First-Principles Study of Mechanical Properties of Pb(ZrxTi1−x)O3 in the Cubic and Tetragonal Phase
Abstract
1. Introduction
2. Methods and Details
2.1. Calculation Methods
2.2. Calculation Models
3. Results and Discussion
3.1. Crystal Structure Parameters
3.2. Elastic Properties
3.3. Toughness and Brittleness
3.4. Elastic Anisotropy
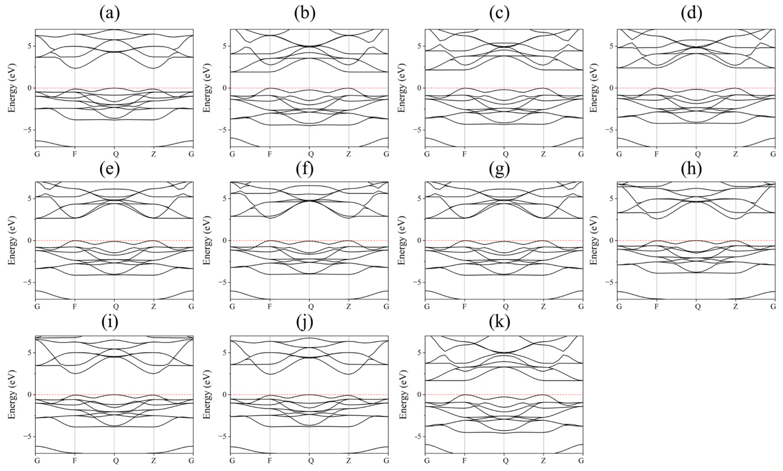
3.5. Band Strucutres
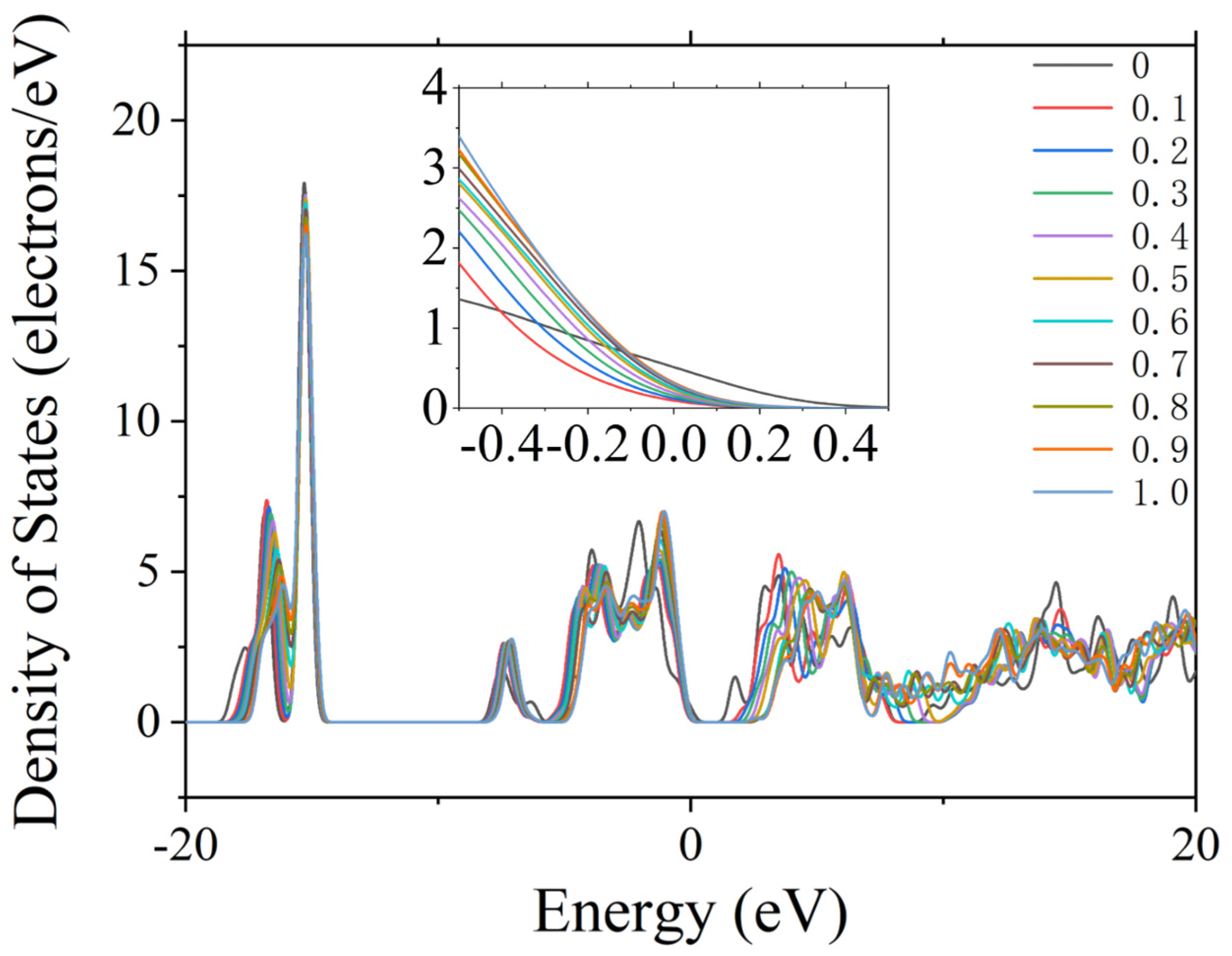
3.6. Electronic Structure
4. Conclusions
- (1)
- With the increase in Zr doping content, the lattice constant of the cubic phase Pb(ZrxTi1−x)O3 increases, while the lattice constants a, c and c/a of the tetragonal phase Pb(ZrxTi1−x)O3 decrease and then increase, and the axial ratio is minimized when the Zr doping content is 0.5.
- (2)
- The cubic and tetragonal phases Pb(ZrxTi1−x)O3 with different Zr contents remain mechanically stable, and the elastic constants, elastic modulus, and shear modulus of cubic and tetragonal phases Pb(ZrxTi1−x)O3 decrease with the increase in the Zr content, and these values take the maximum value when the Zr content is taken as 0.5, Pb(Zr0.5Ti0.5)O3 demonstrates superior mechanical properties.
- (3)
- In terms of tough-brittle properties, the cubic phase Pb(ZrxTi1−x)O3 always exhibits toughness, and the tetragonal phase Pb(ZrxTi1−x)O3 undergoes a transition from brittle to toughness as the Zr content increases, which meaning that the cubic phase Pb(ZrxTi1−x)O3 exhibits significant structural resilience.
- (4)
- The anisotropy of Pb(ZrxTi1−x)O3 in the cubic phase gradually increases with increasing Zr content, whereas the anisotropy in the tetragonal phase exhibits a decreasing trend. This suggests that the cubic phase of Pb(ZrxTi1−x)O3 offers enhanced designability as a dielectric material.
- (5)
- The tetragonal phase of Pb(ZrxTi1−x)O3 transitions from an indirect bandgap semiconductor to a direct bandgap semiconductor when the Zr content exceeds 0.5. With increasing Zr content, the cubic phase of Pb(ZrxTi1−x)O3 demonstrates enhanced electronic structure stability.
Author Contributions
Funding
Data Availability Statement
Conflicts of Interest
References
- Chen, J.G.; Tong, B.B.; Lin, J.Y.; Gao, X.Y.; Cheng, J.R.; Zhang, S.J. Tailoring the chemical heterogeneity of Mn-modified 0.75 BiFeO3-0.25 BaTiO3 ceramics for piezoelectric sensor applications. J. Eur. Ceram. Soc. 2022, 42, 3857–3864. [Google Scholar] [CrossRef]
- Tian, F.H.; Liu, Y.M.; Ma, R.L.; Li, F.; Xu, Z.; Yang, Y.C. Properties of PMN-PT single crystal piezoelectric material and its application in underwater acoustic transducer. Appl. Acoust. 2021, 175, 107827. [Google Scholar] [CrossRef]
- Lin, H.; Wang, F.X.; Ye, Y.L.; Zhuang, C.Y. Effect of BNT on piezoelectric and energy storage characteristics of piezoelectric ceramics and its application in underwater acoustic transducer. J. Mater. Sci.-Mater. Electron. 2024, 35, 1684. [Google Scholar] [CrossRef]
- Hu, L.Q.; Fu, L.W.; Ren, X.D.; Zheng, S.G.; Wang, S.H.; Xu, Z.; Yan, Y.K. High-temperature piezoelectric ultrasonic transducer based on BiScO3-PbTiO3 ceramics. Sens. Actuator A-Phys. 2023, 362, 114657. [Google Scholar] [CrossRef]
- Jin, Z.Q.; Wu, X.S.; Shi, S.J.; Wen, H.J.; Cao, J.F. Phase-Transition Induced Optimization of Energy Storage and Temperature Stability of NaNbO3 Doped BNBST Ceramics. ECS J. Solid State Sci. Technol. 2023, 12, 073009. [Google Scholar] [CrossRef]
- Bellaiche, L.; García, A.; Vanderbilt, D. Finite-temperature properties of Pb(Zr1-xTix)O3 alloys from first principles. Phys. Rev. Lett. 2000, 84, 5427–5430. [Google Scholar] [CrossRef]
- Damjanovic, D. Stress and frequency dependence of the direct piezoelectric effect in ferroelectric ceramics. J. Appl. Phys. 1997, 82, 1788–1797. [Google Scholar] [CrossRef]
- Hussein, R.A.; El-Okr, M.; Bashter, I.I.; Ibrahim, M. First Principles’ Investigation of Electronic Properties of Hf, Ag, Cd, Zn, Ce, Nd, Sm-Modified Lead Zirconate Titanate. J. Comput. Theor. Nanosci. 2016, 13, 7661–7665. [Google Scholar] [CrossRef]
- Zhou, M.J.; Wang, Y.; Ji, Y.Z.; Liu, Z.K.; Chen, L.Q.; Nan, C.W. First-principles lattice dynamics and thermodynamic properties of pre-perovskite PbTiO3. Acta Mater. 2019, 171, 146–153. [Google Scholar] [CrossRef]
- Li, M.J.; Xu, L.P.; Shi, K.; Zhang, J.Z.; Chen, X.F.; Hu, Z.G.; Dong, X.L.; Chu, J.H. Interband electronic transitions and phase diagram of PbZr1-xTixO3 (0.05 ≤x≤ 0.70) ceramics: Ellipsometric experiment and first-principles theory. Journal of Physics D-Applied Physics 2016, 49, 275305. [Google Scholar] [CrossRef]
- Kuma, S.; Woldemariam, M.M. Structural, Electronic, Lattice Dynamic, and Elastic Properties of SnTiO3 and PbTiO3 Using Density Functional Theory. Adv. Condens. Matter Phys. 2019, 2019, 3176148. [Google Scholar] [CrossRef]
- Wu, Z.; Krakauer, H. First-principles calculations of piezoelectricity and polarization rotation in Pb(Zr0.5Ti0.5)O3. Phys. Rev. B 2003, 68, 014112. [Google Scholar] [CrossRef]
- Peng, G. Frist-Principle Calculation and Ferroelectric Properties of PZT. Ph.D. Thesis, Huazhong University of Science and Technology, Wuhan, China, 2006. [Google Scholar]
- Kim, S.; Lee, W.J.; Cho, Y.H.; Shim, M.; Kim, S. Piezoelectricity in PbZrxTi1-xO3 Studied by Density-Functional Perturbation Theory Supercell Calculations. Jpn. J. Appl. Phys. 2013, 52, 091101. [Google Scholar] [CrossRef]
- Hong, I.; Kim, J.H.; Shin, H.Y.; Chung, C.Y.; Paik, U.G.; Im, J.I. Dependence of local atomic structure on piezoelectric properties of PbZr1-xTixO3 materials. J. Asian Ceram. Soc. 2022, 10, 514–519. [Google Scholar] [CrossRef]
- Wang, G.; Lu, Z.L.; Li, Y.; Li, L.H.; Ji, H.F.; Feteira, A.; Zhou, D.; Wang, D.W.; Zhang, S.J.; Reaney, I.M. Electroceramics for High-Energy Density Capacitors: Current Status and Future Perspectives. Chem. Rev. 2021, 121, 6124–6172. [Google Scholar] [CrossRef]
- Liu, Y.; Xu, G.; Song, C.; Ren, Z.; Zheng, Y. First-principles study of elastic properties in perovskite PbTiO3. Mater. Sci. Eng. A 2008, 472, 269–272. [Google Scholar] [CrossRef]
- Liu, S.Y.; Shao, Q.S.; Yu, D.S.; Lü, Y.K.; Li, D.J.; Li, Y.; Cao, M.S. First-principles study on the geometric and electronic structures and phase transition of PbZr(1-x)TixO3 solid solutions. Chin. Phys. B 2013, 22, 017702. [Google Scholar] [CrossRef]
- Xiao, H.; Fan, T.W.; Wang, Z.P.; Hu, T.; Tang, X.; Ma, L.; Tang, P.Y. High-throughput first-principle calculations of the structural, mechanical, and electronic properties of cubic XTiO3 (X = Ca, Sr, Ba, Pb) ceramics under high pressure. Int. J. Quantum Chem. 2020, 120, e26168. [Google Scholar] [CrossRef]
- Marton, P.; Elsässer, C. First-principles study of structural and elastic properties of the tetragonal ferroelectric perovskite Pb(Zr0.50Ti0.5O3. Phys. Status Solidi B-Basic Solid State Phys. 2011, 248, 2222–2228. [Google Scholar] [CrossRef]
- Heifets, E. Ab initio Study of Elastic Properties of Pb(Ti,Zr)O3. Am. Inst. Phys. 2002, 626, 150–159. [Google Scholar]
- Cohen, R.E.; Heifets, E.; Fu, H. First-principles computation of elasticity of Pb(Zr,Ti)O_3: The importance of elasticity in piezoelectrics. Am. Inst. Phys. 2001, 582, 11–22. [Google Scholar]
- Wen, Z.Q.; Huang, B.R.; Lu, T.Y.; Zou, Z.G. Pressure on the Structure and Thermal Properties of PbTiO3: First-principle Study. J. Inorg. Mater. 2022, 37, 787–794. [Google Scholar] [CrossRef]
- Wattanasarn, H.; Seetawan, T. Elastic Properties and Debye Temperature of Zn Doped PbTiO3 from First Principles Calculation. Integr. Ferroelectr. 2014, 155, 59–65. [Google Scholar] [CrossRef]
- Chen, H.C.; Lei, X.; Yang, L.J.; Long, J.P. Compositional effect of zirconium on structural, electronical, elastic and thermodynamic properties of PbTi(1-x)ZrxO3. Superlattices Microstruct. 2013, 64, 274–282. [Google Scholar] [CrossRef]
- Fokides, E.; Lagopati, G. The utilization of 3D printers by elementary-aged learners: A Scoping Review. J. Inf. Technol. Educ.-Innov. Pract. 2024, 23, 006. [Google Scholar] [CrossRef]
- Li, Z.Y.; Li, J.; Luo, H.; Yuan, X.; Wang, X.F.; Xiong, H.W.; Zhang, D. Direct ink writing of 3D piezoelectric ceramics with complex unsupported structures. J. Eur. Ceram. Soc. 2022, 42, 3841–3847. [Google Scholar] [CrossRef]
- Li, S.Y.; Shan, Y.B.; Chen, J.Y.; Chen, X.T.; Shi, Z.Q.; Zhao, L.S.; He, R.J.; Li, Y. 3D Printing and Biomedical Applications of Piezoelectric Composites: A Critical Review. Adv. Mater. Technol. 2024, 32, 2401160. [Google Scholar] [CrossRef]
- Chen, Z.W.; Li, Z.Y.; Li, J.J.; Liu, C.B.; Lao, C.S.; Fu, Y.L.; Liu, C.Y.; Li, Y.; Wang, P.; He, Y. 3D printing of ceramics: A review. J. Eur. Ceram. Soc. 2019, 39, 661–687. [Google Scholar] [CrossRef]
- Chen, C.; Wang, X.; Wang, Y.; Yang, D.D.; Yao, F.Y.; Zhang, W.X.; Wang, B.; Sewvandi, G.A.; Yang, D.S.; Hu, D.W. Additive Manufacturing of Piezoelectric Materials. Adv. Funct. Mater. 2020, 30, 2005141. [Google Scholar] [CrossRef]
- Howard, R.H.; Meunier, M. Molecular Modelling with Materials Studio®; CRC Press: Boca Raton, FL, USA, 2019. [Google Scholar]
- Xin-Dong, P.; Yan, W.; Hong-Zhong, C.; Xiao-Hong, Q.; Xu, Z.; Chang-Yi, H.; Xu-Xiang, Z. Effect of Rh content on the mechanical properties of Ir-Rh alloy based on the first principle. Acta Phys. Sin. 2016, 65, 156201. [Google Scholar] [CrossRef]
- Akgenc, B.; Kinaci, A.; Tasseven, C.; Cagin, T. First-principles calculations on stability and mechanical properties of various ABO3 and their alloys. Mater. Chem. Phys. 2018, 205, 315–324. [Google Scholar] [CrossRef]
- Hachemi, A.; Hachemi, H.; Ferhat-Hamida, A.; Louail, L. Elasticity of SrTiO3 perovskite under high pressure in cubic, tetragonal and orthorhombic phases. Phys. Scr. 2010, 82, 025602. [Google Scholar] [CrossRef]
- Duan, Y.; Tang, G.; Chen, C.; Lu, T.; Wu, Z. First-principles investigations of ferroelectricity and piezoelectricity in BaTiO3/PbTiO3 superlattices. Phys. Rev. B 2012, 85, 054108. [Google Scholar] [CrossRef]
- Patil, S.K.R.; Khare, S.V.; Tuttle, B.R.; Bording, J.K.; Kodambaka, S. Mechanical stability of possible structures of PtN investigated using first-principles calculations. Phys. Rev. B-Condens. Matter Mater. Phys. 2006, 73, 104118. [Google Scholar] [CrossRef]
- Taib, M.F.M.; Yaakob, M.K.; Badrudin, F.W.; Rasiman, M.S.A.; Kudin, T.I.T.; Hassan, O.H.; Yahya, M.Z.A. First-Principles Comparative Study of the Electronic and Optical Properties of Tetragonal (P4mm) ATiO3 (A = Pb,Sn,Ge). Integr. Ferroelectr. 2014, 155, 23–32. [Google Scholar] [CrossRef]
- Voigt, W. Lehrbuch der Kristallphysik; Teubner Leipzig: Leipzig, Germany, 1928; p. 739. [Google Scholar]
- Long, J.; Yang, L.; Wei, X. First-principles study on the elastic property of hexagonal alunite. Phys. B Condens. Matter 2012, 407, 2606–2609. [Google Scholar] [CrossRef]
- Watt, J.P.; Davies, G.F.; O’Connell, R.J. The elastic properties of composite materials. Rev. Geophys. 1976, 14, 541–563. [Google Scholar] [CrossRef]
- Pugh, S.F. The London, Edinburgh, and Dublin philosophical magazine and journal of science: Series 7. Philos. Mag. 1954, 45, 823–827. [Google Scholar] [CrossRef]
- Hosseini, S.M.; Movlarooy, T.; Kompany, A. First-principle calculations of the cohesive energy and the electronic properties of PbTiO3. Phys. B Condens. Matter 2007, 391, 316–321. [Google Scholar] [CrossRef]
- Zhang, Y.B.; Sun, J.W.; Perdew, J.P.; Wu, X.F. Comparative first-principles studies of prototypical ferroelectric materials by LDA, GGA, and SCAN meta-GGA. Phys. Rev. B 2017, 96, 035143. [Google Scholar] [CrossRef]
- Leite, E.R.; Santos, L.P.S.; Carreño, N.L.V.; Longo, E.; Paskocimas, C.A.; Varela, J.A.; Lanciotti, F.; Campos, C.E.M.; Pizani, P.S. Photoluminescence of nanostructured PbTiO3 processed by high-energy mechanical milling. Appl. Phys. Lett. 2001, 78, 2148–2150. [Google Scholar] [CrossRef]

















| System | Space Group | Crystal System | a/Å | c/Å |
|---|---|---|---|---|
| PbTiO3 | Pm-3m | Cubic | 3.97 | 3.97 |
| Cal [33] | Pm-3m | Cubic | 3.96 | 3.96 |
| Pb(Zr0.1Ti0.9)O3 | Pm-3m | Cubic | 3.99 | 3.99 |
| Pb(Zr0.2Ti0.8)O3 | Pm-3m | Cubic | 4.00 | 4.00 |
| Pb(Zr0.3Ti0.7)O3 | Pm-3m | Cubic | 4.02 | 4.02 |
| Pb(Zr0.4Ti0.6)O3 | Pm-3m | Cubic | 4.04 | 4.04 |
| Pb(Zr0.5Ti0.5)O3 | Pm-3m | Cubic | 4.06 | 4.06 |
| Cal [33] | Pm-3m | Cubic | 4.07 | 4.07 |
| Pb(Zr0.6Ti0.4)O3 | Pm-3m | Cubic | 4.08 | 4.08 |
| Pb(Zr0.7Ti0.3)O3 | Pm-3m | Cubic | 4.11 | 4.11 |
| Pb(Zr0.8Ti0.2)O3 | Pm-3m | Cubic | 4.13 | 4.13 |
| Pb(Zr0.9Ti0.1)O3 | Pm-3m | Cubic | 4.16 | 4.16 |
| PbZrO3 | Pm-3m | Cubic | 4.19 | 4.19 |
| Cal [33] | Pm-3m | Cubic | 4.20 | 4.20 |
| PbTiO3 | P4MM | Tetragonal | 3.89 | 4.16 |
| Cal [25] | P4MM | Tetragonal | 3.89 | 4.14 |
| Expt. [34] | P4MM | Tetragonal | 3.94 | 4.17 |
| Pb(Zr0.1Ti0.9)O3 | P4MM | Tetragonal | 3.93 | 4.06 |
| Pb(Zr0.2Ti0.8)O3 | P4MM | Tetragonal | 3.95 | 4.03 |
| Pb(Zr0.3Ti0.7)O3 | P4MM | Tetragonal | 3.98 | 4.03 |
| Pb(Zr0.4Ti0.6)O3 | P4MM | Tetragonal | 3.99 | 4.04 |
| Pb(Ti0.5Zr 0.5)O3 | P4MM | Tetragonal | 4.02 | 4.06 |
| Cal [25] | P4MM | Tetragonal | 4.04 | 4.06 |
| Pb(Zr0.6Ti0.4)O3 | P4MM | Tetragonal | 4.04 | 4.09 |
| Pb(Zr0.7Ti0.3)O3 | P4MM | Tetragonal | 4.06 | 4.12 |
| Pb(Zr0.8Ti0.2)O3 | P4MM | Tetragonal | 4.09 | 4.16 |
| Pb(Zr0.9Ti0.1)O3 | P4MM | Tetragonal | 4.10 | 4.20 |
| PbZrO3 | P4MM | Tetragonal | 4.12 | 4.25 |
| System | Crystal System | C11 | C12 | C13 | C33 | C44 | C66 |
|---|---|---|---|---|---|---|---|
| PbTiO3 | Cubic | 281.43 | 119.45 | - | 98.50 | - | - |
| Cal [33] | Cubic | 281.67 | 119.78 | - | 103.75 | - | - |
| Pb(Zr0.1Ti0.9)O3 | Cubic | 283.03 | 116.32 | - | 96.22 | - | - |
| Pb(Zr0.2Ti0.8)O3 | Cubic | 286.88 | 114.12 | - | 93.60 | - | - |
| Pb(Zr0.3Ti0.7)O3 | Cubic | 287.75 | 109.83 | - | 90.89 | - | - |
| Pb(Zr0.4Ti0.6)O3 | Cubic | 289.64 | 107.30 | - | 87.79 | - | - |
| Pb(Zr0.5Ti0.5)O3 | Cubic | 290.54 | 103.93 | - | 84.59 | - | - |
| Cal [33] | Cubic | 296.44 | 101.84 | - | 76.53 | - | - |
| Pb(Zr0.6Ti0.4)O3 | Cubic | 291.96 | 101.32 | - | 80.92 | - | - |
| Pb(Zr0.7Ti0.3)O3 | Cubic | 292.93 | 98.50 | - | 77.15 | - | - |
| Pb(Zr0.8Ti0.2)O3 | Cubic | 292.24 | 94.60 | - | 73.28 | - | - |
| Pb(Zr0.9Ti0.1)O3 | Cubic | 291.57 | 90.95 | - | 69.27 | - | - |
| PbZrO3 | Cubic | 289.58 | 86.66 | - | 65.32 | - | - |
| Cal [33] | Cubic | 301.27 | 84.91 | - | 58.94 | - | - |
| PbTiO3 | Tetragonal | 259.19 | 107.39 | 82.59 | 64.64 | 86.86 | 100.84 |
| Cal [25] | Tetragonal | 259.54 | 107.25 | 86.18 | 58.16 | 77.25 | 101.21 |
| Expt. [34] | Tetragonal | 235 | 110 | 92 | 105 | 65.1 | 104 |
| Pb(Zr0.1Ti0.9)O3 | Tetragonal | 283.02 | 110.57 | 93.94 | 97.12 | 92.35 | 99.03 |
| Pb(Zr0.2Ti0.8)O3 | Tetragonal | 292.46 | 110.26 | 102.12 | 149.89 | 93.20 | 96.46 |
| Pb(Zr0.3Ti0.7)O3 | Tetragonal | 296.48 | 107.29 | 107.42 | 193.52 | 91.88 | 93.53 |
| Pb(Zr0.4Ti0.6)O3 | Tetragonal | 305.11 | 103.89 | 109.56 | 212.76 | 91.96 | 92.85 |
| Pb(Ti0.5Zr 0.5)O3 | Tetragonal | 296.80 | 100.17 | 110.54 | 234.69 | 86.34 | 87.02 |
| Cal [25] | Tetragonal | 261.13 | 91.76 | 88.77 | 195.72 | 73.37 | 85.79 |
| Pb(Zr0.6Ti0.4)O3 | Tetragonal | 303.70 | 95.68 | 107.82 | 232.92 | 85.34 | 85.92 |
| Pb(Zr0.7Ti0.3)O3 | Tetragonal | 284.68 | 86.33 | 106.86 | 233.03 | 73.23 | 80.26 |
| Pb(Zr0.8Ti0.2)O3 | Tetragonal | 281.40 | 85.32 | 103.74 | 210.90 | 76.00 | 76.31 |
| Pb(Zr0.9Ti0.1)O3 | Tetragonal | 271.78 | 76.59 | 100.45 | 201.17 | 71.51 | 73.63 |
| PbZrO3 | Tetragonal | 254.63 | 70.27 | 97.96 | 182.27 | 67.69 | 69.27 |
Disclaimer/Publisher’s Note: The statements, opinions and data contained in all publications are solely those of the individual author(s) and contributor(s) and not of MDPI and/or the editor(s). MDPI and/or the editor(s) disclaim responsibility for any injury to people or property resulting from any ideas, methods, instructions or products referred to in the content. |
© 2025 by the authors. Licensee MDPI, Basel, Switzerland. This article is an open access article distributed under the terms and conditions of the Creative Commons Attribution (CC BY) license (https://creativecommons.org/licenses/by/4.0/).
Share and Cite
Ran, X.; Zhou, S.; Zhou, S.; Lei, W.; Xiang, L.; Wu, Y.; Hu, B.; Tao, J.; Chen, Q. First-Principles Study of Mechanical Properties of Pb(ZrxTi1−x)O3 in the Cubic and Tetragonal Phase. Crystals 2025, 15, 160. https://doi.org/10.3390/cryst15020160
Ran X, Zhou S, Zhou S, Lei W, Xiang L, Wu Y, Hu B, Tao J, Chen Q. First-Principles Study of Mechanical Properties of Pb(ZrxTi1−x)O3 in the Cubic and Tetragonal Phase. Crystals. 2025; 15(2):160. https://doi.org/10.3390/cryst15020160
Chicago/Turabian StyleRan, Xudong, Shaolan Zhou, Shaowen Zhou, Wei Lei, Lin Xiang, Yang Wu, Bingfei Hu, Jianquan Tao, and Qiang Chen. 2025. "First-Principles Study of Mechanical Properties of Pb(ZrxTi1−x)O3 in the Cubic and Tetragonal Phase" Crystals 15, no. 2: 160. https://doi.org/10.3390/cryst15020160
APA StyleRan, X., Zhou, S., Zhou, S., Lei, W., Xiang, L., Wu, Y., Hu, B., Tao, J., & Chen, Q. (2025). First-Principles Study of Mechanical Properties of Pb(ZrxTi1−x)O3 in the Cubic and Tetragonal Phase. Crystals, 15(2), 160. https://doi.org/10.3390/cryst15020160

