Distinct Crystallization Pathways of Polyoxymethylene in Methanol System
Abstract
1. Introduction
2. Materials and Methods
2.1. Materials
2.2. Experimental
2.2.1. Solubility and Cloud Point of POM in Methanol
2.2.2. Dissolution-Crystallization Process
2.3. Characterizations
2.3.1. Differential Scanning Calorimetry (DSC)
2.3.2. Powder X-ray Diffraction (PXRD)
2.3.3. Scanning Electron Microscopy (SEM)
2.3.4. Stereo Microscope
2.3.5. Gel Permeation Chromatography (GPC)
3. Results and Discussion
3.1. Products Characterization
3.2. POM Crystallization Pathways and Mechanism in Methanol
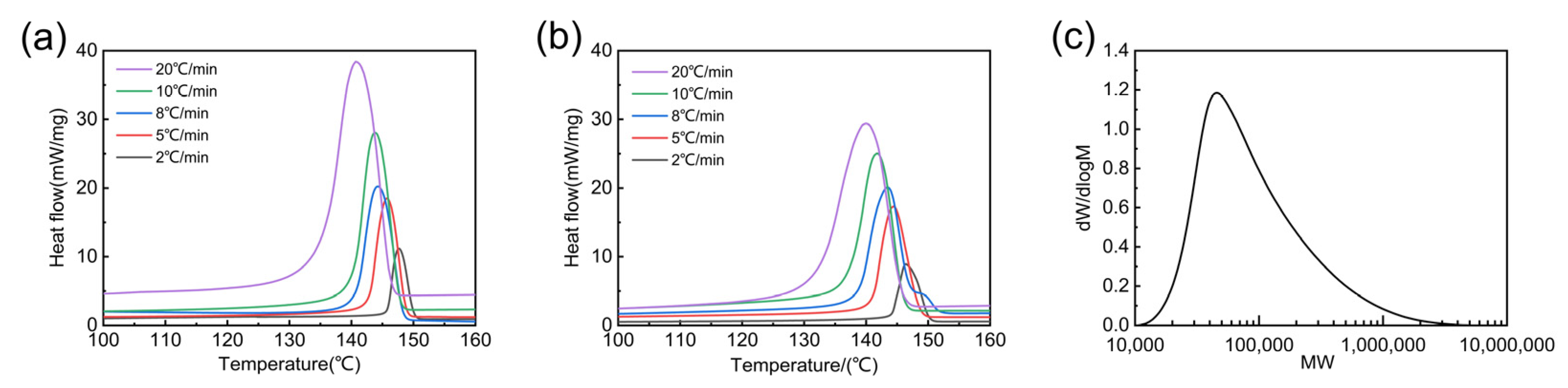
3.3. Non-Isothermal Crystallization Behavior
3.4. Isothermal Crystallization Behavior
4. Conclusions
Supplementary Materials
Author Contributions
Funding
Data Availability Statement
Conflicts of Interest
References
- Kawaguchi, K.; Nakao, H.; Masuda, E.; Tajima, Y. Morphology and Nonisothermal Crystallization of a Polyacetal/Poly(Ε-caprolactone) Reactive Blend Prepared via a Chain-transfer Reaction. J. Appl. Polym. Sci. 2008, 107, 1269–1279. [Google Scholar] [CrossRef]
- Pielichowska, K.; Szuba, P.; Maciocha, J.; Macherzyńska, B.; Nowicka, K.; Szatkowski, P. Preparation, Characterization, and Bioactivity Evaluation of Polyoxymethylene Copolymer/Nanohydroxyapatite-g-Poly(ε-Caprolactone) Composites. Nanomaterials 2022, 12, 858. [Google Scholar] [CrossRef] [PubMed]
- Gao, Y.; Sun, S.; He, Y.; Wang, X.; Wu, D. Effect of Poly(Ethylene Oxide) on Tribological Performance and Impact Fracture Behavior of Polyoxymethylene/Polytetrafluoroethylene Fiber Composites. Compos. Part B Eng. 2011, 42, 1945–1955. [Google Scholar] [CrossRef]
- Kuciel, S.; Bazan, P.; Liber-Kneć, A.; Gądek-Moszczak, A. Physico-Mechanical Properties of the Poly(Oxymethylene) Composites Reinforced with Glass Fibers under Dynamical Loading. Polymers 2019, 11, 2064. [Google Scholar] [CrossRef] [PubMed]
- Yang, J.; Yang, W.; Wang, X.; Dong, M.; Liu, H.; Wujcik, E.K.; Shao, Q.; Wu, S.; Ding, T.; Guo, Z. Synergistically Toughening Polyoxymethylene by Methyl Methacrylate–Butadiene–Styrene Copolymer and Thermoplastic Polyurethane. Macro Chem. Phys. 2019, 220, 1800567. [Google Scholar] [CrossRef]
- Zhang, W.; Xu, X.; Wang, H.; Wei, F.; Zhang, Y. Experimental and Numerical Analysis of Interfacial Bonding Strength of Polyoxymethylene Reinforced Cement Composites. Constr. Build. Mater. 2019, 207, 1–9. [Google Scholar] [CrossRef]
- Pielichowska, K. The Influence of Polyoxymethylene Molar Mass on the Oxidative Thermal Degradation of Its Nanocomposites with Hydroxyapatite. J. Therm. Anal. Calorim. 2016, 124, 751–765. [Google Scholar] [CrossRef]
- Nguyen, T.C.; Tran, T.M.; Trinh, A.T.; Nguyen, A.H.; Dam, X.T.; Vu, Q.T.; Tran, D.L.; Nguyen, D.T.; Le, T.G.; Thai, H. Polyoxymethylene/Silica/Polylactic Acid-Grafted Polyethylene Glycol Nanocomposites: Structure, Morphology, and Mechanical Properties and Ozone and UV Durability. RSC Adv. 2020, 10, 2691–2702. [Google Scholar] [CrossRef] [PubMed]
- Wang, S.; Shu, Z.; Ye, Z.; Zhu, S.; Zhang, L. Simulation and Optimization of Working Parameters of the Rapid-Dissolution Device of Hydrophobically Associating Polymer. AIP Adv. 2021, 11, 015003. [Google Scholar] [CrossRef]
- Grünig, L.E.; Meyer, A.; Emmler, T.; Abetz, V.; Handge, U.A. Solvent-Induced Crystallization of Poly(Phenylene Sulfone). Macromolecules 2021, 54, 4816–4826. [Google Scholar] [CrossRef]
- Samitsu, S. Fabrication of Mesoporous Crystalline Microparticles of Poly(Ether Sulfone) via Solvent-Induced Crystallization. Polymer 2022, 248, 124744. [Google Scholar] [CrossRef]
- Crist, B.; Schultz, J.M. Polymer Spherulites: A Critical Review. Prog. Polym. Sci. 2016, 56, 1–63. [Google Scholar] [CrossRef]
- Dechet, M.A.; Baumeister, I.; Schmidt, J. Development of Polyoxymethylene Particles via the Solution-Dissolution Process and Application to the Powder Bed Fusion of Polymers. Materials 2020, 13, 1535. [Google Scholar] [CrossRef] [PubMed]
- Li, J.; Wang, Y.; Wang, X.; Wu, D. Development of Polyoxymethylene/Polylactide Blends for a Potentially Biodegradable Material: Crystallization Kinetics, Lifespan Prediction, and Enzymatic Degradation Behavior. Polymers 2019, 11, 1516. [Google Scholar] [CrossRef]
- Zhang, C.Q.; Wang, Y.M.; Li, S.Z.; Feng, X.D.; Liu, L.H.; Wang, Y.; Zhao, L.P. Electrospinning and Catalytic Properties of Cyclodextrin Functionalized Polyoxymethylene (POM) Nanofibers Supported by Silver Nanoparticles. Adv. Polym. Technol. 2021, 2021, 8272626. [Google Scholar] [CrossRef]
- Sun, A.; Luo, F.; Chen, R.; Guo, J.; Guo, S.; Zhang, S. Effects of Sepiolite on Crystallization Behaviors and Properties of Sepiolite/Polyoxymethylene Composites. J. Polym. Res. 2020, 27, 67. [Google Scholar] [CrossRef]
- Yu, N.; He, L.; Ren, Y.; Xu, Q. High-Crystallization Polyoxymethylene Modification on Carbon Nanotubes with Assistance of Supercritical Carbon Dioxide: Molecular Interactions and Their Thermal Stability. Polymer 2011, 52, 472–480. [Google Scholar] [CrossRef]
- Zeng, Y.; Liu, Y.; Zhang, X.; Wang, L.; Huang, H.; Liu, Y.; Qi, G.; Min, M.; Li, Y. Effect of Silver Nanoparticles on the Melting Behavior, Isothermal Crystallization Kinetics and Morphology of Polyoxymethylene. Crystals 2020, 10, 594. [Google Scholar] [CrossRef]
- Liu, Y.; Zhang, X.; Gao, Q.; Huang, H.; Liu, Y.; Min, M.; Wang, L. Structure and Properties of Polyoxymethylene/Silver/Maleic Anhydride-Grafted Polyolefin Elastomer Ternary Nanocomposites. Polymers 2021, 13, 1954. [Google Scholar] [CrossRef]
- Jiao, Q.; Shen, J.; Ye, L.; Li, Y.; Chen, H. Poly(Oxymethylene)/Poly(Butylene Succinate) Blends: Miscibility, Crystallization Behaviors and Mechanical Properties. Polymer 2019, 167, 40–47. [Google Scholar] [CrossRef]
- Pielichowska, K.; Dryzek, E.; Olejniczak, Z.; Pamuła, E.; Pagacz, J. A Study on the Melting and Crystallization of Polyoxymethylene-copolymer/Hydroxyapatite Nanocomposites. Polym. Adv. Techs 2013, 24, 318–330. [Google Scholar] [CrossRef]
- Tao, Z.; Wang, Y.; Li, J.; Wang, X.; Wu, D. Fabrication of Long Glass Fiber Reinforced Polyacetal Composites: Mechanical Performance, Microstructures, and Isothermal Crystallization Kinetics. Polym. Compos. 2015, 36, 1826–1839. [Google Scholar] [CrossRef]
- Zeng, Y.; Liu, Y.; Wang, L.; Huang, H.; Zhang, X.; Liu, Y.; Min, M.; Li, Y. Effect of Silver Nanoparticles on the Microstructure, Non-Isothermal Crystallization Behavior and Antibacterial Activity of Polyoxymethylene. Polymers 2020, 12, 424. [Google Scholar] [CrossRef] [PubMed]
- Hu, G.; Cui, L.; Zhang, S.; Xie, B. Solubility of Prednisone Acetate in Different Mixed Solvents at Different Temperatures. J. Mol. Liq. 2012, 173, 13–17. [Google Scholar] [CrossRef]
- Li, H.; Liu, J.; Chen, X.; Ren, T. Solubility of KF in Tributyl Phosphate, Dimethyl Sulfoxide, N,N-Dimethylacetamide and 1,4-Dioxane from 300.87 to 359.50K. J. Mol. Liq. 2012, 166, 67–69. [Google Scholar] [CrossRef]
- Kim, M.R.; Lee, S.; Park, J.-K.; Cho, K.Y. Golf Ball-Shaped PLGA Microparticles with Internal Pores Fabricated by Simple O/W Emulsion. Chem. Commun. 2010, 46, 7433–7435. [Google Scholar] [CrossRef] [PubMed]
- Qian, Z.; Wang, Y.; Li, J.; Wang, X.; Wu, D. Development of Sustainable Polyoxymethylene-Based Composites with Recycled Carbon Fibre: Mechanical Enhancement, Morphology, and Crystallization Kinetics. J. Reinf. Plast. Compos. 2014, 33, 294–309. [Google Scholar] [CrossRef]
- Chen, X.; Hou, G.; Chen, Y.; Yang, K.; Dong, Y.; Zhou, H. Effect of Molecular Weight on Crystallization, Melting Behavior and Morphology of Poly(Trimethylene Terephalate). Polym. Test. 2007, 26, 144–153. [Google Scholar] [CrossRef]
- Lozada-Flores, O.; Figueroa, I.A.; Lara, G.A.; Gonzalez, G.; Borja-Soto, C.; Verduzco, J.A. Crystallization Kinetics of Cu55Hf45 Glassy Alloy. J. Non-Cryst. Solids 2017, 460, 1–5. [Google Scholar] [CrossRef]






| Sample | Cooling Rate (°C/min) | Tp (°C) | ΔHc (J/g) | ΔHm (J/g) | Xc (%) |
|---|---|---|---|---|---|
| Raw materials | 2 | 148.42 | 123.66 | −133.31 | 41.93 |
| 5 | 147 | 125.55 | −133.63 | 42.03 | |
| 8 | 145.63 | 131.15 | −141.80 | 44.60 | |
| 10 | 145.73 | 134.38 | −155.64 | 48.95 | |
| 20 | 143.27 | 139.13 | −156.31 | 49.17 | |
| Large particles | 2 | 153.68 | 156.89 | −142.48 | 44.82 |
| 5 | 152.62 | 165.20 | −161.43 | 50.78 | |
| 8 | 151.45 | 175.95 | −189.05 | 59.46 | |
| 10 | 150.77 | 176.14 | −196.46 | 61.79 | |
| 20 | 149.01 | 176.78 | −201.14 | 63.27 |
| Sample | Tc (°C) | n | k (1/minn) | t0.5 (min) | R2 |
|---|---|---|---|---|---|
| Raw materials | 149 | 2.627 | 0.415 | 1.216 | 0.994 |
| 150 | 2.318 | 0.0515 | 3.068 | 0.998 | |
| 151 | 2.179 | 0.0106 | 6.818 | 0.983 | |
| 152 | 2.157 | 0.00441 | 10.433 | 0.969 | |
| Large particles | 148 | 2.080 | 1.249 | 0.754 | 0.996 |
| 149 | 2.346 | 0.277 | 1.478 | 0.989 | |
| 150 | 2.194 | 0.0722 | 2.803 | 0.993 | |
| 151 | 2.182 | 0.0476 | 3.412 | 0.987 |
Disclaimer/Publisher’s Note: The statements, opinions and data contained in all publications are solely those of the individual author(s) and contributor(s) and not of MDPI and/or the editor(s). MDPI and/or the editor(s) disclaim responsibility for any injury to people or property resulting from any ideas, methods, instructions or products referred to in the content. |
© 2024 by the authors. Licensee MDPI, Basel, Switzerland. This article is an open access article distributed under the terms and conditions of the Creative Commons Attribution (CC BY) license (https://creativecommons.org/licenses/by/4.0/).
Share and Cite
Du, H.; Zhou, X.; Zhang, Y.; Ye, Y.; Xuanyuan, S.; Yang, S.; Lao, G.; Xie, C. Distinct Crystallization Pathways of Polyoxymethylene in Methanol System. Crystals 2024, 14, 401. https://doi.org/10.3390/cryst14050401
Du H, Zhou X, Zhang Y, Ye Y, Xuanyuan S, Yang S, Lao G, Xie C. Distinct Crystallization Pathways of Polyoxymethylene in Methanol System. Crystals. 2024; 14(5):401. https://doi.org/10.3390/cryst14050401
Chicago/Turabian StyleDu, Haowen, Xiaomeng Zhou, Yaru Zhang, Yang Ye, Shutian Xuanyuan, Sen Yang, Guorui Lao, and Chuang Xie. 2024. "Distinct Crystallization Pathways of Polyoxymethylene in Methanol System" Crystals 14, no. 5: 401. https://doi.org/10.3390/cryst14050401
APA StyleDu, H., Zhou, X., Zhang, Y., Ye, Y., Xuanyuan, S., Yang, S., Lao, G., & Xie, C. (2024). Distinct Crystallization Pathways of Polyoxymethylene in Methanol System. Crystals, 14(5), 401. https://doi.org/10.3390/cryst14050401

