Numerical Simulation of Infiltration Behavior of ZTAP/HCCI Composites
Abstract
1. Introduction
2. Experimental Methods and Results
3. Mathematical Models
3.1. Macroscopic Temperature Field
3.2. Macroscopic Flow Field
3.3. Turbulence
3.4. Model Construction of Particle-Reinforced Metal Matrix Composites Preform
3.5. Construction of 2D Model of Prefab
3.6. Meshing
3.7. Initial and Boundary Conditions
4. Discussion and Results
4.1. Numerical Simulation of Liquid Metal Infiltration into Preform
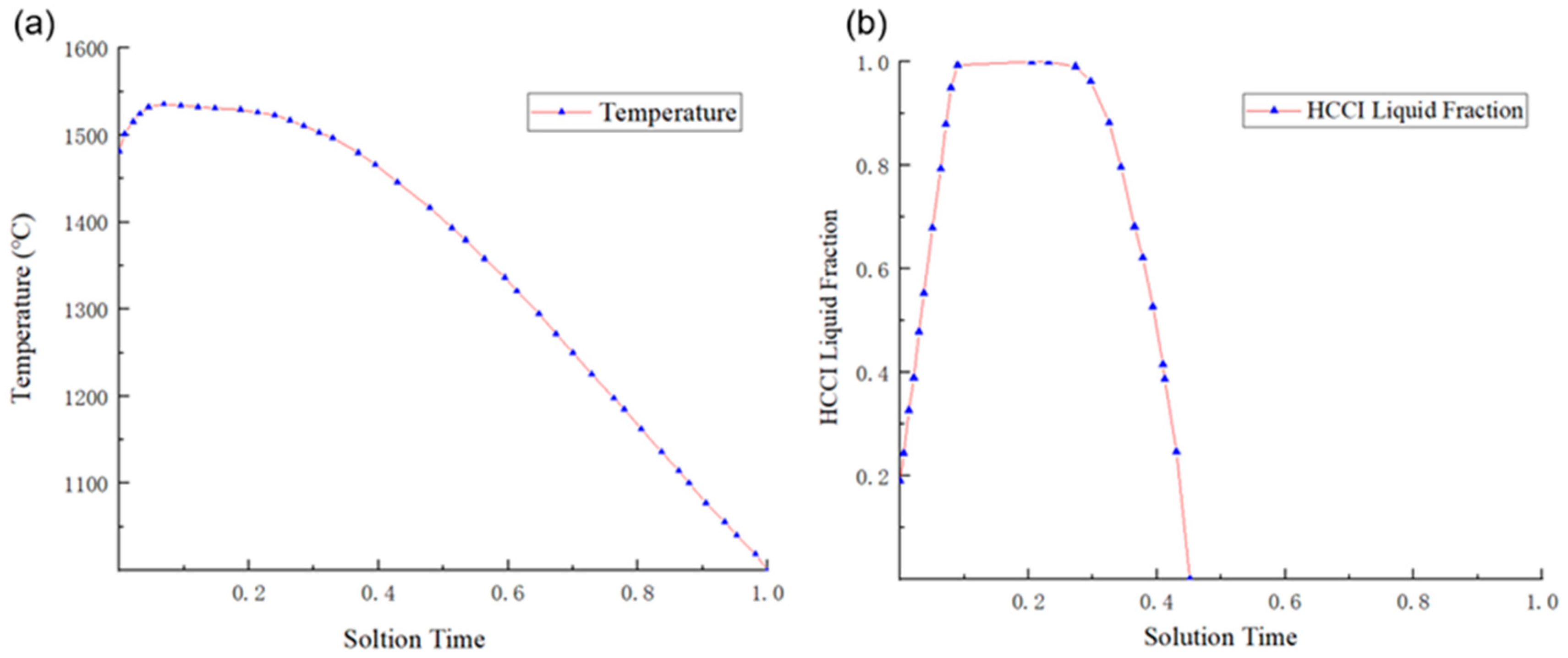
4.2. Temperature Field during Casting Infiltration Process
4.3. Depth of Liquid Metal Infiltration into Preform
5. Conclusions
- (1)
- In the infiltration experiment, at pouring temperatures of 1420 °C, 1570 °C, 1720 °C, and 1870 °C, the depths of liquid metal infiltration into the preform were 4.5 mm, 7.6 mm, 11 mm, and 14 mm. Under the same conditions, the simulated values of liquid metal infiltration depth were 4 mm, 8 mm, 11 mm, and 15 mm, respectively, and the experimental values are basically consistent with the simulated values.
- (2)
- As the infiltration pressure increases sequentially from 7620 Pa to 15,240 Pa, 22,860 Pa, and 30,480 Pa, it is beneficial to overcome the infiltration resistance of the liquid metal during the flow of the ceramic particle preform and to increase the infiltration depth of the liquid metal in the preform. The infiltration depths are 10 mm, 16 mm, 20 mm, and 22 mm, respectively.
Author Contributions
Funding
Data Availability Statement
Acknowledgments
Conflicts of Interest
References
- Gupta, M. Metal Matrix Composites—The Way Forward. Appl. Sci. 2020, 10, 3000. [Google Scholar] [CrossRef]
- Kim, C.-S.; Cho, K.; Manjili, M.H.; Nezafati, M. Mechanical performance of particulate-reinforced Al metal-matrix composites (MMCs) and Al metal-matrix nano-composites (MMNCs). J. Mater. Sci. 2017, 52, 13319–13349. [Google Scholar] [CrossRef]
- Malaki, M.; Tehrani, A.F.; Niroumand, B. Fatgiue behavior of metal matrix nanocomposites. Ceram. Int. 2020, 46, 23326–23336. [Google Scholar] [CrossRef]
- Maleki, A.; Taherizadeh, A.; Issa, H.; Niroumand, B.; Allafchian, A.; Ghaei, A. Development of a new magnetic aluminum matrix nanocomposite. Ceram. Int. 2018, 44, 15079–15085. [Google Scholar] [CrossRef]
- Qin, Y.; Tian, Y.; Peng, Y.; Luo, L.; Zan, X.; Xu, Q.; Wu, Y. Research status and development trend of preparation technology of ceramic particle dispersion strengthened copper-matrix composites. J. Alloy. Compd. 2020, 848, 156475. [Google Scholar] [CrossRef]
- Kumar, V.M.; Venkatesh, C.V. A comprehensive review on material selection, processing, characterization and applications of aluminium metal matrix composites. Mater. Res. Express 2019, 6, 072001. [Google Scholar] [CrossRef]
- Mortensen, A.; Llorca, J. Metal Matrix Composites. Annu. Rev. Mater. Res. 2010, 40, 243–270. [Google Scholar] [CrossRef]
- Nie, K.; Wang, X.; Deng, K.; Hu, X.; Wu, K. Magnesium matrix composite reinforced by nanoparticles—A review. J. Magnes. Alloy. 2021, 9, 57–77. [Google Scholar] [CrossRef]
- Sui, Y.; Han, L.; Jiang, Y. Effect of Ta2O5 addition on the microstructure and mechanical properties of TiO2-added yttria-stabilized zirconia-toughened alumina (ZTA) composites. Ceram. Int. 2018, 44, 14811–14816. [Google Scholar] [CrossRef]
- Zhang, W.; Chen, H.; Prentki, R. Numerical analysis of the mechanical behavior of ZTAp/Fe composites. Comput. Mater. Sci. 2017, 137, 153–161. [Google Scholar] [CrossRef]
- Zhou, M.; Sui, Y.; Chong, X.; Jiang, Y. Wear Resistance Mechanism of ZTAP/HCCI Composites with a Honeycomb Structure. Metals 2018, 8, 588. [Google Scholar] [CrossRef]
- Sktani, Z.D.I.; Arab, A.; Mohamed, J.J.; Ahmad, Z.A. Effects of additives additions and sintering techniques on the microstructure and mechanical properties of Zirconia Toughened Alumina (ZTA): A review. Int. J. Refract. Met. Hard Mater. 2022, 106, 105870. [Google Scholar] [CrossRef]
- Sui, Y.; Zhou, M.; Jiang, Y. Characterization of interfacial layer of ZTA ceramic particles reinforced iron matrix composites. J. Alloy. Compd. 2018, 741, 1169–1174. [Google Scholar] [CrossRef]
- Wang, J.; Stevens, R. Zirconia-toughened alumina (ZTA) ceramics. J. Mater. Sci. 1989, 24, 3421–3440. [Google Scholar] [CrossRef]
- Dutka, V.A. Numerical modeling of liquid-phase infiltration in the process of sintering ceramic composites. J. Superhard Mater. 2014, 36, 105–116. [Google Scholar] [CrossRef]
- Guan, J.-T.; Qi, L.-H.; Liu, J.; Zhou, J.-M.; Wei, X.-L. Threshold pressure and infiltration behavior of liquid metal into fibrous preform. Trans. Nonferrous Met. Soc. China 2013, 23, 3173–3179. [Google Scholar] [CrossRef]
- Orbulov, I.N. Metal matrix syntactic foams produced by pressure infiltration—The effect of infiltration parameters. Mater. Sci. Eng. A 2013, 583, 11–19. [Google Scholar] [CrossRef]
- Guo, X.; Liu, R.; Wang, J.; Shuai, S.; Xiong, D.; Bai, S.; Zhang, N.; Gong, X.; Wang, X. 3D actual microstructure-based modeling of non-isothermal infiltration behavior and void formation in liquid composite molding. Appl. Math. Model. 2021, 94, 388–402. [Google Scholar] [CrossRef]
- Du, J.; Chong, X.; Jiang, Y.; Feng, J. Numerical simulation of mold filling process for high chromium cast iron matrix composite reinforced by ZTA ceramic particles. Int. J. Heat Mass Transf. 2015, 89, 872–883. [Google Scholar] [CrossRef]
- Barragán De Los Rios, G.A.; Salazar Martínez, S.A.; Mendoza Fandiño, E.; Fernandez-Morales, P. Numerical Simulation of Aluminum Foams by Space Holder Infiltration. Int. J. Met. 2024, 1–17. [Google Scholar] [CrossRef]
- Chen, Z.; Li, Y.; Zhao, F.; Li, S.; Zhang, J. Progress in numerical simulation of casting process. Meas. Control. 2022, 55, 257–264. [Google Scholar] [CrossRef]
- Cheng, H.; Chang, J.; Sun, Y.; Zhang, J.; Wang, X. Numerical simulation of stress distribution for CF/EP composites in high temperatures. J. Therm. Stress. 2019, 42, 416–425. [Google Scholar] [CrossRef]
- Kurz, W.; Fisher, D.J.; Rappaz, M. Fundamentals of Solidification, 5th ed.; Trans Tech Publications: Zurich, Switzerland, 2023. [Google Scholar]
- Li, B. Numerical simulation of flow and temperature evolution during the initial phase of steady-state solidification. J. Mater. Process. Technol. 1997, 71, 402–413. [Google Scholar] [CrossRef]
- Katgerman, L. Principles of Solidification. Mater. Today 2011, 14, 502. [Google Scholar] [CrossRef]
- Yakhot, V.; Orszag, S.A. Renormalization group analysis of turbulence. I. Basic theory. J. Sci. Comput. 1986, 1, 3–51. [Google Scholar] [CrossRef]
- Smith, L.M.; Reynolds, W.C. On the Yakhot–Orszag renormalization group method for deriving turbulence statistics and models. Phys. Fluids A Fluid Dyn. 1992, 4, 364–390. [Google Scholar] [CrossRef]
- Bargmann, S.; Klusemann, B.; Markmann, J.; Schnabel, J.E.; Schneider, K.; Soyarslan, C.; Wilmers, J. Generation of 3D representative volume elements for heterogeneous materials: A review. Prog. Mater. Sci. 2018, 96, 322–384. [Google Scholar] [CrossRef]














| Disclaimer/Publisher’s Note: The statements, opinions and data contained in all publications are solely those of the individual author(s) and contributor(s) and not of MDPI and/or the editor(s). MDPI and/or the editor(s) disclaim responsibility for any injury to people or property resulting from any ideas, methods, instructions or products referred to in the content. | 
© 2024 by the authors. Licensee MDPI, Basel, Switzerland. This article is an open access article distributed under the terms and conditions of the Creative Commons Attribution (CC BY) license (https://creativecommons.org/licenses/by/4.0/).
Share and Cite
He, X.; Lu, Y.; Li, X.; Zhou, M.; Jiang, Y. Numerical Simulation of Infiltration Behavior of ZTAP/HCCI Composites. Crystals 2024, 14, 355. https://doi.org/10.3390/cryst14040355
He X, Lu Y, Li X, Zhou M, Jiang Y. Numerical Simulation of Infiltration Behavior of ZTAP/HCCI Composites. Crystals. 2024; 14(4):355. https://doi.org/10.3390/cryst14040355
Chicago/Turabian StyleHe, Xu, Yu Lu, Xiangming Li, Mojin Zhou, and Yehua Jiang. 2024. "Numerical Simulation of Infiltration Behavior of ZTAP/HCCI Composites" Crystals 14, no. 4: 355. https://doi.org/10.3390/cryst14040355
APA StyleHe, X., Lu, Y., Li, X., Zhou, M., & Jiang, Y. (2024). Numerical Simulation of Infiltration Behavior of ZTAP/HCCI Composites. Crystals, 14(4), 355. https://doi.org/10.3390/cryst14040355
 
        

