Abstract
In this paper, the analysis method which coupled discrete element method (DEM) and finite element method (FEM) is used to simulate the double compaction of random packing of Cu and Al composite powders with multiple particle sizes. Cu and Al composite powders with varying particle size ratios from 1:2 to 1:5 were generated by DEM and then imported to MSC. Marc software (MSC.MARC2015 version) to construct FEM analysis. The effects of metal ratios, compaction pressure and size ratios on the relative density and von Mises stress of the compact were studied. The results show that the average relative density of the compact increases with the Al content, and the stress decreases. The stress in the Cu particle is particularly higher than that in the Al particle, mainly because the contact normal force of the Cu particle is nearly parallel at each contact surface. Therefore, the phenomenon of stress concentration is easier to occur within copper particles. When Al content is 30wt.%, the particle size difference enhances densification efficiency by up to 12.3%, as evidenced by an initial relative density increase from 0.7915 to 0.8047, primarily due to smaller Cu particles effectively filling interparticle voids. When the compaction pressure is fixed, the average relative density of the compact with the particle size ratio 1:5 is higher than the others, and the contact forces inside the particles significantly decrease.
1. Introduction
Powder metallurgy plays a key role in advanced manufacturing and offers unparalleled advantages in the fabrication of complex components with specific material properties [1,2,3]. Among the key challenges in this field, the optimal densification of composite metal powders efficiently and cost effectively remains a promising research area due to the complex interactions between particle rearrangement, plastic deformation and stress distribution [4,5,6].
Over the years, many scholars have been devoted to the study of powder densification and packing density of particles of different sizes. Y. He et al. developed a GPU based discrete cell method to simulate large scale powder compaction with wide particle size distribution, realized three level parallel computation, significantly improved the computational efficiency, and found that the failure mode of powder compaction is closely related to the width to thickness ratio of the compacted sample [7]. Olle Skrinjar et al. used the discrete cell method to analyze the cold pressing of composite powders with size ratios, revealing the predictive power of the basic assumptions in the theoretical analysis of compaction problems, and found that there is a discrepancy between the theoretical predictions and the simulation results when the volume fraction of the hard particles is high [8]. David T Gethin et al. used a discrete deformation element method to simulate the compaction process of a mixture of plastic and brittle powders, capturing the fracture mechanism of brittle particles and the effectiveness of plastic particles in preventing fragmentation of brittle particles [9]. E. Olsson et al. combined a material model of dried cemented carbide particles and imported it into a discrete unit method simulation to simulate uniaxial mold compaction experiments, which showed that the simulation predictions matched well with the experimental results within a certain density range, revealing the strain hardening behavior of the powder particles during the compaction process [10]. Antonios simulated the powder compaction process by fully discretizing the particles through a 2D finite element method, considering inter particle friction and mechanical behavior, and found that inter particle friction has an effect on the macroscopic response in the early stages of compaction. A significant rearrangement of the particles occurs, even in the highly constrained compaction modes. The absence of friction promotes inhomogeneous deformations of the compacted entities, and at medium relative densities, which are subjected to looser constraints, the particles may undergo fragmentation [11].
Metal composites have high electrical and thermal conductivity, and Cu and Al composites exhibit a synergy of lightness and corrosion resistance, which has great promise for modern engineering, making them indispensable for aerospace, robotics, and automotive energy applications [12,13,14,15]. Zou et al. (2025) demonstrated that tailored particle size ratios in W-Cu composites improve sintering density by 12% through enhanced particle rearrangement [16]. These findings align with our focus on Cu and Al systems with varying size ratios. However, numerical simulation has become a necessary tool for scholars to conduct experiments on composites in recent years due to the size differences between particles and material parameters, which make composites not entirely suitable for traditional molding experiments [17,18]. For instance, Zhang et al. (2022) investigated the dispersion of reinforcing microparticles in metal matrix composites during additive manufacturing, demonstrating that optimized particle size gradients reduce porosity by 15% [19]. Similarly, Wang et al. (2019) utilized a coupled DEM-FEM approach to analyze Fe-Al composite powder compaction, highlighting stress localization in harder phases under high pressure [20]. These works underscore the necessity of multi scale modeling for heterogeneous systems [21]. Numerical simulation can accurately analyze the microscale deformation mechanism, stress distribution and pore evolution, as well as efficiently optimizing the pressing parameters, while accurately revealing the interactions between particle geometries and compositions [22,23,24,25].
Most domestic and international studies in recent years have explored the densification mechanism of single size powders, and there are problems such as models oversimplifying particle interactions or neglecting the synergistic effects of size differences and material heterogeneity, which leads to discrepancies between simulation and experimental results [26]. The interplay between material plasticity and stress distribution is critical. Deng et al. (2019) studied spark plasma sintering of tungsten powders, showing that localized plasticity dominates densification at high pressures [27]. Furthermore, Pan et al. (2024) analyzed fatigue failure in titanium alloys, emphasizing that softer phases (e.g., Al) mitigate stress concentrations through plastic deformation [28]. These studies validate our observations of stress reduction in Al-rich compacts. Although empirical formulations such as the Peiyun Huang and Heckel equations provide macroscopic insights, they are unable to address the microscopic stress evolution or deformation differences between different particles, limiting the accuracy of predictions for composite systems [29,30,31].
In this paper, DEM-FEM is used to simulate the double compaction of Cu and Al composite powders with different particle size ratios and Al contents, to rigorously validate the model accuracy based on empirical formulas, and to systematically analyze the interactions of the particle size difference, Al content, and compaction force on the densification kinetics. The results show that increasing the particle size difference improves the densification efficiency by allowing small particles to fill the voids, whereas higher Al content increases the relative density but decreases the internal stresses due to the pronounced plastic deformation of Al. Crucially, we demonstrate that stress concentrations in Cu particles remain even at high pressures, emphasizing the need for particle-specific deformation analysis.
The findings solidify the fundamental understanding of composite powder pressing for academics and provide an efficient predictive framework for optimizing industrial processes. By linking micromechanics to macroscopic densification trends, it points the way to designing powder metallurgy techniques for heterogeneous materials, and the results of the study can be used to comply with the manufacturing production of lightweight, high-strength components for global aerospace and automotive industries.
2. Materials and Methods
2.1. Molding Analysis of Mixed Metal Powder Particles at a Particle Size Ratio of 1:2
2.1.1. Geometric Modeling
Around 1970, a large number of scholars began to study the yield conditions of metal powder materials. All of them derived different forms of yield conditions based on von Mises yield conditions and considering the effects of porosity as well as hydrostatic pressure, among which the commonly used ellipsoidal yield criterion of Shima [32] is shown in Table 1, and the stress–strain curves of sintered Cu powders with different densities, combined with the classical von Mises theory, were used to derive the yield criterion for Cu powder, Al powder and iron powder. According to the material model selected in this paper, the modified Shima–Oyane model is used for the simulation of the metal powder molding process when the analysis is based on continuum mechanics. For sintered metals, the yield criterion expression is given as
where is the degree of influence of hydrostatic stress as a function of relative density as the porous material begins to yield. And is related to the equivalent yield stress of the base metal, so the expression can also be written as
where is also a function of relative density.
Table 1.
Commonly used yield criterion.
Meanwhile, the study used two classical empirical models, Heckel (3) and Huang Peiyun (Equation (4)) for the analysis of powder densification behavior. The detailed information of the equation is shown in Table 2. In the study of powder molding, Prof. Huang Peiyun considered the characteristics of nonlinear elastomeric body of powder body and the laws such as the large change in strain during molding, and proposed the theory of double logarithmic compression based on theoretical derivation and experimental verification. Experimental research has been carried out for the molding process and isostatic pressing process of many kinds of metal powders, which verifies the correctness of the double logarithmic theory. It is also shown that the theory is applicable to the isostatic pressing process [33]. The Heckel equation describes the relationship between the relative density and the applied pressure in the powder pressing process, which is suitable for fitting verification in numerical simulation studies [34].
Table 2.
Empirical equations of ‘Heckel and Huan Peiyun’.
In this section, finite element simulation and analysis of the double compaction process of Cu and Al mixed metal powder particles is carried out, and two hundred particles are used in the model for simulation. Firstly, the number of two kinds of powder particles are calculated according to the mass fractions of metal powders, respectively, and then an initial stacking model of the mixed powder particles is generated by the discrete element method to derive the position and radius of the two kinds of metal particles. The data are then imported into the MSC. Marc and the Mesh division is performed for each particle. The von Mises intrinsic model is used in the simulation. The expression is the same as Equation (5). Figure 1 presents a schematic diagram of the stacking structure of different Al contents when the particle size ratio is 1:2, where the Al contents of (a)–(f) are 15 wt.%, 20 wt.%, 25 wt.%, 30 wt.%, 35 wt.% and 40 wt.%, respectively. The pink particles are Al particles with a radius of 0.5 mm, and the orange particles are Cu particles with a radius of 0.25 mm. The random stacking structure parameters of the six mixed metal powders with different Al contents are shown in Table 3 [35].
where , and are the Cauchy principal stresses along the three principal axis directions, respectively.
Figure 1.
Schematic diagram of different Al content with size ratio 1:2. Al contents of (a–f) are 15 wt.%, 20 wt.%, 25 wt.%, 30 wt.%, 35 wt.% and 40 wt.%.
Table 3.
Random packing structure parameters of mixed metal powder.
In the simulation, the upper and lower die punches and molds are set as rigid bodies, and the powder particles are set as elastic plastic deformers, and the von Mises yield function is used as the material model for the two powder particles.
The friction between the particles and the inner wall surface of the mold are modeled by the Coulomb model and set to a constant of 0.2. The parameters of the Cu material are shown in Table 4 [36] and the parameters of the Al material are shown in Table 5.
Table 4.
The table of materials parameters.
Table 5.
Material parameters for Al particle.
2.1.2. Validation of Model Validity and Mesh Independence
In order to ensure the reliability of the simulation results, the von Mises model for powder particles with a particle size ratio of 1:2 was first validated by the relative density pressing force curves of mixed metal powders pressed in both directions. Figure 2 shows the relative density versus pressing force curves for six different Al contents when the particle size ratio is taken as 1:2. As can be seen from the figure, the relative densities of each Al content have basically the same trend, which is consistent with the continuum powder pressing as well as the equal size powder particles pressing law. The pressing process of each Al content can be roughly divided into three stages, the first is the stage of rapid growth of relative density, due to the different particle sizes, the displacement of small particles will be part of the large pores filled first, so that the internal pore area of the billet is reduced, and the relative density is rapidly increased. With the increase in pressing force, the particles from the elastic stage into the plastic stage, due to the low yield stress of Al particles, so the Al particles first occur larger plastic deformation and fill the adjacent pores; at this time, the Cu particles mainly occur elastic deformation. When the pressing force continues to increase, the Cu particles also undergo plastic deformation, but the degree of deformation is smaller than that of the Al particles due to the larger modulus of elasticity of the Cu particles. As the two particles together undergo plastic deformation to fill the pores, the density of the billet gradually increased, but the growth rate gradually decreased. In the third stage of the press, the relative density of the billet growth rate of the flat region increases; at this time, the billet inside the residual small pore structure reduces, but it is difficult to continue reducing the pore area through the occurrence of deformation, so the relative density tends to stabilize. From the overall analysis, when the particle size ratio is 1:2, the average relative density of the briquette increases with the increase in Al content, but in the late stage of pressing, the influence of Al content is weakened, and the difference in the relative density of the briquette is small.
Figure 2.
Variation in relative density with compaction when Al content is different.
Although the pressing law in Figure 2 is consistent with the actual powder molding law, in order to further verify the correctness of the derived data, the data in the figure were fitted with the empirical formulas of Huang Peiyun and Heckel, and the results were obtained, as shown in Figure 3a,b. When the particle size ratio is 1:2, the fitted results for the six different Al contents have an R2 value greater than 0.99 with Huang Peiyun’s formula and greater than 0.99 with Heckel’s formula. Based on the results of the data, the curve data in Figure 2 are well fitted to both empirical formulas, thus proving that the selected model is valid. According to the data results, the fit of the curve data in Figure 2 with both empirical formulas is high, thus proving that the selected model is valid. Here, the R2 value quantifies the goodness of fit between the simulation results and the empirical formulae, with values closer to 1 indicating a high degree of correlation.
Figure 3.
Fitting results of Huang Peiyun (a) and Fitting results of Heckel equation (b).
Mesh is the basis of finite element simulation calculations, so it is crucial to select an appropriate size of mesh for calculations. In this section, two kinds of sparse and dense meshes are selected for the simulation calculation of double compaction of Cu 30 wt.% Al, as shown in Figure 4. The Coarse mesh is 209 nodes and 192 cells, and the Fine mesh is 1241 nodes and 1200 cells. The relative density results obtained by the two mesh calculations differ by less than 1%, indicating that the mesh size has less influence on the simulation results, and in order to save the calculation time and improve the efficiency, the Coarse mesh in Figure 4 is selected for the subsequent simulation.
Figure 4.
The influence of mesh size on simulation result.
2.2. Numerical Simulation of Cu and Al Composite Metal Powder Particle Molding Process at Various Particle Size Ratios
In the previous section, the densification process of double compaction with different Al contents at a particle size ratio of 1:2 was investigated, and in this section, focused on the effect of particle size ratio on the densification process of powder molding by changing the particle size of metal particles. This section focuses on the effect of particle size ratio on the densification process of powder molding by changing the particle size of metal particles. Figure 5a–d shows the initial stacking models at an Al content of 30 wt.% and particle size ratios of 1:2, 1:3, 1:4, and 1:5, respectively, where the large pink particles are the Al particles with a constant radius of 0.5 mm and the small orange particles are the Cu particles. Since the mesh irrelevance has been verified in Section 2.1 by molding calculations of Cu-30 wt.% Al mixed metal powder particles at of 1:2, the mesh size shown in Coarse mesh was selected for the simulation, i.e., 209 nodes and 192 cells were selected for the mesh division. The number of particles and initial packing density parameters for the four models are shown in Table 6.
Figure 5.
Schematic diagram of Cu-30wt.%Alwith different size ratio. (a–d) shows the initial stacking models at an Al content of 30 wt.% and particle size ratios of 1:2, 1:3, 1:4, and 1:5.
Table 6.
Packing structure parameters of Cu-30wt.% mixed metal powder with different size ratio.
Although it was verified in Section 2.1 that the model is valid for a particle size ratio of 1:2, the validity of the model needs to be verified for the other three particle size ratios (1:3, 1:4, and 1:5 for particle size ratio ). The simulations of double compaction for the four geometrical models in Figure 5 show the relative density pressing force curves of the briquettes, as shown in Figure 6. The trend of the pressing curves for the four particle size ratios is basically the same, and all of them can be roughly divided into three pressing stages. The first stage is the linear stage of rapid growth of the relative density of the briquette, in which the density of the briquette is significantly increased due to the different particle sizes, and the small size Cu particles first fill the pores formed by the overlap bridge through rearrangement. In the second stage, although the relative density growth rate of the briquette slows down, it still increases significantly with the increase in pressing force. In this stage, since the yield strength of Al is smaller than that of Cu, the Al particles first undergo plastic deformation to fill the adjacent pores, and when the yield strength of Cu is reached, the Cu particles also undergo a small amount of plastic deformation to fill the pores together with the Al particles. When the pressing force continues to increase, the pore area within the billet has been very small, it is difficult to continue to fill the pores through the deformation of the two particles, so the average relative density of the billet growth rate becomes more moderate.
Figure 6.
Variation in relative density with compaction with different size ratio.
In addition, it can be seen from Figure 6 that the average relative density of the briquettes increases with the increase in the difference in particle size before the pressing force of 200 MPa, and the relative density of 1:5 is significantly higher than that of the other three cases. In the middle and late stages of pressing, the differences in the relative densities of the four particle size ratios gradually decrease, and the effect of particle size also decreases, indicating that, when the pressing force is large enough, the influence of the particle size factor can be weakened, and the densification of the briquette can be realized.
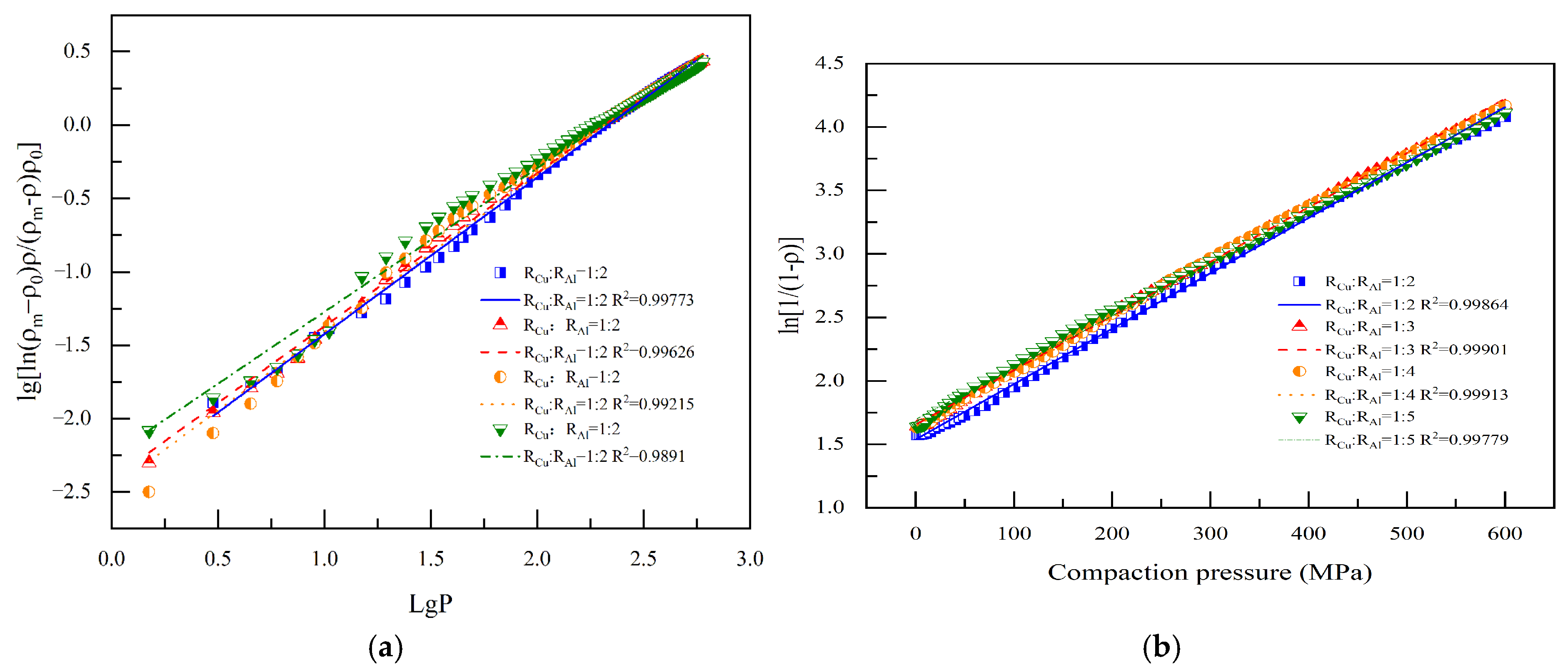
The variation curve of relative density with pressing force in Figure 6 is consistent with the actual powder pressing law, and the data in the figure are next fitted with the Huang Peiyun pressing formula and the Heckel pressing formula to further verify the accuracy of the results and the validity of the model. As shown in Figure 7, the relative densities of the press blanks with four grain size ratios are all greater than 0.989, and the relative densities calculated with Heckel’s empirical formula are all greater than 0.997. This indicates that the data in Figure 6 have a good fit with the two empirical formulas. The fit is high, which verifies the validity of the model.
Figure 7.
Fitting results of Huang Peiyun (a) and Fitting results of Heckel equation (b).
3. Results and Discussion
3.1. Stress and Deformation Analysis of Cu and Al Composite Powders
In Figure 2, the relative densities of six mixed metal powder briquettes with different Al contents are analyzed from the macroscopic scale when the particle size ratio is 1:2, and this section focuses on the equivalent Mises stress distribution inside the briquettes. Figure 8 shows the stress distribution cloud diagram of the six kinds of Al content briquettes when the pressing force is taken as 200 MPa. From the figure, it can be seen that the stresses inside the Al particles are smaller, while the stresses inside the Cu particles are larger, and the deformation amount of the Al particles is obviously larger than that of the Cu particles, which is due to the fact that the elastic modulus of the Al is smaller than that of the Cu, and if the pressing conditions are the same, the strain of the Al is higher than that of the Cu. In addition, the Al particles can consume part of the stress through deformation, reducing the internal stress of the particles, while the Cu particles are weak in deformation, triggering the internal stress concentration phenomenon. Therefore, with the increase in Al content, the stress of the press blank gradually decreases. This is consistent with the pressing law of mixed metal powder particles of equal particle size.
Figure 8.
Distribution of equivalent von Mises stress with different Al contents when compaction pressure is 200MPa. (a–f) shows the stress distribution cloud diagram of the six kinds of Al content briquettes when the pressing force is taken as 200 MPa.
The pressing force is an important factor in powder forming, and the composite metal powder with 30 wt.% Al content was selected as the research object to analyze the effect of pressing force. Figure 9a–f shows the equivalent Mises stress distribution cloud diagrams at pressing force P = 40 MPa, 100 MPa, 200 MPa, 300 MPa, 400 MPa and 500 MPa, respectively. When the pressing force is low, the stress of the particles inside the briquette is small and mainly gathered inside the Cu particles. Compared with the initial stacking model, the particles are mainly rearranged at the early stage of pressing to fill the pores with small-sized Cu particles, and at this time, the relative density of the briquette grows faster. When the pressing force continues to increase, the elastic–plastic deformation of the particles is the main focus, and the pores inside the briquette are filled by the larger deformation, which makes the briquette gradually realize the densification. However, it can be seen from the cloud diagrams that the deformation of the two particles is not the same, and the deformation of the Al particles is more obvious than that of the Cu particles, with the Al particles changing from round to polygonal, while the Cu particles are still approximately round. Due to the double compaction, the pressing force acts on the upper and lower ends of the press blank simultaneously, so the deformation degree of the particles close to the upper and lower die punch is larger, and the Cu particles in the range of this region also have more obvious deformation. In the middle of the blank, the Cu particles’ deformation is weakened; at this time, the Cu particles gathered in the area will remain some small pores, which cannot be further filled through the deformation of Cu particles.
Figure 9.
Distribution of equivalent von Mises stress under different compaction. (a–f) shows the equivalent Mises stress distribution cloud diagrams at pressing force P = 40 MPa, 100 MPa, 200 MPa, 300 MPa, 400 MPa and 500 MPa.
In order to be able to clearly identify the densification process of mixed metal powder particles with two particle sizes, the boxed structure A in Figure 9, which consists of one large-size Al particle and nine small size Cu particles, was selected for analysis. As shown in Figure 10, the equivalent Mises stress distribution cloud and morphology changes in this structure at different pressing stages are shown. Due to the small particle size and the larger number of Cu particles, the chance of contact between Al particles and Cu particles increases. The contact between Cu particles changes from point contact to linear contact, while the contact between Cu particles and Al particles changes from point contact to curved contact, which is similar to the deformation of composite powder particles with equal particle sizes, except that the curvature of the contact surfaces of the two kinds of particles is smaller when the ratio of particle sizes is different. With the increase in pressing force, both powder particles undergo deformation to reduce the internal pores, but the deformation of Al particles is dominant. The stresses inside the Cu and Al particles both increase with the increase in pressing force, but the comparison shows that the stresses in the Al particles are significantly lower than those in the Cu particles, which is mainly due to the fact that the Al particles consume part of the stresses by undergoing larger plastic deformation.
Figure 10.
(a–f) shows the variation in morphology and stress for structure A.
As shown in the contact normal force vector diagram of the structure in Figure 11, the force of the Al particles on the contact surface is more dispersed than that of the Cu particles, and the contact normal force of the Cu particles is nearly parallel at each contact surface, so it is more likely to produce stress concentration inside the Cu particles. However, compared with the composite metal powder particles of equal particle size, the contact force is smaller due to the reduction in the contact area between different particle sizes.
Figure 11.
(a–f) shows the variation in contact normal force for structure A.
Figure 12a,b shows the axial equivalent Mises stress distribution curves for the Al particles and the Cu particles marked 1 in Figure 10, respectively. Since the Al particles are in contact with more small-sized Cu particles, the internal stress changes are more complicated and uneven, but the stress changes in both particles show a trend of high on both sides and low in the middle, i.e., the stress values near the upper and lower ends of the particles are high, and the stress values near the middle height region are low, which is consistent with the direction of force transfer in double compaction. Moreover, the numerical comparison also shows that the stress value inside the Al particles is significantly lower than that of the Cu particles.
Figure 12.
Variation in axial stress for Al particle and Cu particle. (a,b) shows the axial equivalent Mises stress distribution curves for the Al particles and the Cu particles marked 1 in Figure 10.
3.2. Effect of Particle Size Ratio on Densification
Based on the macro scale analysis of four kinds of particle size ratio, when the average relative density of the billet with the change rule of pressing force, the following section is a fine scale study of the same pressing forces with different particle sizes of mixed metal powder billet internal equivalent Mises stress changes, as shown in Figure 13. With the same particle size ratio of 1:2, the stress inside the billet is mainly gathered in the Cu particles, and the stress inside the Al particles is smaller. Moreover, the degree of deformation of Cu particles is significantly smaller than that of Al particles. In addition, with the total number of particles and the mass fraction of Al, the pore area inside the briquette decreases with the increase in the difference in particle size between the two types of particles. This is due to the fact that the Cu particles with small size can fill the pores inside the briquette more easily, which reduces the number and area of large pores inside the briquette.
Figure 13.
Distribution of equivalent von Mises stress with different size ratio when compaction pressure is 200 MPa. (a–d) shows the same pressing forces with different particle sizes of mixed metal powder billet internal equivalent Mises stress changes.
Due to the gradual decrease in the particle size of Cu particles, the stress distribution and shape change in the particles inside the press blank are not easy to distinguish, so four structures, a, b, c, and d in Figure 13, are selected for analysis. As shown in Figure 14, the equivalent Mises stress distributions of the four structures at a pressing force of 200 MPa and the morphology changes are shown. The four structures contain nine, fourteen, sixteen and seventeen Cu particles, and one Al particle composition, respectively. However, the shape change in the Al particle is weakened as the difference in particle size increases, which is due to the fact that although the smaller the Cu particle size, the chance of contact between the Al particle and the Cu particle increases, the contact area decreases, and the concave arcs on the contact surface of the two particles become less pronounced. It can also be found in the particle contact normal force vector diagram in Figure 15 that the contact force inside the particles decreases significantly when the difference between the Cu and Al particle sizes increases.
Figure 14.
(a–d) shows the stress distribution for structure A, B, C and D.
Figure 15.
(a–d) shows the vector diagram of normal contact force for structure A, B, C and D.
4. Conclusions
In this paper, the double compaction of Cu and Al composite metal powders with different particle size distributions and different Al contents was numerically simulated by the DEM-FEM. The effects of Al content, particle size ratio and compaction force on the relative density of the press blanks and the equivalent Mises stress in the random stacking structure of Cu and Al particles were investigated, and the following conclusions were drawn:
- The larger the difference in the Cu and Al particle size ratio, the better the densification of the press blanks during the compact of the composite powder particles. The smaller Cu particles preferentially fill the inter-particle voids formed by the larger Al particles during the initial compaction stage, reducing the pore volume by up to 12.3% with a 1:5 size ratio. This rearrangement-dominated densification is more pronounced at lower pressures, while plastic deformation of the Al particles dominates pore filling at higher pressures. When the size ratio is changed from 1:2 to 1:5, the relative density of the briquette increases from 0.7915 to 0.8047, the critical role of particle size gradient in optimizing the pore elimination pathway is demonstrated.
- The average relative density of the briquette increases with the increase in Al content in the composite metal powder at a certain particle size ratio, but the equivalent Mises stress decreases gradually due to the excellent plasticity of Al. the Cu particles form a rigid force network that hinders densification, while the Al particles alleviate the stress concentration through large-scale plastic deformation. Under the same conditions, the stress value in Cu particles is still higher than that in Al particles.
- Inside the billet, the stress value of Cu particles is larger but the deformation is smaller. The stress value of Al particles is small, but the deformation is larger than that of Cu particles. But with the continuous increase in the difference in particle size, the deformation of Al particles began to decrease, and the comparison found that Al particles can better maintain its own shape.
Author Contributions
W.W. (Wenchao Wang) and Y.Z.: Conceptualization (equal); Data curation (equal); Formal analysis (equal); Funding acquisition (equal); Investigation (equal); Project administration (equal); Writing—original draft (equal). M.W.: Data curation (equal); Formal analysis (equal); Writing—original draft (equal). W.W. (Wenchao Wang), Y.Z., M.W., K.D., H.Q., W.W. (Wenzhe Wang) and C.L.: Writing—review and editing (equal). All authors have read and agreed to the published version of the manuscript.
Funding
This research was funded by Northeast Petroleum University Talent Introduction Research Initiation Fee Grant Program (Grant No. 13051202015) and the Northeast Petroleum University Guided Innovation Fund (Grant No. 15071202135).
Data Availability Statement
Restrictions apply to the availability of these data. Data were obtained from Yuanbo Zhao and are available Yuanbo Zhao with the permission of Yuanbo Zhao.
Acknowledgments
The authors have reviewed and edited the output and take full responsibility for the content of this publication.
Conflicts of Interest
Author Chongming Li was employed by the company CHN Energy Jilin Jiangnan Co-Generation Power Co., Ltd. The remaining authors declare that the research was conducted in the absence of any commercial or financial relationships that could be construed as a potential conflict of interest.
References
- Ding, W.; Tao, Q.; Liu, C.; Chen, G.; Yoo, S.; Cai, W.; Cao, P.; Jia, B.; Wu, H.; Zhang, D.; et al. Lean design of a strong and ductile dual-phase titanium–oxygensteel. Nat. Mater. 2025, 24, 506–512. [Google Scholar] [CrossRef] [PubMed]
- Wei, S.; Ma, Y.; Raabe, D. One step from oxides to sustainable bulk alloys. Nature 2024, 633, 816–822. [Google Scholar] [CrossRef] [PubMed]
- Wang, G.; Zhang, Y.; Liu, J.; Chen, W.; Wang, K.; Cui, B.; Zou, B.; Ouyang, Q.; Zhang, Y.; Hu, Z.; et al. Dispersion hardening using amorphous nanoparticles deployed via additive manufacturing. Nat. Commun. 2025, 16, 3589. [Google Scholar] [CrossRef] [PubMed]
- Pan, X.; Hong, Y. High-cycle and very-high-cycle fatigue of an additively manufactured aluminium alloy under axial cycling at ultrasonic and conventional frequencies. Int. J. Fatigue 2024, 185, 108363. [Google Scholar] [CrossRef]
- Liu, J.; Li, M.; Jiang, C.; Long, Y.; An, X.; Zhu, G.; Xu, H.; Xu, J. Numerical investigation on the densification of granulated porous indium tin oxide powders before compaction. Powder Technol. 2024, 438, 119676. [Google Scholar] [CrossRef]
- Wang, W.; Qi, H.; Liu, P.; Zhao, Y.; Chang, H. Numerical simulation of densification of Cu and Al mixed metal powder during axial compaction. Metals 2018, 8, 537. [Google Scholar] [CrossRef]
- He, Y.; Evans, T.J.; Yu, A.; Yang, R. A GPU-based DEM for modelling large scale powder compaction with wide size distributions. Powder Technol. 2018, 333, 219–228. [Google Scholar] [CrossRef]
- Skrinjar, O.; Larsson, P.-L. Cold compaction of composite powders with size ratio. Acta Mater. 2004, 52, 1871–1884. [Google Scholar] [CrossRef]
- Gethin, D.T.; Lewis, R.W.; Ransing, R.S. A discrete deformable element approach for the compaction of powder systems. Model. Simul. Mater. Sci. Eng. 2003, 11, 101–114. [Google Scholar] [CrossRef]
- Olsson, E.; Larsson, P.-L. A numerical analysis of cold powder compaction based on micromechanical experiments. Powder Technol. 2013, 243, 71–78. [Google Scholar] [CrossRef]
- Zavaliangos, A. A Multiparticle Simulation of Powder Compaction Using Finite Element Discretization of Individual Particles. Mater. Res. Soc. Symp. Proc. 2002, 731, W7.1.1–W7.1.7. [Google Scholar] [CrossRef]
- Sun, R.; Mi, G. Investigations on the surface temperature field of Ti–6Al and Ti–48Al alloy under continuous laser ablation. Rare Met. Mater. Eng. 2024, 53, 2405–2412. [Google Scholar]
- Wang, T.; Li, X.; Li, Z.; Liu, T.; Wang, X.; Devaraj, A.; Powell, C.A.; dos Santos, J.F. Upcycled high-strength Al alloys from scrap through solid-phase alloying. Nat. Commun. 2024, 15, 10664. [Google Scholar] [CrossRef] [PubMed]
- Zhang, W.; Jiang, H.; Liu, Y.; Hu, Y.; Palakkal, A.S.; Zhou, Y.; Sun, M.; Du, E.; Gong, W.; Zhang, Q.; et al. Metal-halide porous framework superlattices. Nature 2025, 638, 418–424. [Google Scholar] [CrossRef]
- Sun, R.; Mi, G. Influence of alloying elements content on high temperature properties of Ti–V–Cr and Ti–Al–V series titanium alloys: A JMatPro Program Calculation Study. J. Phys. Conf. Ser. 2023, 2639, 012019. [Google Scholar] [CrossRef]
- Zou, Q.; Wu, D.; Yu, X.; Li, M.; An, X.; Jie, J. Elaborating Cu-network structure of W@20Cu composites with Cu-coated W powders via oscillating pressure sintering. J. Alloys Compd. 2025, 1014, 178629. [Google Scholar] [CrossRef]
- Zheng, W.; Shi, Y.; Zhao, L.; Jia, S.; Li, L.; Gan, C.L.; Zhang, D.; Guo, Q. Realizing reversible phase transformation of shape memory ceramics constrained in Al. Nat. Commun. 2023, 14, 7103. [Google Scholar] [CrossRef]
- Zhang, M.; Zhao, N.; Yu, Q.; Liu, Z.; Qu, R.; Zhang, J.; Li, S.; Ren, D.; Berto, F.; Zhang, Z.; et al. On the damage tolerance of 3-D printed Mg-Ti interpenetrating-phase composites with bioinspired architectures. Nat. Commun. 2022, 13, 3247. [Google Scholar] [CrossRef]
- Zhang, Y.; Yu, Y.; Wang, L.; Li, Y.; Lin, F.; Yan, W. Dispersion of reinforcing micro-particles in the powder bed fusion additive manufacturing of metal matrix composites. Acta Mater. 2022, 235, 118086. [Google Scholar] [CrossRef]
- Wang, W.C.; Liu, P.A.; Qi, H.; Liu, J.J.; Liu, T.Y.; Zheng, L. Finite element analysis of densification of Fe-40at%Al composite powders. AIP Adv. 2019, 9, 015311. [Google Scholar] [CrossRef]
- Wang, C.; Gong, Y.; Cunning, B.V.; Lee, S.; Le, Q.; Joshi, S.R.; Buyukcakir, O.; Zhang, H.; Seong, W.K.; Huang, M.; et al. A general approach to composites containing nonmetallic fillers and liquid gallium. Sci. Adv. 2021, 7, eabe3767. [Google Scholar] [CrossRef] [PubMed]
- Han, P.; An, X.; Wang, D.; Fu, H.; Yang, X.; Zhang, H.; Zou, Z. MPFEM simulation of compaction densification behavior of Fe-Al composite powders with different size ratios. J. Alloys Compd. 2018, 741, 473–481. [Google Scholar] [CrossRef]
- Han, P.; An, X.; Zhang, Y.; Huang, F.; Yang, T.; Fu, H.; Yang, X.; Zou, Z. Particulate scale MPFEM modeling on compaction of Fe and Al composite powders. Powder Technol. 2017, 314, 69–77. [Google Scholar] [CrossRef]
- Sun, R.; Mi, G.; Huang, X.; Sui, N. Molecular dynamic simulations of ti-6al and fe-12cr alloys for their heat transfer and oxygen transport behaviors. Mod. Phys. Lett. B Condens. Matter Phys. Stat. Phys. Appl. Phys. 2024, 38, 2350263. [Google Scholar] [CrossRef]
- Pan, X.; Du, L.; Qian, G.; Hong, Y. Microstructure features induced by fatigue crack initiation up to very-high-cycle regime for an additively manufactured aluminium alloy. J. Mater. Sci. Technol. 2024, 173, 247–260. [Google Scholar] [CrossRef]
- Song, J.; Barriere, T.; Liu, S.; Gelin, J.-C. Behaviors of sintering densification for injection molded components in 316L stainless steel powders. Cailiao Kexue Yu Gongyi/Mater. Sci. Technol. 2010, 18, 330–334. [Google Scholar]
- Deng, S.; Zhao, H.; Li, R.; Yuan, T.; Li, L.; Cao, P. The influence of the local effect of electric current on densification of tungsten powder during spark plasma sintering. Powder Technol. 2019, 356, 769–777. [Google Scholar] [CrossRef]
- Pan, X.; Su, H.; Liu, X.; Hong, Y. Multi-scale fatigue failure features of titanium alloys with equiaxed or bimodal microstructures from low-cycle to very-high-cycle loading numbers. Mater. Sci. Eng. A 2024, 890, 145906. [Google Scholar] [CrossRef]
- Zhang, L.; Sun, J.; Ngan, A.H.W.; Ning, Z.; Fan, H.; Huang, Y. Heterogeneity of microstructures in a Cu–Zr based amorphous alloy composite reinforced by crystalline phases. Compos. Part B Eng. 2023, 262, 110823. [Google Scholar] [CrossRef]
- Liu, Y.; Lyu, F.; Ding, F.; Wang, E.; Xu, Y.; Yuan, T.; Deng, C.; Luo, C. Numerical Study on Confinement Effect and Efficiency of Concentrically Loaded RACFRST Stub Columns. Front. Mater. 2021, 8, 630774. [Google Scholar] [CrossRef]
- Long, S.; Yao, X.; Wang, H.; Zhang, X. A dynamic constitutive model for fiber-reinforced composite under impact loading. Int. J. Mech. Sci. 2020, 166, 105226. [Google Scholar] [CrossRef]
- Shima, S.; Oyane, M. Plasticity theory for porous metals. Int. J. Mech. Sci. 1976, 18, 285–291. [Google Scholar] [CrossRef]
- Huang, P.Y. Further study on compaction equations in powder metallurgy. Powder Metall. Technol. 1980, 2, 15–20. [Google Scholar]
- Heckel, R.W. Density-Pressure Relationships in Powder Compaction. Trans. Metall. Soc. AIME 1961, 221, 671–675. [Google Scholar]
- Huang, F.; An, X.; Zhang, Y.; Yu, A. Multi-particle FEM simulation of 2D compaction on binary Al/SiC composite powders. Powder Technol. 2017, 314, 39–48. [Google Scholar] [CrossRef]
- Zhang, Y.; An, X.; Zhang, Y. Multi-particle FEM modeling on microscopic behavior of 2D particle compaction. Appl. Phys. A 2015, 118, 1015–1021. [Google Scholar] [CrossRef]
Disclaimer/Publisher’s Note: The statements, opinions and data contained in all publications are solely those of the individual author(s) and contributor(s) and not of MDPI and/or the editor(s). MDPI and/or the editor(s) disclaim responsibility for any injury to people or property resulting from any ideas, methods, instructions or products referred to in the content. |
© 2025 by the authors. Licensee MDPI, Basel, Switzerland. This article is an open access article distributed under the terms and conditions of the Creative Commons Attribution (CC BY) license (https://creativecommons.org/licenses/by/4.0/).














