Next Article in Journal
Effects of Low-Temperature Environment on the Mechanical Properties and Crystal Characteristics of Alkali-Slag-Cementitious Materials
Next Article in Special Issue
Solvent Engineering for Layer Formation Control with Cost-Effective Hole Transport Layer in High-Efficiency Perovskite Solar Cell
Previous Article in Journal
A Tunable Z-Shaped Channel Gradient Metamaterial for Enhanced Detection of Weak Acoustic Signals
Previous Article in Special Issue
Enhancing Perovskite Solar Cell Stability by TCO Layer Presence Beneath MACl-Doped Perovskites
 
 
Due to scheduled maintenance work on our servers, there may be short service disruptions on this website between 11:00 and 12:00 CEST on March 28th.
Font Type:
Arial Georgia Verdana
Font Size:
Aa Aa Aa
Line Spacing:
Column Width:
Background:
Article

Design of Co0.85Se Microsphere-like Architectures for High-Performance Hybrid Supercapacitors

1
School of Chemical Engineering, Yeungnam University, Gyeongsan 712-749, Republic of Korea
2
Department of Energy and Materials Engineering, Dongguk University-Seoul, Seoul 04620, Republic of Korea
3
Department of Chemistry Education, Chonnam National University, Gwangju 500-757, Republic of Korea
*
Author to whom correspondence should be addressed.
Crystals 2025, 15(3), 217; https://doi.org/10.3390/cryst15030217
Submission received: 5 February 2025 / Revised: 20 February 2025 / Accepted: 20 February 2025 / Published: 24 February 2025
(This article belongs to the Special Issue Advances in Materials for Energy Conversion and Storage)

Abstract

This study presents the synthesis of Co0.85Se microsphere-like structures on nickel foam (NF) substrates for high-performance HSC applications. The Co0.85Se microspheres were synthesized using a two-step hydrothermal process, yielding well-distributed—albeit non-uniform—structures on the NF substrate. The electrochemical performance of the Co0.85Se/NF electrode, evaluated in a three-electrode system, demonstrated remarkable characteristics, including a high specific capacity of 719 C g¹ at 1 A g⁻¹ and outstanding long-term cycling stability, with 87.1% capacity retention over 10,000 charge-discharge cycles. To assess the practical applicability of the Co0.85Se/NF electrode, a hybrid supercapacitor device was assembled using activated carbon (AC) as the negative electrode and Co0.85Se/NF as the positive electrode. The Co0.85Se/NF//AC HSC device exhibited remarkable electrochemical performance, achieving a high energy density of 66.6 Wh kg⁻¹ at a power density of 849.3 W kg⁻¹. It also maintained excellent cycling stability over 10,000 charge-discharge cycles. These findings highlight the significant potential of Co0.85Se microsphere-like structures as high-performance electrode materials for hybrid supercapacitors, paving the way for developing efficient energy storage technologies.

1. Introduction

Hybrid supercapacitors (HSCs) are a promising class of energy storage devices characterized by their high-power density, extended cycle life, and superior rate capability [1,2,3]. These features make HSCs ideal for applications requiring rapid charge-discharge cycles, such as portable electronics and electric vehicles [4]. Additionally, their ability to combine the energy storage mechanism of batteries with the high-power delivery of traditional supercapacitors has further fueled interest in their development [2]. Optimizing HSC performance requires careful selection of electrode materials. The ideal electrode materials should exhibit superior specific capacitance, remarkable conductivity, and robust operational stability to fulfill both high power and energy density demands [5,6,7].
Transition metal-based compounds, particularly cobalt-based materials, have garnered considerable attention as promising electrode candidates for HSCs [8]. These materials are highly attractive due to their rich redox chemistry, high electrochemical activity, and good electrical conductivity, which collectively contribute to their superior charge-storage capability [8,9,10]. Among these compounds, cobalt selenides (CoxSey) are known for their remarkable electrochemical properties, including high specific capacity, enhanced conductivity, and exceptional stability in alkaline electrolytes [11,12,13]. In recent studies, CoxSey has shown promise for supercapacitor applications. For instance, Zhao et al. [14] reported mesoporous Co0.85Se nanowire arrays with an exceptional specific capacitance of 1800 F g⁻¹ at 1 mV s⁻¹. Liu et al. [15] synthesized porous CoSe2 nanosheets with a high specific capacitance of 333 F g⁻¹ at 1 A g⁻¹ and remarkable durability (100.97% retention over 25,000 cycles at 5 A g⁻¹). Zhu et al. [16] developed CoSe nanosheets, achieving a specific capacity of 70.6 mAh g⁻¹ at 1 A g⁻¹ and retaining 52.8% of their capacity at 100 A g⁻¹. Similarly, Dhanasekar et al. [17] fabricated Co9Se8@RGO electrodes with a specific capacitance of 1278 F g⁻¹ at 1 A g⁻¹. These findings highlight the significant potential of CoxSey as an electrode material for HSCs.
Despite their promising performance, the practical application of CoxSey-based materials is often hindered by challenges such as low conductivity and limited cycling stability. Addressing these limitations requires innovative strategies, including the synthesis of nanostructured materials, the formation of composites, and the use of conductive substrates [12,13,14,15,16,17,18]. Among these approaches, direct synthesis of CoxSey on conductive substrates, such as nickel foam (NF), has demonstrated particular effectiveness [13,19,20,21]. NF is an ideal conductive substrate for electrode materials because of its large surface area, excellent electrical performance, and lightweight composition. The direct synthesis of CoxSey on NF offers a stable framework that enhances conductivity, supports efficient charge transfer, and provides robust mechanical stability during extended cycling [13,19,20,21].
Nonstoichiometric Co0.85Se has gained recent attention as a potential material for energy storage technologies, particularly in capacitive devices [22,23,24,25,26,27]. The direct synthesis of Co0.85Se in various morphologies, such as nanosheets, nanowires, nanoparticles, hollow spheres, and thin films, has demonstrated improved morphological control and enhanced electrochemical performance [28,29,30,31]. Among these morphologies, sphere-like structures have demonstrated notable advantages by maximizing the active surface area, improving electrolyte access, and facilitating ion diffusion, thereby achieving superior charge-discharge efficiency [28]. In our recent study, we fabricated Co0.85Se microspheres through a two-step hydrothermal process and showcased its effectiveness as an electrocatalyst for the hydrogen evolution reaction [32].
This study reports the direct fabrication of Co0.85Se microsphere-like structures on NF substrates using a two-step hydrothermal approach. The distinctive morphology of the Co0.85Se/NF electrode significantly enhances electrochemical performance by expanding the contact area and facilitating ion diffusion. These factors are crucial for achieving high capacity and long-term cycling stability. Co0.85Se/NF electrodes demonstrated an impressive specific capacity of 719 C g⁻¹ at 1 A g⁻¹, excellent rate capabilities, and outstanding cycling stability in a 2M KOH electrolyte. An HSC device, constructed with Co0.85Se/NF as the positive electrode and activated carbon (AC) as the negative electrode, demonstrated remarkable performance, achieving an energy density of 66.6 Wh kg⁻¹, a power density of 849.3 W kg⁻¹, and capacitance retention of 81.1% after 10,000 cycles. These results underscore the potential of Co0.85Se microspheres on NF substrates for advanced energy storage applications.

2. Experimental Section

2.1. Synthesis of Co(OH)F Microcrystals on NF

In the initial step, Co(OH)F microcrystals were grown on nickel foam (NF) using a hydrothermal technique. A solution containing Co(NO3)2·6H2O (50 mM, 0.2910 g) and NH4F (150 mM, 0.1111 g) was prepared by dissolving the precursors in 20 mL of deionized water (DI H2O) under continuous stirring for 10 min. The resulting mixture was then transferred into a 100 mL Teflon-lined stainless-steel autoclave, where a pre-cleaned NF substrate (10 mm × 50 mm) was submerged. The autoclave was heated to 120 °C for 6 h. After naturally cooling to room temperature, the pink-colored Co(OH)F-coated NF (Co(OH)F/NF) was retrieved, thoroughly rinsed with DI H2O and ethanol, and dried at 70 °C overnight. The mass loading of the Co(OH)F/NF electrode was approximately 3.2 mg cm−2.

2.2. Conversion of Co(OH)F Microcrystal Precursors to Co0.85Se Microspheres-like Structure

In the second step, Co(OH)F/NF was transformed into Co0.85Se through a selenization process. The Co(OH)F/NF electrode was immersed in a solution consisting of Na2SeO3 (0.1 g), hydrazine hydrate (1 mL), and 20 mL of DI H2O inside a 100 mL Teflon-lined stainless-steel autoclave. The reaction proceeded at 120 °C for 6 h. After cooling to room temperature, the black Co0.85Se-coated NF (Co0.85Se/NF) was collected, thoroughly rinsed with DI H2O and ethanol, and dried at 70 °C for 12 h. The final mass loading of Co0.85Se on the NF substrate was approximately 3.7 mg cm−2.
Material characterization, AC electrode preparation, and electrochemical studies are described in the Supplementary Materials.

3. Results and Discussion

A two-step hydrothermal synthesis process was employed to prepare microsphere-like Co0.85Se structures on NF. First, a hydrothermal method was used to grow Co(OH)F microcrystals on the NF substrate. Second, the Co(OH)F microcrystals were converted into microsphere-like Co0.85Se structures via a selenization process. A schematic representation of this synthesis process for microsphere-like Co0.85Se structures is shown in Figure S1. Field-emission scanning electron microscopy (FESEM) was used to comprehensively characterize the morphology of the synthesized electrode materials. Figure 1 presents FESEM images of Co(OH)F microcrystals obtained from the initial hydrothermal step. The low-magnification images (Figure 1a,b) reveal that the material comprises interconnected microcrystals arranged in a well-distributed configuration; however, its structure is non-uniform. These microcrystals exhibit distinct geometric shapes, including tetrahedral, octahedral, and dodecahedral forms, with an average size of approximately 1 µm. High-magnification images (Figure 1c,d) provide a closer view of the microcrystals, highlighting their irregular and robust surfaces, which indicate a hard texture. These structural features are expected to greatly enhance the structural integrity and longevity of the electrode in electrochemical applications. The energy dispersive X-ray spectroscopy (EDS) analysis pattern of the Co(OH)F microcrystals is presented in Figure 1i, confirming the presence of cobalt (Co), oxygen (O), and fluorine (F). Additionally, the elemental mapping images (Figure 1f–h) demonstrate the even distribution of these elements within the microcrystals, validating the homogeneous composition of the material.
Figure 2 shows FESEM images of the selenized product obtained by the second hydrothermal step. As depicted in Figure 2a, the morphology of the Co0.85Se structure resembles the Co(OH)F microcrystals; however, during the selenization process, the interconnected microcrystals transform into a hierarchical microsphere-like structure (Figure 2b). High-resolution FESEM images reveal the unique surface microstructure of Co0.85Se microspheres (Figure 2c). These microspheres comprise numerous spike-like subunits on their surfaces, which aggregate to form the characteristic hierarchical structure—a unique feature attributed to the selenization process. The high magnification image (Figure 2d) further highlights the rough protuberances on the surface of the Co0.85Se microspheres. This surface morphology, combined with the hierarchical arrangement, enhances material interconnectivity and increases the available active surface area. These structural features are crucial for optimizing charge storage and transfer, making Co0.85Se microspheres particularly suitable for supercapacitor applications [28,32]. Elemental mappings and the EDX spectrum of Co0.85Se are shown in Figure 2e–h, confirming the even dispersion of Co and selenium (Se) throughout the microsphere structure and further supporting the consistent makeup of the material. The small peaks of platinum (Pt) detected in the EDX spectrum of both Co(OH)F microcrystals (Figure 1i) and Co0.85Se (Figure 2h) are attributed to the Pt coating applied during the FESEM analysis.
The microstructural characteristics of the Co0.85Se microspheres were further analyzed using field-emission transmission electron microscopy (FETEM). Figure 3a,b present FETEM images at various magnifications, confirming the hierarchical nature of the microspheres, aligning with previous FESEM findings. These microspheres consist of densely packed spike-like subunits, which contribute to their distinctive morphology (Figure 3c,d). High-resolution TEM (HRTEM) analysis (Figure 3e) revealed well-defined lattice planes, indicating the crystalline structure of Co0.85Se. The observed lattice spacing of approximately 0.26 nm corresponds to the (101) plane of Co0.85Se [14,22], verifying the material’s phase composition and crystalline structure. The selected area electron diffraction (SAED) pattern (Figure 3f) exhibited sharp diffraction spots, further validating the crystallinity and ordered structure of Co0.85Se. Elemental analysis using EDS in TEM mode revealed an even distribution of Co and Se throughout the microsphere-like structure. The elemental mapping images (Figure 3h,i) based on the HAADF image (Figure 3g) confirm the even distribution of these elements, reinforcing the chemical uniformity of the material. Additionally, the EDS spectrum (Figure 3j) verifies the presence of Co and Se without detectable impurities. This microstructural and compositional homogeneity is critical for the exceptional electrochemical behavior of Co0.85Se in supercapacitor applications. It enhances charge storage and transfer properties, ensuring consistent and reliable energy storage performance.
The phase compositions of the synthesized materials were analyzed by X-ray diffraction (XRD). Figure 4a shows the XRD pattern of the as-synthesized Co(OH)F precursor obtained from the initial hydrothermal step, where all observed peaks are in close agreement with the orthorhombic Co(OH)F phase (JCPDS No. 50–0827) [33]. After selenization, the XRD pattern (Figure 4a) of the product closely matches that of hexagonal close-packed Co0.85Se (JCPDS No. 52–1008) [23,26], with peaks at approximately 33.6°, 45.0°, 51.1°, 60.5°, 62.5°, and 70.2° corresponding to Co0.85Se. These results confirm the successful transformation of Co(OH)F to Co0.85Se during the selenization process. Furthermore, the Co0.85Se/NF electrode material derived from Co(OH)F/NF exhibited no discernable diffraction peaks from impurities, indicating that the selenization process produced a high-crystalline product.
The XPS analysis of Co0.85Se microspheres offers an understanding of Co and Se oxidation states in the material. The survey spectrum (Figure 4b) shows the detection of C, O, Co, and Se, with carbon and oxygen attributed to the reference material and surface oxidation, respectively. The Co 2p XPS spectrum (Figure 4c) displayed a doublet with peaks at 780.8 eV (Co 2p3/2) and 796.7 eV (Co 2p1/2), indicating that cobalt is predominantly in the +2 oxidation state (Co2+). These observations are consistent with reported data for pure Co0.85Se [25,30,32]. Additionally, satellite peaks at 783.8 and 802.2 eV, characteristic of Co2+, indicate interactions between the cobalt 2p core level and valence electrons. In the Se core-level spectrum (Figure 4d), peaks observed at 54.5 and 58.8 eV are assigned to Se 3d5/2 and Se 3d3/2, respectively, which are characteristic of metal–selenide bonds (M–Se). These peaks confirm Co–Se bonding in the cobalt selenide structure [16,30,32]. The satellite peak at approximately 60.6 eV, similar to that observed for Co2⁺, indicates shake-up interactions. These results indicate that the Co0.85Se microspheres comprised Co2+ and Se in a metal–selenide configuration, consistent with the expected chemical structure of cobalt selenide.
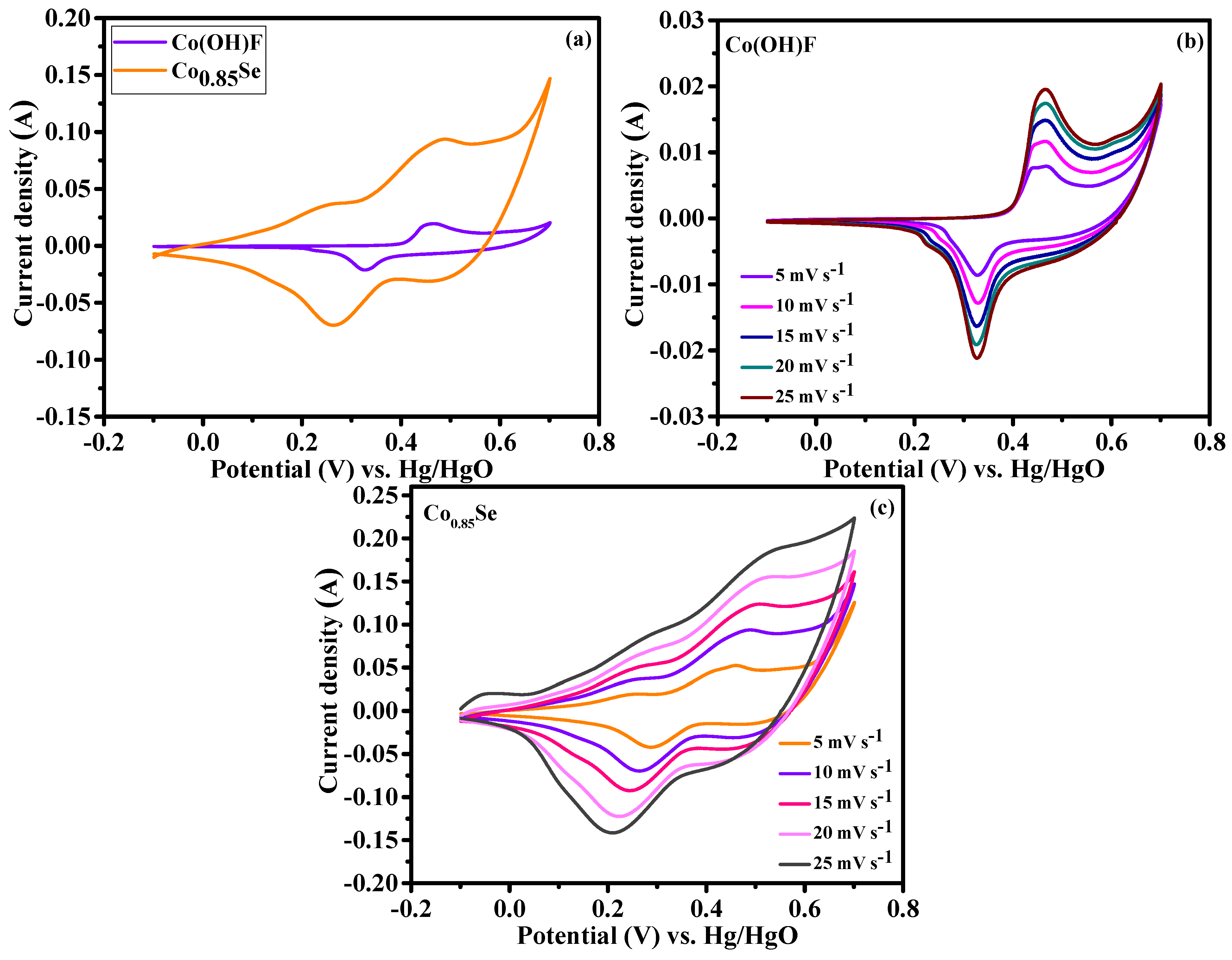
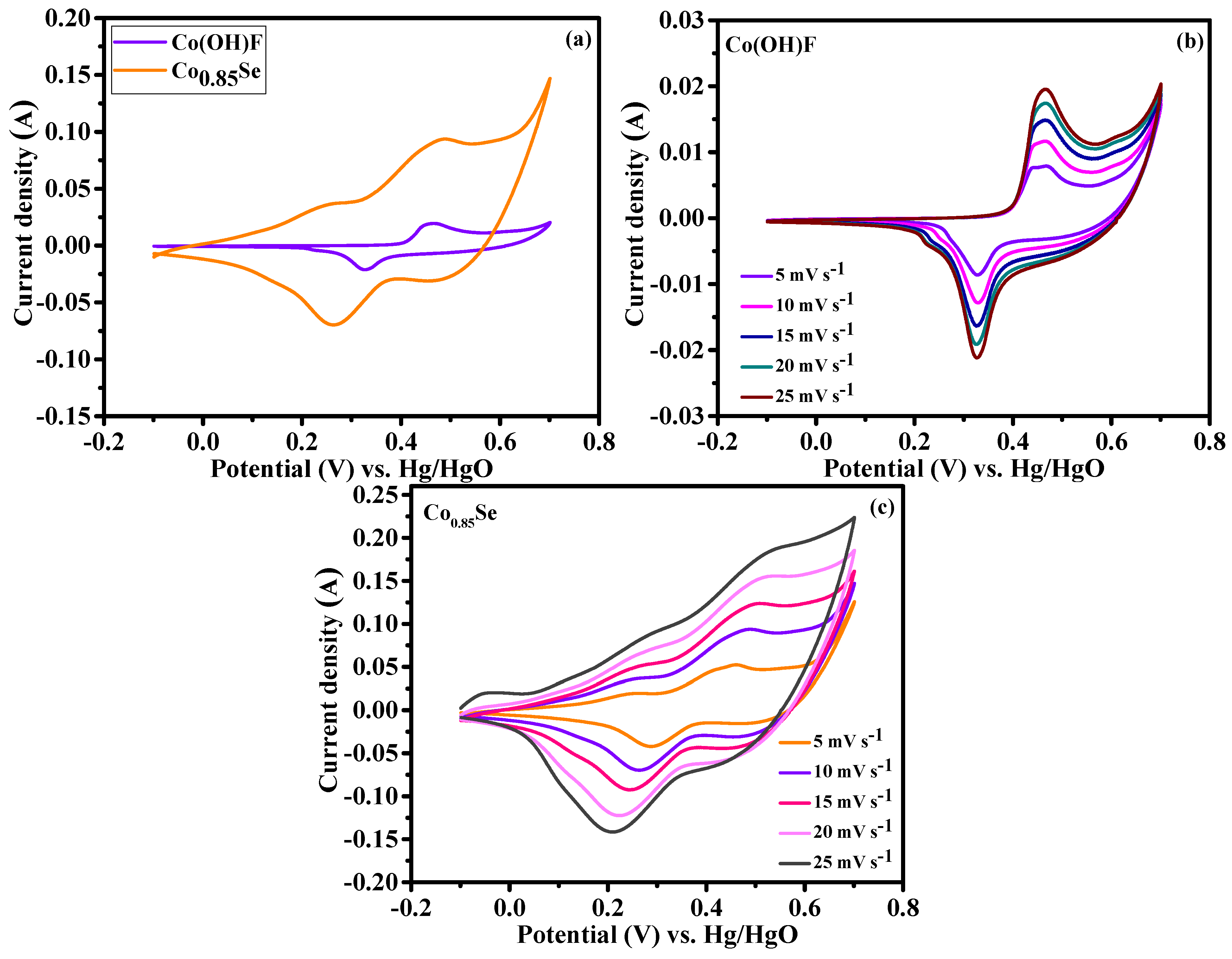
The electrochemical performance of Co(OH)F/NF and Co0.85Se/NF was evaluated using a three-electrode setup to determine their suitability as electrode materials for supercapacitors. The Co(OH)F/NF and Co0.85Se/NF materials, prepared in advance, were used as working electrodes, with a graphite rod and Hg/HgO electrode functioning as the counter and reference electrodes, respectively. A 2M KOH aqueous solution served as the electrolyte. Figure 5a presents the cyclic voltammetry (CV) curves of Co(OH)F/NF and Co0.85Se/NF electrode materials, recorded at a scan rate of 10 mV s⁻¹. Both materials exhibited CV profiles characteristic of battery-type behavior, featuring quasi-symmetric redox peaks [31]. These peaks indicate Faradaic processes driven by reversible reactions involving cobalt ions [33,34]. Co(OH)F exhibited stable redox activity because of its interconnected microcrystal network, which promotes efficient ion diffusion and consistent electron transfer. By contrast, Co0.85Se exhibited enhanced redox activity, as evidenced by broader peak currents, indicating superior charge storage capability.
Figure 5b,c show the CV curves of Co(OH)F/NF and Co0.85Se/NF, respectively, obtained at scan rates ranging from 5 to 25 mV s⁻¹. Both materials retained their characteristic redox peaks even at higher scan rates, indicating excellent electrochemical reversibility. For Co(OH)F/NF, an increase in peak currents with scan rate indicates efficient ion transport. Similarly, Co0.85Se/NF exhibited broader and more intense redox peaks at higher scan rates, demonstrating superior charge storage capacity and faster charge transfer kinetics. The separation between the anodic and cathodic peaks increased slightly with increasing scan rates for both materials, which can be attributed to polarization effects [24,35]. Despite this increase, the well-defined redox peaks confirmed the battery-type behavior of both electrodes, with Co0.85Se exhibiting a greater current response, highlighting its enhanced activity and superior charge dynamics. Furthermore, the small intensities observed for both oxidation and reduction currents when Co(OH)F and Co0.85Se are used in 2M KOH (Figure 5b,c) are related to the electrochemical processes occurring in the electrolyte solution. These currents correspond to the reversible redox reactions involving cobalt ions, particularly the transitions between different oxidation states of cobalt, such as Co2⁺ and Co3⁺. In the case of Co(OH)F and Co0.85Se, these reactions are typically associated with the Co2⁺/Co3⁺ redox couple, which occurs in the alkaline medium. The small peak intensities indicate that these redox processes are relatively weak or less pronounced, possibly due to factors such as the limited surface area available for electrochemical reactions or the Co(OH)F and Co0.85Se structures’ stability under the applied conditions.
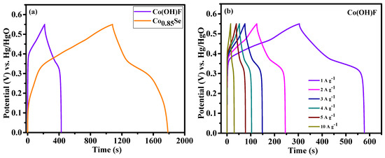
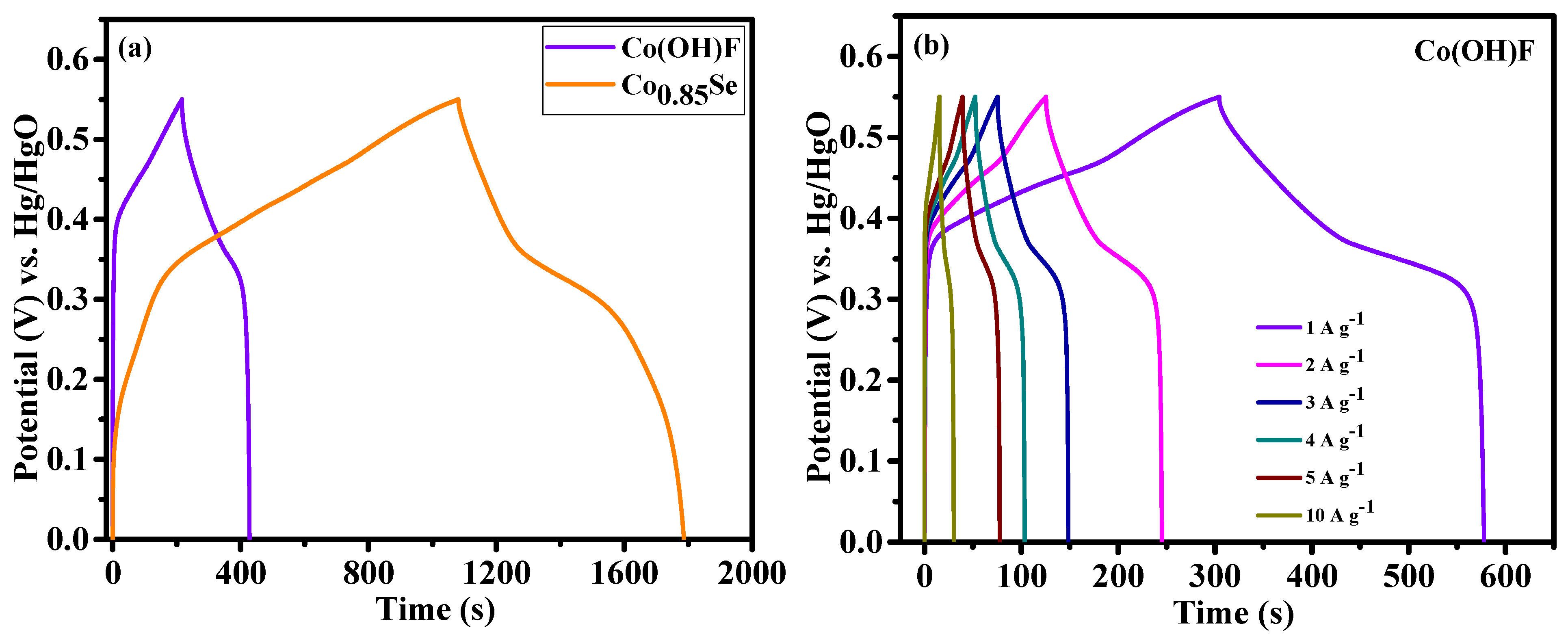
The galvanostatic charge-discharge (GCD) profiles were employed to examine the charge-discharge behavior of Co(OH)F/NF and Co0.85Se/NF electrodes at varying current densities. Figure 6a illustrates a comparison of the GCD profiles for the two materials, recorded within a potential range of 0–0.55 V at a current density of 1 A g⁻¹. The voltage characteristics of both Co(OH)F/NF and Co0.85Se/NF exhibited typical characteristics of battery-type materials, with distinct charge and discharge plateaus. These features correlate with the findings from the CV analysis and suggest a reversible Faradaic process, which is essential to the capacity behavior of these materials. The specific capacities were calculated using Equation (S1). At a current density of 1 A g−1, the specific capacities of Co(OH)F/NF and Co0.85Se/NF were 212.7 and 719 C g−1, respectively. This significant difference in capacity, with Co0.85Se/NF achieving over three times the capacity of Co(OH)F/NF, highlights its superior electrochemical performance at this current density. This improved performance is likely due to the spike-like subunits and rough surface morphology of the Co0.85Se microspheres, which enhanced their conductivity and ion accessibility.
Figure 6b,c show the detailed GCD curves for the Co(OH)F/NF and Co0.85Se/NF electrodes for a range of current densities from 1 to 10 A g−1. The Co0.85Se/NF electrode exhibited remarkable specific capacities of 719, 660, 612, 564, 515, and 370 C g−1 at current densities of 1, 2, 3, 4, 5, and 10 A g−1, respectively. By contrast, the Co(OH)F/NF electrode achieved specific capacities of 212.7, 169.2, 142.8, 124.4, 110, and 68 C g−1 at the same current density. The Co0.85Se/NF electrode exhibited remarkable electrochemical performance, outperforming previously reported Co-based electrode materials. For instance, it outperforms CoSe nanosheets (254.1 C g−1 or 70.6 mAh g−1) [16], Co0.85Se-2 nanosheets (111.6 C g−1 or 31.0 mAh g−1) [25], Co0.85Se thin films (59.2 C g−1 or 16.47 mAh g−1) [31], Co(OH)F-60 (389.9 C g−1) [33], V-doped Co0.85Se nanowire arrays (460.0 C g−1) [36], Ni0.6Co0.4Se (602.6 C g−1) [37], Co(CO3)0.5(OH).0.11H2O (693.0 C g−1) [38], and Co(OH)F/Ni(OH)2 (104.0 C g−1) [39]. This exceptional capacity, maintained across a range of current densities, underscores the outstanding electrochemical characteristics of the Co0.85Se/NF electrode compared with other state-of-the-art materials.
Figure 6d illustrates the specific capacities of Co(OH)F/NF and Co0.85Se/NF as a function of current density. Co0.85Se/NF consistently exhibited higher specific capacities than Co(OH)F/NF at all current densities. This exceptional performance can be ascribed to the higher electrical conductivity and enhanced ion diffusion of Co0.85Se/NF, which facilitates faster electron transfer and greater active material utilization. The capacity retention for both electrodes declined as the current densities were increased from 1 to 10 A g⁻¹. Co0.85Se/NF achieved a rate performance of 51.4%, surpassing Co(OH)F/NF (31.9%). At lower current densities (1, 2, and 3 A g−1), both materials exhibited relatively long charge-discharge times, indicating high reversibility and specific capacity. With the rise in current density, the charge-discharge duration is shortened due to the reduced time for ion diffusion and charge transfer [34,38]. At higher current densities (5 and 10 A g−1), Co(OH)F/NF exhibited a notable reduction in specific capacity, reflecting slower ion diffusion and lower rate capability. The observed reduction in performance at higher current densities indicates that Co(OH)F/NF may exhibit limited conductivity or structural stability under high current demands. In contrast, Co0.85Se/NF maintained a relatively higher specific capacity profile even at high current densities. This result indicates Co0.85Se’s superior rate capability due to its enhanced electrical conductivity and ion diffusion properties, allowing for efficient charge storage and faster charge-discharge cycles.
Electrochemical impedance spectroscopy (EIS) analysis offered important insights into the charge transport characteristics of the Co(OH)F/NF and Co0.85Se/NF electrodes. Figure 7a,b show Nyquist plots for both samples measured across a frequency spectrum of 0.01–100 kHz. These Nyquist diagrams were analyzed using the suggested equivalent circuit model (Figure S2), and the obtained parameters are summarized in Table 1. The Co0.85Se/NF electrode exhibited lower internal resistance (Rs) and charge transfer resistance (Rct) values of 0.48 Ω and 0.154 Ω, respectively, compared to the Co(OH)F/NF electrode (0.87 Ω and 0.43 Ω). This result indicates superior electrical conductivity and faster electron transport in the Co0.85Se/NF electrode. The reduction in Rct for Co0.85Se/NF is due to the selenization process, which enhances the intrinsic conductivity of the electrode by incorporating selenium into the structure. This modification facilitates more efficient electron transfer at the interface between the electrode and the electrolyte, which is crucial to improving energy storage performance. Additionally, the Rs values representing the combined resistance of the electrolyte, electrode, and contact interfaces, was slightly lower for Co0.85Se/NF than for Co(OH)F/NF. The slightly lower Rs value for Co0.85Se/NF reflects improved contact and ion transport pathways. The Nyquist plots corroborate these findings, as evidenced by the reduced semicircle diameter in the high-frequency region for Co0.85Se/NF, which corresponds to its lower Rct. In summary, the lower Rs and Rct values for Co0.85Se/NF indicate enhanced conductivity and superior charge transport dynamics, which significantly contribute to its superior electrochemical performance compared to Co(OH)F/NF. These EIS findings align with the CV and GCD results presented in the previous sections, further supporting the improved performance of the Co0.85Se/NF electrode.
The cycling stability of the Co(OH)F/NF and Co0.85Se/NF electrodes was assessed at a current density of 20 A g−1 over 10,000 cycles, as shown in Figure 8a,b. The Co(OH)F/NF electrode retained 70.2% of its capacity, while the Co0.85Se/NF electrode exhibited superior retention of 87.1%. The higher stability of Co0.85Se/NF can be attributed to its enhanced electrical conductivity, which facilitates efficient charge transport, and its robust spike-like structure, which accommodates ion insertion and extraction with minimal degradation. Furthermore, Co0.85Se/NF benefits from highly reversible Faradaic reactions, mitigating side reactions and structural fatigue. By contrast, Co(OH)F’s lower conductivity may result in greater stress and degradation during extended cycling, leading to comparatively reduced retention.
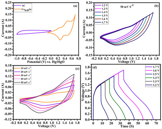
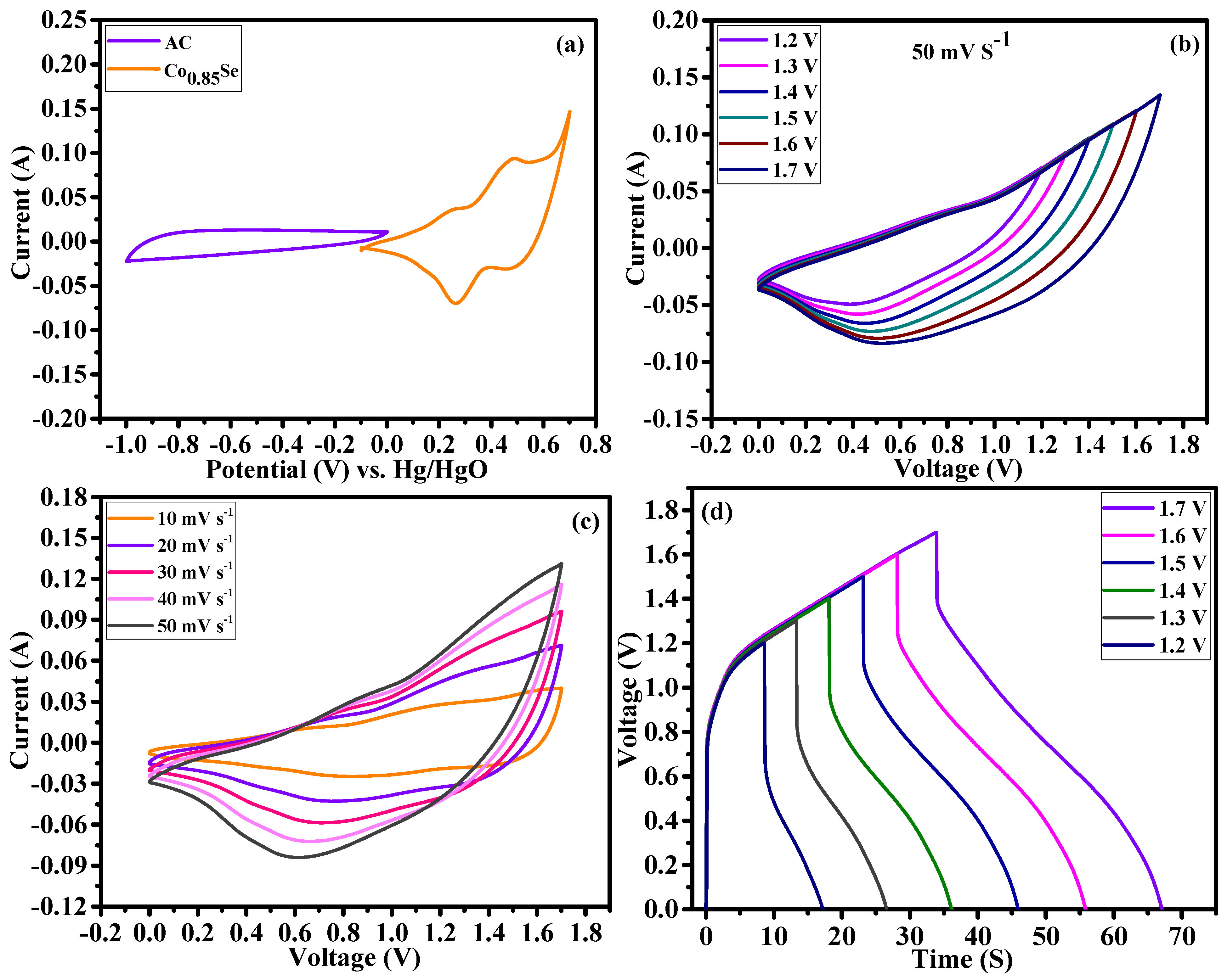
Building on the promising results obtained from the three-electrode system, an HSC device was assembled with Co0.85Se/NF as the positive electrode and AC as the negative electrode. The electrochemical performance of the HSC device was evaluated in a 2M KOH aqueous electrolyte, leveraging the synergistic combination of a Faradaic electrode (Co0.85Se) for high energy density and a non-Faradaic electrode (AC) for excellent power density. Before evaluating the HSC device, the electrochemical properties of the AC electrode were assessed in a three-electrode setup using 2M KOH as the electrolyte. The CV curves in Figure S3a exhibit a nearly rectangular shape characteristic of electric double-layer capacitance (EDLC) behavior. Charge storage occurs through the electrostatic adsorption of ions at the electrode–electrolyte interface without Faradaic reactions. The high surface area of the AC electrode (2700–3000 m2 g−1) enhances ion adsorption and electrolyte accessibility, maintaining a rectangular shape across scan rates of 10–50 mV s−1. GCD measurements conducted at various current densities ranging from 1–5 A g−1 further evaluated the specific capacitance of the AC electrode (Figure S3b). The GCD profiles exhibit nearly linear and symmetric charge-discharge curves, consistent with EDLC behavior and efficient energy storage mechanisms. The specific capacitance was calculated from the discharge curves using Equation (S2), yielding 287.3 F g−1 at a current density of 1 A g−1. These results confirm that AC is an exceptional material for EDLC-type electrodes, offering high specific capacitance and remarkable reversibility, making it an ideal choice for the negative electrode in HSC devices.
Figure 9a presents the comparative CV curves of the positive (Co0.85Se) and negative (AC) electrodes, recorded at a scan rate of 10 mV s−1 in a three-electrode configuration. The CV profiles highlight the distinct electrochemical characteristics of the two electrodes. The Co0.85Se/NF electrode exhibited Faradaic behavior, as evidenced by the presence of redox peaks, which indicate reversible redox reactions associated with Faradaic processes. In contrast, the AC electrode exhibited non-Faradaic behavior, characterized by a nearly rectangular CV curve, which is characteristic of EDLC.
The CV curves of the Co0.85Se/NF//AC HSC device were evaluated over a range of potential windows from 1.2 to 1.7 V at a constant scan rate of 50 mV s−1 (Figure 9b). The CV profiles remained stable across this range, with no evidence of the oxygen evolution reaction (OER) observed up to 1.7 V. The absence of an OER is critical for a suitable electrochemical window and stable energy storage without parasitic reactions. Based on these findings, the optimal operating potential window for an HSC device was established as 1.7 V. Figure 9c shows the CV curves of the Co0.85Se/NF//AC HSC device at scan rates ranging from 10 to 50 mV s−1. The CV curves exhibit a combination of redox peaks attributed to the Co0.85Se electrode and a rectangular shape characteristic of the AC electrode, highlighting the hybrid nature of the device. This combination reflects the contributions of both Faradaic and non-Faradaic capacitance. As expected, the area under the CV curves increased with the scan rate, indicating a greater current response for the HSC device. The consistent increase in the curve area indicates the device’s excellent electrochemical performance and rate capability, even at higher scan rates.
Figure 9d shows the GCD curves of the HSC device measured at different potential windows (1.2–1.7 V) under a constant current density of 5 A g−1. The non-linear charge-discharge profiles indicate a hybrid charge storage mechanism that combines redox and EDLC behaviors. The presence of both asymmetric and plateau regions reflects the Faradaic charge storage from the Co0.85Se electrode and the non-Faradaic charge storage from the AC electrode. Figure 9e shows the GCD curves of the HSC device measured at current densities ranging from 1 to 10 A g−1. As the current density increased, the curves exhibited asymmetry and distinct plateau regions, reaffirming the hybrid nature of the device. The specific capacitance of the HSC device was calculated from the discharge curves using Equation (S2), as shown in Figure 9f. At a current density of 1 A g−1, the device achieved a specific capacitance of 166 F g−1, highlighting the efficient charge storage capability of the hybrid system. As expected, the specific capacitance decreased slightly with increasing current density due to the limited time for ion diffusion and charge transfer. The specific capacitance values at various current densities were as follows: 166 F g−1 at 1 A g−1, 136.8 F g−1 at 2 A g−1, 122.1 F g−1 at 3 A g−1, 110.8 F g−1 at 4 A g−1, 100.9 F g−1 at 5 A g−1, and 87 F g−1 at 10 A g−1. This result indicates a gradual decrease with increasing current density. The HSC device exhibited excellent rate capability, retaining 87 F g−1 of its initial capacitance at 10 A g−1, proving its ability to maintain a significant portion of its charge storage capacity under fast charge-discharge conditions.
The long-term stability of HSC devices is critical for practical applications. To assess its cycling stability, the device underwent continuous charge-discharge tests for 10,000 cycles at a current density of 20 A g−1 (Figure 10a). The device retained approximately 81.1% of its initial capacitance after 10,000 cycles, demonstrating remarkable electrochemical stability. The high capacitance retention highlights the robustness and durability of the HSC device, underscoring its potential for long-term use in energy storage applications. The energy and power densities of the HSC device were calculated using Equations (S5) and (S6). The results are shown in the Ragone plot (Figure 10b). The Co0.85Se/NF//AC HSC device achieved a high energy density of 66.6 Wh kg−1 at a power density of 849.3 W kg⁻¹. Even at a significantly higher power density of 8489.2 W kg−1, the device maintained a respectable energy density of 31.9 Wh kg−1. These results indicate that the Co0.85Se/NF//AC HSC device outperforms several previously reported HSC devices, highlighting the superior electrochemical performance of the Co0.85Se/NF//AC configuration. A comparative analysis (Table 2) further highlights the superior energy and power densities of the Co0.85Se/NF//AC HSC device compared to state-of-the-art HSCs. For instance, Co0.85Se@NiNP//AC achieved 64.81 Wh kg−1 at 800 W kg−1 [38], Co0.85Se hollow spheres//AC yielded 54.6 Wh kg−1 at 1600 W kg−1 [26], VOCNT@Co0.85Se//AC delivered 21.47 Wh kg−1 at 325 W kg−1 [27], Co0.85Se nanosheets//AC achieved 51.2 Wh kg−1 at 800 W kg−1 [28], Co0.85Se NWAs//AC reached 71.3 Wh kg−1 at 800 W kg−1 [29], Co0.85Se//AAC yielded 23.95 Wh kg−1 at 800 W kg−1 [30], and CoSe2/CFF//AC/CFF achieved 22.43 Wh kg−1 at 823.12 W kg−1 [39]. These comparisons emphasize the outstanding performance of the Co0.85Se/NF//AC HSC device in terms of energy and power densities.

4. Conclusions

This study reports the development of Co0.85Se microsphere-like structures on an NF substrate as high-performance electrode materials for HSC devices. The Co0.85Se/NF electrode achieved a high specific capacity of 719 C g−1 at 1 A g−1, remarkable rate performance (retaining 51.4% of its capacity at 10 A g−1), and outstanding cycling stability (maintaining 87.1% of its initial capacity after 10,000 cycles at 20 A g−1). When assembled into an HSC device with an AC electrode, the Co0.85Se/NF//AC HSC delivered remarkable energy and power densities, achieving 66.6 Wh kg−1 at 849.3 W kg−1 and sustaining 34.9 Wh kg−1 at 8489.2 W kg−1. Additionally, the device exhibited excellent durability with 81.1% capacitance retention over 10,000 cycles. The results highlight the significant potential of Co0.85Se-based materials in advanced energy storage systems. The proposed synthesis strategy provides a promising pathway for the development of high-performance hybrid supercapacitors.

Supplementary Materials

The following supporting information can be downloaded at: https://www.mdpi.com/article/10.3390/cryst15030217/s1, Experimental parts such as chemicals and reagents, materials characterization, preparation of the activated carbon electrode, and electrochemical measurements. Figure S1: Schematic representation of the synthesis of Co0.85Se microsphere-like structures on an NF substrate. Figure S2: Equivalent circuit model used to fit the Nyquist plots of the Co(OH)F/NF and Co0.85Se/NF electrodes. Figure S3: Electrochemical performance of the negative electrode in a three-electrode configuration: (a) CV curves measured at different scan rates and (b) GCD profiles at varying current densities.

Author Contributions

J.A.R.: conceptualization, methodology, investigation, validation, data curation, software, writing—original draft preparation. S.-J.K.: formal analysis. R.M.: data curation, software. S.-H.K.: formal analysis. K.-S.A.: conceptualization, supervision, resources, project administration, funding acquisition, review and editing. All authors have read and agreed to the published version of the manuscript.

Funding

This research was supported by the Basic Science Research Program through the National Research Foundation of Korea (NRF) and funded by the Ministry of Education [grant number 2018R1D1A3B05042787]. This work was also supported by the “Human Resources Program in Energy Technology” of the Korea Institute of Energy Technology Evaluation and Planning (KETEP). Financial resources were also granted by the Ministry of Trade, Industry, and Energy, Republic of Korea [No. 20204010600100].

Data Availability Statement

The research data will be made available on request.

Conflicts of Interest

The authors declare no conflict of interest.

References

  1. Gao, D.; Luo, Z.; Liu, C.; Fan, S. A survey of hybrid energy devices based on supercapacitors. Green Energy Environ. 2023, 8, 972–988. [Google Scholar] [CrossRef]
  2. Zuo, W.; Li, R.; Zhou, C.; Li, Y.; Xia, J.; Liu, J. Battery-supercapacitor hybrid devices: Recent progress and future prospects. Adv. Sci. 2017, 4, 1600539. [Google Scholar] [CrossRef] [PubMed]
  3. Chatterjee, D.P.; Nandi, A.K. A review on the recent advances in hybrid supercapacitors. J. Mater. Chem. A 2021, 9, 15880–15918. [Google Scholar] [CrossRef]
  4. Lee, J.H.; Yang, G.; Kim, C.H.; Mahajan, R.L.; Lee, S.Y.; Park, S.J. Flexible solid-state hybrid supercapacitors for the internet of everything (IoE). Energy Environ. Sci. 2022, 15, 2233–2258. [Google Scholar] [CrossRef]
  5. Afif, A.; Rahman, S.M.H.; Azad, A.T.; Zaini, J.; Islan, M.A.; Azad, A.K. Advanced materials and technologies for hybrid supercapacitors for energy storage–A review. J. Energy Storage 2019, 25, 100852. [Google Scholar] [CrossRef]
  6. Ren, K.; Liu, Z.; Wei, T.; Fan, Z. Recent developments of transition metal compounds-carbon hybrid electrodes for high energy/power supercapacitors. Nano Micro Lett. 2021, 13, 129. [Google Scholar] [CrossRef]
  7. Liu, S.; Yang, J.; Chen, P.; Wang, M.; He, S.; Wang, L.; Qiu, J. Flexible electrodes for aqueous hybrid supercapacitors: Recent advances and future prospects. Electrochem. Energy Rev. 2024, 7, 25. [Google Scholar] [CrossRef]
  8. Liu, H.; Liu, X.; Wang, S.; Liu, H.K.; Li, L. Transition metal based battery-type electrodes in hybrid supercapacitors: A review. Energy Storage Mater. 2020, 28, 122–145. [Google Scholar] [CrossRef]
  9. Zhao, X.; Mao, L.; Cheng, Q.; Li, J.; Liao, F.; Yang, G.; Xie, L.; Zhao, C.; Chen, L. Two-dimensional spinel structured co-based materials for high performance supercapacitors: A critical review. Chem. Eng. J. 2020, 387, 124081. [Google Scholar] [CrossRef]
  10. Yang, L.; Lu, X.; Wang, S.; Wang, J.; Guan, X.; Guan, X.; Wang, G. Designed synthesis of nickel-cobalt-based electrode materials for high-performance solid-state hybrid supercapacitors. Nanoscale 2020, 12, 1921–1938. [Google Scholar] [CrossRef] [PubMed]
  11. Mule, A.K.; Ramulu, B.; Yu, J.S. Designing of hierarchical lychee fruit-like cobalt-selenide heterostructures with enhanced performance for hybrid supercapacitors. Electrochim. Acta 2022, 401, 139499. [Google Scholar] [CrossRef]
  12. Zhang, C.; Yang, J.; Li, H.; Su, M.; Xiong, B.; Gao, F.; Lu, Q. Multi-layered heterogeneous interfaces created in Co0.85Se@Ni3S4/NF to enhance supercapacitor performances by multi-step alternating electrodeposition. Dalton Trans. 2024, 53, 13087–13098. [Google Scholar] [CrossRef] [PubMed]
  13. Fan, J.; Peng, Z.; Chen, M.; Yang, W.; Zou, H.; Chen, S. Porous CoSe2 nanosheet arrays derived from zeolitic imidazolate frameworks on Ni foam for asymmetric supercapacitors. Dalton Trans. 2023, 52, 6782–6790. [Google Scholar] [CrossRef] [PubMed]
  14. Zhao, Z.; Yang, J.; Lin, J.; Wang, X.; Chen, D.; Jiao, L.; Zhang, Q.; Hou, Y.; Ye, Z.; Lu, J. Mesoporous Co0.85Se nanowire arrays for flexible asymmetric supercapacitors with high energy and power densities. J. Energy Storage 2023, 65, 107360. [Google Scholar] [CrossRef]
  15. Liu, S.; Sarwar, S.; Wang, J.; Zhang, H.; Li, T.; Luo, J.; Zhang, X. The microwave synthesis of porous CoSe2 nanosheets for super cycling performance supercapacitors. J. Mater. Chem. C 2021, 9, 228. [Google Scholar] [CrossRef]
  16. Zhu, Y.; Huang, Z.; Hu, Z.; Xi, L.; Ji, X.; Liu, Y. 3D interconnected ultrathin cobalt selenide nanosheets as cathode materials for hybrid supercapacitors. Electrochim. Acta 2018, 269, 30–37. [Google Scholar] [CrossRef]
  17. Dhanasekar, N.; Priya, S.S.; Arunkumar, K.; Bennet, M.A. Bio-waste derived 2 D rGO sheet supported Co9Se8 hybrid composite electrode for high performance supercapacitor applications. Diam. Relat. Mater. 2024, 147, 111304. [Google Scholar] [CrossRef]
  18. Liu, C.; Hu, Y.; Liu, F.; Liu, H.; Xu, X.; Xue, Y.; Zhang, J.; Li, Y.; Tang, C. Electronic structure modulation of CoSe2 nanowire arrays by tin doping toward efficient hydrogen evolution. Int. J. Hydrogen Energy 2021, 46, 17133–17142. [Google Scholar] [CrossRef]
  19. Wang, J.; Sarwar, S.; Song, J.; Du, L.; Li, T.; Zhang, Y.; Li, B.; Guo, Q.; Luo, J.; Zhang, X. One-step microwave synthesis of self-supported CoSe2@NiSe2 nanoflowers on 3D nickel foam for high performance supercapacitors. J. Alloys Compd. 2021, 892, 162079. [Google Scholar] [CrossRef]
  20. Subhadarshini, S.; Pavitra, E.; Raju, G.S.R.; Chodankar, N.R.; Mandal, A.; Roy, S.; Mandal, S.; Rao, M.V.B.; Goswami, D.K.; Huh, Y.S.; et al. One-pot facile synthesis and electrochemical evaluation of selenium enriched cobalt selenide nanotube for supercapacitor application. Ceram. Int. 2021, 47, 15293–15306. [Google Scholar] [CrossRef]
  21. Lee, Y.H.; Kang, J.S.; Jo, I.K.; Sung, Y.E.; Ahn, K.S. Double-layer cobalt selenide/nickel selenide with web-like nanostructures as a high-performance electrode material for supercapacitors. J. Electroanal. Chem. 2021, 895, 115479. [Google Scholar] [CrossRef]
  22. Ding, W.; Wu, X.; Li, Y.; Wang, S.; Miao, Z.; Zhou, P.; Zhou, J.; Zhuo, S. Three-dimensional graphene-wrapped Co0.85Se@C as high volumetric capacity anode material for lithium-ion batteries. Appl. Surf. Sci. 2021, 536, 147746. [Google Scholar] [CrossRef]
  23. Zhou, J.; Wang, Y.; Zhang, J.; Chen, T.; Song, H.; Yang, H.Y. Two dimensional layered Co0.85Se nanosheets as a high-capacity anode for lithium-ion batteries. Nanoscale 2016, 8, 14992–15000. [Google Scholar] [CrossRef] [PubMed]
  24. Gong, C.; Huang, M.; Zhou, P.; Sun, Z.; Fan, L.; Lin, J.; Wu, J. Mesoporous Co0.85Se nanosheets supported on Ni foam as a positive electrode material for asymmetric supercapacitor. Appl. Surf. Sci. 2016, 362, 469–476. [Google Scholar] [CrossRef]
  25. Wu, S.; Hu, Q.; Cui, T.; Zhang, H.; Su, Q.; Wang, Y.; Xue, Y.; Wu, L.; Yang, Q. One-pot synthesis of the flower-like Co0.85Se nanosheets as an anode material for long-life aqueous asymmetric supercapacitor. Synth. Met. 2020, 268, 116499. [Google Scholar] [CrossRef]
  26. Peng, H.; Ma, G.; Sun, K.; Zhang, Z.; Li, J.; Zhou, X.; Lei, Z. A novel aqueous asymmetric supercapacitor based on petal-like cobalt selenide nanosheets and nitrogen-doped porous carbon networks electrodes. J. Power Sources 2015, 297, 351–358. [Google Scholar] [CrossRef]
  27. Zhong, Q.S.; Xia, W.Y.; Liu, B.C.; Xu, C.W.; Li, N. Co0.85Se on three-dimensional hierarchical porous graphene-like carbon for highly effective oxygen evolution reaction. Int. J. Hydrogen Energy 2019, 44, 10182–10189. [Google Scholar] [CrossRef]
  28. Hussain, N.; Wu, F.; Xu, L.; Qian, Y. Co0.85Se hollow spheres constructed of ultrathin 2D mesoporous nanosheets as a novel bifunctional-electrode for supercapacitor and water splitting. Nano Res. 2019, 12, 2941–2946. [Google Scholar] [CrossRef]
  29. Chen, H.; Li, W.; He, M.; Chang, X.; Zheng, X.; Ren, Z. Vertically oriented carbon nanotube as a stable frame to support the Co0.85Se nanoparticles for high performance supercapacitor electrode. J. Alloys Compd. 2021, 855, 157506. [Google Scholar] [CrossRef]
  30. Younas, W.; Naveed, M.; Cao, C.; Khalid, S.; Rafai, S.; Wang, Z.; Wu, Y.; Yang, L. Rapid and simplistic microwave assisted method to synthesise cobalt selenide nanosheets; a prospective material for high performance hybrid supercapacitor. Appl. Surf. Sci. 2020, 505, 144618. [Google Scholar] [CrossRef]
  31. Mondal, A.; Lee, C.Y.; Chang, H.; Hasin, P.; Yang, C.R.; Lin, J.Y. Electrodeposited Co0.85Se thin films as free-standing cathode materials for high-performance hybrid supercapacitors. J. Taiwan Inst. Chem. Eng. 2021, 121, 205–216. [Google Scholar] [CrossRef]
  32. Rajesh, J.A.; Kim, J.Y.; Kang, S.H.; Ahn, K.S. Facile synthesis of microsphere-like Co0.85Se structures on nickel foam for a highly efficient hydrogen evolution reaction. Micromachines 2023, 14, 1905. [Google Scholar] [CrossRef]
  33. Rajesh, J.A.; Park, J.Y.; Kang, S.H.; Ahn, K.S. Effect of molar concentration on the crystallite structures and electrochemical properties of cobalt fluoride hydroxide for hybrid supercapacitors. Electrochim. Acta 2022, 414, 140203. [Google Scholar] [CrossRef]
  34. Kim, J.Y.; Rajesh, J.A.; Kwon, S.J.; Manikandan., R.; Kang, S.H.; Ahn., K.S. Tailored core/shell design: Co0.85Se nanowires embedded in NiCo-LDH for superior battery-type supercapacitor applications. J. Energy Storage 2024, 99, 113261. [Google Scholar] [CrossRef]
  35. Hu, B.; Liu, X.; Liu, A.; Ren, Y.; Guo, Z.; Mu, J.; Zhang, X.; Zhang, Z.; Liu, X.; Che, H. Reduced graphene oxide nanosheet-wrapped hollow cobalt selenide nanocubes as electrodes for supercapacitors. ACS Appl. Nano. Mater. 2021, 4, 13267–13278. [Google Scholar] [CrossRef]
  36. Jiao, Z.; Chen, Y.; Demir, M.; Du, M.; Gu, M.; Wang, C.; Zhang, X.; Deng, Y.; Wang, Z.; Wang, T.; et al. Vanadium-doped Co0.85Se nanowire arrays with high areal capacitance for hybrid supercapacitor electrodes. J. Energy Storage 2022, 52, 104929. [Google Scholar] [CrossRef]
  37. Wang, Y.; Liu, R.; Sun, S.; Wu, X. Facile synthesis of nickel-cobalt selenide nanoparticles as battery-type electrode for all-solid-state asymmetric supercapacitors. J. Colloid Interface Sci. 2019, 549, 16–21. [Google Scholar] [CrossRef] [PubMed]
  38. Rajesh, J.A.; Manikandan, R.; Kim, J.Y.; Ahn, K.S. Engineering of binder-free cobalt carbonate hydroxide hydrate nanostructure for high-performance hybrid supercapacitors. Electrochim. Acta 2023, 469, 143293. [Google Scholar] [CrossRef]
  39. Du, L.; Zhang, R.; Zhou, J.; Li, J.; Huang, X.; Luo, J. Microwave-synthesized self-supporting CoSe2/carbon fiber felt electrode for ultra-high cycling life flexible supercapacitors. Int. J. Hydrogen Energy 2022, 47, 12855–12864. [Google Scholar] [CrossRef]
  40. Li, X.; Ding, R.; Shi, W.; Xu, Q.; Ying, D.; Huang, Y.; Liu, E. Hierarchical porous Co(OH)F/Ni(OH)2: A new hybrid for supercapacitors. Electrochim. Acta 2018, 265, 455–473. [Google Scholar] [CrossRef]
  41. Zhou, Y.; Wang, Z.; Zheng, C.; Fu, Q.; Wu, M.; Zhao, H.; Lei, Y. Construction of Co0.85Se@nickel nanopores array hybrid electrode for high-performance asymmetric supercapacitors. Chem. Eng. Sci. 2022, 247, 117081. [Google Scholar] [CrossRef]
  42. Chen, X.; Mao, K.; Yang, C.; Ni, J.; Zhuang, G.; Huang, H.; Wang, X.; Yang, P. Successful synthesis of interconnected Co0.85Se nanosheets with high pore volume and its electrochemical performance in supercapacitors. J. Mater. Sci. Mater. Electron. 2018, 29, 20564–20572. [Google Scholar] [CrossRef]
Figure 1. FESEM images of Co(OH)F microcrystal structures: (a,b) low-magnification, (c,d) high-magnification, (e) FESEM, and (fi) elemental mappings along with the corresponding EDX spectrum.
Figure 1. FESEM images of Co(OH)F microcrystal structures: (a,b) low-magnification, (c,d) high-magnification, (e) FESEM, and (fi) elemental mappings along with the corresponding EDX spectrum.
Crystals 15 00217 g001
Figure 2. FESEM images of microsphere-like Co0.85Se structures: (a,b) low-magnification, (c,d) high-magnification, (e) FESEM, and (fh) elemental mappings with the corresponding EDX spectrum.
Figure 2. FESEM images of microsphere-like Co0.85Se structures: (a,b) low-magnification, (c,d) high-magnification, (e) FESEM, and (fh) elemental mappings with the corresponding EDX spectrum.
Crystals 15 00217 g002
Figure 3. FETEM images of microsphere-like Co0.85Se structures: (a,b) low-magnification TEM, (c,d) high-magnification TEM, (e) atomically resolved HRTEM, (f) SAED pattern, (g) HAADF, and (hj) elemental mappings obtained from HAADF-STEM along with the corresponding EDX spectrum.
Figure 3. FETEM images of microsphere-like Co0.85Se structures: (a,b) low-magnification TEM, (c,d) high-magnification TEM, (e) atomically resolved HRTEM, (f) SAED pattern, (g) HAADF, and (hj) elemental mappings obtained from HAADF-STEM along with the corresponding EDX spectrum.
Crystals 15 00217 g003
Figure 4. (a) XRD pattern of the Co(OH)F/NF and Co0.85Se/NF electrodes. (b) Survey scan spectrum of the Co0.85Se/NF electrode, and XPS deconvoluted spectra of (c) Co 2p and (d) Se 3d.
Figure 4. (a) XRD pattern of the Co(OH)F/NF and Co0.85Se/NF electrodes. (b) Survey scan spectrum of the Co0.85Se/NF electrode, and XPS deconvoluted spectra of (c) Co 2p and (d) Se 3d.
Crystals 15 00217 g004
Figure 5. Cyclic voltammetry performances of the Co(OH)F/NF and Co0.85Se/NF electrodes in a three-electrode system: (a) comparative CV curves, (b) CV curves of the Co(OH)F/NF at various scan rates, and (c) CV curves of the Co0.85Se/NF electrodes at various scan rates.
Figure 5. Cyclic voltammetry performances of the Co(OH)F/NF and Co0.85Se/NF electrodes in a three-electrode system: (a) comparative CV curves, (b) CV curves of the Co(OH)F/NF at various scan rates, and (c) CV curves of the Co0.85Se/NF electrodes at various scan rates.
Crystals 15 00217 g005
Figure 6. Charge-discharge performance of the Co(OH)F/NF and Co0.85Se/NF electrodes in a three-electrode system: (a) comparative GCD curves; (b) GCD curves of the Co(OH)F/NF electrodes at various current densities; (c) GCD curves of the Co0.85Se/NF electrodes at various current densities; (d) plots of specific capacities versus specific currents.
Figure 6. Charge-discharge performance of the Co(OH)F/NF and Co0.85Se/NF electrodes in a three-electrode system: (a) comparative GCD curves; (b) GCD curves of the Co(OH)F/NF electrodes at various current densities; (c) GCD curves of the Co0.85Se/NF electrodes at various current densities; (d) plots of specific capacities versus specific currents.
Crystals 15 00217 g006aCrystals 15 00217 g006b
Figure 7. Nyquist plots measured in a three-electrode system: (a) Co(OH)F/NF electrode and (b) Co0.85Se/NF electrode.
Figure 7. Nyquist plots measured in a three-electrode system: (a) Co(OH)F/NF electrode and (b) Co0.85Se/NF electrode.
Crystals 15 00217 g007aCrystals 15 00217 g007b
Figure 8. Cyclic performances measured at a current density of 20 A g−1 for 10,000 cycles in a three-electrode system: (a) Co(OH)F/NF electrode and (b) Co0.85Se/NF electrode.
Figure 8. Cyclic performances measured at a current density of 20 A g−1 for 10,000 cycles in a three-electrode system: (a) Co(OH)F/NF electrode and (b) Co0.85Se/NF electrode.
Crystals 15 00217 g008
Figure 9. Electrochemical characteristics of the Co0.85Se/NF//AC HSC device in a two-electrode configuration: (a) CV profiles for the positive and negative electrodes; (b) CV curves of the device across different potential windows; (c) CV curves at various scan rates; (d) GCD curves of the device at different potential windows; (e) GCD profiles at various current densities; (f) specific capacitance values as a function of current densities.
Figure 9. Electrochemical characteristics of the Co0.85Se/NF//AC HSC device in a two-electrode configuration: (a) CV profiles for the positive and negative electrodes; (b) CV curves of the device across different potential windows; (c) CV curves at various scan rates; (d) GCD curves of the device at different potential windows; (e) GCD profiles at various current densities; (f) specific capacitance values as a function of current densities.
Crystals 15 00217 g009aCrystals 15 00217 g009b
Figure 10. (a) Cyclic stability of the Co0.85Se/NF//AC HSC device over 10,000 cycles at a current density of 20 A g−1. (b) Ragone plot showing energy and power densities.
Figure 10. (a) Cyclic stability of the Co0.85Se/NF//AC HSC device over 10,000 cycles at a current density of 20 A g−1. (b) Ragone plot showing energy and power densities.
Crystals 15 00217 g010aCrystals 15 00217 g010b
Table 1. EIS fitted parameters for the three electrode–cell configurations.
Table 1. EIS fitted parameters for the three electrode–cell configurations.
ParametersCo(OH)FCo0.85Se
Rs/Ω cm20.870.48
Rct/Ω cm20.430.154
Cdl/mF cm−20.040.24
CPE/mF cm−20.331.22
WR/Ω cm22.920.9
Table 2. Comparative analysis of specific capacitance, energy density, and power density for the Co0.85Se/NF//AC HSC device and other reported energy storage devices.
Table 2. Comparative analysis of specific capacitance, energy density, and power density for the Co0.85Se/NF//AC HSC device and other reported energy storage devices.
HSC DevicesEnergy Density (Wh kg⁻¹)Power Density
(W kg⁻¹)
Specific CapacitanceRef.
Co0.85Se//AC66.6849.3166.0 F g−1 at 1 A g−1This work
Co0.85Se@NiNP//AC64.81800182.3 F g−1 at 1 A g−1[38]
Co0.85Se hollow spheres//AC54.61600153.75 F g−1 at 2 A g−1[26]
VOCNT@Co0.85Se//AC21.4732591.5 F g−1 at 0.5 A g−1[27]
Co0.85Se nanosheets//AC51.2800143.75 F g−1 at 1 A g−1[28]
Co0.85Se//AC46.2807.4129.8 F g−1 at 1 A g−1[40]
Co0.85Se//AC17.835726.5 F g−1 at 1 A g−1[41]
Co0.85Se//AC45800126 F g−1 at 1 A g−1[42]
Co0.85Se NWAs//AC71.3800200.4 F g−1 at 1 A g−1[29]
Co0.85Se//AAC23.9580016.47 mAh g−1 at 1 A g−1[30]
Co0.85Se//AC39.7789.6114.6 F g−1 at 1 A g−1[23]
Co0.85Se-2//AAC7.9467-[24]
Co0.85Se//N-PCNs21.1400-[25]
Disclaimer/Publisher’s Note: The statements, opinions and data contained in all publications are solely those of the individual author(s) and contributor(s) and not of MDPI and/or the editor(s). MDPI and/or the editor(s) disclaim responsibility for any injury to people or property resulting from any ideas, methods, instructions or products referred to in the content.

Share and Cite

MDPI and ACS Style

Rajesh, J.A.; Kwon, S.-J.; Manikandan, R.; Kang, S.-H.; Ahn, K.-S. Design of Co0.85Se Microsphere-like Architectures for High-Performance Hybrid Supercapacitors. Crystals 2025, 15, 217. https://doi.org/10.3390/cryst15030217

AMA Style

Rajesh JA, Kwon S-J, Manikandan R, Kang S-H, Ahn K-S. Design of Co0.85Se Microsphere-like Architectures for High-Performance Hybrid Supercapacitors. Crystals. 2025; 15(3):217. https://doi.org/10.3390/cryst15030217

Chicago/Turabian Style

Rajesh, John Anthuvan, Sang-Jun Kwon, Ramu Manikandan, Soon-Hyung Kang, and Kwang-Soon Ahn. 2025. "Design of Co0.85Se Microsphere-like Architectures for High-Performance Hybrid Supercapacitors" Crystals 15, no. 3: 217. https://doi.org/10.3390/cryst15030217

APA Style

Rajesh, J. A., Kwon, S.-J., Manikandan, R., Kang, S.-H., & Ahn, K.-S. (2025). Design of Co0.85Se Microsphere-like Architectures for High-Performance Hybrid Supercapacitors. Crystals, 15(3), 217. https://doi.org/10.3390/cryst15030217

Note that from the first issue of 2016, this journal uses article numbers instead of page numbers. See further details here.

Article Metrics

Back to TopTop