Dynamics of Core–Shell-Structured Sorbents for Enhanced Adsorptive Separation of Carbon Dioxide
Abstract
1. Introduction
2. Materials and Methods
2.1. Mathematical Model of a Single Hybrid Particle
- The analyzed process of physical adsorption of CO2 in the hybrid particle occurs under non-isothermal conditions;
- The particle is spherical and symmetrical, which leads to a one-dimensional description of the concentrations of components and temperature along its radius;
- The gas mixture within the particle and its surroundings contains only CO2 and N2;
- The gas mixture follows the ideal gas law;
- The main mechanism of mass transport is diffusion, and therefore viscous flow is neglected;
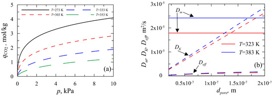
- The mass transport in macropores follows a molecular and Knudsen diffusion mechanism, whereas in the micropores of the crystals, configurational (intracrystalline) diffusion mechanism takes place [19];
- CO2 is the only component that is subjected to adsorption which is motivated by the results reported in [20];
- The chemisorption of CO2 on zeolite 5A is neglected, which is motivated by the fact that in the absence of H2O its physisorption strongly dominates over chemisorption [24];
- During the adsorption process examined in this study, the nickel catalyst behaves like inert, which was motivated by the findings provided in [25];
- Physical, thermal and transport properties are independent of temperature.
2.2. Numerical Solution and Model Parameters
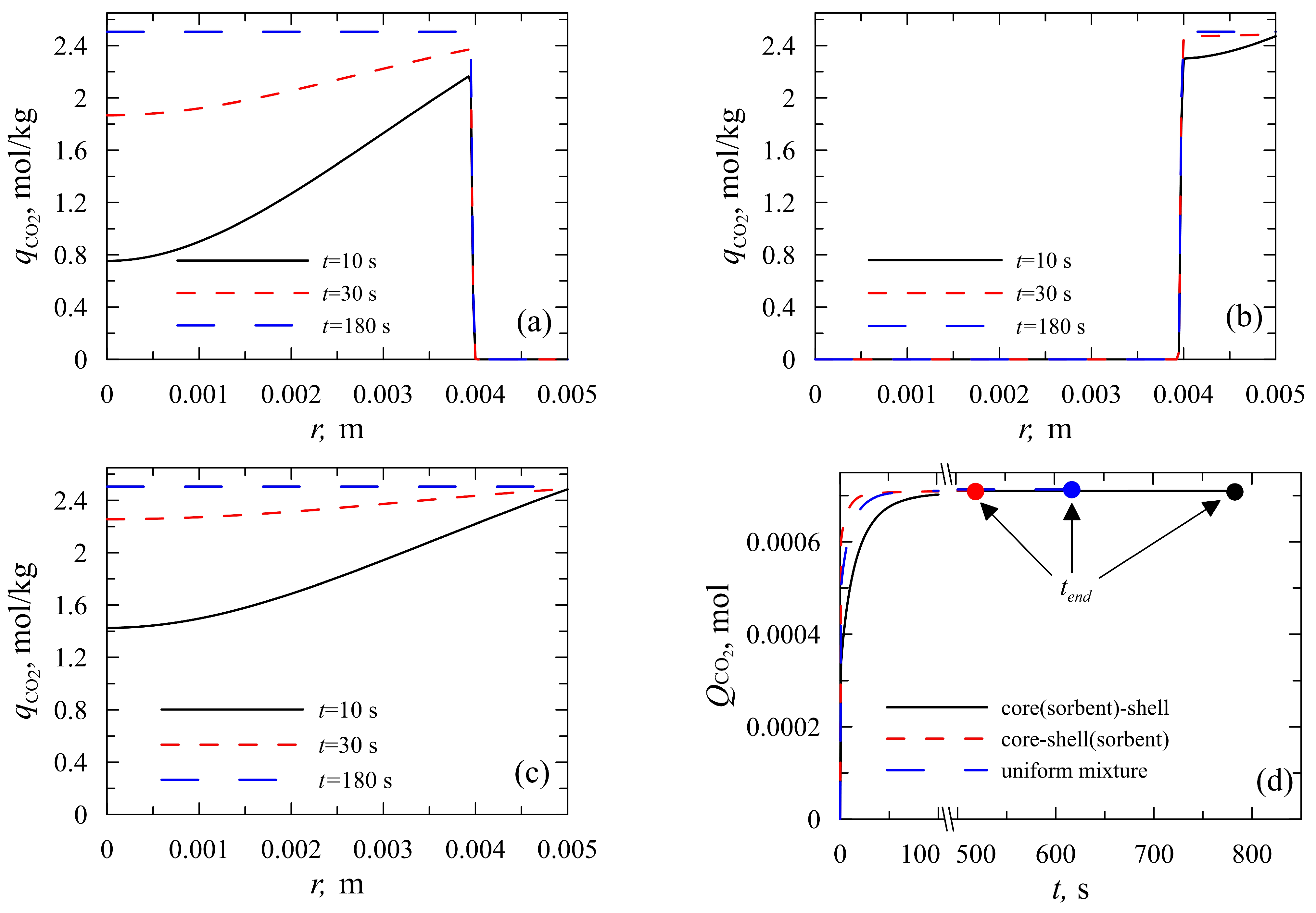
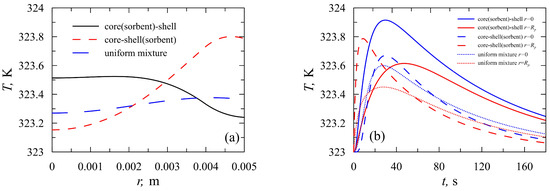
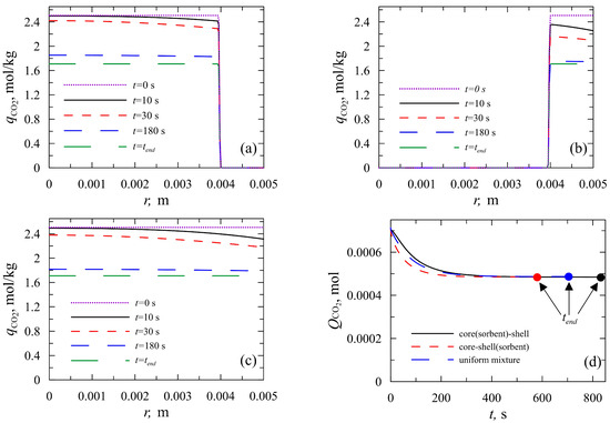
- The effect of particle structure on the dynamics of CO2 adsorption, including the time required to saturate the particle with adsorbate;
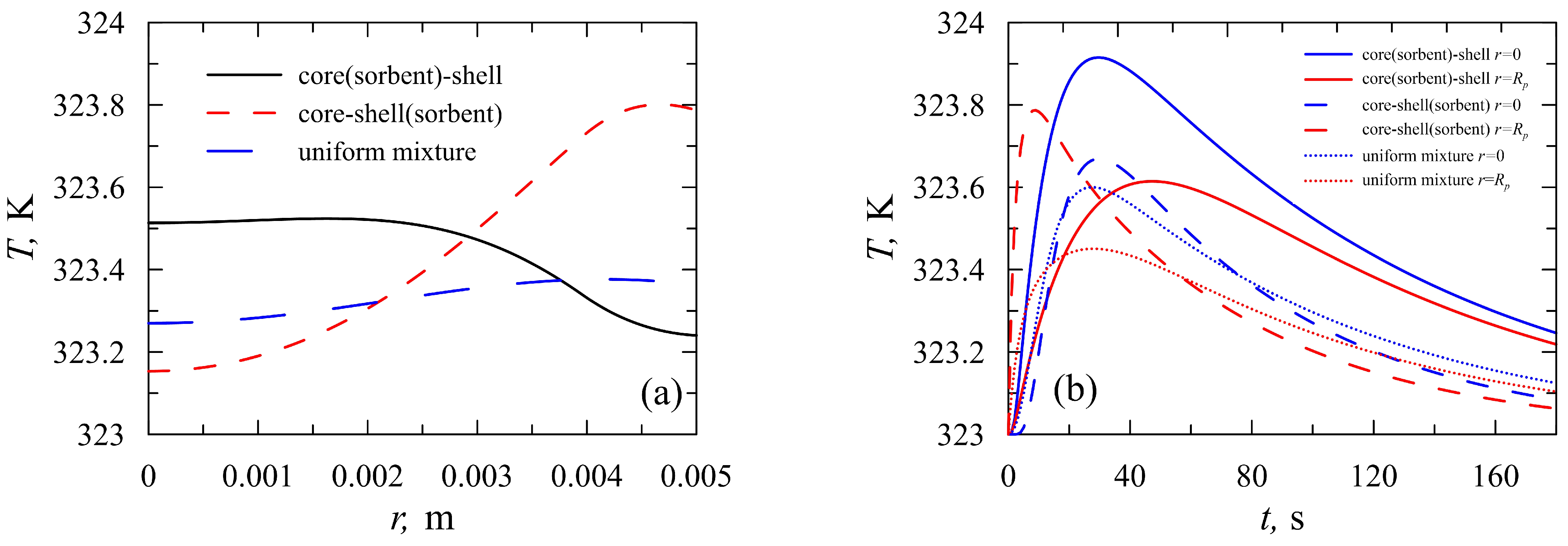
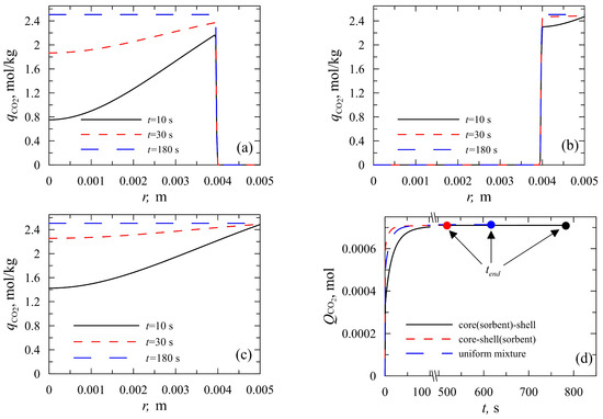
- The effect of particle structure on sorption dynamics in particles subjected to temperature perturbations in a bulk gas;
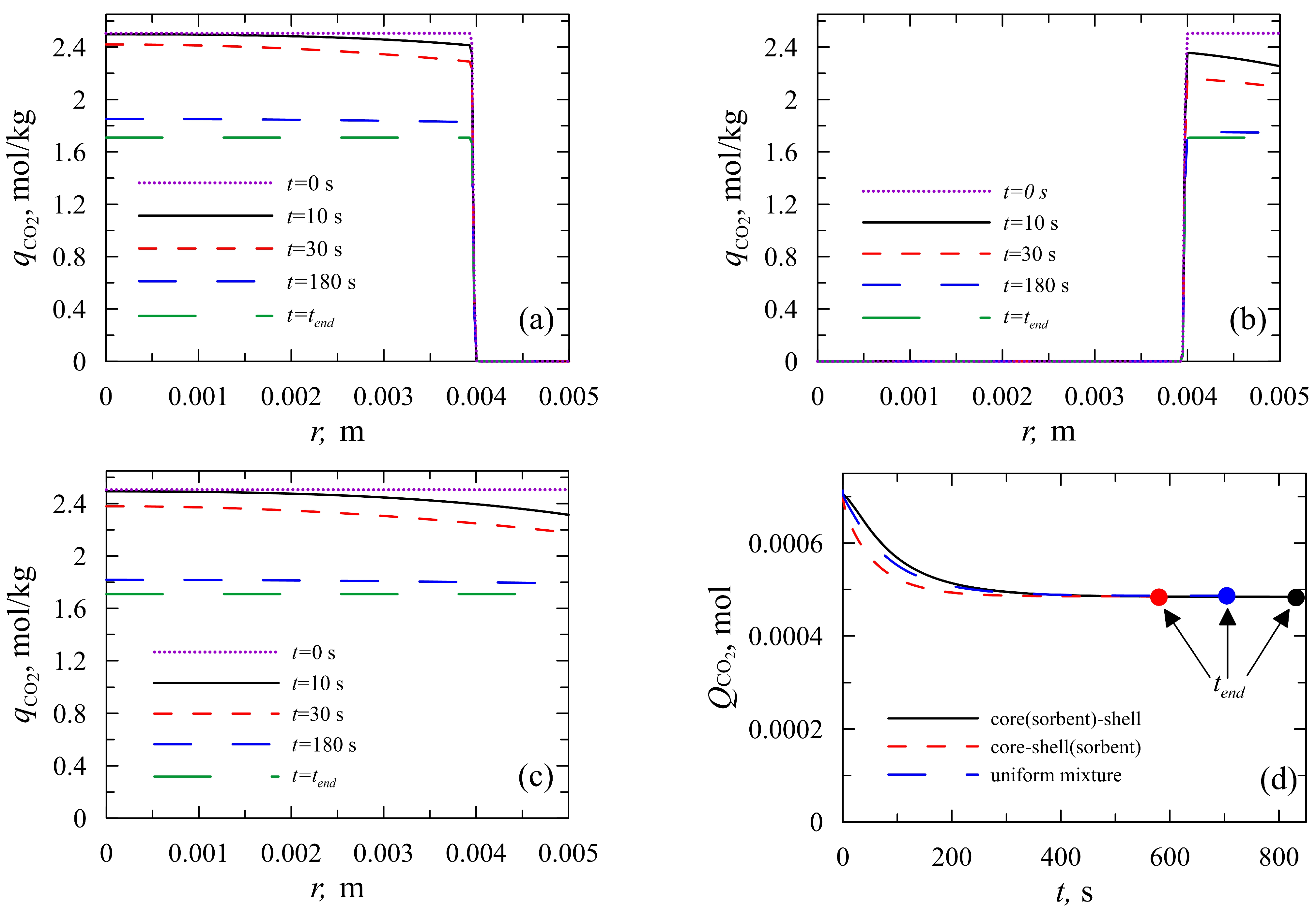
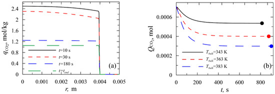
- The effect of different temperature perturbations on sorption dynamics in core–shell particles with adsorbent located in the core;
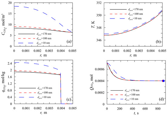
- The effect of pore diameter on sorption dynamics in core–shell particles with adsorbent located in the core.
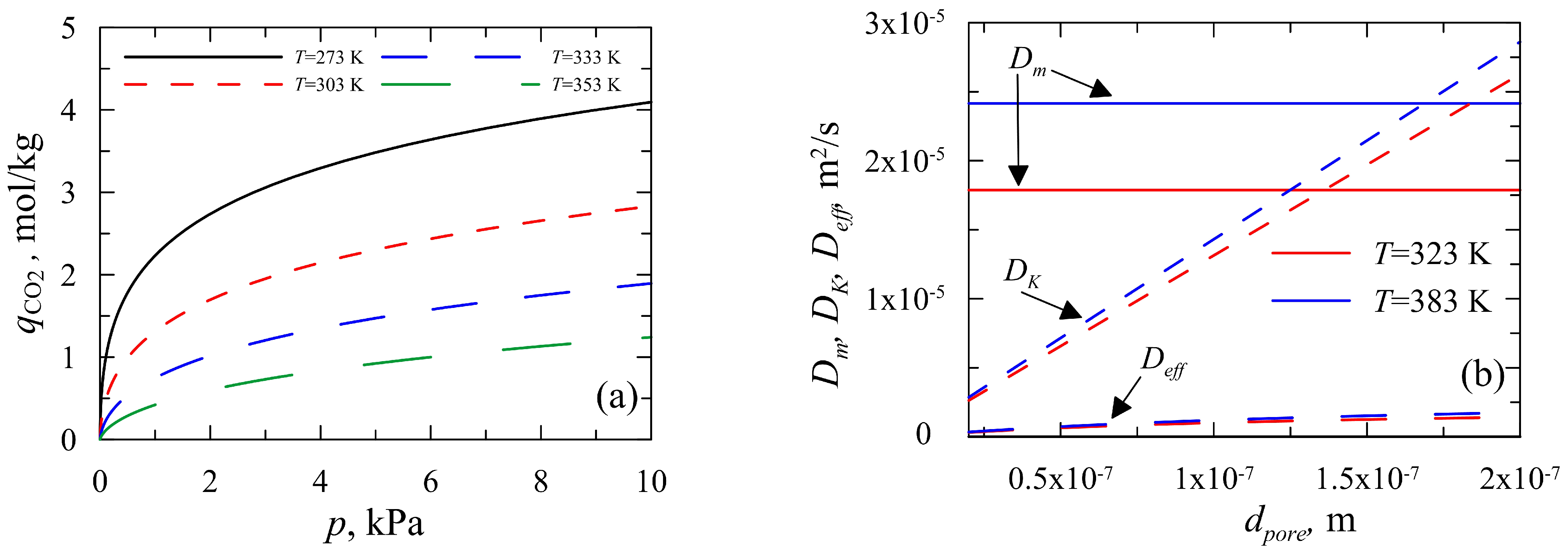
3. Results and Discussion
4. Conclusions
Author Contributions
Funding
Data Availability Statement
Conflicts of Interest
Nomenclature
| a, a0 | Parameters of Toth isotherm given by Equations (7) and (8), mol·kg−1·kPa−1 |
| A | Steepness of the function defined by Equation (17), - |
| b, b0 | Parameters of Toth isotherm given by Equations (7) and (8), kPa−1 |
| c | Parameter of Toth isotherm given by Equations (7) and (8), K |
| cg | Specific heat capacity of the gas, J·kg−1·K−1 |
| cs | Specific heat capacity of the solid, J·kg−1·K−1 |
| Ci | Concentration of component i in gas phase, mol·m−3 |
| dpore | Mean diameter of macropores, m |
| D0 | Preexponential factor of intracrystalline diffusivity, m2·s−1 |
| Dc | Configurational (intracrystalline) diffusion coefficient, m2·s−1 |
| Deff | Effective diffusion coefficient, m2·s−1 |
| DK | Knudsen diffusion coefficient, m2·s−1 |
| Dm | Molecular diffusion coefficient, m2·s−1 |
| Eads | Parameter of Toth isotherm given by Equations (7) and (8), K |
| Ediff | Diffusional activation energy, J·mol−1 |
| fads | Volume fraction of the adsorbent in the hybrid particle, - |
| fcat | Volume fraction of the catalyst in the hybrid particle, - |
| kLDF | LDF mass transfer coefficient, s−1 |
| km | Convective mass transfer coefficient, m·s−1 |
| Mi | Molar mass of component i, g·mol−1 |
| n, n0 | Parameters of Toth isotherm given by Equations (7) and (8), - |
| Nu | Nusselt number, - |
| qi | Solid-phase concentration of component i, mol·kg−1 |
| Equilibrium solid phase concentration of component i, mol·kg−1 | |
| Qi | Number of moles of component i in solid phase, mol |
| p | Total pressure, Pa |
| pi | Partial pressure of component i, Pa |
| Pr | Prandtl number, - |
| r | Radial coordinate of the hybrid particle, m |
| R | Gas constant (8.314 J·mol−1·K−1) |
| Rc | Microcrystal radius, m |
| Rcs | Core radius, m |
| Rp | Hybrid particle radius, m |
| Re | Reynolds number, - |
| Sc | Schmidt number, - |
| Sh | Sherwood number, - |
| t | Time, t |
| T | Temperature, K |
| yi | Molar fraction of component i, - |
| Greek letters | |
| αq | Convective heat transfer coefficient, W·m−2·K−1 |
| ΔHads,CO2 | Isosteric enthalpy of adsorption, J·mol−1 |
| Γh | Parameter of the heat balance equation, that is Equation (9), J·m−3·K−1 |
| Γm | Parameter of the mass balance equation, that is Equation (1), - |
| εp | Particle porosity, - |
| λs | Thermal conductivity of the solid, W·m−1·K−1 |
| λg | Thermal conductivity of the gas, W·m−1·K−1 |
| ρg | Gas density, kg·m−3 |
| ρp | Particle density, kg·m−3 |
| σij | Lennard-Jones characteristic length, m |
| τp | Tortuosity factor, - |
| ΩD | Dimensionless collision integral, - |
| Subscripts | |
| ads | Refers to adsorbent |
| bulk | Refers to bulk gas |
| c | Refers to sorbent microcrystal |
| g | Refers to gas phase |
| cat | Refers to catalyst |
| p | Refers to particle |
References
- Shao, B.; Zhang, Y.; Sun, Z.; Li, J.; Gao, Z.; Xie, Z.; Hu, J.; Liu, H. CO2 capture and in-situ conversion: Recent progresses and perspectives. Green Chem. Eng. 2022, 3, 189–198. [Google Scholar] [CrossRef]
- McLaughlin, H.; Littlefield, A.A.; Menefee, M.; Kinzer, A.; Hull, T.; Sovacool, B.K.; Bazalian, M.D.; Kim, J.; Griffiths, S. Carbon capture utilization and storage in review: Sociotechnical implications for a carbon reliant world. Renew. Sustain. Energy Rev. 2023, 177, 113215. [Google Scholar] [CrossRef]
- Leonzio, G.; Shah, N. Recent advancements and challenges in carbon capture, utilization and storage. Curr. Opin. Green Sust. 2024, 46, 100895. [Google Scholar] [CrossRef]
- Konopacka-Łyskawa, D.; Amibo, T.A.; Dobrzyniewski, D.; Łapiński, M. Improving carbon dioxide capture in aqueous ammonia solutions by fine SiO2 particles. Chem. Process Eng. 2023, 44, e16. [Google Scholar] [CrossRef]
- Zabielska, K.; Aleksandrzak, T.; Gabruś, E. Influence of humidity on carbon dioxide adsorption on zeolite 13X. Chem. Process Eng. 2020, 41, 197–208. [Google Scholar] [CrossRef]
- Dziejarski, B.; Serafin, J.; Andersson, K.; Krzyżyńska, R. CO2 capture materials: A review of current trends and future challenges. Mater. Today Sustain. 2023, 24, 100483. [Google Scholar] [CrossRef]
- Liu, J.; Chen, Q.; Qi, P. Upgrading of biogas to methane based on adsorption. Processes 2020, 8, 941. [Google Scholar] [CrossRef]
- Wang, J.; Jia, H.; Fang, X.; Qiu, Z.; Du, T. CO2 and water vapor adsorption properties of framework hybrid W-ZSM-5/silicalite-1 prepared from RHA. RSC Advances 2020, 10, 24642–24652. [Google Scholar] [CrossRef]
- Boer, D.G.; Pour, Z.A.; Langerak, J.; Bakker, B.; Pescarmona, P.P. ZSM-5/silicalite-1 core-shell beads as CO2 adsorbents with increased hydrophobicity. Mater. Today Chem. 2023, 32, 101621. [Google Scholar] [CrossRef]
- Omodolor, I.S.; Otor, H.O.; Andonegui, J.A.; Allen, B.J.; Alba-Rubio, A.C. Dual-function materials for CO2 capture and conversion: A review. Ind. Eng. Chem. Res. 2020, 59, 17612–17631. [Google Scholar] [CrossRef]
- Das, S.; Pérez-Ramírez, J.; Gong, J.; Dewangan, N.; Hidajat, K.; Gates, B.B.; Kawi, S. Core-shell structured catalysts for thermocatalytic, photocatalytic, and electrocatalytic conversion of CO2. Chem. Soc. Rev. 2020, 49, 2937. [Google Scholar] [CrossRef] [PubMed]
- Xu, S.; Slater, T.J.A.; Huang, J.; Zhou, Y.; Jiao, Y.; Parlett, C.M.A.; Guan, S.; Chansai, S.; Xu, S.; Want, X.; et al. Developing silicalite-1 encapsulated Ni nanoparticles as sintering-/coking-resistant catalysts for dry reforming of methane. Chem. Eng. J. 2022, 446, 137439. [Google Scholar] [CrossRef]
- Rokicińska, A.; Żurowska, M.; Łątka, P.; Drozdek, M.; Michalik, M.; Kuśtrowski, P. Design of Co3O4@SiO2. Nanorattles for catalytic toluene combustion based on bottom-up strategy involving spherical poly(styrene-co-acrylic acid) template. Catalysts 2019, 11, 1097. [Google Scholar] [CrossRef]
- Bizon, K.; Skrzypek-Markiewicz, K.; Pędzich, D. Intensification of catalytic processes through the pellet structuring: Steady-state properties of a bifunctional catalyst pellet applied to generic chemical reactions and the direct synthesis of DME. Catalysts 2019, 9, 1020. [Google Scholar] [CrossRef]
- Melo Bravo, P.; Debecker, D.P. Combining CO2 capture and catalytic conversion to methane. Waste Dispos. Sustain. Energy 2019, 1, 53–65. [Google Scholar] [CrossRef]
- Goodarzi, F.; Kang, L.; Wang, F.R.; Joensen, F.; Kegnæs, S.; Mielby, J. Methanation of carbon dioxide over zeolite-encapsulate nickel nanoparticles. ChemCatChem 2018, 10, 1566–1570. [Google Scholar] [CrossRef]
- Gunia, M.; Ciećko, J.; Bizon, K. Assessment of bed macro-structuring and thermal wave impact on carbon dioxide adsorption efficiency in a hybrid fixed-bed reactor. Chem. Process Eng. 2023, 44, e13. [Google Scholar] [CrossRef]
- Jarczewski, S.; Barańska, K.; Drozdek, M.; Michalik, M.; Bizon, K.; Kuśtrowski, P. Energy-balanced and effective adsorption-catalytic multilayer bed system for removal of volatile organic compounds. Chem. Eng. J. 2022, 431, 133388. [Google Scholar] [CrossRef]
- Yucel, H.; Ruthven, D.M. Diffusion of CO2 in 4A and 5A zeolite crystals. J. Colloid Interface Sci. 1980, 74, 186–195. [Google Scholar] [CrossRef]
- Shigaki, N.; Mogi, Y.; Haraoka, T.; Furuya, E. Measurements and calculations of the equilibrium adsorption amounts of CO2–N2, CO–N2, and CO2–CO mixed gases on 13X zeolite. SN Appl. Sci. 2020, 2, 488. [Google Scholar] [CrossRef]
- Wang, Y.; LeVan, M.D. Adsorption equilibrium of carbon dioxide and water vapor on zeolites 5A and 13X and silica gel: Pure components. J. Chem. Eng. Data 2009, 54, 2839–2844. [Google Scholar] [CrossRef]
- Glueckauf, E.; Coates, J.I. Theory of chromatography. Part IV. The influence of incomplete equilibrium on the front boundary of chromatograms and on the effectiveness of separation. J. Chem. Soc. 1947, 1315–1321. [Google Scholar] [CrossRef] [PubMed]
- Gholami, M.; Talaie, M.R. Investigation of simplifying assumptions in mathematical modeling of natural gas dehydration using adsorption process and introduction of a new accurate LDF model. Ind. Eng. Chem. Res. 2010, 49, 838–846. [Google Scholar] [CrossRef]
- Wang, Y.; LeVan, M.D. Adsorption equilibrium of binary mixtures of carbon dioxide and water vapor on zeolites 5A and 13X. J. Chem. Eng. Data 2010, 55, 3189–3195. [Google Scholar] [CrossRef]
- Falconer, J.L.; Zaĝli, A.E. Adsorption and methanation of carbon dioxide on a nickel/silica catalyst. J. Catal. 1980, 62, 280–285. [Google Scholar] [CrossRef]
- Poling, B.E.; Prausnitz, J.M.; O’Connell, J.P. Properties of Gases and Liquids, 5th ed.; McGraw-Hill Education: New York, NY, USA, 2001. [Google Scholar]
- Do, D.D. Adsorption Analysis: Equilibria and Kinetics; Imperial College Press: London, UK, 1998. [Google Scholar]
- Wakao, N.; Funazkri, T. Effect of fluid dispersion coefficients on particle-to-fluid mass transfer coefficients in packed beds. Chem. Eng. Sci. 1978, 33, 1375–1384. [Google Scholar] [CrossRef]
- Rusten, H.K. Simulation and Modelling of Hydrogen Production by Sorption Enhanced Steam Methane Reforming in Fixed Bed Reactors. Ph.D. Thesis, Norwegian University of Science and Technology, Trondheim, Norway, 2010. [Google Scholar]
- Shampine, L.F. ODE solbers and the method of lines. Numer. Methods Partial. Differ. Equ. 1994, 10, 739–755. [Google Scholar] [CrossRef]









| Parameter | Value | Parameter | Value |
|---|---|---|---|
| cg | 1.014 × 103 J/kg·K−1 | τp,ads = τp,cat | 3 |
| cg,ads | 97.461 J/kg·K−1 | a0 | 9.875 × 10−7 mol·kg−1·kPa−1 |
| cs,ads | 1000 J × kg−1·K−1 | b0 | 6.761 × 10−8 kPa−1 |
| cs,cat | 1107 J × kg−1·K−1 | c | −2.002 × 10 K |
| dpore | 1.7 × 10−7 m | Eads | 5.625 × 103 K |
| Rc | 5 × 10−7 m | n0 | 2.7 × 10−1 |
| Rp | 5 × 10−3 m | ΔHads,CO2 | −3.555 × 104 J·mol−1 |
| εp,ads = εp,cat | 0.4 | D0 | 5.9 × 10−11 m2·s−1 |
| λs,ads | 0.5 W·m−1·K−1 | Ediff | 2.633 × 104 J·mol−1 |
| λs,cat | 0.84 W·m−1·K−1 | p | 101,325 Pa |
| ρg | 1.117 kg·m−3 | Tbulk | 323 K |
| ρp,ads | 1087 kg·m−3 | yCO2,bulk | 0.2 |
| ρp,cat | 3532 kg·m−3 |
Disclaimer/Publisher’s Note: The statements, opinions and data contained in all publications are solely those of the individual author(s) and contributor(s) and not of MDPI and/or the editor(s). MDPI and/or the editor(s) disclaim responsibility for any injury to people or property resulting from any ideas, methods, instructions or products referred to in the content. |
© 2024 by the authors. Licensee MDPI, Basel, Switzerland. This article is an open access article distributed under the terms and conditions of the Creative Commons Attribution (CC BY) license (https://creativecommons.org/licenses/by/4.0/).
Share and Cite
Bizon, K.; Gunia, M.; Prończuk, M. Dynamics of Core–Shell-Structured Sorbents for Enhanced Adsorptive Separation of Carbon Dioxide. Crystals 2024, 14, 597. https://doi.org/10.3390/cryst14070597
Bizon K, Gunia M, Prończuk M. Dynamics of Core–Shell-Structured Sorbents for Enhanced Adsorptive Separation of Carbon Dioxide. Crystals. 2024; 14(7):597. https://doi.org/10.3390/cryst14070597
Chicago/Turabian StyleBizon, Katarzyna, Marcin Gunia, and Mateusz Prończuk. 2024. "Dynamics of Core–Shell-Structured Sorbents for Enhanced Adsorptive Separation of Carbon Dioxide" Crystals 14, no. 7: 597. https://doi.org/10.3390/cryst14070597
APA StyleBizon, K., Gunia, M., & Prończuk, M. (2024). Dynamics of Core–Shell-Structured Sorbents for Enhanced Adsorptive Separation of Carbon Dioxide. Crystals, 14(7), 597. https://doi.org/10.3390/cryst14070597

