanium matrix composites under more economically favorable conditions by reducing manufacturing costs. Intensification of solid-state diffusion processes upon heating can be achieved by increasing the degree of dispersion of B4C in titanium powder, increasing the contact surface between them, and by inducing structural defects during mechanical milling. The novelty of this work lies in the ratio of Ti:B4C:(±Ni) powder used in the milling process and also the milling parameters (milling time, BPR, vial rotation speed).
The use of mechanically activated [Ti + B4C] powders, prepared in a stoichiometric ratio corresponding to reaction (1), Ti:B4C = 5:1, can enable the in situ fabrication of titanium composites reinforced with (TiB + TiC) under significantly more favorable conditions. One of the main advantages is the ease of dosing these powders when mixed with titanium-based matrix powders, depending on the desired (TiB + TiC) volume fraction. By embedding B4C particles within a titanium matrix at the composition required for reaction (1), the time required for homogenization with the matrix powder is significantly reduced compared to the durations commonly reported in the literature, which generally exceed 2 h. Moreover, this approach helps overcome or mitigate the negative effects that certain alloying elements present in the titanium matrix (Mo, V, Cr) have on the kinetics of reaction (1). Mechanical activation enhances diffusion during sintering, enabling the complete progression of reaction (1) at lower sintering temperatures and shorter holding times. The use of [Ti + B4C + Ni] powders (molar ratio 6:1:1) as a source for forming (TiB + TiC) reinforcement in titanium alloy matrices, in addition to nickel’s positive effect on the Ti–B4C reaction [19,20,21], has been shown to improve mechanical properties. Nickel stabilizes the β phase of titanium, refines the titanium matrix microstructure, and, at a 5% addition, enhances corrosion resistance [25,26].

2. Materials and Methods

To achieve the objectives mentioned above, experimental studies focused on two types of powder mixtures. A first mixture was prepared from titanium and boron carbide powders, in a molar ratio of Ti:B4C = 5:1 (denoted [Ti + B4C]), and a second mixture from titanium, boron carbide, and nickel powders, in a molar ratio of Ti:B4C:Ni = 6:1:1 (denoted [Ti + B4C + Ni]). For the preparation of these mixtures, powders with the following characteristics were used: Ti (Alfa Aesar, Haverhill, MA, USA), spherical particles, −150 mesh, and 99.9% purity; B4C (Thermo Scientific Chemicals, Haverhill, MA, USA), −325 mesh, and ≥ 99.0% purity; and Ni (Merck, Darmstadt, Germany), with a particle size of –250/+80 mesh. After weighing, the powder mixtures were homogenized in a 3D Turbula mixer for 15 min, from which reference samples (starting sample, denoted ss) were taken. Mechanical milling was carried out in a high-energy planetary ball mill (Pulverisette 6–Fritsch GmbH, Idar–Oberstein, Germany) with the following parameters: the ball to powder ratio (BPR) is 10:1, under argon atmosphere, and at a speed of 350 rpm. The powder samples were milled in a hardened steel vial (500 mL), containing 100 hardened steel balls, with a 15 mm diameter. Samples were taken at 1, 3, 5, and 7 h of milling. In order to prevent the powder from adhering to the inner wall of the vial and milling balls, both types of mixtures were wet milled by adding 1 mL of benzene after each sampling operation.
A JEOL-JSM 5600 LV scanning electron microscope (JEOL Ltd., Tokyo, Japan), equipped with an energy dispersive X-ray spectroscopy (EDS) detector and a UltimMAX65 spectrometer (Oxford Instruments, Aztec software 4.2, High Wycombe, UK), was used to investigate the morphology of the powder particles and the degree of dispersion of the components. The particle size distribution of the powders was analyzed using a Laser Particle Sizer Analysette 22 NanoTec (Fritsch GmbH, Idar-Oberstein, Germany) with the wet dispersion technique and a particle size range of 0.1–1500 µm.
The composite powders milled for up to 0, 1, 3, 5, and 7 h were structurally analyzed by the X-ray diffraction technique using the Inel Equinox 3000 diffractometer with Co Kα radiation (λCo = 1.7903 Å). The diffractometer works in reflection mode, and the data have been recorded in the angular range of 20–110˚.
The heating behavior of the Ti + B4C ± Ni composite powders mechanically milled for 7 h was studied by differential scanning calorimetry (DSC-TG). The DSC analysis was performed using an SDT Q600 V20.9 Build 20 Thermogravimetric Analyzer (TA Instruments, New Castle, DE, USA) in an Ar atmosphere by heating up to 1300 °C at a rate of 15 °C/min. The samples analyzed by DSC were then characterized by X-ray diffraction (Cu Kα radiation, λCu = 1.5406 Å), and a scanning angle range of 20–70°.

3. Results and Discussion

Scanning electron microscopy (SEM) images of the [Ti + B4C] and [Ti + B4C + Ni] powder mixtures show an increase in the dispersion degree of the initial components (Ti, B4C, Ni) upon increasing the milling time (Figure 1c–f and Figure 2c–f).
The morphological aspect of the particles of the initial [Ti + B4C] powder mixture (unmilled, ss) can be observed in the SEM images obtained both in topographic contrast (Figure 1a) and in phase contrast (Figure 1b).
In Figure 1b, the spherical shape of Ti particles (whither phase) and flattened (flake shape) B4C particles (dark phase) can be observed. After one hour of milling, a comminution/fragmentation of the B4C particles (dark phase) and their embedding in the titanium matrix (brighter phase) is observed, with an inhomogeneous distribution of the particles (Figure 1c). Also, after one hour of milling, an increase in the size of the composite particles [Ti + B4C] is observed. With the milling time increasing to 3 and 5 h, the degree of dispersion of B4C in the titanium matrix increases (Figure 1d,e). After 7 h of milling, the B4C distribution is much more homogeneous and finer, with the B4C particle size below 5 µm and the composite particles [Ti + B4C] having an angular shape (Figure 1f). Also, it can be noticed that the particles’ roughness decreases upon increasing the milling time; the roughness of the particles milled for 5 h is more pronounced compared to the 7 h milled counterparts. This can be attributed to the reduced welding processes that make the repeated collisions with the milling balls more pronounced on the surface of the particles, and so smoothening occurs. The welding processes are very well evidenced for the 5 h milled samples, as shown in Figure 1e. The particles’ size is reduced upon increasing the milling time from 5 to 7 h, also indicating the prevalence of fragmentation processes compared to welding processes.
Nickel was added to the Ti and B4C powder mixture (denoted [Ti + B4C + Ni]) in the form of agglomerated and spongy particles, as shown in Figure 2a,b. After mechanical milling, the morphology of the [Ti + B4C + Ni] composite powder particles is angular with rounded edges (Figure 2d,e). Increasing the milling time from 1 to 3, 5, and 7 h in the case of [Ti + B4C + Ni] composite powders also ensures a more homogeneous distribution of the phases—B4C (dark phase) and Ni (whiter phase) within the titanium matrix (gray phase) (Figure 2f). After 7 h of milling, the dispersion of the phases is very fine, as can be seen in Figure 2f; the particles of the dark phase have micrometric dimensions.
SEM-EDS analysis performed on the [Ti + B4C ± Ni] initial powder mixtures and after milling for up to 7 h is shown in Figure 3. By comparing the two element distribution maps corresponding to the powders [Ti + B4C] and [Ti + B4C + Ni] milled for 7 h at a high magnification (Figure 3b,d), it can be observed that boron and carbon are present in the matrix, arranged in the immediate vicinity of the B4C particles of the [Ti + B4C]. In the case of [Ti + B4C + Ni] composite particles, the degree of dispersion of carbon, boron, and nickel is higher, and these elements are also identified in the titanium matrix (Figure 3d). It can be inferred that during 7 h of milling, in the [Ti + B4C + Ni] composite powder, diffusion and likely decomposition of B4C occurred.
The particle size distribution of the composite powders was analyzed by laser diffraction (laser diffraction particle size analysis), and it is shown in Figure 4a–d. By comparing the particle size distributions of the [Ti + B4C] mixture with the initial mixture (ss), it can be observed that with an increasing milling time of up to 5 h, the particle size distribution narrows, and the peaks of the (tri-modal) curves shift toward larger particle size values (Figure 4a). At the same time, in the [Ti + B4C] powders milled for 1, 3, and 5 h, particles with sizes between 150 and 320 µm are present in small amounts. At a milling duration of 7 h, in the [Ti + B4C] powder mixture, the coarse particle size fraction is absent, with particles measuring below 155 µm (Figure 4a—green curve), and 90% of the particles have sizes smaller than 105 µm (Figure 4b—D90). The particle size distribution of the powders containing nickel, [Ti + B4C + Ni] (Figure 4c), is quasi-bimodal, and after 7 h of milling, the powder particles are smaller than 188 µm (Figure 4c—green curve), with 90% of the powder being smaller than 120 µm (Figure 4d—D90). For the powders milled for 7 h, for both types of powders, the D50 and D10 values are approximately equal, around 49 µm and 24 µm, respectively (Figure 4b,d). According to the particle size distribution, it can be noticed that after 7 h of milling, the particles have a narrower range of particle sizes, and the shape of the distribution curve is quasi-Gaussian. The prevalence of the fragmentation processes observed by SEM investigation is confirmed by particle size analysis.
In order to identify the phases in the [Ti + B4C ± Ni] powder mixtures, XRD analyses were performed, and the diffraction patterns are presented in Figure 5.
After one hour of milling the [Ti + B4C] mixture, the diffraction peaks corresponding to B4C disappear. The B4C peaks are not present in the diffraction patterns of 3, 5, and 7 h of milling either. Due to the fragile character of B4C, its crystallites are quickly reduced at the nanoscale and can further become amorphous due to the high-energy mechanical milling. The low amount of B4C, its amorphous structure, and possible interface reaction do not allow us to see diffraction peaks in the diffraction pattern. With the increase in milling time, the peaks corresponding to titanium broaden, and their intensity decreases due to the decrease in crystallite size and the induced internal stresses upon the milling process. XRD analyses of the [Ti + B4C] mixture did not identify the presence of new phases, although solid-phase reactions could occur at the interface. The diffraction patterns of the [Ti + B4C + Ni] powder mixture, as shown in Figure 5b, indicate that by increasing the milling time from 1 to 5 h, the peaks of Ti and Ni decrease significantly in intensity, while the peaks of B4C disappear. The disappearance of B4C peaks is due to similar causes mentioned in the first composition presented earlier. The reaction for this composition is clearly evidenced after 7 h of milling. It was observed that the initial powders reacted, and the peaks of the compounds TiC, NiTi, and TiB2 were identified. The reactions upon increasing the duration of mechanical milling in a high-energy planetary mill have already been proven. It was shown that it is possible to form other compounds in the Ti-B4C and Ti-B4C-Ni systems, as well as non-equilibrium (metastable) phases [28]. The [Ti + B4C ± Ni] composite powders, obtained in these stochiometric ratios, can be used as a source for reinforcement (carbides and borides) in Ti matrix composites. Also, they can be used as raw materials for ceramic composites (titanium borides/titanium carbides). In order to investigate the possible new phases that can be formed at sintering, the heating behavior of the [Ti + B4C ± Ni] composite powders was studied by DSC-TG analysis (heating up to 1300 °C at a rate of 15 °C/min).
The DSC heating and cooling curves of the [Ti + B4C] mixtures are shown in Figure 6. For the [Ti + B4C] powder mixture (sample ss), during heating, the DSC curve shows an endothermic peak at 893 °C, corresponding to the allotropic transformation of α-Ti to β-Ti, and a less intense exothermic peak at 1193 °C, which may correspond to a reaction occurring at the Ti-B4C interface.
Upon cooling, only a broad, low-intensity exothermic peak is observed at 887 °C, corresponding to the polymorphic transformation of titanium. For the [Ti + B4C] composite powder milled for 7 h, the DSC curve shows an intense and broad exothermic peak at 640 °C, starting at 494 °C and ending at 865 °C, and two smaller exothermic peaks at 1040 °C and 1188 °C. The first exothermic peak may correspond to the formation of titanium carbide. SEM-EDX analysis of the powders revealed a greater dispersion of carbon in the titanium matrix compared to boron after 7 h of milling (Figure 3b). Thus, it is possible that, at the surface layer, some of the B4C particles decompose into C and B. The diffusivity of carbon in the titanium matrix is higher than that of boron and also that of the titanium self-diffusion [2]. Thus, the formation of titanium carbide is much more likely, as its formation free energy is lower than that of titanium borides over a wide temperature range (227–1726 °C) [9]. The exothermic peaks at 1040 °C and 1188 °C may correspond to the formation of titanium borides. At temperatures below 1300 °C, the formation sequence of the borides is TiB and Ti3B4, while at higher temperatures, it is TiB2 [27].
By mechanical milling, the powders are subjected to repeated processes of cold welding and fragmentation; as a result, the particle sizes decrease. It also induces defects in the crystal lattice and refines the microstructure (crystallite size reaching the nanometric range). As a result, the specific surface area of the particles and crystallites increases, which, combined with the high density of defects, will lead to accelerated diffusion in the sintering process. Thus, the powders activated by mechanical milling will be able to form compounds from the Ti-B4C system formed at lower temperatures.
For phase identification after heat treatment, following DSC analysis, the samples were analyzed by XRD, and the results are presented in Figure 7. The diffraction patterns of the initial [Ti + B4C] powder mixture show only the initial phases of Ti and B4C characteristic peaks, along with the most intense diffraction peak of titanium dioxide (TiO2). Its formation can be attributed to oxygen adsorbed on the surface of the initial powder particles. After heat treatment of the [Ti + B4C] composite powder milled for 7 h, the characteristic peaks of TiC and the titanium boride (Ti3B4) were identified in the XRD patterns. The intermediate phase (Ti3B4) from the Ti-B system, identified in the X-ray diffraction pattern, exhibits higher mechanical properties than titanium monoboride (TiB) [29], sustaining the study approach in the field.
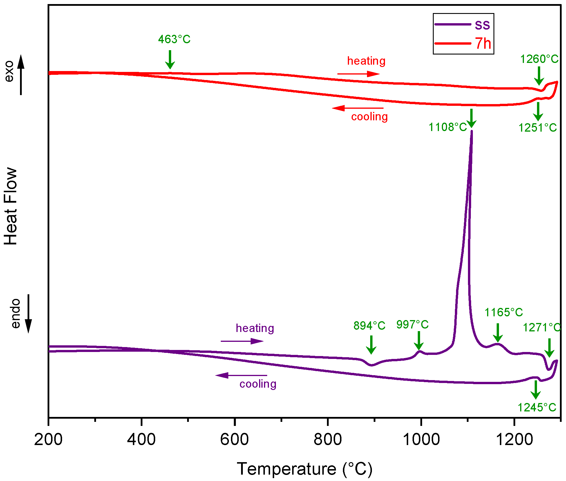
Figure 8 shows the DSC curves for the [Ti + B4C + Ni] mixtures, both unmilled and milled for 7 h. In the DSC curve of the initial powder mixture, in addition to the endothermic peak around the titanium allotropic transformation temperature (894 °C), three exothermic peaks are observed at 997 °C, 1108 °C, and 1165 °C. The first exothermic reaction may correspond to the formation of NiTi compounds. The ignition of the reaction is due to the formation of the eutectic between Tiβ and NiTi2, raising the melting point to 942 °C [30]. By solid-state diffusion, locally, the eutectic concentration can be reached in the powder mixture. This eutectic plays an important role in initiating the reaction between Ti and B4C [19,20,21]. Upon heating to higher temperatures, diffusion may occur between Ni and B from the surface layer of B4C, leading to the formation of a small amount of eutectic that melts and initiates the strongly exothermic reaction between Ti and B4C, which is attributed to the peak at approximately 1108 °C. At 1165 °C, the nickel-rich intermetallic compound NiTi may form, which melts at 1271 °C (endothermic peak), according to the Ni-Ti phase diagram from Ref. [30]. The exothermic peak on the cooling curve corresponds to the crystallization of the NiTi compound. The presence of this phase is also confirmed by XRD analysis (Figure 9), alongside TiB and TiC.
In the case of the mixture milled for 7 h, no intense peaks are recorded on the DSC curve, except around the melting temperature of the nickel-rich NiTi compound (endothermic peak at 1260 °C) and upon cooling (exothermic peak at approximately 1251 °C). The XRD analysis of the [Ti + B4C + Ni] composite powders milled for 7 h, after heat treatment, shows the absence of the NiTi compound and the formation of several phases: titanium carbide, titanium borides (Ti3B4 and TiB2), nickel, and the NiTi2 compound (Figure 9).
Starting with mixtures of Ti, B4C, and Ni in different concentrations, considering the dynamics and parameters of mechanical milling, up to the conditions of performing the DSC (heating rate), all of these can affect the ignition temperatures of the Ti + B4C reaction. Upon heating, this reaction occurs in the first stage through diffusion processes in the solid state, and the phase composition gradually changes. The Ni addition facilitates the intensification of the diffusion processes [19,20]. For mixtures of Ti:B4C = 3:1 powders, the addition of around 20% Ni favors the appearance of a strong exothermic peak at approximately 1038 °C compared to the one present in the mixture of nickel-free powders, which are much less intense at approximately 1138 °C [19].
Figure 10 shows the data obtained from DSC-TG analysis regarding the weight variation after heating to 1300 °C. A greater weight gain is observed for the initial [Ti + B4C] mixture (2.6%), as well as for the [Ti + B4C + Ni] mixture (1.2%), which is mechanically milled for up to 7 h. This may be due to the oxygen adsorbed on the surface of the powder particles. Among the mixtures studied, the ss sample of the [Ti + B4C] mixture contains the largest number of fine particles, with a D50 below 29 µm (Figure 4b), and, therefore, a greater amount of oxygen can be adsorbed.
In the case of the [Ti + B4C + Ni] composite powders, a higher oxygen content may also be due to the morphology of the powder particles. It is known that, as a result of in situ reactions that occur during mechanical milling (according to XRD analyses), porosity may occur due to the change in the phases’ specific volumes.

4. Conclusions

Based on the results obtained regarding the improvement of the sintering behavior of Ti/B4C/(±Ni) powder mixtures, the following can be stated:
  • By mechanical milling for up to 7 h, a dispersion of B4C and Ni in the titanium matrix occurs.
  • The addition of Ni in the mixture in the ratio Ti:B4C:Ni = 6:1:1 leads to the formation of new phases (NiTi and TiB2) after 7 h of milling.
  • Mechanical milling for 7 h of the [Ti + B4C] mixture with a molar ratio of Ti:B4C = 5:1 facilitates the reaction between Ti and B4C upon heating (1300 °C, Ar, 15 °C/min), with the formation of TiC and Ti3B4 phases.
The addition of Ni to a mixture with Ti and B4C (Ti:B4C:Ni = 6:1:1) leads to an exothermic reaction (~1108 °C) during heating. After cooling from 1300 °C, the TiC, TiB, and NiTi phases were identified.
The research will continue with the establishment of the sintering behavior of Ti/B4C/(±Ni) mixtures with a high amount of Ti and using them as a source of reinforcing components of the titanium matrix.

Author Contributions

Conceptualization, A.N.S.; methodology, A.N.S. and C.-V.P.; software, A.N.S., C.-V.P., F.P., T.F.M. and R.H.; validation, A.N.S. and C.-V.P.; formal analysis, A.N.S., C.-V.P., F.P., T.F.M., B.V.N. and R.H.; investigation, A.N.S. and C.-V.P.; resources, A.N.S. and B.V.N.; data curation, A.N.S.; F.P., T.F.M., B.V.N. and R.H.; writing—original draft preparation, A.N.S.; writing—review and editing, A.N.S. and C.-V.P.; visualization, A.N.S., C.-V.P., F.P., T.F.M., B.V.N. and R.H.; supervision, A.N.S.; project administration, A.N.S.; funding acquisition, A.N.S. All authors have read and agreed to the published version of the manuscript.

Funding

This work was supported by the “Ti/(TiB + TiC) type composites obtained by reactive sintering” grant funded by the National Grant Competition–GNaC ARUT 2023 (Technical University of Cluj-Napoca, Grant no. 37/01 July 2024).

Data Availability Statement

The original contributions presented in this study are included in the article. Further inquiries can be directed to the corresponding authors.

Conflicts of Interest

The authors declare no conflicts of interest.

References

  1. Liu, D.; He, D.; Li, H.; Li, N.; Ma, L.; Li, H.; Xu, Y.; Yu, J. Multi-ceramic phases synergistically reinforced titanium matrix composite coating deposited by laser cladding: Effect of B4C content on the microstructure and wear properties. Surf. Coat. Technol. 2025, 496, 131648. [Google Scholar] [CrossRef]
  2. Grützner, S.; Krüger, L.; Radajewski, M.; Schneider, I. Characterization of In-Situ TiB/TiC Particle-Reinforced Ti-5Al-5Mo-5V-3Cr Matrix Composites Synthesized by Solid-State Reaction with B4C and Graphite through SPS. Metals 2018, 8, 377. [Google Scholar] [CrossRef]
  3. Wu, J.; Chen, Y.; Du, Z.; Li, B.; He, T.; Zhou, H.; Zhang, Y. High-temperature anisotropic behavior of large-size industrial-grade thin sheet of (TiB + TiC) reinforced titanium matrix composites. Compos. Part A 2025, 190, 108680. [Google Scholar] [CrossRef]
  4. Maurício, D.C.; Gonçalves, V.R.M.; Torrento, J.E.M.; Pintao, C.A.F.; Grandini, C.R.; Afonso, C.R.M.; Almeida, G.S.; Zambuzzi, W.F.; Correa, D.R.N. In-situ production of a biomedical metal-matrix composite based on a high entropy alloy reinforced with TiC and TiB. J. Mater. Res. Technol. 2025, 35, 4009–4019. [Google Scholar] [CrossRef]
  5. Zhang, X.; Yu, W.; Wang, J.; Wang, P.; Liu, Z.; He, M.; Yang, Z. Rapid in-situ synthesis, microstructure and mechanical properties of titanium matrix composites with micro/nano-sized TiB/TiC hybrid structures. Vacuum 2023, 207, 111635. [Google Scholar] [CrossRef]
  6. Ni, D.R.; Geng, L.; Zhang, J.; Zheng, Z.Z. Effect of B4C particle size on microstructure of in situ titanium matrix composites prepared by reactive processing of Ti–B4C system. Scr. Mater. 2006, 55, 429–432. [Google Scholar] [CrossRef]
  7. Jia, L.; Li, S.-F.; Imai, H.; Chen, B.; Kondoh, K. Size effect of B4C powders on metallurgical reaction and resulting tensile properties of Ti matrix composites by in-situ reaction from Ti–B4C system under a relatively low temperature. Mater. Sci. Eng. A 2014, 614, 129–135. [Google Scholar] [CrossRef]
  8. Balaji, V.S.; Kumaran, S. Densification and microstructural studies of titanium–boron carbide (B4C) powder mixture during spark plasma sintering. Powder Technol. 2014, 264, 536–540. [Google Scholar] [CrossRef]
  9. Nartu, M.S.K.K.Y.; Mantri, S.A.; Pantawane, M.V.; Ho, Y.H.; McWilliams, B.; Cho, K.; Dahotre, N.B.; Banjerjee, R. In situ reactions during direct laser deposition of Ti-B4C composites. Scr. Mater. 2020, 183, 28–32. [Google Scholar] [CrossRef]
  10. Xiu, Z.; Ju, B.; Zhan, J.; Zhang, N.; Wang, P.; Zhao, K.; Liu, M.; Yin, A.; Chen, W.; Jiao, Y.; et al. Microstructure and Mechanical Properties of Core-Shell B4C-Reinforced Ti Matrix Composites. Materials 2023, 16, 1166. [Google Scholar] [CrossRef] [PubMed]
  11. Vadayara, K.S.; Rani, S.D.; Prasad, V.V.B. Effect of boron carbide particle size and volume fraction of TiB-TiC reinforcement on Fractography of PM processed Titanium matrix Composites. Proc. Mater. Sci. 2014, 6, 1329–1335. [Google Scholar] [CrossRef]
  12. Jimoh, A.; Sigalas, I.; Hermann, M. In Situ Synthesis of Titanium Matrix Composite (Ti-TiB-TiC) through Sintering of TiH2-B4C. Mater. Sci. App. 2012, 3, 30–35. [Google Scholar]
  13. Zygula, K.; Mrotzek, T.; Lypchanskyi, O.; Zientara, D.; Gude, M.; Prahl, U.; Wojtaszek, M. Microstructure and Mechanical Properties of In Situ Synthesized Metastable Titanium Alloy Composite from Low-Cost Elemental Powders. Materials 2023, 16, 7438. [Google Scholar] [CrossRef]
  14. Vedel, D.; Stasiuk, O.; Kovalchuk, D.; Savvakin, D.; Tkachuk, V.; Akhonin, S.; Schwab, S.; Markovsky, P. Formation of the gradient metal matrix Ti-TiB-TiC composite by 3D-printing with coaxial electron-beam technology and cored wire. J. Alloys Compd. 2025, 1027, 180617. [Google Scholar] [CrossRef]
  15. Ni, D.R.; Geng, L.; Zhang, J.; Zheng, Z.Z. Fabrication and tensile properties of in situ TiBw and TiCp hybrid-reinforced titanium matrix composites based on Ti–B4C–C. Mater. Sci. Eng. A 2008, 478, 291–296. [Google Scholar] [CrossRef]
  16. Mutuk, T.; Dengiz, C.G.; Akyol, O.; Ağanoğlu, K.; Gürbüz, M. Effect of hybrid reinforcements and TiB whisker formation on the mechanical performance of titanium matrix composites: An experimental and numerical study. J. Mater. Sci. 2025, 60, 21554–21573. [Google Scholar] [CrossRef]
  17. Zhong, Z.; Zhang, B.; Ye, J.; Wang, Y.; Ren, Y.; Ye, F. Towards high strength of titanium matrix composites produced by pressureless sintering combined with hot forging. Compos. Part A 2025, 198, 109155. [Google Scholar] [CrossRef]
  18. Cao, X.; Li, Y.; Zhang, Z.; Li, T.; Wang, C.; Su, J. Effect of Ni content on mechanical property and oxidation resistance of porous TiB2-TiC ceramics fabricated by pressureless sintering. Ceram. Int. 2025, 51, 9301–9311. [Google Scholar] [CrossRef]
  19. Yang, Y.F.; Wang, H.Y.; Liang, Y.H.; Zhao, R.Y.; Jiang, Q.C. Effect of nickel addition on the exothermic reaction of titanium and boron carbide. J. Mater. Res. 2007, 22, 169–174. [Google Scholar] [CrossRef]
  20. Yang, Y.F.; Wang, H.Y.; Zhao, R.Y.; Liang, Y.H.; Jiang, Q.C. Effect of Ni content on the reaction behaviors of self-propagating high-temperature synthesis in the Ni–Ti–B4C system. Int. J. Refract. Met. Hard Mater. 2008, 26, 77–83. [Google Scholar] [CrossRef]
  21. Yang, Y.F.; Wang, H.Y.; Liang, Y.H.; Zhao, R.Y.; Jiang, Q.C. Effect of Reactant Particle Size on the Self-Propagating High-Temperature Synthesis Reaction Behaviors in the Ni-Ti-B4C System. Metall. Mater. Trans. A 2009, 40, 232–239. [Google Scholar] [CrossRef]
  22. Yang, Y.F.; Wang, H.Y.; Wang, J.G.; Jiang, Q.C. Thermal explosion reaction in the Ti–B4C system in air. J. Mater. Res. 2009, 24, 3003–3006. [Google Scholar] [CrossRef]
  23. Liang, Y.H.; Wang, H.Y.; Yang, Y.F.; Du, Y.L.; Jiang, Q.C. Reaction Path of the Synthesis of TiC-TiB2 in Cu-Ti-B4C System. Int. J. Refract. Met. Hard Mater. 2008, 26, 383–388. [Google Scholar] [CrossRef]
  24. Liang, Y.; Zhao, Q.; Zhang, Z.; Lin, Z.; Ren, L. Fabrication of bionic composite material using self-propagating high-temperature synthesis in the Cu–Ti–B4C system during steel casting. J. Asian Ceram. Soc. 2013, 1, 339–345. [Google Scholar] [CrossRef]
  25. Falodun, O.E.; Oke, S.R.; Solomon, M.M.; Bayode, A. Microstructural evolution and electrochemical corrosion characteristics of Ti–Ni matrix composite in NaCl and HCl solutions. Ceram. Int. 2024, 50, 15124–15133. [Google Scholar] [CrossRef]
  26. Falodun, O.E.; Oke, S.R.; Olubambi, P.A.; Dirisu, J.O.; Sule, R. Microstructural Characteristics and Wear Behavior of Sintered Ni-Modified Ti–xTiB2 Composites. J. Inst. Eng. India Ser. D 2024, 105, 385–394. [Google Scholar] [CrossRef]
  27. Shen, P.; Zou, B.; Jin, S.; Jiang, Q. Reaction mechanism in self-propagating high temperature synthesis of TiC-TiB2/Al composites from an Al-Ti-B4C system. Mater. Sci. Eng. A 2007, 454–455, 300–309. [Google Scholar] [CrossRef]
  28. Lu, C.J.; Li, Z.Q. Structural evolution of TiH2–B4C during ball milling and subsequent heat treatment. J. Alloys Compd. 2008, 448, 198–201. [Google Scholar] [CrossRef]
  29. Cao, K.; Shi, G.-Y.; Liu, T.-T.; Li, X.; Li, J.F.; Wang, X.-L.; Su, Y.-H.; Zhang, C.; Jiang, H. Phase transition, mechanical and electronic properties of Ti3B4 under high pressure. Vacuum 2023, 217, 112582. [Google Scholar] [CrossRef]
  30. Bertilsson, T.; Iyengar, S.; Sina, H. Sintering studies on Ni–Ti–Fe elemental powder mixtures using differential scanning calorimetry. J. Therm. Anal. Calorim. 2024, 149, 13745–13758. [Google Scholar] [CrossRef]
Figure 1. SEM images of [Ti + B4C] powder mixtures at different mechanical milling times: (a) 0 h (ss), secondary electron image (SEI); (b) 0 h, backscattered electron image (BEC); (c) 1 h, BEC; (d) 3 h, BEC; (e) 5 h, BEC; (f) 7 h, BEC.
Figure 1. SEM images of [Ti + B4C] powder mixtures at different mechanical milling times: (a) 0 h (ss), secondary electron image (SEI); (b) 0 h, backscattered electron image (BEC); (c) 1 h, BEC; (d) 3 h, BEC; (e) 5 h, BEC; (f) 7 h, BEC.
Crystals 16 00022 g001
Figure 2. SEM images of [Ti + B4C + Ni] powder mixtures at different mechanical milling times: (a) 0 h (ss), secondary electron image (SEI); (b) 0 h, backscattered electron image (BEC); (c) 1 h, BEC; (d) 3 h, BEC; (e) 5 h, BEC; (f) 7 h, BEC.
Figure 2. SEM images of [Ti + B4C + Ni] powder mixtures at different mechanical milling times: (a) 0 h (ss), secondary electron image (SEI); (b) 0 h, backscattered electron image (BEC); (c) 1 h, BEC; (d) 3 h, BEC; (e) 5 h, BEC; (f) 7 h, BEC.
Crystals 16 00022 g002
Figure 3. SEM-EDX elemental map superposition for the mechanically milled composite powders: (a) [Ti + B4C], unmilled (0 h = ss); (b) [Ti + B4C], milled at 7 h; (c) Ti + B4C + Ni, unmilled (0 h = ss); (d) [Ti + B4C + Ni], milled at 7 h.
Figure 3. SEM-EDX elemental map superposition for the mechanically milled composite powders: (a) [Ti + B4C], unmilled (0 h = ss); (b) [Ti + B4C], milled at 7 h; (c) Ti + B4C + Ni, unmilled (0 h = ss); (d) [Ti + B4C + Ni], milled at 7 h.
Crystals 16 00022 g003
Figure 4. Particle size distribution and variation of parameters D10, D50, and D90 vs. milling time of composite powders: (a,b) [Ti + B4C] mixtures; (c,d) [Ti + B4C + Ni] mixtures.
Figure 4. Particle size distribution and variation of parameters D10, D50, and D90 vs. milling time of composite powders: (a,b) [Ti + B4C] mixtures; (c,d) [Ti + B4C + Ni] mixtures.
Crystals 16 00022 g004
Figure 5. X-ray diffraction patterns of the composite powders vs. milling time: (a) [Ti + B4C] mixtures; (b) [Ti + B4C + Ni] mixtures.
Figure 5. X-ray diffraction patterns of the composite powders vs. milling time: (a) [Ti + B4C] mixtures; (b) [Ti + B4C + Ni] mixtures.
Crystals 16 00022 g005
Figure 6. DSC curves of the [Ti + B4C] composite powders unmilled and milled for 7 h.
Figure 6. DSC curves of the [Ti + B4C] composite powders unmilled and milled for 7 h.
Crystals 16 00022 g006
Figure 7. X-ray diffraction patterns of the [Ti + B4C] composite powders unmilled and milled for 7 h.
Figure 7. X-ray diffraction patterns of the [Ti + B4C] composite powders unmilled and milled for 7 h.
Crystals 16 00022 g007
Figure 8. DSC curves of the [Ti + B4C + Ni] composite powders unmilled and milled for 7 h.
Figure 8. DSC curves of the [Ti + B4C + Ni] composite powders unmilled and milled for 7 h.
Crystals 16 00022 g008
Figure 9. X-ray diffraction patterns of the [Ti + B4C + Ni] composite powders unmilled and milled for 7 h.
Figure 9. X-ray diffraction patterns of the [Ti + B4C + Ni] composite powders unmilled and milled for 7 h.
Crystals 16 00022 g009
Figure 10. Weight variation of [Ti + B4C ± Ni] composite powders unmilled and milled for 7 h.
Figure 10. Weight variation of [Ti + B4C ± Ni] composite powders unmilled and milled for 7 h.
Crystals 16 00022 g010
Disclaimer/Publisher’s Note: The statements, opinions and data contained in all publications are solely those of the individual author(s) and contributor(s) and not of MDPI and/or the editor(s). MDPI and/or the editor(s) disclaim responsibility for any injury to people or property resulting from any ideas, methods, instructions or products referred to in the content.

Share and Cite

MDPI and ACS Style

Sechel, A.N.; Prică, C.-V.; Popa, F.; Marinca, T.F.; Neamţu, B.V.; Hirian, R. Structural Characterization of Ti/B4C/(±Ni) Composite Powders Obtained by Mechanical Milling. Crystals 2026, 16, 22. https://doi.org/10.3390/cryst16010022

AMA Style

Sechel AN, Prică C-V, Popa F, Marinca TF, Neamţu BV, Hirian R. Structural Characterization of Ti/B4C/(±Ni) Composite Powders Obtained by Mechanical Milling. Crystals. 2026; 16(1):22. https://doi.org/10.3390/cryst16010022

Chicago/Turabian Style

Sechel, Argentina Niculina, Călin-Virgiliu Prică, Florin Popa, Traian Florin Marinca, Bogdan Viorel Neamţu, and Răzvan Hirian. 2026. "Structural Characterization of Ti/B4C/(±Ni) Composite Powders Obtained by Mechanical Milling" Crystals 16, no. 1: 22. https://doi.org/10.3390/cryst16010022

APA Style

Sechel, A. N., Prică, C.-V., Popa, F., Marinca, T. F., Neamţu, B. V., & Hirian, R. (2026). Structural Characterization of Ti/B4C/(±Ni) Composite Powders Obtained by Mechanical Milling. Crystals, 16(1), 22. https://doi.org/10.3390/cryst16010022

Note that from the first issue of 2016, this journal uses article numbers instead of page numbers. See further details here.

Article Metrics

Article metric data becomes available approximately 24 hours after publication online.
Back to TopTop