Effect of Nonmagnetic Hf Addition on Magnetic Properties of Melt-Spun Misch Metal-Fe-B Ribbons
Abstract
1. Introduction
2. Materials and Methods
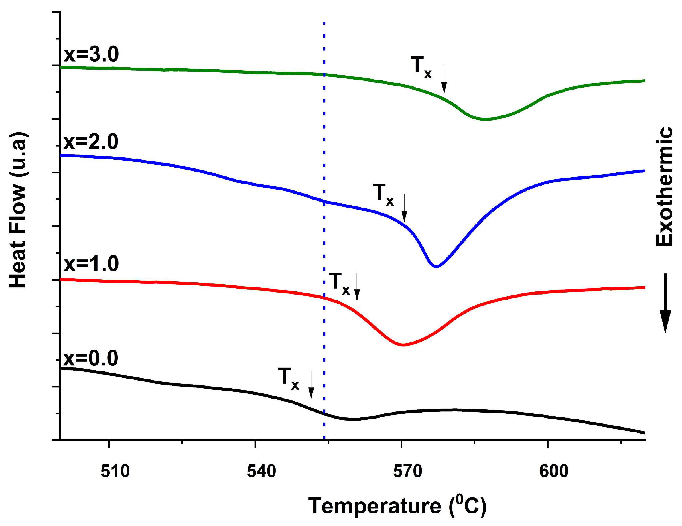
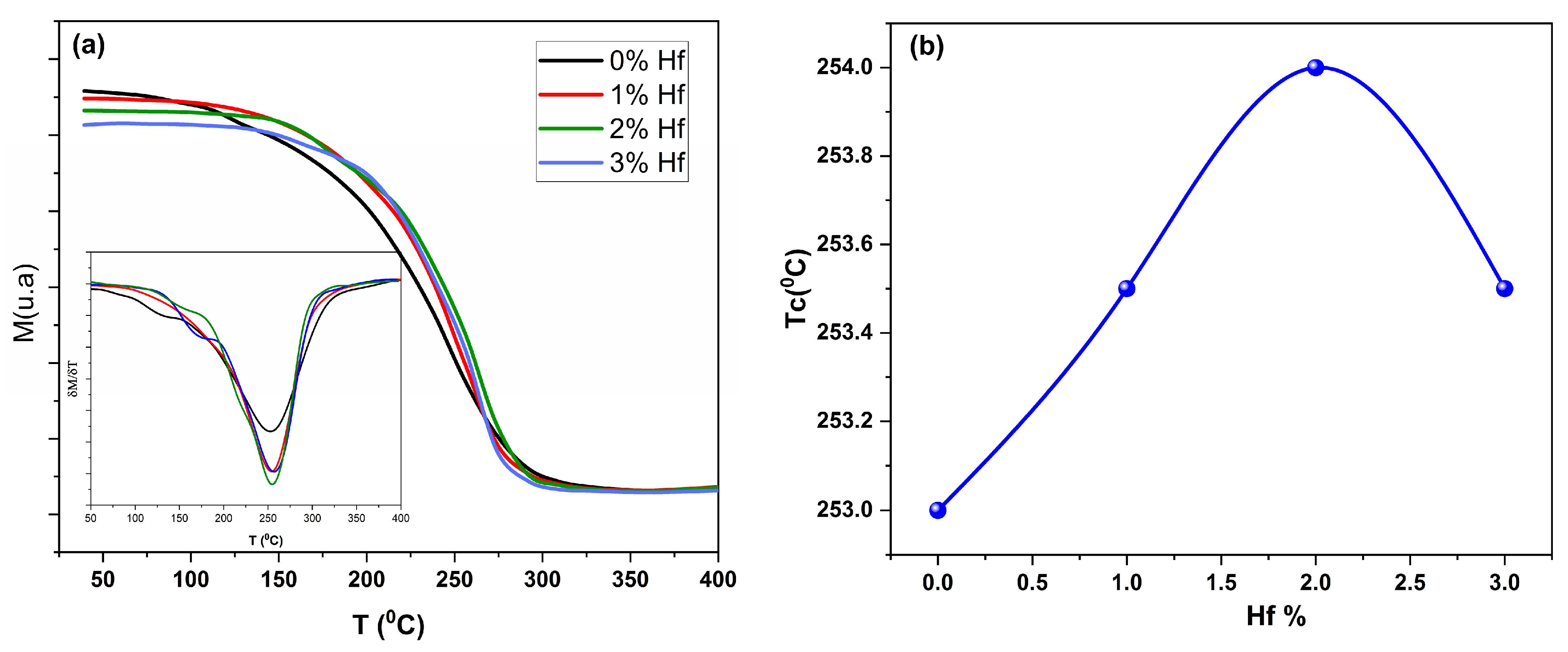
3. Results
4. Conclusions
Author Contributions
Funding
Data Availability Statement
Conflicts of Interest
References
- Gutfleisch, O.; Willard, M.A.; Brück, E.; Chen, C.H.; Sankar, S.; Liu, J.P. Magnetic Materials and Devices for the 21st Century: Stronger, Lighter, and More Energy Efficient. Adv. Mater. 2011, 23, 821–842. [Google Scholar] [CrossRef] [PubMed]
- Pathak, A.K.; Khan, M.; Gschneidner, K.A., Jr.; McCallum, R.W.; Zhou, L.; Sun, K.; Dennis, K.W.; Zhou, C.; Pinkerton, F.E.; Kramer, M.J. Cerium: An Unlikely Replacement of Dysprosium in High Performance Nd–Fe–B Permanent Magnets. Adv. Mater. 2015, 27, 2663–2667. [Google Scholar] [CrossRef] [PubMed]
- Skokov, K.P.; Gutfleisch, O. Heavy rare earth free, free rare earth and rare earth free magnets-Vision and reality. Scr. Mater. 2018, 154, 289–294. [Google Scholar] [CrossRef]
- Sugimoto, S. Current status and recent topics of rare-earth permanent magnets. J. Phys. D Appl. Phys. 2011, 44, 064001. [Google Scholar] [CrossRef]
- Pavel, C.C.; Tzimas, E. Raw Materials in the European Defence Industry; Publications Office of the European Union: Luxembourg, 2016; Available online: https://publications.jrc.ec.europa.eu/repository/handle/JRC98333 (accessed on 11 November 2016).
- Gimaev, R.R.; Komlev, A.S.; Davydov, A.S.; Kovalev, B.B.; Zverev, V.I. Magnetic and Electronic Properties of Heavy Lanthanides (Gd, Tb, Dy, Er, Ho, Tm). Crystals 2021, 11, 82. [Google Scholar] [CrossRef]
- Binnemans, K.; Jones, P.T.; Müller, T.; Yurramendi, L. Rare Earths and the Balance Problem: How to Deal with Changing Markets? J. Sustain. Metall. 2018, 4, 126–146. [Google Scholar] [CrossRef]
- Goodenough, K.M.; Wall, F.; Merriman, D. The Rare Earth Elements: Demand, Global Resources, and Challenges for Resourcing Future Generations. Nat. Resour. Res. 2017, 27, 201–216. [Google Scholar] [CrossRef]
- Li, Z.B.; Shen, B.G.; Zhang, M.; Hu, F.X.; Sun, J.R. Substitution of Ce for Nd in preparing R2Fe14B nanocrystalline magnets. J. Alloys Compd. 2015, 628, 325–328. [Google Scholar] [CrossRef]
- Liu, W.; Zhang, Z.; Yue, M.; Li, Z.; Wu, D.; Zhou, Z.; Chen, H.; Li, Y.; Pang, Z.; Yu, X. MM-Fe-B based gap magnet with excellent energy density. Intermetallics 2019, 115, 106626. [Google Scholar] [CrossRef]
- Gabay, A.M.; Hadjipanayis, G.C. Recent developments in RFe12-type compounds for permanent magnets. Scr. Mater. 2018, 154, 284–288. [Google Scholar] [CrossRef]
- Ahmad, Z.; Waqas, M.; Ali, Z.A. Fabrication and analysis of mischmetal MM-Fe-B magnetic alloy. J. Magn. Magn. Mater. 2022, 553, 169257. [Google Scholar] [CrossRef]
- Jin, J.; Ma, T.; Zhang, Y.; Bai, G.; Yan, M. Chemically Inhomogeneous RE-Fe-B Permanent Magnets with High Figure of Merit: Solution to Global Rare Earth Criticality. Sci. Rep. 2016, 6, 32200. [Google Scholar] [CrossRef] [PubMed]
- Chang, H.W.; Chen, C.H.; Chang, C.W.; Hsieh, C.C.; Guo, Z.H.; Chang, W.C. High magnetic properties of nanocomposite ribbons made with Mischmetals–Fe–Co–Ti–B alloys. J. Appl. Phys. 2009, 105, 07A704. [Google Scholar] [CrossRef]
- Zhang, M.; Liu, Y.; Li, Z.B.; Peng, L.C.; Shen, B.G.; Hu, F.X.; Sun, J.R. Magnetization process of nanocrystalline mischmetal-Fe-B ribbons. J. Alloys Compd. 2016, 688, 1053–1057. [Google Scholar] [CrossRef]
- Quan, N.T.; Luo, Y.; Yan, W.L.; Yuan, C.; Yu, D.B.; Sun, L.; Lu, S.; Li, H.W.; Zhang, H.B. Hard magnetic properties and coercivity mechanism of melt-spun Misch Metal-Fe-B alloy. J. Magn. Magn. Mater. 2017, 437, 12–16. [Google Scholar] [CrossRef]
- Li, Z.B.; Wang, L.C.; Geng, X.P. Variation of magnetic properties with mischmetal content in the resource saving magnets of MM-Fe-B ribbons. J. Magn. Magn. Mater. 2017, 426, 70–73. [Google Scholar] [CrossRef]
- Chang, H.W.; Chen, C.H.; Hsieh, C.C.; Chang, W.C. Magnetic Properties of Melt Spun Mischmetals-Fe-Ti-B Nanocomposite Ribbons. J. Nanosci. Nanotechnol. 2011, 11, 2756. [Google Scholar] [CrossRef] [PubMed]
- Li, Z.B.; Li, Y.; Liu, Z.X.; Li, Y.F.; Zhang, X.F. Improving magnetic properties in mischmetal-based sintered composite magnets by regulating element distribution. AIP Adv. 2019, 9, 075109. [Google Scholar] [CrossRef]
- Zhang, Z.; Sharma, P.; Yubuta, K. Synthesis, microstructure and magnetic properties of low Nd content Fe90Nd5B3. 5M1. 5 (M = Hf, Ti and Ta) alloys. J. Appl. Phys. 2012, 111, 07B501. [Google Scholar] [CrossRef]
- Zhong, M.; Tao, L.; Wu, T.; Zhang, Q.; Liu, R.; Zhong, Z.; Rehman, S.U. Tailoring the magnetic properties and microstructure of NdFeB ribbon alloys by Hf addition. J. Alloys Compd. 2021, 876, 160197. [Google Scholar] [CrossRef]
- Zhang, L.; Jiang, Q.; Quan, L.W.; Rehman, S.U.; Lei, W.; He, L.; Zeng, Q.; Hu, X.; Liu, R.; Zhong, Z. Effects of Hf addition on the microstructure, magnetic properties and coercivity mechanism of Nd-Ce-Fe-B ribbons fabricated by melt-spinning technique. J. Magn. Magn. Mater. 2019, 474, 305–310. [Google Scholar] [CrossRef]
- Chang, H.W.; Huang, S.T.; Chang, C.W.; Chiu, C.H.; Chen, I.W.; Chang, W.C.; Sun, A.C.; Yao, Y.D. Effect of additives on the magnetic properties and microstructure of melt spun SmCo6.9Hf0.1M0.1 (M = B, C, Nb, Si, Ti) ribbons. J. Alloys Compd. 2008, 455, 506–509. [Google Scholar] [CrossRef]
- Zhang, Z.; Jin, J.; Liang, L. High-performance Nd-Fe-B sintered magnets via co-doping high-melting-point Zr and low-melting-point Dy71.5Fe28.5. J. Magn. Magn. Mater. 2019, 487, 165356. [Google Scholar] [CrossRef]
- Rieger, G.; Seeger, M.; Sun, L.; Kronmuller, H. Micromagnetic analysis applied to melt-spun NdFeB magnets with small additions of Ga and Mo. J. Magn. Magn. Mater. 1995, 151, 193–201. [Google Scholar] [CrossRef]
- Derewnicka-Krawczynska, D.; Ferrari, S.; Bilovol, V. Influence of Nb, Mo, and Ti as doping metals on structure and magnetic response in NdFeB based melt spun ribbons. J. Magn. Magn. Mater. 2018, 462, 83–95. [Google Scholar] [CrossRef]
- Zhang, L.L.; Song, J.; Rehman, S.U. Uneven Evolution of Microstructure, Magnetic Properties and Coercivity Mechanism of Mo-Substituted Nd–Ce–Fe–B Alloys. Acta Metall. Sin. 2021, 34, 590–596. [Google Scholar] [CrossRef]
- Raja, A.; Adhikary, T.; Al-Omari, I.A.; Das, G.P.; Ghosh, S.; Satapathy, D.K.; Oraon, A.; Shield, J.E.; Aich, S. Rapidly solidified Sm-Co-Hf-B magnetic Nano-composites: Experimental and DFT studies. J. Magn. Magn. Mater. 2020, 504, 166645. [Google Scholar] [CrossRef]
- Zhong, M.; Xie, W.; Rehman, S.U. Magnetic Properties and Microstructural Modifications of Sm-Co-Hf Alloy Ribbons by B Addition. J. Supercond. Nov. Magn. 2022, 35, 1329–1335. [Google Scholar] [CrossRef]
- Torres, C.E.R.; Saccone, F.D.; Sanchez, F.H. Magnetic anisotropy induced in Nd16Fe76B8 by Hf additions. Phys. B Condens. Matter 2002, 320, 308–311. [Google Scholar] [CrossRef]
- Chang, H.W.; Huang, S.T.; Chang, C.W.; Chiu, C.H.; Chen, I.W.; Chang, W.C.; Sun, A.C.; Yao, Y.D. Comparison on the magnetic properties and phase evolution of melt-spun SmCo7 ribbons with Zr and Hf substitution. Scr. Mater. 2007, 56, 1099–1102. [Google Scholar] [CrossRef]
- Zheng, Q.; Jiang, M.L.; Quan, Q.C.; Zhang, J.S.; Zhang, Z.C. Striking effect of Hf addition on magnetic properties and thermal stability of Nd13Fe81−xB6Hfx (x = 0–1.0) alloys. J. Alloys Compd. 2016, 688, 363–367. [Google Scholar] [CrossRef]
- Grigoras, M.; Lostun, M.; Stoian, G.; Herea, D.D.; Chiriac, H.; Lupu, N. Microstructure and magnetic properties of Ce10+xFe84−xB6 nanocrystalline ribbons versus preparation conditions. J. Magn. Magn. Mater. 2017, 432, 119–123. [Google Scholar] [CrossRef]
- Grigoras, M.; Lostun, M.; Borza, F.; Porcescu, M.; Lupu, N. The effect of the Mo addition on the magnetic properties and phase constituents of the Ce-(FeCo)–B ribbons. Intermetallics 2022, 141, 107425. [Google Scholar] [CrossRef]
- Srivastava, A.P.; Babu, D.A.; Verma, A.; Deshmukh, A.A.; Kaushal, A.; Palikundwar, U.A. Understanding the effect of Hf on thermal stability and glass forming ability of Fe57.2Co30.8Zr7−xHfxB4Cu1 (x = 3, 5, and 7) metallic glasses. J. Non-Cryst. Solids 2019, 503–504, 7–12. [Google Scholar] [CrossRef]
- Rehman, S.U.; Jiang, Q.; Lei, W.; Zeng, L.; Tan, Q.; Ghazanfar, M.; Awan, S.U.; Ahmad, T.; Zhong, M.; Zhong, Z. Microstructure, magnetic properties, thermal stabilities and coercivity mechanisms of Ta doped Nd-Fe-B ribbons. J. Phys. Chem. Solids 2019, 124, 261–265. [Google Scholar] [CrossRef]







| X (at. %) | a (Å) | b (Å) |
|---|---|---|
| 0 | 8.7636 ± 0.0002 | 12.1815 ± 0.0003 |
| 1.0 | 8.7636 ± 0.0003 | 12.1845 ± 0.0002 |
| 2.0 | 8.7690 ± 0.0002 | 12.1864 ± 0.0002 |
| 3.0 | 8.7614 ± 0.0001 | 12.1865 ± 0.0003 |
Disclaimer/Publisher’s Note: The statements, opinions and data contained in all publications are solely those of the individual author(s) and contributor(s) and not of MDPI and/or the editor(s). MDPI and/or the editor(s) disclaim responsibility for any injury to people or property resulting from any ideas, methods, instructions or products referred to in the content. |
© 2024 by the authors. Licensee MDPI, Basel, Switzerland. This article is an open access article distributed under the terms and conditions of the Creative Commons Attribution (CC BY) license (https://creativecommons.org/licenses/by/4.0/).
Share and Cite
Lostun, M.; Grigoraș, M.; Budeanu, L.C.; Roman, T.; Buema, G.; Ababei, G.; Stoian, G.; Lupu, N. Effect of Nonmagnetic Hf Addition on Magnetic Properties of Melt-Spun Misch Metal-Fe-B Ribbons. Crystals 2024, 14, 517. https://doi.org/10.3390/cryst14060517
Lostun M, Grigoraș M, Budeanu LC, Roman T, Buema G, Ababei G, Stoian G, Lupu N. Effect of Nonmagnetic Hf Addition on Magnetic Properties of Melt-Spun Misch Metal-Fe-B Ribbons. Crystals. 2024; 14(6):517. https://doi.org/10.3390/cryst14060517
Chicago/Turabian StyleLostun, Mihaela, Marian Grigoraș, Luiza C. Budeanu, Tiberiu Roman, Gabriela Buema, Gabriel Ababei, George Stoian, and Nicoleta Lupu. 2024. "Effect of Nonmagnetic Hf Addition on Magnetic Properties of Melt-Spun Misch Metal-Fe-B Ribbons" Crystals 14, no. 6: 517. https://doi.org/10.3390/cryst14060517
APA StyleLostun, M., Grigoraș, M., Budeanu, L. C., Roman, T., Buema, G., Ababei, G., Stoian, G., & Lupu, N. (2024). Effect of Nonmagnetic Hf Addition on Magnetic Properties of Melt-Spun Misch Metal-Fe-B Ribbons. Crystals, 14(6), 517. https://doi.org/10.3390/cryst14060517

