Structural, Mechanical, and Tribological Properties of Molybdenum-Doped Diamond-like Carbon Films
Abstract
1. Introduction
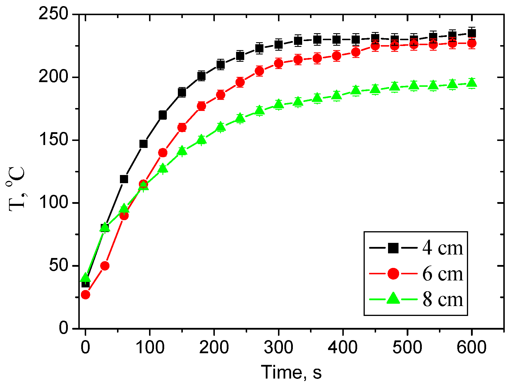
2. Materials and Methods
3. Results
3.1. Elemental Composition Analysis
3.2. Surface Morphology
3.3. Raman Spectroscopy Results
3.4. XPS Results
3.5. Determination of Mechanical Properties
3.6. Determination of Friction Coefficient
4. Conclusions
Author Contributions
Funding
Data Availability Statement
Acknowledgments
Conflicts of Interest
References
- Evaristo, M.; Azevedo, R.; Palacio, C.; Cavaleiro, A. Influence of the silicon and oxygen content on the properties of non-hydrogenated amorphous carbon coatings. Diam. Relat. Mater. 2016, 70, 201–210. [Google Scholar] [CrossRef]
- Khrushchov, M.; Levin, I.; Marchenko, E.; Avdyukhina, V.; Petrzhik, M. Effect of structure and deposition technology on tribological properties of DLC coatings alloyed with VIA group metals. J. Phys. Conf. Ser. 2016, 729, 012016. [Google Scholar] [CrossRef]
- Khamseh, S.; Alibakhshi, E.; Mahdavian, M.; Saeb, M.R.; Vahabi, H.; Kokanyan, N.; Laheurte, P. Magnetron-sputtered copper/diamond-like carbon composite thin films with super anti-corrosion properties. Surf. Coatings Technol. 2018, 333, 148–157. [Google Scholar] [CrossRef]
- Jing, P.; Gong, Y.; Deng, Q.; Zhang, Y.; Huang, N.; Leng, Y. The formation of the “rod-like wear debris” and tribological properties of Ag-doped diamond-like carbon films fabricated by a high-power pulsed plasma vapor deposition technique. Vacuum 2020, 173, 109125. [Google Scholar] [CrossRef]
- Ray, S.C.; Pong, W.; Papakonstantinou, P. Iron, nitrogen and silicon doped diamond like carbon (DLC) thin films: A comparative study. Thin Solid Films 2016, 610, 42–47. [Google Scholar] [CrossRef]
- Love, C.; Cook, R.; Harvey, T.; Dearnley, P.; Wood, R. Diamond like carbon coatings for potential application in biological implants—A review. Tribol. Int. 2013, 63, 141–150. [Google Scholar] [CrossRef]
- Huang, B.; Liu, L.-T.; Han, S.; Du, H.-M.; Zhou, Q.; Zhang, E.-G. Effect of deposition temperature on the microstructure and tribological properties of Si-DLC coatings prepared by PECVD. Diam. Relat. Mater. 2022, 129, 109345. [Google Scholar] [CrossRef]
- Zeng, H.; Zhang, Y.; Wu, Z.; Qin, Z.; Ji, H.; Liu, X.; Li, B.; Hu, W. Microstructure, magnetic properties and corrosion resistance of Co-DLC nanocomposite film controlled by substrate temperature. Diam. Relat. Mater. 2023, 133, 109673. [Google Scholar] [CrossRef]
- Ebrahimi, M.; Mahboubi, F.; Naimi-Jamal, M.R. RSM base study of the effect of deposition temperature and hydrogen flow on the wear behavior of DLC films. Tribol. Int. 2015, 91, 23–31. [Google Scholar] [CrossRef]
- Li, H.; Guo, P.; Zhang, D.; Chen, R.; Zuo, X.; Ke, P.; Saito, H.; Wang, A. Influence of deposition temperature on the structure, optical and electrical properties of a-C films by DCMS. Appl. Surf. Sci. 2020, 503, 144310. [Google Scholar] [CrossRef]
- Padmanaban, D.B.; Mohan, L.; Giri, P.; Bera, P.; Anandan, C.; Barshilia, H.C. Effect of Molybdenum Content on Mechanical and Tribological Properties of Diamond-Like Carbon Coatings over Titanium β-21S Alloy. C 2020, 7, 1. [Google Scholar] [CrossRef]
- Hovsepian, P.E.; Mandal, P.; Ehiasarian, A.P.; Sáfrán, G.; Tietema, R.; Doerwald, D. Friction and wear behaviour of Mo–W doped carbon-based coating during boundary lubricated sliding. Appl. Surf. Sci. 2016, 366, 260–274. [Google Scholar] [CrossRef]
- Müller, I.C.; Sharp, J.; Rainforth, W.M.; Hovsepian, P.; Ehiasarian, A. Tribological response and characterization of Mo–W doped DLC coating. Wear 2017, 376–377, 1622–1629. [Google Scholar] [CrossRef]
- Kolawole, F.O.; Ramirez, M.A.; Kolawole, S.K.; Varela, L.B.; Tschiptschin, A.P. Deposition and characterization of molybdenum oxide (MoO3) nanoparticles incorporated diamond-like carbon coatings using pulsed-DC PECVD. Mater. Lett. 2020, 278, 128420. [Google Scholar] [CrossRef]
- Ji, L.; Li, H.; Zhao, F.; Quan, W.; Chen, J.; Zhou, H. Atomic oxygen resistant behaviors of Mo/diamond-like carbon nanocomposite lubricating films. Appl. Surf. Sci. 2008, 255, 4180–4184. [Google Scholar] [CrossRef]
- Tang, X.; Wang, H.; Feng, L.; Shao, L.; Zou, C. Mo doped DLC nanocomposite coatings with improved mechanical and blood compatibility properties. Appl. Surf. Sci. 2014, 311, 758–762. [Google Scholar] [CrossRef]
- Su, Y.; Gong, X.; Huang, W.; Zhang, T.; Hu, R.; Zhang, P.; Ruan, H.; Ma, Y. Enhancing the tribological property of Mo-doped DLC films in methanol using appropriate bias voltage. Diam. Relat. Mater. 2023, 135, 109795. [Google Scholar] [CrossRef]
- Zhairabany, H.; Dovydaitis, V.; Khaksar, H.; Vanags, E.; Gnecco, E.; Marcinauskas, L. Influence of molybdenum concentration on the microstructure and nanotribological properties of diamond-like carbon films. J. Mater. Sci. 2023, 58, 13437–13448. [Google Scholar] [CrossRef]
- Zhairabany, H.; Khaksar, H.; Vanags, E.; Marcinauskas, L. Effect of Molybdenum Concentration and Deposition Temperature on the Structure and Tribological Properties of the Diamond-like Carbon Films. Crystals 2024, 14, 962. [Google Scholar] [CrossRef]
- Li, L.; Song, W.; Liu, J.; Liu, Q.; Wang, S.; Zhang, G. Nanomechanical and nanotribological behavior of ultra-thin silicon-doped diamond-like carbon films. Tribol. Int. 2016, 94, 616–623. [Google Scholar] [CrossRef]
- Bai, L.; Srikanth, N.; Korznikova, E.A.; Baimova, J.A.; Dmitriev, S.V.; Zhou, K. Wear and friction between smooth or rough diamond-like carbon films and diamond tips. Wear 2017, 372–373, 12–20. [Google Scholar] [CrossRef]
- Zhang, H.-S.; Endrino, J.; Anders, A. Comparative surface and nanotribological characteristics of nanocomposite diamond-like carbon thin films doped by silver. Appl. Surf. Sci. 2008, 255, 2551–2556. [Google Scholar] [CrossRef]
- Li, X.; Wang, A.; Lee, K.-R. Fundamental understanding on low-friction mechanisms at amorphous carbon interface from reactive molecular dynamics simulation. Carbon 2020, 170, 621–629. [Google Scholar] [CrossRef]
- Charitidis, C.A. Nanomechanical and nanotribological properties of carbon-based thin films: A review. Int. J. Refract. Met. Hard Mater. 2010, 28, 51–70. [Google Scholar] [CrossRef]
- Baer, D.R.; Artyushkova, K.; Cohen, H.; Easton, C.D.; Engelhard, M.; Gengenbach, T.R.; Greczynski, G.; Mack, P.; Morgan, D.J.; Roberts, A. XPS guide: Charge neutralization and binding energy referencing for insulating samples. J. Vac. Sci. Technol. A 2020, 38, 031204. [Google Scholar] [CrossRef]
- Nečas, D.; Klapetek, P. Gwyddion: An open-source software for SPM data analysis. Open Phys. 2012, 10, 181–188. [Google Scholar] [CrossRef]
- Yadav, V.S.; Sahu, D.K.; Singh, M.R.; Kumar, K. Study of Raman Spectra of Nanocrystalline Diamond Like Carbon (DLC) Films Composition (Sp2:Sp3) with Substrate Temperature. In Proceedings of the WCECS, San Francisco, CA, USA, 20–22 October 2009; Available online: https://www.iaeng.org/publication/WCECS2009/WCECS2009_pp78-81.pdf (accessed on 15 March 2025).
- Robertson, J. Diamond-like amorphous carbon. Mater. Sci. Eng. R Rep. 2002, 37, 129–281. [Google Scholar] [CrossRef]
- Zhao, D.; Mei, H.; Ding, J.C.; Cheng, Y.; Zhang, L.; Zhang, T.F.; Kwang, H.K.; Zheng, J. Microstructure and properties of Mo doped DLC nanocomposite films deposited by a hybrid sputtering system. Vacuum 2022, 208, 111732. [Google Scholar] [CrossRef]
- Robertson, J. Properties and prospects for non-crystalline carbons. J. Non-Cryst. Solids 2001, 299–302, 798–804. [Google Scholar] [CrossRef]
- Bouabibsa, I.; Lamri, S.; Alhussein, A.; Minea, T.; Sanchette, F. Plasma investigations and deposition of Me-DLC (Me = Al, Ti or Nb) obtained by a magnetron sputtering-RFPECVD hybrid process. Surf. Coatings Technol. 2018, 354, 351–359. [Google Scholar] [CrossRef]
- Marcinauskas, L.; Grigonis, A.; Valatkevicius, P.; Medvid, A. Irradiation of the graphite-like carbon films by ns-laser pulse. Appl. Surf. Sci. 2012, 261, 488–492. [Google Scholar] [CrossRef]
- Ji, L.; Li, H.; Zhao, F.; Chen, J.; Zhou, H. Microstructure and mechanical properties of Mo/DLC nanocomposite films. Diam. Relat. Mater. 2008, 17, 1949–1954. [Google Scholar] [CrossRef]
- Moghadam, R.Z.; Ehsani, M.H.; Dizaji, H.R.; Kameli, P.; Jannesari, M. Oxygen doping effect on wettability of diamond-like carbon films. Mater. Res. Express 2021, 8, 035601. [Google Scholar] [CrossRef]
- Shao, W.; Zhou, Y.; Shi, Z.; Rao, L.; Hu, T.; Xing, X.; Yang, Q. Effects of carbide forming elements Me on residual stress and mechanical properties of DLC films by molecular dynamics simulation. Mater. Today Commun. 2020, 23, 100946. [Google Scholar] [CrossRef]
- Qiang, L.; Gao, K.; Zhang, L.; Wang, J.; Zhang, B.; Zhang, J. Further improving the mechanical and tribological properties of low content Ti-doped DLC film by W incorporating. Appl. Surf. Sci. 2015, 353, 522–529. [Google Scholar] [CrossRef]
- Biesinger, M.C. Accessing the robustness of adventitious carbon for charge referencing (correction) purposes in XPS analysis: Insights from a multi-user facility data review. Appl. Surf. Sci. 2022, 597, 153681. [Google Scholar] [CrossRef]
- Rusli, H.; Yoon, S.; Huang, Q.; Ahn, J.; Zhang, Q.; Yang, H.; Wu, Y.; Teo, E.; Osipowicz, T.; Watt, F. Metal-containing amorphous carbon film development using electron cyclotron resonance CVD. Diam. Relat. Mater. 2001, 10, 132–138. [Google Scholar] [CrossRef]
- Su, Y.; Ma, Y.; Huang, W.; Zhang, T.; Yu, W.; Hu, R.; Ruan, H. The effects of medium and friction pair on the tribological behavior of Mo-doped DLC films. Diam. Relat. Mater. 2024, 148, 111464. [Google Scholar] [CrossRef]
- Rabadzhiyska, S.; Kotlarski, G.; Valkov, S.; Ormanova, M.; Shipochka, M.; Rafailov, P.; Petrov, P. Characterization of Diamond-like carbon films produced by electron- beam physical vapor deposition. Mater. Today Proc. 2022, 67, 995–1000. [Google Scholar] [CrossRef]
- Zou, C.; Wang, H.; Feng, L.; Xue, S. Effects of Cr concentrations on the microstructure, hardness, and temperature-dependent tribological properties of Cr-DLC coatings. Appl. Surf. Sci. 2013, 286, 137–141. [Google Scholar] [CrossRef]
- Guo, C.-Q.; Li, H.-Q.; Peng, Y.-L.; Dai, M.-J.; Lin, S.-S.; Shi, Q.; Wei, C.-B. Residual stress and tribological behavior of hydrogen-free Al-DLC films prepared by HiPIMS under different bias voltages. Surf. Coatings Technol. 2022, 445, 128713. [Google Scholar] [CrossRef]
- Zhang, S.; Bui, X.L.; Jiang, J.; Li, X. Microstructure and tribological properties of magnetron sputtered nc-TiC/a-C nanocomposite. Surf. Coatings Technol. 2005, 198, 206–211. [Google Scholar] [CrossRef]
- Pei, Y.; Chen, C.; Shaha, K.; De Hosson, J.; Bradley, J.; Voronin, S.; Čada, M. Microstructural control of TiC/a-C nanocomposite coatings with pulsed magnetron sputtering. Acta Mater. 2008, 56, 696–709. [Google Scholar] [CrossRef]
- Tripathi, R.K.; Panwar, O.S.; Chockalingam, S. Nanoindentation study on nitrogenated tetrahedral amorphous carbon thin films with ultra low load. Indian J. Pure Appl. Phys. 2016, 54, 543–550. [Google Scholar] [CrossRef]
- McMaster, S.J.; Kosarieh, S.; Liskiewicz, T.W.; Neville, A.; Beake, B.D. Utilising H/E to predict fretting wear performance of DLC coating systems. Tribol. Int. 2023, 185, 108524. [Google Scholar] [CrossRef]
- Hagarová, M.; Baranová, G.; Heželová, M.; Truchlý, M.; Vojtko, M.; Petruš, O.; Csík, D. High-Temperature Mechanical and Tribological Performance of W-DLC Coating with Cr interlayer on X40CrMoV5-1 Hot Work Tool Steel. Coatings 2024, 14, 971. [Google Scholar] [CrossRef]
- Yoon, E.-S.; Singh, R.A.; Oh, H.-J.; Kong, H. The effect of contact area on nano/micro-scale friction. Wear 2005, 259, 1424–1431. [Google Scholar] [CrossRef]
- Tomala, A.; Pauschitz, A.; Roy, M. Nanotribology of pulsed direct current magnetron sputtered diamond like carbon films. Surf. Sci. 2013, 616, 60–70. [Google Scholar] [CrossRef]
- Sun, L.; Guo, P.; Ke, P.; Li, X.; Wang, A. Synergistic effect of Cu/Cr co-doping on the wettability and mechanical properties of diamond-like carbon films. Diam. Relat. Mater. 2016, 68, 1–9. [Google Scholar] [CrossRef]
- Guo, P.; Sun, L.; Li, X.; Xu, S.; Ke, P.; Wang, A. Structural properties and surface wettability of Cu-containing diamond-like carbon films prepared by a hybrid linear ion beam deposition technique. Thin Solid Films 2015, 584, 289–293. [Google Scholar] [CrossRef]
- Nakamura, T.; Ohana, T. Photochemical modification of DLC films with oxygen functionalities and their chemical structure control. Diam. Relat. Mater. 2013, 33, 16–19. [Google Scholar] [CrossRef]
- Li, L.; Song, W.; Ovcharenko, A.; Xu, M.; Zhang, G. Effects of atomic structure on the frictional properties of amorphous carbon coatings. Surf. Coatings Technol. 2015, 263, 8–14. [Google Scholar] [CrossRef]












| Samples | Target–Substrate Distance [cm] | Slit Opening [mm] | Temperature [°C] | Carbon [at.%] | Oxygen [at.%] | Molybdenum [at.%] |
|---|---|---|---|---|---|---|
| DLC | 4 | --- | --- | 92.5 ± 1.0 | 7.5 ± 0.3 | --- |
| Mo-DLC1 | 4 | 4 | 235 | 92.3 ± 1.2 | 6.5 ± 0.3 | 1.2 ± 0.1 |
| Mo-DLC2 | 4 | 8 | 235 | 82.6 ± 2.8 | 11.1 ± 1.1 | 6.3 ± 0.3 |
| Mo-DLC3 | 4 | 16 | 235 | 75.5 ± 0.1 | 14.2 ± 1.4 | 10.3 ± 0.4 |
| Mo-DLC4 | 6 | 16 | 225 | 87.0 ± 3.2 | 6.8 ± 1.1 | 6.2 ± 0.3 |
| Mo-DLC5 | 8 | 16 | 180 | 73.0 ± 2.8 | 20.4 ± 2.4 | 6.6 ± 0.1 |
| Samples | C Bonds | Binding Energy of C 1s, (eV) | Relative Peak Area, (%) | Mo Bonds | Binding Energy of Mo 3d, (eV) | Relative Peak Area (%) |
|---|---|---|---|---|---|---|
| Mo-DLC2 | Mo–C | 283.0 | 1.6% | Mo–C | 228.3 | 20.9% |
| C=C (sp2) | 284.2 | 63.4% | Mo2+ | 228.7 | 41.3% | |
| C–C (sp3) | 285.3 | 30% | Mo4+ | 229.9 | 27.6% | |
| Carbon Oxides | 288.7 | 5% | Mo6+ | 232.5 | 10.2% | |
| Mo-DLC3 | Mo–C | 283.0 | 3% | Mo–C | 228.2 | 26% |
| C=C (sp2) | 284.2 | 63% | Mo2+ | 228.7 | 30% | |
| C–C (sp3) | 285.3 | 29% | Mo4+ | 229.9 | 36% | |
| Carbon Oxides | 289.6 | 5% | Mo6+ | 232.4 | 7% | |
| Mo-DLC5 | Mo–C | --- | --- | Mo–C | 228.2 | 10% |
| C=C (sp2) | 284.4 | 59% | Mo2+ | 228.6 | 27% | |
| C–C (sp3) | 285.3 | 35% | Mo4+ | 229.3 | 31% | |
| Carbon Oxides | 289.2 | 6% | Mo6+ | 231.4 | 31% |
| Samples | Hardness (H) [GPa] | Young’s Modulus (E) [GPa] | H/E | H3/E2 [GPa] | H2/E [GPa] |
|---|---|---|---|---|---|
| DLC | 8.03 ± 0.65 | 60.56 ± 3.13 | 0.133 ± 0.004 | 0.141 ± 0.020 | 1.064 ± 0.119 |
| Mo-DLC1 | 7.84 ± 0.48 | 65.07 ± 0.91 | 0.121 ± 0.006 | 0.114 ± 0.018 | 0.945 ± 0.105 |
| Mo-DLC2 | 6.32 ± 0.15 | 49.22 ± 0.91 | 0.128 ± 0.003 | 0.104 ± 0.006 | 0.812 ± 0.031 |
| Mo-DLC3 | 6.49 ± 0.45 | 65.21 ± 3.06 | 0.100 ± 0.010 | 0.064 ± 0.016 | 0.646 ± 0.103 |
| Mo-DLC4 | 7.41 ± 0.40 | 55.46 ± 2.01 | 0.134 ± 0.002 | 0.132 ± 0.009 | 0.990 ± 0.056 |
| Mo-DLC5 | 8.24 ± 0.35 | 83.66 ± 7.88 | 0.098 ± 0.006 | 0.080 ± 0.006 | 0.811 ± 0.020 |
Disclaimer/Publisher’s Note: The statements, opinions and data contained in all publications are solely those of the individual author(s) and contributor(s) and not of MDPI and/or the editor(s). MDPI and/or the editor(s) disclaim responsibility for any injury to people or property resulting from any ideas, methods, instructions or products referred to in the content. |
© 2025 by the authors. Licensee MDPI, Basel, Switzerland. This article is an open access article distributed under the terms and conditions of the Creative Commons Attribution (CC BY) license (https://creativecommons.org/licenses/by/4.0/).
Share and Cite
Zhairabany, H.; Khaksar, H.; Vanags, E.; Smits, K.; Sarakovskis, A.; Marcinauskas, L. Structural, Mechanical, and Tribological Properties of Molybdenum-Doped Diamond-like Carbon Films. Crystals 2025, 15, 463. https://doi.org/10.3390/cryst15050463
Zhairabany H, Khaksar H, Vanags E, Smits K, Sarakovskis A, Marcinauskas L. Structural, Mechanical, and Tribological Properties of Molybdenum-Doped Diamond-like Carbon Films. Crystals. 2025; 15(5):463. https://doi.org/10.3390/cryst15050463
Chicago/Turabian StyleZhairabany, Hassan, Hesam Khaksar, Edgars Vanags, Krisjanis Smits, Anatolijs Sarakovskis, and Liutauras Marcinauskas. 2025. "Structural, Mechanical, and Tribological Properties of Molybdenum-Doped Diamond-like Carbon Films" Crystals 15, no. 5: 463. https://doi.org/10.3390/cryst15050463
APA StyleZhairabany, H., Khaksar, H., Vanags, E., Smits, K., Sarakovskis, A., & Marcinauskas, L. (2025). Structural, Mechanical, and Tribological Properties of Molybdenum-Doped Diamond-like Carbon Films. Crystals, 15(5), 463. https://doi.org/10.3390/cryst15050463

