Next Article in Journal
Enhancing Fatigue Life Prediction Accuracy: A Parametric Study of Stress Ratios and Hole Position Using SMART Crack Growth Technology
Next Article in Special Issue
Research Progress of ODS FeCrAl Alloys—A Review on Preparation, Microstructure, and Properties
Previous Article in Journal
Identification of Streptococcus pneumoniae Sortase A Inhibitors and the Interactive Mechanism
 
 
Font Type:
Arial Georgia Verdana
Font Size:
Aa Aa Aa
Line Spacing:
Column Width:
Background:
Article

Microstructure and Properties of Corrosion-Resistant Steel Produced by CASTRIP

1
School of Materials Science and Engineering, Shanghai University, Shanghai 200444, China
2
Zhejiang Institute of Advanced Materials, Shanghai University, Jiaxing 314113, China
3
Jiangsu Shagang Iron and Steel Research Institute, Zhangjiagang 215625, China
*
Author to whom correspondence should be addressed.
Crystals 2025, 15(7), 595; https://doi.org/10.3390/cryst15070595
Submission received: 27 May 2025 / Revised: 17 June 2025 / Accepted: 20 June 2025 / Published: 24 June 2025
(This article belongs to the Special Issue Phase Transformation and Microstructure Evolution of Alloys)

Abstract

The CASTRIP process is an innovative method for producing flat rolled low-carbon and low-alloy steel at very thin thicknesses. By casting steel close to its final dimensions, enormous savings in time and energy can be realized. In this paper, an ultra-high-strength low-alloy corrosion-resistant steel was produced through the CASTRIP process. Microstructure and properties were investigated by means of optical microscopy (OM), scanning electron microscopy (SEM), transmission electron microscopy (TEM), laser confocal microscopy (LSCM), electron backscattered diffraction (EBSD), and tensile testing. The results show that the microstructure is mainly composed of polygonal ferrite, bainite ferrite, and acicular ferrite. The bainite ferrite forms parallel lath bundles nucleating at austenite grain boundaries, propagating perpendicularly into the parent grains. The acicular ferrite exhibits a cross-interlocked morphology preferentially nucleating at oxide/sulfide inclusions. Microstructural characterization confirms that the phase transformation of acicular ferrite and bainite ferrite introduces high-density dislocations, identified as the primary strengthening mechanism. Under the CASTRIP process, corrosion-resistant elements such as Cu, P, Sb, and Nb are completely dissolved in the matrix without grain boundary segregation, thereby contributing to solid solution strengthening.

1. Introduction

CASTRIP process is an advantageous strip casting technique for producing ultra-thin cast strip steel (UCSS) with a small carbon foot print, low production cost, and flexible operating conditions [1]. Compared to the traditional process, the CASTRIP process omits the slab stage. The molten steel directly solidifies into a strip steel with a thickness of 1.4 mm, which enables the manufacture of thin products [2,3]. The control of the cooling rate plays an important role in achieving the desired microstructure and mechanical properties of the UCSS. During the casting and rolling process, a large amount of heat is instantly taken away from the molten iron by a cooling agent between two copper rollers, and the cooling rate can reach more than 1000 °C/s. Transformation from liquid to solid completes within 1 s, such that almost all elements are dissolved into the steel matrix without segregation [4]. Due to the near-net shape characteristics of the CASTRIP process, the molten metal is directly cast into a thin strip having a thickness of 1~5 mm, and then experiences hot rolling at low reduction. Due to the applied slight deformation, the original austenite coarse grains are partially recrystallized, so polygonal ferrite and coarse quasi-polygonal ferrite precipitated along the original austenite grain boundaries appear in the structure. The mechanical properties of ultra-thin-strip steel are closely correlated with its microstructural transformation mechanisms. It is of great importance to clarify the influence of the proportional regulation of multiphase microstructures on the strength–toughness balance.
The strengthening mechanism of micro-alloyed steel has attracted much attention from researchers. A considerable amount of research works focused on the diffusion time and diffusion rate of solute atoms during the continuous cooling process [5,6]. Several strengthening mechanisms have been developed to explain the source of strength in micro-alloyed UCSS [7]. One of the most important alloying methods is adding a small amount of Nb to achieve solid solution hardening [8,9]. Nb micro-alloyed UCSS products have great potential in high strength and thin specifications [10] because Nb inhibits austenite recrystallization, enhances hardenability, and promotes the formation of bainite structures [11,12]. Some studies suggested that acicular ferrite is an extension of low-carbon bainite, which is essentially a type of ferrite with a bainite core showing a different morphology from low-carbon bainite [13,14,15]. The acicular ferrite in general possesses a good combination of strength and toughness due to the fine structure and the presence of a large number of dislocations [15,16], and the interlocking between one another can effectively prevent the propagation of cracks. The rapid cooling rate during the CASTRIP process promotes the formation of bainitic ferrite. The microstructure contains a large amount of acicular ferrite and bundle-like bainite structures. There are numerous dislocations within the grains and a small quantity of carbides distributed between the bundle-like structures. These factors together result in a balance between high strength and appropriate toughness.
Inclusions in steel provide favorable nucleation sites for the transformation of overcooled austenite, making intragranular austenite more prone to transform into acicular ferrite. However, due to insufficient driving force, this transformation can only occur under higher cooling rates and greater degrees of undercooling. According to the classical interfacial energy principle, non-metallic inclusions act as inert medium surfaces, providing low interfacial energy to facilitate the nucleation of acicular ferrite. When the interfacial energy between ferrite and inclusions is lower than that between ferrite and austenite, ferrite preferentially nucleates on the inclusion surfaces [17]. Therefore, non-metallic inclusions create favorable conditions for ferrite nucleation and are likely to become the nucleation cores for acicular ferrite. The CASTRIP process results in fine and uniform inclusions in ultra-thin-strip steel. It is demonstrated that the inclusions in UCSS produced by the CASTRIP process provide favorable conditions for the nucleation of acicular ferrite [2,5,9].
In recent years, with the goals of industrial production carbon neutrality and carbon peak, corrosion-resistant steel has gradually demonstrated great potential in new application fields, such as containers, solar panel supports, and steel structure building covers. These application fields have strict requirements for product corrosion resistance and thickness. Therefore, there is a great demand for low-alloy high-strength thin-strip corrosion-resistant steel with a low cost and high corrosion resistance. As a typical product, ultra-low-carbon steel containing elements such as Cu, P, Cr, and Sb was developed to obtain a good combination of high toughness and high corrosion resistance. At the cooling rate of the traditional steel strip production process, elements such as Cu, P, and Sb tend to segregate at the grain boundaries, which adversely affects the welding performance and toughness of the steel [18,19]. The addition of trace elements under an ultra-fast cooling process will hinder grain boundary segregation, thereby achieving solid solution strengthening without sacrificing toughness. Evidently, the CASTRIP process for producing low-alloy high-strength thin-strip steel with good corrosion resistance has potential advantages involving lower production costs and better environmental friendliness. Excellent strength as well as good welding and stamping performance can be achieved without a large quantity of alloy elements. The effects of micro-alloying on the nucleation mechanisms of acicular ferrite and bainite ferrite and the mechanical properties of UCSS have been seldom reported.
In this study, based on the CASTRIP process, high-strength corrosion-resistant steel was successfully developed by adding corrosion-resistant elements such as niobium, copper, phosphorus, and antimony to ultra-low-carbon steel. The microstructure and mechanical properties of the test steel were systematically studied, and the strengthening mechanism was interpreted.

2. Materials and Methods

2.1. Materials

The chemical composition is listed in Table 1. The material was received as thin plates that were produced on the CASTRIP twin-roller thin-strip-casting industrial line. The material was melted in an electric furnace, followed by secondary refining treatments in an LF furnace and VD vacuum furnace. Based on dephosphorization and desulfurization pretreatment, manganese–silicon deoxidation was adopted to replace traditional aluminum deoxidation. Alloying elements such as Nb, Cu, and Sb were incorporated during the secondary refining stage. The molten steel flew from the ladle through the distribution system and gradually entered the gap between a pair of rotating copper casting rollers. Upon rapid water cooling, the steel solidified on the surface of the copper rollers. As shown in Figure 1 (UCSS process), the temperature of the steel strip upon exiting the copper rollers is approximately 1410 °C, with a thickness of 1.5 mm. After about 4 s, it entered the hot-rolling unit and underwent one pass of rolling at a temperature range of approximately 1050 ± 20 °C. After rolling the finished steel strip to a thickness of 1.2 mm, it was cooled by a laminar flow cooling water system to a target temperature range of 480 ± 20 °C, and then fed into a coiling machine to form a coil.
The heat treatment process route adopted in this study is shown in Figure 1. UCSS steel was heat treated at 1050 °C for 6–8 min, and then cooled to room temperature in air (2#), water (3#), and ice salt water (4#). 1# represents the industrial production process of UCSS. The industrial cooling of the 1# specimen was divided into two stages: from molten steel to the solidified strip structure, and from the strip to laminar cooling water. The cooling speed from molten steel to the strip during casting rolling is usually above 1000 °C/s, and the cooling speed from the strip to the rolling temperature is above 300 °C/s. The cooling rates in air, water, and cold salt water are approximately 10 °C/s, 100 °C/s, and 200 °C/s, respectively [20,21,22,23]. The effects of cooling rate on the room-temperature microstructure and corresponding physical properties of the experimental steel were compared.
Mechanical properties of 1#–4# specimens were measured by tensile testing at room temperature on an MTS C 45.305 universal tensile tester. According to the tensile test standard GB/T 228-2010, the original standard distance of the tensile specimen was 50 mm, the length of the clamping end was 40 mm, the width of the clamping end and the standard distance end were 20 and 12.5 mm, respectively, and the radius of the transition arc was 7 mm (for detail, please see Figure 2).
The microhardness of polygonal ferrite, acicular ferrite, and bainite ferrite in the UCSS process specimen (1#) was tested to clarify the differences in their mechanical properties. The hardness indentation test was conducted at a load of 10 g and for a duration of 10 s. Each specimen was measured 6 times, and the given results are the averages.

2.2. Microstructural Characterization

Block specimens were cut from the steel plates along the rolling directions and ground with SiC papers, followed by polishing with diamond paste. The specimens were etched with 4% nital solution to reveal the microstructure. Microstructural observation was performed on a LEIKA DM 2700 M optical microscope (OM, LEIKA DM 2700M, Leica Microsystems, Wetzlar, Germany) and a scanning electron microscope (SEM, ZEISS SIGMA 300, ZEISS, Oberkochen, Germany). The composition, size and quantity of non-metallic inclusions in UCSS specimens were quantitatively analyzed using the Zeiss ONE TOUCH SYSTEM (OTS) automatic steel inclusions analysis system.
The specimen was processed into slices with a diameter of 1 cm and a thickness of 0.1 mm using a cutting machine. The slices were ground with 400~3000# sandpaper until the thickness was less than 50 μm, followed by thinning using an ion thinning instrument. The fine structure of ferrite was observed by a transmission electron microscope (TEM, JEM-2010 field emission, JEOL Ltd., Tokyo, Japan). Before electron backscattered diffraction (EBSD) characterization, the specimens were processed into slices with a diameter of 1 cm and a thickness of 1 mm using a wire cutter. To avoid the possible interference of the stress layer caused by mechanical polishing, the (Buehler) VibroMet 2 vibration polishing instrument was used to reduce the stress on the surface. The suspended solution was 0.02 μm SiO2 polishing liquid with a frequency of 80 Hz. The polished specimens were tested with a ZEISS SIGMA 300 scanning electron microscope equipped with an EBSD system using a scanning step of 0.2 μm/s.
The overcooled austenite phase transformation process of the UCSS specimen was observed on a laser confocal microscope (LSCM). The different cooling rates (V) and different original austenite grain sizes (Dγ) were recorded in real time. The UCSS was processed into a cylindrical specimen with a diameter of 1 cm and a thickness of 1 mm using wire cutting. Then, the thin sheet was ground successively on 400 to 2000# sandpaper and polished using diamond spray polishing. The austenitization temperature was selected to be 1300 °C, and the cooling rates were 1 °C/s, 10 °C/s, and 100 °C/s.
Time-of-flight secondary ion mass spectrometry (TOF-SIMS) was used to analyze the segregation of trace elements Cu, P, Sb and Nb in the matrix and at the grain boundaries. A single ion bundle is used to bombard the surface of the specimen, causing ion sputtering. The TOF detector can only detect positively and negatively charged secondary ions. These charged ions may be classified according to their mass–charge ratio (m/z) after passing through the fly tube. In this study, the main ion bundle of this experiment was a pulsed bismuth cluster (Bi3+, 30 keV, 45 deg). Considering the grain size, the test area was determined to be 100 × 100 μm2 and 50 × 50 μm2, and the image resolution was 512 × 512 pixels.

3. Results

3.1. Microstructure vs. Mechanical Property

Due to the particularity of the process, the ultra-thin-strip production line is more inclined to produce low-carbon/ultra-low-carbon steel materials. Compared to the traditional hot-rolled products, the carbon content is lower, resulting in a significant reduction in material strength. Due to the characteristics of rapid solidification, the casting structure of the strip and the microstructure of the final product are significantly different from those of traditional products. In the traditional hot-rolling process, the hot-rolled slab of low alloy steel experiences reheating, multiple rough rolling, finishing rolling, and long laminar cooling, and the microstructure is evenly uniform and fine [24,25]. The resulting microstructure is basically composed of ferrite, mainly showing irregular polygons. Compared with conventional hot-rolled sheets, the steel produced by the CASTRIP process exhibits coarser prior-austenite grains. This technology directly transforms molten steel into thin strips (1–5 mm thick), followed by a single-pass hot rolling with minimal reduction. The contribution of work hardening to microstructure refinement and strength enhancement in ultra-thin-strip steel is relatively limited. The achieved strength is closely associated with the development of the acicular ferrite and bainitic ferrite. The phase transformation mechanism becomes crucial for optimizing the mechanical properties of ultra-thin-strip steel.
Figure 3 displays the optical microstructures of UCSS steel subjected to normalizing (specimen 2#), water quenching (specimen 3#), and ice-brine quenching (specimen 4#) heat treatments. Varying cooling rates during heat treatment produced diverse microstructures (Figure 3a–d). The volume fraction of polygonal ferrite in each specimen was quantified using ImagePro1.8.0 software, with results presented in Figure 3f. For comparison, the microstructure of UCSS steel in its annealed condition, achieved through a heat treatment process where the material was heated to 1050 °C at 5 °C/min, held at this temperature for 6–8 min, and subsequently furnace cooled to room temperature, is shown in Figure 3e.
In the original UCSS specimen (specimen 1#, Figure 3a), a significant amount of acicular ferrite and bainitic ferrite was observed, with polygonal ferrite accounting for only approximately 10.9%. After heat treatment, the content of polygonal ferrite increased, though its volume fraction decreased with higher cooling rates (Figure 3b–d). Annealing resulted in uniform equiaxed ferrite grains with an average size of about 20 μm.
As the cooling rate increased, the proportion of acicular ferrite and bainitic ferrite rose. Specimens 2# and 3# exhibited small amounts of bainitic ferrite and acicular ferrite, while further increasing the cooling rate (specimen 4#) led to a significant increase in their volume fraction. Concurrently, the volume fraction of polygonal ferrite decreased, particularly in specimen 4#, where it dropped to only about 30%.
The UCSS process significantly increases the cooling rate compared to heat treatment, resulting in an extremely fine grain size of the initial austenite solidification structure. The fine original austenite grain boundaries could provide a large number of nucleation sites for bainitic ferrite [12]. The resulting high phase transformation driving force strongly inhibits the phase transformation that occurs at higher temperatures, especially the formation of polygonal ferrite and pearlite. The formation process of bainitic ferrite and acicular ferrite transformation products was promoted.
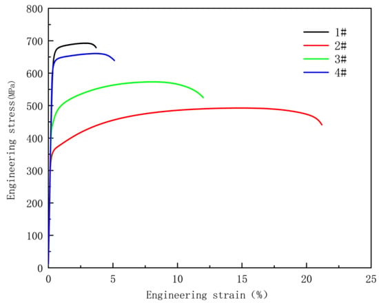
Static tensile tests were conducted on all specimens, with a stretching rate of 2 mm per minute. The engineering stress–strain curves of these four specimens are shown in Figure 4, and the corresponding mechanical property data are listed in Table 2. As the cooling rate varies, the coolant achieves an increase in yield strength while elongation decreases, presenting the typical trade-off relationship between strength and ductility. The yield strength of specimen 1# is 665 MPa, which is higher than that of all the heat-treated specimens. This indicates that the cooling rate of the CASTRIP process is much higher than that of conventional laboratory cooling methods. As can be seen from Figure 3f, the volume fractions of acicular ferrite and bainite in specimens 1# to 4# are 89.1%, 1.8%, 12.7%, and 69.8% respectively, which correspond to the tensile strengths of 692 MPa, 492 MPa, 572 MPa, and 660 MPa. This clearly indicates that acicular ferrite and bainite contribute significantly to the tensile strength.
The transformation temperature of ferrite in general low-carbon steel ranges from 780 to 850 °C, while the transformation temperature range of bainitic ferrite is approximately 450–610 °C [25,26]. Acicular ferrite appears under a medium cooling rate (20–40 °C/s), and lamellar bainitic ferrite forms under a high cooling rate (>40 °C/s) [27]. Due to the presence of additional elements, the transformation temperatures of ferrite and bainite in UCSS steel are expected to be higher than those of general low-carbon steel, but the increase in cooling rate reduces the starting and ending transformation temperatures of undercooled austenite, thereby increasing the phase transformation driving force. As shown in Figure 3b,e, when the cooling rate was <10 °C/s, equiaxed ferrite (polygonal ferrite) and a small amount of pearlite developed. As shown in Figure 3c,d, when the cooling rate reached 60 °C/s, acicular ferrite and bainitic ferrite formed at the original austenite grain boundaries. As the cooling rate increases, the plate-like characteristics of bainitic ferrite become more obvious [25,26]. Theoretically, in the undistorted austenite, ferrite nucleates preferentially at the grain boundaries and grows inward. In the deformed austenite, the deformation-induced nucleation in the grain interior induces ferrite at the grain boundaries, and inhibits grain boundary bainite [28]. The UCSS process only has a small amount (about 20%) of deformed austenite, so its effect on grain refinement by nucleation of intragranular products is not significant [24]. The ultra-fast cooling rates lead to an increase in dislocation density and residual stress. As the volume fraction of ferrite and bainite increases, the elongation of the experimental specimens significantly decreases.

3.2. Transformation Process and Nucleation Mechanism of Supercooled Austenite

The phase transition of supercooled austenite in UCSS was observed in situ using confocal laser scanning microscopy (LSCM). The process under different cooling rates was recorded. As shown in Figure 5a, when the specimen was heated to 1300 °C, austenite grains developed. The austenite grain size ranges from approximately 30 to 90 μm, and the grains are of nonuniform size. After being held at 1300 °C for 685 s, due to the complete dissolution of the elements, the austenite grain boundaries are more visible, and no further growth is observed. The austenite remained stable during subsequent slow cooling to approximately 1100 °C. Under these initial conditions, the phase transformation processes of metallographic structures were observed at three different cooling rates: 1 °C/s, 10 °C/s, and 100 °C/s.
At a relatively low cooling rate of 1 °C/s, the resulting structure is predominately composed of equiaxed polygonal ferrite, and the average grain size of the primary austenite is about 60 μm. As depicted in the yellow circle in Figure 5b, when the specimen was cooled to 768 °C for 1140 s, nucleation of polygonal ferrite at grain boundary occurred. With further cooling, the ferritic block region expands with a relatively smooth boundary, and the rate of interfacial displacement is slow. After nucleation at the grain boundary of the original austenite, the ferrite grows towards one direction, and the polygonal ferrite grows asymmetrically on both sides. According to the literature [29,30], polygonal ferrite is a typical structure resulting from a diffusive phase transition. To minimize the nucleation barrier, the nucleation of polygonal ferrite at grain boundaries typically exhibits an N-W or K-S relationship with one side of the austenite, and the interfacial migration in this case is fast [31]. The other side of the austenite tends to have a random orientation, and the migration rate of this type of interface is slow. As shown in Figure 5b, a small amount of acicular ferrite nucleation is observed. This may be attributed to the slow cooling rate, which leads to a long nucleation incubation period. The driving force of acicular ferrite transformation exists at some inclusion sites, contributing to the formation of acicular ferrite [16].
When the cooling rate reaches 10 °C/s (Figure 5c), the kinetics of transformation from austenite to ferrite is significantly higher. Notably, a portion of the austenite preferentially transforms into acicular ferrite. At this cooling rate, the average grain size of primary austenite is about 80 μm. With the continuous cooling process, the inclusions within the crystal act as nucleation sites. The red arrow in Figure 5c indicates an inclusion nucleation. Simultaneously, the bainite ferrite with lath bundles begins to grow at the grain boundaries, as can be clearly seen in the yellow marked area of Figure 5c. After cooling to 661 °C for 941 s, the acicular ferrite in the crystal grew quickly, and the acicular ferrite was interlaced and underwent continuous nucleating. At this stage, the microstructure consists of acicular ferrite, bainite ferrite, and ferrite at the grain boundaries.
The precipitation of inclusions leads to the formation of solute-depleted regions around them. These regions possess a chemical driving force that promotes the transformation of austenite into acicular ferrite, thereby increasing the content of acicular ferrite. It is generally accepted that the consumption of austenite-stabilizing elements in the matrix surrounding non-metallic inclusions can enhance the chemical driving force for acicular ferrite nucleation. Currently, the theories of manganese-depleted zones (MDZs) and carbon-depleted zones are the main research focus [32,33,34,35]. The formation of solute-depleted zones around inclusions has specific requirements for the inclusions. However, not all inclusions can promote the formation of acicular ferrite. It has been demonstrated that the inclusion engineering of the CASTRIP process facilitates the nucleation of acicular ferrite [2,5,11]. In general, the CASTRIP process results in small and uniformly distributed inclusions in ultra-thin-strip steel. To investigate the impact of the solute element content in the matrix surrounding non-metallic inclusions in UCSS on acicular ferrite nucleation, typical non-metallic inclusion in UCSS was measured along the growth direction of acicular ferrite. As shown in Figure 6, in the composite inclusions enriched with C, Si, Mn, Al, and Mg elements the manganese element is concentrated within the non-metallic inclusions, and no obvious dilution area was observed, while carbon is present in the matrix surrounding the non-metallic inclusions. The width of the depleted area is approximately 200 nanometers and is distributed within the core of the acicular ferrite.
Since both Mn and C are austenite stabilizers, the depletion zone formed by the consumption of C atoms offers the chemical driving force for the nucleation of acicular ferrite. Based on the solute-poverty theory, the transformation mechanism of acicular ferrite in the carbon-poor region can be described as follows: γ→γ′ + γ″ → AF + γ1. The formation of the austenitic carbon-poor zone can be divided into two distinct stages. Firstly, a carbon-poor zone (γ′) and a carbon-rich zone (γ″) develop. Subsequently, acicular ferrite nucleates and grows within the carbon-poor region of austenite, while some austenite remains gradually transform [36,37]. The theoretical validation of the chemical driving force provided by inclusions reveals that upon cooling, intragranular austenite is more inclined to transform into acicular ferrite. However, due to its own insufficient driving force, high cooling rates and large undercooling conditions are required to create the necessary conditions for the formation of a large quantity of acicular ferrite. Non-metallic inclusions act as inert interfacial media that reduce the nucleation barrier by providing low interfacial energy for acicular ferrite nucleation. When the interfacial energy between ferrite and inclusions is lower than that between ferrite and austenite, ferrite preferentially nucleates on the surface of inclusions [17]. Therefore, non-metallic inclusions create favorable conditions for ferrite nucleation and readily serve as nucleation sites for acicular ferrite.
To prevent the occurrence of surface or other harmful defects in thin-strip casting and rolling, ultra-thin-strip casting and rolling impose stricter requirements on the purity of molten steel. As depicted in Figure 7, the size and quantity of inclusions in the UCCS and air-cooled specimens were statistically analyzed through the OTS software in SEM. It is evident that the size and quantity of inclusions in thin-strip casting and rolling specimens are very small, which is closely related to the inclusion control in the steelmaking process. However, a comparative analysis reveals that the inclusion sizes in the UCCS specimen are mainly concentrated in the range of 1.0–2.0 and 2.0–5.0 μm, while the inclusions in the air-cooled specimen are mainly concentrated in the range of 2.0–5.0 μm. It has been verified that the non-metallic inclusions in ultra-thin-strip steel demonstrate fine and homogeneously dispersed characteristics, which play a crucial role in facilitating acicular ferrite nucleation.
At a cooling rate of 100 °C/s, the austenite grain size ranges from approximately 70 to 120 μm. When the continuous cooling temperature reaches 672~600 °C, bainite transformation occurs in the supercooled austenite. As shown in Figure 5d, after cooling to 644 °C for 992 s, the primary characteristic of bainite ferrite nucleation and growth at the grain boundary is the growth in regions I and II perpendicular to the original austenite grain boundary into the interior of the grain. At this stage, the growth in bainite ferrite at the original location I vanishes, and the parallel bainite ferrite bundles begin to grow in large quantities. The bainite ferrite at location II shows no measurable change, and it can be inferred that the irregular bainite ferrite at the grain boundary was the first to complete its transformation. Simultaneously, a new bundle of bainite ferrite starts to grow on the bainite ferrite at location III. The previously formed bundle of bainite ferrite has stopped growing, and the two bundles of bainite ferrite grow within the crystal at an angle of 30°, which exhibits characteristics similar to those of acicular ferrite. This type of bainite ferrite nucleated within the grain has a relatively large grain size. Thus, some scholars suggest that this acicular-like ferrite can be essentially regarded as intra-grain bainite ferrite [17]. However, the bainite ferrite with intercrystallite nucleation typically has a larger size, and its lath density is lower than that of acicular ferrite, which makes it easier to distinguish.
Bainite ferrite preferentially nucleates at austenite grain boundaries because austenite grain boundaries are carbon-poor regions [38,39]. The subunits in the bainite ferrite strip are formed in the carbon-poor region. When compared with the transformation in pure iron (γ-Fe→α-Fe), there is no essential difference between these two transitions; both are processes of fcc to bcc transformation. The phase transition that nucleates and grows rapidly at grain boundaries can be considered as a massive phase transition in the middle temperature region. The composition of the new phase is identical to that of the parent phase, and the phase transition does not depend on diffusion. Interfacial movement, that is, atoms jumping across the phase boundary through non-cooperative thermal activation, is the main process of massive phase transition [27]. Therefore, the nucleation and growth of bainite ferrite can be explained by the non-cooperative thermal activation transition mechanism of interfacial atoms [37]. During the incubation period of bainitic transformation, carbon-depleted zones inevitably form in supercooled austenite due to local fluctuations of carbon atoms, while grain boundaries simultaneously satisfy the conditions for structural and energy fluctuations, facilitating ferrite nucleation. At this stage, the phase interface between austenite and bainitic ferrite grows through a non-cooperative thermal activation mechanism of atomic migration [40]. The driving force primarily originates from the free enthalpy difference between austenite and bainitic ferrite [27]. The specific volume of ferrite in the cube is large, and the matrix is prone to expand in the process of supercooled austenite transformation, resulting in an increase in distortion energy. This promotes the nucleation and growth of new bainitic ferrite on the nearby carbon-poor region.
The body-centered cubic ferrite possesses a relatively large specific volume. During the transformation of supercooled austenite, the matrix tends to undergo volumetric expansion, resulting in increased distortion energy. This strain energy promotes the nucleation and growth in new bainitic ferrite in adjacent carbon-depleted zones. Through this repetitive process, parallel bainitic ferrite laths ultimately form within a single prior-austenite grain boundary.
Between these bainitic ferrite laths, carbon-enriched zones remain in the austenite due to the consumption of carbon-depleted regions. Combined with the multi-directional compressive stress exerted by the bainitic ferrite laths, these carbon-enriched austenite regions become increasingly stable. If cementite precipitation is inhibited, they may persist as carbon-enriched retained austenite or transform into secondary cementite.

3.3. Microstructure Characteristics of UCSS Steel

Figure 8 shows the microstructure of UCSS steel at room temperature. UCSS steel is mainly composed of polygonal ferrite (PF), bainite ferrite (BF), and acicular ferrite (AF). The most important factor leading to this organizational characteristic is the particularity of the CASTRIP process, which is mainly reflected in the control of solidification fundamentals, rapid cooling control, rolling process control, and chemical composition control (mainly ultra-low carbon) [1,5].
The UCSS steel was designed as an ultra-low-carbon steel, resulting in a minimal carbide content. Figure 8c,d present high-magnification SEM images of the UCSS steel. It can be seen that the content of cementite at the ferritic boundary is extremely low. The parallel arrangement of bainite ferrite is the prominent feature. Due to the low rolling reduction in the CASTRIP, only part of the original coarse austenite grains underwent recrystallization. As a result, polygonal ferrites and coarse quasi-polygonal ferrites precipitated along the grain boundary of the proto-austenite. Acicular ferrite is characterized by an interlocking fine acicular morphology with fine grains, which is not visible at low magnification.
Figure 9d shows the microhardness as measured in polygonal ferrite (Figure 9a), acicular ferrite (Figure 9b), and bainite ferrite (Figure 9c) in UCSS. The acicular ferrite shows a microhardness of about 236.7 HV, which is higher than for the bainite ferrite (190.2 HV) and the polygonal ferrite (154.9 HV). The acicular ferrite and bainite ferrite predominantly possess small-angle grain boundaries, while high-angle grain boundaries typically present in the polygonal ferrite. The prevalence of small-angle grain boundaries in acicular and bainite ferrite contributes to their relatively higher hardness compared to polygonal ferrite. Evidently, acicular ferrite and bainite ferrite play a pivotal role as the primary strengthening mechanism for enhancing the strength of the ultra-thin-strip steel matrix.
Transmission electron microscopy (TEM) was employed to examine the distribution, morphology, and fine structure of ferrite and bainitic ferrite in UCSS, as depicted in Figure 10. The room-temperature microstructure primarily consists of polygonal ferrite (PF), bainitic ferrite (BF), and acicular ferrite (AF). Quasi-polygonal ferrite was not observed in TEM due to its excessively large grain size. Figure 10a illustrates the typical morphology of polygonal ferrite, with a grain size of approximately 2~4 μm. This polygonal ferrite coexists with acicular ferrite, which is characterized by its slender and pointed morphology and intricate interlocking of ferrite units. Furthermore, high-density dislocation substructures are present in the vicinity of the acicular ferrite, leading to dislocation entanglement. Figure 10b,c show the typical morphology of bainitic ferrite. It predominantly exhibits a lamellar structure arranged in parallel. Since carbide distribution is essentially absent at the bainitic ferrite interfaces, it is termed carbide-free bainite. Additionally, bainitic ferrite grows from the grain boundaries into the grain interiors.
Figure 11 presents the morphology of bainitic ferrite and its corresponding magnified views. The lath width between the bainitic ferrite plates ranges from 0.2 to 0.5 μm. The regions between the bainite laths contain high-density dislocation substructures that aggregate to form dislocation tangles, as shown in Figure 11b,c.
Electron backscatter diffraction (EBSD) was employed to analyze the misorientation angles and grain boundary character distribution (GBCD) in UCSS. The results are presented in Figure 12. The room-temperature microstructure, shown in Figure 8, consists primarily of polygonal ferrite (PF), acicular ferrite (AF), and bainitic ferrite (BF). Figure 12a–c present the grain orientation distribution along the rolling direction in UCSS. From these figures, it is evident that distinct phases exhibit minimal misorientation differences. Acicular ferrite (AF) laths that are parallel to each other show similar orientations, while those crossing at an angle exhibit different orientations. The length of the acicular ferrite laths is approximately 5–10 μm, as shown in Figure 12e. The bainitic ferrite (BF) laths within the presented region exhibit a consistent orientation. However, several ferrite grains with differing orientations appear within the bainitic ferrite lath grains. The width of these bainitic ferrite laths is less than 5 μm, as shown in Figure 12f. Within this specific region, the bainitic ferrite lath packets tend to share a uniform orientation. The observed phenomenon is attributed to the coarse proto-austenite grains formed during the CASTRIP process. This coarse prior austenite grain structure results in a reduction in grain boundary length, thereby decreasing both the nucleation sites and the nucleation rate for the transformation of supercooled austenite. Therefore, the transformation of bainitic ferrite nucleating at the grain boundaries occurs prior to transformations within the grain interiors.
The red lines represent low-angle grain boundaries (LAGBs) of 2~15°, and the black lines represent high-angle grain boundaries (HAGBs) of >15°. It is seen in Figure 12g–i that polygonal ferrites were dominated by high-angle grain boundaries, but only accounted for about 10% in UCSS. Acicular ferrite and bainite ferrite were dominated by low-angle grain boundaries, accounting for 77.0% and 73.9%, respectively. The high frequency of low-angle grain boundaries indicates the existence of a large number of substructures, which were also observed in the TEM image in Figure 11. Low-angle grain boundaries had low energy and strong binding force, and are not easily exchanged with solute atoms and dislocations, which could reduce or prevent the generation of microcracks, and these low-energy grain boundaries can hinder the propagation of microcracks [41].

3.4. Microstructure Characteristics of Heat-Treated Specimens

TEM micrographs for the typical bainitic ferrite morphologies of the 2#-3# specimens are shown in Figure 13. The bainite ferrite of the three specimens nucleated from the grain boundary, similar to the bainite nucleation mechanism of UCSS. The bainite ferrite content in the air-cooled specimen is very low, and the width of the bundle is about 529 nm, which is mainly sandwiched at multiple polygonal ferrite interfaces (Figure 13a). The size of lath bundles of bainite ferrite in the specimens after water cooling and brine cooling appears larger. A small quantity of fine polygonal ferrite formed prior to the development of bainite ferrite in the water-cooled specimen (Figure 13b), while in the brine-cooled specimen, the bainite ferrite developed almost perpendicularly to the grain boundaries (Figure 13c).
EBSD analysis of heat-treated UCSS steel characterized grain misorientation, grain boundary orientation distribution, and geometrically necessary dislocation (GND) density (Figure 14). Inverse pole figure (IPF) maps for specimens 2#, 3#, and 4# (Figure 14a–c) utilize red, green, and blue to denote <001>, <101>, and <111> orientations, respectively, where uniformly colored regions indicate grains with analogous crystallographic orientations. This revealed significant orientation variations among polygonal ferrite grains. In grain boundary orientation maps, red and black lines represented low-angle (2–15°, LAGBs) and high-angle (>15°, HAGBs) boundaries, respectively. Statistical analysis of grain misorientation (Figure 14j–l) demonstrated a marked increase in 40–60° misoriented grains with decreasing polygonal ferrite content, primarily attributed to bainitic ferrite growth originating at polygonal ferrite interfaces.
As can be seen from Figure 14d, the polygonal ferrite is predominantly characterized by high-angle grain boundaries (HAGBs), accounting for 72.3% in specimen 2#. On the contrary, as can be seen from Figure 14e,f, the acicular ferrite and bainitic ferrite primarily exhibit low-angle grain boundaries (LAGBs), resulting in a 69.0% LAGB proportion in specimens 3# and 4#. As the volume fraction of polygonal ferrite decreases, the proportion of LAGBs increases while that of HAGBs decrease. The high frequency of LAGBs indicates abundant dislocation substructures within the microstructure, as evidenced in Figure 13 and Figure 14i. These low-energy grain boundaries possess low interfacial energy and strong binding forces, limiting exchange capacity with solute atoms/dislocations. Consequently, they effectively suppress microcrack initiation and hinder microcrack propagation [42].
The microstructure comparison of the above heat treatment processes with the UCSS process shows that under ultra-fast cooling, acicular ferrite has a cross-interlocking structure and a high dislocation density, with fine grains (as shown in Figure 3). Therefore, increasing the proportion of acicular ferrite can significantly enhance the yield strength. Moreover, the high grain boundary density of acicular ferrite makes it easier to arrest crack propagation or cause the main and secondary cracks to undergo large-angle deflection in the previous propagation direction [13,14], thereby improving the toughness of UCSS. Meanwhile, bainitic ferrite also has a high dislocation density and makes a significant contribution to strength, but it reduces the plasticity of the steel. On the other hand, polygonal ferrite is a soft phase with good plasticity. This is the reason why UCSS steel has high strength under ultra-low-carbon conditions and also possesses acceptable plasticity. In UCSS, bainitic ferrite has the highest dislocation density, and its laths are relatively coarse, with a small amount of cementite usually distributed between the laths. This is the main reason for the increase in strength and the decrease in plasticity. Therefore, for a good strength–plasticity balance, the content of bainitic ferrite needs to be appropriately controlled, the volume fraction of acicular ferrite can be appropriately increased, and the volume fraction of polygonal ferrite should be adjusted according to the strength requirements. From the above summary, it can be concluded that the conditions for easily obtaining acicular ferrite are as follows: first, using fine and uniformly distributed spherical oxides; second, controlling the quenching cooling rate near the critical cooling rate of bainitic ferrite.

3.5. Influence of the Alloy Elements

The introduction of P and Sb elements into BCC steel is likely to produce grain boundary segregation, resulting in the reduction in the second type of tempered brittleness or impact toughness. In Fe-Sb alloys, the critical amount of Sb for grain boundary segregation is about 0.1% [28,30,38]. Compared to other alloying elements, the segregation of Cu and Nb is slighter. Nb is prone to combine with C and N in steel to form fine and dispersed carbides, nitrides, or complex carbonitrides (such as NbC, NbN, or Nb(C,N)), which is the typical existence form of Nb in steel. Due to the relatively high solubility, Cu can be completely dissolved in the austenite region and partially dissolved in ferrite. When the solubility limit is exceeded, the ε-Cu phase will precipitate [40,41]. Therefore, the solid solubility of Cu, P, Sb, and Nb elements in the matrix and at the grain boundaries was tested through SIMS. The results showed the distribution of Cu, P, and Sb elements at the grain boundaries of UCSS. As shown in Figure 15a,b, the elements Cu, P, Sb, and Nb are uniformly distributed in the matrix (represented by small yellow spots in the image). P, Sb, and Nb exhibit more uniform solid solubility compared to Cu, with no significant segregation observed at the grain boundaries for all four elements. A trace amount of alloying elements is completely dissolved in the matrix under the ultra-fast cooling process, leading to solid solution strengthening. This is also an important feature of the CASTRIP process.
The cooling rate of traditional hot-rolled steel strips is relatively low, and alloy elements are prone to combine with C/N to form carbon nitrides, which consume the solute elements. Ultra-fast cooling enables the matrix to rapidly traverse the precipitation temperature range and prevents the corrosion-resistant elements such as Cu, P, and Sb from segregating at the grain boundaries, which not only prevents grain boundary brittleness but also ensures the uniform distribution of solute atoms [43,44]. Because of the low carbon content in UCCS, the contribution of precipitation strengthening is slight, while the contribution of solute strengthening becomes dominant [43]. In low-alloy steel, the increase in strength caused by the solid solution of solute atoms can be expressed as Formula (1) [45]:
σ s = 37 Mn + 83 Si + 59 Al + 38 Cu + 11 Mo + 33 Ni 30 Cr + 680 P + 2918 N
where [M] represents the mass percentage of the uniform element. According to the spectral analysis of the UCSS specimen, the increment caused by solid solution strengthening is about 119 MPa. Evidently, the obtained high strength of UCSS steel is mainly associated with the phase transformation strengthening, dislocation strengthening, and solution strengthening.

4. Conclusions

The microstructure of UCSS steel is predominantly composed of polygonal ferrite, bainitic ferrite, and acicular ferrite. Notably, the acicular ferrite exhibits a cross-interlocked morphology, and both it and the lath bundles within the bainitic ferrite develop a high density of dislocation substructures. During subsequent heat treatment, increasing the cooling rate reduces the polygonal ferrite content. This microstructural shift significantly elevates the density of geometrically necessary dislocations. Consequently, while this dislocation strengthening mechanism enhances the yield strength, it concurrently leads to a reduction in elongation. Critically, the casting and rolling process employed enables ultra-fast cooling rates. This rapid cooling promotes the formation of fine inclusions located within carbon-poor regions. These inclusions play a pivotal role by acting as potent nucleation sites, facilitating the substantial development of acicular ferrite around them, thereby further increasing the steel’s strength. Furthermore, under the specific CASTRIP process, alloying elements Cu, P, Sb, and Nb are exclusively dissolved in the matrix with no measurable grain boundary segregation. This behavior indicates that these elements contribute to strength primarily via the typical solid solution strengthening mechanism, rather than through effects related to grain boundaries.

Author Contributions

Conceptualization, H.D. and X.L.; methodology, H.L. (Hengchang Lu); software, H.L. (Hengchang Lu) and K.L.; validation, X.L., Q.F. and H.L. (Hualong Li); formal analysis, L.C.; investigation, X.L.; resources, H.D. and X.L.; data curation, L.C.; writing—original draft preparation, K.L.; writing—review and editing, K.L.; visualization, L.C.; supervision, H.L. (Hualong Li); project administration, Q.F.; funding acquisition, H.D. and H.L. (Hualong Li). All authors have read and agreed to the published version of the manuscript.

Funding

This research received no external funding.

Data Availability Statement

The original contributions presented in the study are included in the article, further inquiries can be directed to the corresponding author.

Acknowledgments

We are grateful to Xintong Lian, Shanghai University, for constructive suggestions in an early stage of the research.

Conflicts of Interest

The authors declare no conflicts of interest.

References

  1. Sosinsky, D.J.; Campbell, P.; Mahapatra, R.; Blejde, W.; Fisher, F. The CASTRIP process—Recent developments at Nucor steel’s commercial strip casting plant. Metallurgist 2008, 52, 691–699. [Google Scholar] [CrossRef]
  2. Killmore, C.R.; Edelman, D.G.; Carpenter, K.R.; Kaul, H.R.; Williams, J.G.; Campbell, P.C.; Blejde, W.N. Recent Product Developments with Ultra-Thin Cast Strip Products Produced by the CASTRIP® Process. Mater. Sci. Forum 2010, 654, 198–201. [Google Scholar] [CrossRef]
  3. Nikolai, Z. Comparison of Continuous Strip Casting with Conventional Technology. Trans. Iron Steel Inst. Jpn. 2003, 43, 1115–1127. [Google Scholar]
  4. Shi, H.; Feng, Q.; Dong, H.; Shi, Y.; Zhou, D.; Li, H. Development Status of Shasteel’s Ultra-thin Cast Strip Twin-roll Casting and Rolling Process and Weatherproof Steel for Ultra-thin Cast Strip. Shanghai Met. 2010, 42, 52–57. [Google Scholar]
  5. Kelvin, Y.X.; Lan, Y.; Chen, Z.; Cairney, J.M.; Killmore, C.R.; Barbaro, F.J.; Williams, J.G.; Ringer, S.P. Effect of Nb Microalloying and Hot Rolling on Microstructure and Properties of Ultrathin Cast Strip Steels Produced by the CASTRIP Process. Metall. Mater. Trans. A 2011, 42, 2199–2206. [Google Scholar]
  6. Chen, C.Y.; Yang, J.R.; Chen, C.C.; Chen, S.F. Microstructural characterization and strengthening behavior of nanometer sized carbides in Ti-Mo microalloyed steels during continuous cooling process. Mater. Charact. 2016, 114, 18–29. [Google Scholar] [CrossRef]
  7. Shrestha, S.L.; Zhu, C.; Proust, G.; Barbaro, F.; Killmore, C.R.; Carpenter, K.; Kaul, H.; Xie, K.Y.; Ringer, S.P.; Cairney, J.M. An overview of the effect of Nb in strengthening Castrip® steel. Mater. Sci. Forum 2013, 753, 559–562. [Google Scholar] [CrossRef]
  8. Carpenter, K.R.; Killmore, C.R. The Effect of Nb on the Continuous Cooling Transformation Curves of Ultra-Thin Strip CASTRIP© Steels. Metals 2015, 5, 1857–1877. [Google Scholar] [CrossRef]
  9. Killmore, C.; Carpenter, K.; Kaul, H.; Williams, J.G.; Edelman, D.G.; Campbell, P.C.; Blejde, W.N. Development of a family of high strength low carbon microalloyed ultra-thin cast strip products produced by the CASTRIP® Process. In Proceedings of the Materials Science and Technology Conference 2010 (MST 2010), Houston, TX, USA, 17–21 October 2010; pp. 1711–1726. [Google Scholar]
  10. Sls, A.; Kyx, B.; Chen, Z.A.; Ringer, S.P.; Killmore, C.; Carpenter, K.; Kaul, H.; Williams, J.G.; Cairney, J.M. Cluster strengthening of Nb-microalloyed ultra-thin cast strip steels produced by the CASTRIP process. Mater. Sci. Eng. A 2013, 568, 88–95. [Google Scholar]
  11. Killmore, C.R.; Phillips, A.; Creely, H.; Phillips, A.; Kaul, H.; Campbell, P.; Schueren, M.; Williams, J.G.; Blejde, W. Development of ultra-thin cast strip products by the CASTRIP® process. Mater. Forum 2008, 32, 13–28. [Google Scholar]
  12. Ravi, A.M.; Kumar, A.; Herbig, M.; Sietsma, J.; Santofimia, M.J. Impact of austenite grain boundaries and ferrite nucleation on bainite formation in steels. Acta Mater. 2020, 188, 424–434. [Google Scholar] [CrossRef]
  13. Ricks, R.A.; Howell, P.R.; Barritte, G.S. The nature of acicular ferrite in HSLA steel weld metals. J. Mater. Sci. 1982, 17, 732–740. [Google Scholar] [CrossRef]
  14. Pu, Y.; Hu, B.; Yin, F.; Chen, X. Nucleation of intragranular ferrite at oxide particles in low carbon steel. J. Univ. Sci. Technol. Beijing 2006, 28, 357–360. [Google Scholar]
  15. Liang, D.; Zhu, Y.; Zhou, L.; Fang, W.S. Acicular ferrite and its heterogeneous nucleation mechanism in steels. Heat Treat. Met. 2011, 36, 105–110. [Google Scholar]
  16. Mills, A.R.; Thewlis, G.; Whiteman, J.A. Nature of inclusions in steel weld metals and their influence on formation of acicular ferrite. Mater. Sci. Technol. 1987, 3, 1051–1061. [Google Scholar] [CrossRef]
  17. Wang, J.; Wang, Z.; Wang, X.; Yang, Q.; Jin, X.; Wang, L. Strengthening effect of nanoscale precipitation and transformation induced plasticity in a hot rolled copper-containing ferrite-based lightweight steel. Scr. Mater. 2017, 129, 25–29. [Google Scholar] [CrossRef]
  18. Zheng, J.; Peng, Z.X.; Yuan, Y.; Zhenhua, H.; Zexi, Y.; Jing, L. Effect of Cu /Sb /Sn /Mo /W on Structure and Mechanical Properties of New National Standard 09CrCuSb Steel. Spec. Steel 2023, 44, 84–89. [Google Scholar]
  19. Lu, T. Analysis on the formation and improvement measures of surface cracks in 09CrCuSb slab. Anhui Univ. Technol. 2016, 13, 2–8. [Google Scholar]
  20. Huo, W.; Liu, X.; Hu, X. Study on Ultimate Cooling Rate During ACC of Heavy Plates. J. Northeast. Univ. 2011, 32, 60. [Google Scholar]
  21. Lu, C.; Sun, X.; Fang, J. Dynamic continuous cooling transformation curve of Q690 D high strength steel. PTCA (Part A Phys. Test.) 2024, 60, 12–16. [Google Scholar]
  22. Nie, Y. Effect of Cooling Rate on Microstructure and Mechanical Properties of Fe-Mn-Al-C High Strength Low Density Steel; Chongqing University: Chongqing, China, 2020. [Google Scholar]
  23. Zhu, X.; Xue, P.; Li, W. Effect of water quenching processing parameters on the mechanical properties of a cold rolled C-Mn containing sheet steel. Baosteel Tech. Res. 2019, 13, 19–26. [Google Scholar]
  24. Campbell, P.; Blejde, W.; Mahapatra, R.; Wechsler, R. Recent progress on commercialization of castrip® direct strip casting technology at Nucor. Crawfordsville Metall. 2004, 48, 507–514. [Google Scholar] [CrossRef]
  25. Chen, D.; Wang, Z.; Zhang, Y.; Lian, H.; Shang, Y.; Fan, M.; Dai, L.; Sun, L.; Cui, Y.; Zhang, Z. Effects of thermo-mechanical treatments on the microstructure and mechanical properties of a 460 MPa grade low carbon bainitic ferrite steel. Mater. Sci. Eng. A 2022, 842, 143087. [Google Scholar] [CrossRef]
  26. Wu, B.; Wang, Z.; Shang, C.; Yang, Z.; Zhang, C.; Elhefnawey, M.; Li, L. Effects of acicular ferrites on crystallography and incomplete transformation of low-carbon low-alloy steel. J. Mater. Res. Technol. 2024, 30, 1572–1581. [Google Scholar] [CrossRef]
  27. Hou, Z.; Zhao, X.; Hou, W.; Liang, W. Exploration of γ-α Transformation Mechanism in Pure Iron. J. Mater. Heat Treat. 2001, 22, 1–3. [Google Scholar]
  28. Liu, Z.C.; Ren, H.; Wang, H. The Mechanism of Bainite Transformation and The Massive Transformation. Heat Treat. Technol. Equip. 2006, 27, 2–5. [Google Scholar]
  29. Gladman, T.; Dulieu, D.; McIvor, I.D. Structure-Property Relationships in High-Strength Microalloyed Steels. In Proceedings of the Symposium on Microalloying, Rome, Italy, 9–12 November 1976; Volume 75, pp. 32–55. [Google Scholar]
  30. Hao, H.; Ding, M. Thermodynamic Analysis on Phase Transformation of Acicular Ferrite in Weld of 10Ni5CrMoV Steel. Electr. Weld. Mach. 2022, 52, 81–88. [Google Scholar]
  31. Wang, C.; Yong, Q.; Sun, X.; Liang, J. Study on the microstructure and mechanical properties of 30 GPa·% grade hot rolled medium carbon-TRIP steels. Mater. Sci. Technol. 2014, 22, 61–67. [Google Scholar]
  32. Zeng-shou, H. Probe into the γ-α Transformation Mechanism of Pure Iron. Trans. Mater. Heat Treat. 2001, 22, 101276896. [Google Scholar]
  33. Farrar, R.A.; Harrison, P.L. Acicular ferrite in carbon-manese weld metals. An overview. J. Mater. Sci. 1987, 22, 3812–3820. [Google Scholar] [CrossRef]
  34. Shigesato, G.; Sugiyama, M. Development of in situ observation technique using scanning ion microscopy and demonstration of Mn depletion effect on intragranular ferrite transformation in low-alloy steel. J. Electron. Microsc. 2002, 6, 51. [Google Scholar] [CrossRef] [PubMed]
  35. Stewart, J.W.; Charles, J.A.; Wallach, E.R. Iron-phosphorus-carbon system. Part I to III. Mater. Sci. Technol. 2000, 16, 275–303. [Google Scholar] [CrossRef]
  36. Gutierrez, I.; Altuna, M. Work-hardening of ferrite and microstructure-based modelling of its mechanical behaviour under tension. Acta Mater. 2008, 56, 4682–4690. [Google Scholar] [CrossRef]
  37. Wechsler, R. The status of twin-roll casting technology. Scand. J. Metall. 2003, 32, 58–63. [Google Scholar] [CrossRef]
  38. Li, Z.; Li, C.; Wang, P.; Zhang, S.; Cheng, L.; Du, W. Superfine Ce Oxide-Induced Precipitation Behavior of Copper in Steel. Mater. Sci. Eng. 2019, 472, 012037. [Google Scholar] [CrossRef]
  39. Liu, Z.; Ji, Y.; Ren, H. Nucleation and Growth of Bainitic Transformation—A New Mechanism of Bainitic Transformation. Heat Treat. Technol. Equip. 2017, 38, 1–7. [Google Scholar]
  40. Liang, C.; Song, G.; Wang, W.; Sohn, I.; Zeng, J. In situ observation of the austenite to ferrite transformation in low-carbon steels from different initial phases at defined cooling rates. J. Mater. Res. Technol. 2024, 28, 2116–2126. [Google Scholar] [CrossRef]
  41. Zhang, J.; Jiang, Y.; Zheng, W.; Liu, Y.; Addad, A.; Ji, G.; Song, C.; Zhai, Q. Revisiting the formation mechanism of intragranular κ-carbide in austenite of a Fe-Mn-Al-Cr-C low-density steel. Scr. Mater. 2021, 199, 113836. [Google Scholar] [CrossRef]
  42. Gao, J.; Jiang, S.; Zhao, H.; Huang, Y.; Zhang, H.; Wang, S.; Wu, G.; Wu, Y.; Wu, H.; Davydov, A.; et al. Enhancing strength and ductility in a near-medium Mn austenitic steel via multiple deformation mechanisms through nanoprecipitation. Acta Mater. 2022, 243, 118538. [Google Scholar] [CrossRef]
  43. Cui, G.; Guo, B.; Yang, S.; Xinlai, H.E. The influence of the interface between grain boundary ferrite and pre-existing austenite on the bainite transformation in low-carbon steel. Acta Metall. Sin. 2009, 45, 680–686. [Google Scholar]
  44. Zhu, C.Y.; Zeng, J.; Wang, W.L. Twin-roll strip casting of advanced metallic materials. Sci. China Technol. Sci. 2022, 65, 493–518. [Google Scholar] [CrossRef]
  45. Yang, Z.G. Discussions on Nucleation Mechanism of Intragranular Ferrite in Inclusions. Heat Treat. Met. 2005, 30, 21–23. [Google Scholar]
Figure 1. UCSS and heat treatment process diagram.
Figure 1. UCSS and heat treatment process diagram.
Crystals 15 00595 g001
Figure 2. The dimensions of tensile specimens.
Figure 2. The dimensions of tensile specimens.
Crystals 15 00595 g002
Figure 3. Room-temperature microstructures under different cooling rates observed by OM: (a) 1#; (b) 2#; (c) 3#; (d) 4#; (e) annealed specimen; (f) volume fraction of polygonal ferrite.
Figure 3. Room-temperature microstructures under different cooling rates observed by OM: (a) 1#; (b) 2#; (c) 3#; (d) 4#; (e) annealed specimen; (f) volume fraction of polygonal ferrite.
Crystals 15 00595 g003
Figure 4. Engineering stress–strain curves for UCSS and heat-treated specimens.
Figure 4. Engineering stress–strain curves for UCSS and heat-treated specimens.
Crystals 15 00595 g004
Figure 5. The transformation process of undercooled austenite observed by LSCM: (a) primitive austenite grains; (b) polygonal ferritic nuclear growth; (c) acicular ferritic nuclear growth; (d) bainite ferritic nuclear growth.
Figure 5. The transformation process of undercooled austenite observed by LSCM: (a) primitive austenite grains; (b) polygonal ferritic nuclear growth; (c) acicular ferritic nuclear growth; (d) bainite ferritic nuclear growth.
Crystals 15 00595 g005
Figure 6. Observation of typical composite inclusions in UCSS by SEM: (a) inclusion morphology and element distribution; (b) EDS line scanning results.
Figure 6. Observation of typical composite inclusions in UCSS by SEM: (a) inclusion morphology and element distribution; (b) EDS line scanning results.
Crystals 15 00595 g006
Figure 7. Quantitative statistical analysis of inclusions by OTS: (a) UCCS specimen (1#); (b) heat-treated and air-cooled specimen (2#).
Figure 7. Quantitative statistical analysis of inclusions by OTS: (a) UCCS specimen (1#); (b) heat-treated and air-cooled specimen (2#).
Crystals 15 00595 g007
Figure 8. SEM observation of the microstructure of the UCSS steel specimen (1#): (a) Low-magnification tissue; (bd) Typical topography at high magnification.
Figure 8. SEM observation of the microstructure of the UCSS steel specimen (1#): (a) Low-magnification tissue; (bd) Typical topography at high magnification.
Crystals 15 00595 g008
Figure 9. Microhardness test locations for UCSS (The yellow arrows are the hardness test points): (a) PF; (b) AF; (c) BF; and the corresponding hardness (d).
Figure 9. Microhardness test locations for UCSS (The yellow arrows are the hardness test points): (a) PF; (b) AF; (c) BF; and the corresponding hardness (d).
Crystals 15 00595 g009
Figure 10. TEM microstructures of UCSS steel specimens: (a) Typical polygonal ferrite topography; (b,c) Typical bainite ferrite topography; (d) Typical acicular ferrite and dislocations.
Figure 10. TEM microstructures of UCSS steel specimens: (a) Typical polygonal ferrite topography; (b,c) Typical bainite ferrite topography; (d) Typical acicular ferrite and dislocations.
Crystals 15 00595 g010
Figure 11. TEM morphology of bainite ferrite. (a) Bainite lath; (b) Dislocation substructure; (c,d) Dislocations are tangled.
Figure 11. TEM morphology of bainite ferrite. (a) Bainite lath; (b) Dislocation substructure; (c,d) Dislocations are tangled.
Crystals 15 00595 g011
Figure 12. EBSD mapping on a cross-section of the UCSS steel specimen showing (ac) orientation maps, (df) grain boundary distribution, and (gi) grain boundary misorientation distribution.
Figure 12. EBSD mapping on a cross-section of the UCSS steel specimen showing (ac) orientation maps, (df) grain boundary distribution, and (gi) grain boundary misorientation distribution.
Crystals 15 00595 g012
Figure 13. Characteristics of ferrite structures formed under different cooling conditions by TEM: (a) 2#; (b) 3#; (c) 4#.
Figure 13. Characteristics of ferrite structures formed under different cooling conditions by TEM: (a) 2#; (b) 3#; (c) 4#.
Crystals 15 00595 g013
Figure 14. EBSD mapping of heat-treated specimens showing (ac) orientation map, (df) grain boundary distribution, and (gi) geometrically necessary dislocations (Green is GNDs). (jl) Corresponding grain boundary misorientation distribution. Each row of specimens from left to right represents 2#, 3#, and 4#.
Figure 14. EBSD mapping of heat-treated specimens showing (ac) orientation map, (df) grain boundary distribution, and (gi) geometrically necessary dislocations (Green is GNDs). (jl) Corresponding grain boundary misorientation distribution. Each row of specimens from left to right represents 2#, 3#, and 4#.
Crystals 15 00595 g014
Figure 15. Solid solubility distribution of each element in the UCSS specimen by SIMS: (a) Cu; (b) P; (c) Sb; (d) Nb.
Figure 15. Solid solubility distribution of each element in the UCSS specimen by SIMS: (a) Cu; (b) P; (c) Sb; (d) Nb.
Crystals 15 00595 g015
Table 1. Chemical composition of the experimental steel (wt.%).
Table 1. Chemical composition of the experimental steel (wt.%).
SpecimenCSiMnPSCuNbSb
UCSS0.0220.600.600.0400.00320.400.0390.10
Table 2. Mechanical properties of the test steels.
Table 2. Mechanical properties of the test steels.
SpecimenReL/MPaRm/MPaA/%
Original specimen6656925.54
Normalizing35849221.86
Water quenching45657212.91
Ice-brine quenching6326607.13
Disclaimer/Publisher’s Note: The statements, opinions and data contained in all publications are solely those of the individual author(s) and contributor(s) and not of MDPI and/or the editor(s). MDPI and/or the editor(s) disclaim responsibility for any injury to people or property resulting from any ideas, methods, instructions or products referred to in the content.

Share and Cite

MDPI and ACS Style

Lei, K.; Chen, L.; Lu, H.; Lian, X.; Feng, Q.; Li, H.; Dong, H. Microstructure and Properties of Corrosion-Resistant Steel Produced by CASTRIP. Crystals 2025, 15, 595. https://doi.org/10.3390/cryst15070595

AMA Style

Lei K, Chen L, Lu H, Lian X, Feng Q, Li H, Dong H. Microstructure and Properties of Corrosion-Resistant Steel Produced by CASTRIP. Crystals. 2025; 15(7):595. https://doi.org/10.3390/cryst15070595

Chicago/Turabian Style

Lei, Kai, Long Chen, Hengchang Lu, Xintong Lian, Qingxiao Feng, Hualong Li, and Han Dong. 2025. "Microstructure and Properties of Corrosion-Resistant Steel Produced by CASTRIP" Crystals 15, no. 7: 595. https://doi.org/10.3390/cryst15070595

APA Style

Lei, K., Chen, L., Lu, H., Lian, X., Feng, Q., Li, H., & Dong, H. (2025). Microstructure and Properties of Corrosion-Resistant Steel Produced by CASTRIP. Crystals, 15(7), 595. https://doi.org/10.3390/cryst15070595

Note that from the first issue of 2016, this journal uses article numbers instead of page numbers. See further details here.

Article Metrics

Back to TopTop