Next Article in Journal
Mechanical Response of Cu/Sn58Bi-xNi/Cu Micro Solder Joint with High Temperatures
Next Article in Special Issue
Enhancing Vapochromic Properties of Platinum(II) Terpyridine Chloride Hexaflouro Phosphate in Terms of Sensitivity through Nanocrystalization for Fluorometric Detection of Acetonitrile Vapors
Previous Article in Journal
Synthesis of BaZrS3 and BaS3 Thin Films: High and Low Temperature Approaches
Previous Article in Special Issue
Strain-Modulated Electronic Transport Properties in Two-Dimensional Green Phosphorene with Different Edge Morphologies
 
 
Font Type:
Arial Georgia Verdana
Font Size:
Aa Aa Aa
Line Spacing:
Column Width:
Background:
Article

Effect of Traps on the UV Sensitivity of Gallium Oxide-Based Structures

by
Vera M. Kalygina
1,*,
Alexander V. Tsymbalov
1,
Petr M. Korusenko
2,3,
Aleksandra V. Koroleva
4 and
Evgeniy V. Zhizhin
4
1
Research and Development Centre for Advanced Technologies in Microelectronics, National Research Tomsk State University, 634050 Tomsk, Russia
2
Department of Solid State Electronics, Saint Petersburg State University, 199034 Saint Petersburg, Russia
3
Department of Physics, Omsk State Technical University, 644050 Omsk, Russia
4
Research Park, Saint Petersburg State University, 199034 Saint Petersburg, Russia
*
Author to whom correspondence should be addressed.
Crystals 2024, 14(3), 268; https://doi.org/10.3390/cryst14030268
Submission received: 8 February 2024 / Revised: 27 February 2024 / Accepted: 6 March 2024 / Published: 9 March 2024
(This article belongs to the Special Issue 1D and 2D Nanomaterials for Sensor Applications)

Abstract

Resistive metal/β-Ga2O3/metal structures with different interelectrode distances and electrode topologies were investigated. The oxide films were deposited by radio-frequency magnetron sputtering of a Ga2O3 (99.999%) target onto an unheated sapphire c-plane substrate (0001) in an Ar/O2 gas mixture. The films are sensitive to ultraviolet radiation with wavelength λ = 254. Structures with interdigital electrode topology have pronounced persistent conductivity. It is shown that the magnitude of responsivity, response time τr, and recovery time τd are determined by the concentration of free holes p involved in recombination processes. For the first time, it is proposed to consider hole trapping both by surface states Nts at the metal/Ga2O3 interface and by traps in the bulk of the film.

1. Introduction

In recent years, the exploration of advanced materials for electronic devices has led to the emergence of gallium oxide (Ga2O3) as a promising semiconductor for various applications, particularly in the development of detectors [1,2]. Gallium oxide, a wide-bandgap semiconductor (Eg = 4.4–5.3 eV), exhibits unique properties that make it well suited for high-performance ultraviolet sensors [3,4]. This compound has attracted considerable attention in the field of optoelectronics due to its wide bandgap energy, excellent thermal stability, and robust chemical properties [5,6]. Ultraviolet detectors (UVDs) based on gallium oxide have found a wide range of applications in areas such as environmental monitoring, flame detection, communication systems, biomedical applications, etc. [7,8].
The sensitivity of UVDs to UV radiation and their speed of operation are the main parameters characterizing their ability to detect UV radiation and the time resolution of the devices, respectively [9]. Previous works have demonstrated detectors based on Ga2O3 with high values of responsivity (R), detectivity (D*), and external quantum efficiency (EQE) [10]. However, response times τr and recovery times τd exceeded several seconds. In this regard, the development of ultraviolet detectors with minimal response τr and recovery times τd as well as high sensitivity is an important task.
In β-Ga2O3, there are many deep traps in the bandgap, formed by structural defects and impurities [11]. Deep traps in β-Ga2O3 can be classified into two types: majority and minority traps. This classification is either based on their capability to capture an electron (majority trap) or a hole (minority trap), which is clearly manifested in the capture cross-section rate value, or depends on how close they are to the valence band maximum and conduction band minimum [12].
Recent research on deep electron traps in n-type β-Ga2O3 Schottky barrier diodes (SBDs) has enabled the mapping of the upper half of the bandgap and revealed the presence of four deep electron traps with activation energy values near Ec-0.6 eV (E1), Ec-0.79 eV (E2), Ec-0.75 eV (E2*), and Ec-1 eV (E3) [12].
Ga2O3-based UVDs exhibit persistent conductivity [13]. This is due to holes that can self-localize on defects in the gallium oxide crystal lattice [14]. As a result, the response and recovery times of gallium oxide UVDs can be several minutes. Minority traps H1, H2, and H3, with energies of about 0.2, 0.3, and 1.3 eV, respectively, above the valence band maximum are the most known defects that are related to gallium vacancy [12]. Therefore, the study of the effect of traps on photoelectric performance plays a key role in the development and optimization of gallium oxide detectors [15].
This work considers ultraviolet radiation detectors based on M/β-Ga2O3/M with different interelectrode distances and topologies. The responsivity values of the structures were compared with their response τr and recovery times τd. An analysis of their current–voltage characteristics (I–V characteristics) was carried out over a wide voltage range. For the first time, it was proposed to take into account surface states at the gallium oxide/metal interface which are involved in the capture of free holes.

2. Experimental Procedure

2.1. Methodology of Structure Production

In this work, two types of detectors based on β-Ga2O3 were studied: detectors with two parallel electrodes (the first sample type) and detectors with interdigitated electrodes (the second sample type).
Electrodes for detectors of the first type were created by depositing a layer of platinum on smooth sapphire substrates using the vacuum deposition method. In the next stage, contacts were formed using explosive photolithography. The distance between the electrodes was 250 μm (Figure 1a). A gallium oxide film 150–200 nm thick was deposited by radio-frequency magnetron sputtering (RFMS) of a Ga2O3 target (99.999%) onto unheated sapphire substrates using an AUTO-500 setup (Edwards, UK) in an Ar/O2 gas mixture. The oxygen concentration in the mixture was (56.1 ± 0.5) vol. %. The distance between the target and the substrate was 70 mm. The pressure in the chamber during spraying was maintained at 7 × 10−6 bar. Then, the gallium oxide film was annealed in argon at 900 °C for 30 min. After annealing, the film transformed from an amorphous state to a polycrystalline beta phase of Ga2O3 [16]. The wafer was then cut into 1.4 × 1.4 mm2 chips, as shown in Figure 1a.
The second type of detectors was prepared similarly, with the exception that a gallium oxide film was first deposited onto a sapphire substrate. Following this, an interdigitated topology of Ti/V-based electrodes was formed. Samples with interelectrode distance d equal to 50, 30, 10, and 5 μm were obtained. The number of electrodes was 50, 75, 150, and 200, respectively. The chips were 3.5 × 3.5 mm2 in size, regardless of interelectrode distance (Figure 1b).

2.2. Structural Property Characterization and Electrical Measurements

X-ray diffraction (XRD) spectra of Ga2O3 films before and after annealing were measured by a Bruker D8 Discover (Bruker AXS GmbH, Germany) diffractometer (CuK α radiation λ = 1.54 Å) with a position- sensitive linear detector LynxEye in Bragg–Brentano geometry at an ω = 0.5° angle offset from the normal position of the sapphire substrate.
The chemical composition of the samples was studied by X-ray photoelectron spectroscopy (XPS). XPS measurements were carried out using a hemispherical analyzer included in the ESCALAB 250Xi (Thermo Fisher Scientific, Waltham, MA, USA) laboratory spectrometer. The measurements were carried out using a monochromatized AlKa radiation (hv = 1486.6 eV). Survey and core-level (Ga 2p, O 1s, Ga 3d) photoemission (PE) spectra were recorded in the constant-energy mode of the analyzer with pass energies of 100 and 50 eV, respectively. The film’s surface was irradiated with argon ions at an average energy of 500 eV for 300 s to remove adsorbed atoms and molecules of contaminants. The analysis of the core-level spectra was processed using Avantage Data System software.
The spectral dependencies of the photoelectric properties were measured by means of the spectrometric system based on a MonoScan 2000 monochromator (Ocean Insight, Orlando, FL, USA) and a DH-2000 Micropack lamp, described in detail in [10]. A krypton-fluorine lamp VL-6.C was used as the source of irradiation at λ = 254 nm and the light power density P = 780 μW/cm2. The photoelectric and electrical properties of the samples were measured by means of Keithley 2611B.

3. Results

Figure 2 shows the XRD spectra of the gallium oxide film before and after annealing at 900 °C. Peaks at 2θ = 41.7° and 90.7° correspond to (0006) and (00012) crystals planes of sapphire substrates. The gallium oxide thin film without annealing is amorphous (Figure 2, black line). The film annealed at 900 °C has peaks of the monoclinic β-Ga2O3 phase (Figure 2, red line and blue bars). A partial texture with a preferred orientation of (20-1) Ga2O3 planes parallel to the substrate surface is formed in the annealed film.
Figure 3 shows the survey spectra of the studied sample before and after 300 s etching with argon ions. In both survey PE spectra, gallium (Ga 2s~1303 eV, Ga 2p~1118.1 eV, Ga LMM~424.5 eV, Ga 3s~161.2 eV, Ga 3p~106.1 eV, and Ga 3d~20.8 eV) and oxygen lines (O KLL~976.5 eV, O 1s~531.4 eV, O 2s~24 eV) are present [17]. At the same time, the survey spectrum measured from the surface before etching also contains carbon lines (C KLL~1224 eV, C 1s~285 eV). After etching with argon ions, the intensity of the O 1s PE line decreases significantly, and the intensity of the G 2p PE line, on the contrary, increases. This result indicates a change in the [O]/[Ga] ratio. It is important to note that for a more correct quantitative analysis and determination of the [O]/[Ga] ratio, the gallium Ga 3s and the oxygen O 1s lines were used. This is due to the fact that the escape depths of photoelectrons, which are determined by the inelastic mean free path (IMFP) of a photoelectron, for these shells are ~2.2 and ~1.7 nm, respectively, while for the Ga 2p and O 1s shells, the IMFP differs by almost 2 times (see Table 1). It is clearly seen that the [O]/[Ga] ratio differs before and after ion etching; the reasons for this are outlined in the Discussion section.
A detailed analysis of the core-level PE spectra measured after 300 s Ar+ etching showed that the positions of the Ga 2p3/2, Ga 3d, and O 1s line maxima at the binding energy are 1118.1, 20.6, and 531.1 eV, respectively. This result, together with the [O]/[Ga] ratio, indicates that gallium is in the Ga2O3 compound (Figure 4) [18].
Figure 5 shows the transmission spectrum for β-Ga2O3 films. Gallium oxide films are transparent in the near-ultraviolet (UVA) range. The transmittance values T decrease from 83% to 74.5% between wavelengths of 320 nm and 280 nm. The structures are solar-blind. The optical bandgap of the β-Ga2O3 film was determined by analyzing the dependence of the absorption coefficient α on photon energy hv, resulting in Eg = 4.8 ± 0.05 eV (Figure 5, inset).

3.1. Structures of the First Type

The current–voltage characteristics of both sample types are symmetrical regarding voltage polarity. The dependence of the dark current (ID) on the voltage (U) is linear for detectors of the first type. ID values do not exceed 10-180 pA in the voltage range −200 ≤ U ≤ 200 V (Figure 6a). The current–voltage characteristic maintains a linear shape under UV exposure (Figure 6b). Ultraviolet radiation with a wavelength of 254 nm leads to an increase in current by 3–4 orders of magnitude. Total current (IL) values increase linearly under UV exposure to 1.6–1.7 µA with increasing voltage up to ±200 V. In Figure 6, the IL1 and IL2 curves correspond to the currents measured during the first and second measurements of the structures during continuous exposure to UV radiation.
Figure 6a shows that the dark current ID1 returns to its original values ID almost immediately after exposure to UV radiation. The dark currents measured before and immediately after turning off the UV light are consistent within experimental error (Figure 6a). Thus, the structures do not exhibit “persistent conductivity”.
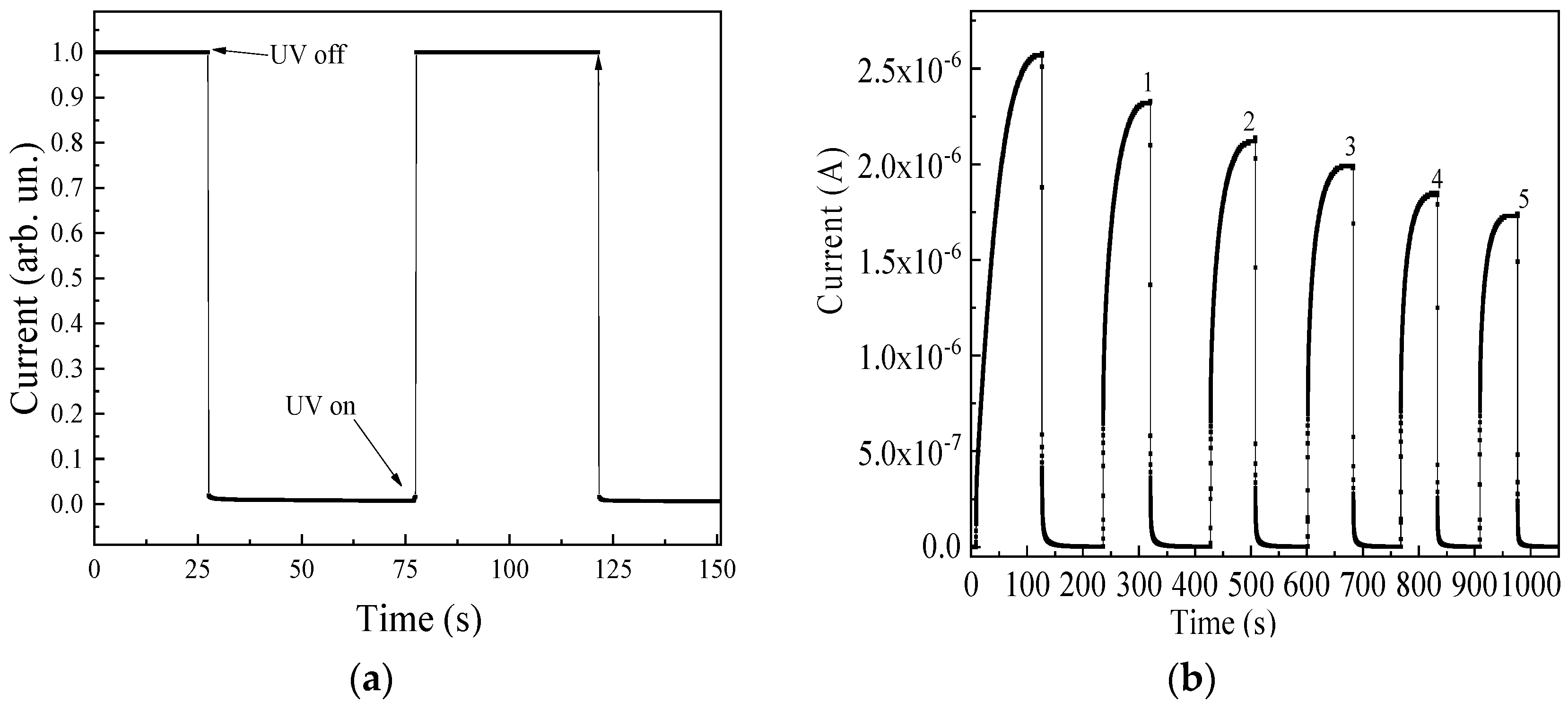
Figure 7 shows the time profile of the current structure under UV exposure with λ = 254 nm. The response times τr and recovery times τd of the photocurrent are in the millisecond range, confirming the absence of “persistent conductivity” in samples of this type.

3.2. Structures of the Second Type

The current–voltage characteristics of structures with interdigitated contacts (structures of the second type) and interelectrode distances of 50 and 30 μm are linear in the range of 0 to 200 V (Figure 8).
The dark I–V shape changes as the interelectrode distance decreases in structures with interdigitated electrodes. Thus, the dark current–voltage characteristics of the samples with an interelectrode distance of 5 μm and 10 μm cannot be represented by a linear dependence of current I on voltage U in the range of the indicated voltages (Figure 9, inset). Figure 9 shows the dark current–voltage characteristics on a double logarithmic scale for samples with an interelectrode distance of 5 μm and 10 μm in the voltage range 0 < V ≤ 200 V.
The coordinates ln(I) from ln(U) contain linear sections. The slope of the first section is 1.10 for the structure with an interelectrode distance of 5 μm and 1.63 for the second section. For a structure with an interelectrode distance of 10 μm, the slope of the first section is 1.31, and for the second—3.80. Thus, the dark current–voltage characteristics of samples with interelectrode distances d = 5 and 10 μm can be represented by power law dependence I~Um, where m = 1 in the range of low voltages and m > 1 at higher electric fields. Thus, the conductivity of structures of the second type in the absence of radiation is determined by space-charge-limited currents (SCLCs) in a semiconductor with traps unevenly distributed in energy (Figure 9). The relationship between current and voltage in this case is determined by the following expression [19]:
J = N c μ e 1 l ε ε 0 l N t l + 1 l 2 l + 1 l + 1 l + 1 U l + 1 d 2 l + 1
where Nc is the effective density of quantum states in the conduction band of gallium oxide; ε—the relative permittivity of Ga2O3; ε0—the electrical constant; μ—electron mobility; Nt is the concentration of traps in the Ga2O3 film; e—electron charge; l = m − 1. Exponent l was determined from the slope of the current–voltage characteristic on a double logarithmic scale. The transition voltage from Ohm’s law to SCLC is described by the following expression:
U Ω T = e d 2 ε ε 0 l + 1 2 l + 1 ( 1 + l ) / l N t n 0 N c 1 / l l + 1 l .
From experimental data and Expression (2), it was found that the trap concentration Nt was 2 × 1017 cm−3 and 6 × 1017 cm−3 for structures with d = 5 and 10 μm, respectively. The value of Nt was calculated using n0 = 1 × 1017 cm−3 and Nc = 4 × 1018 cm−3 [20]. The conclusion regarding SCLCs in these samples is consistent with the established concept of multiple traps in the bandgap of β-Ga2O3 [21,22,23].
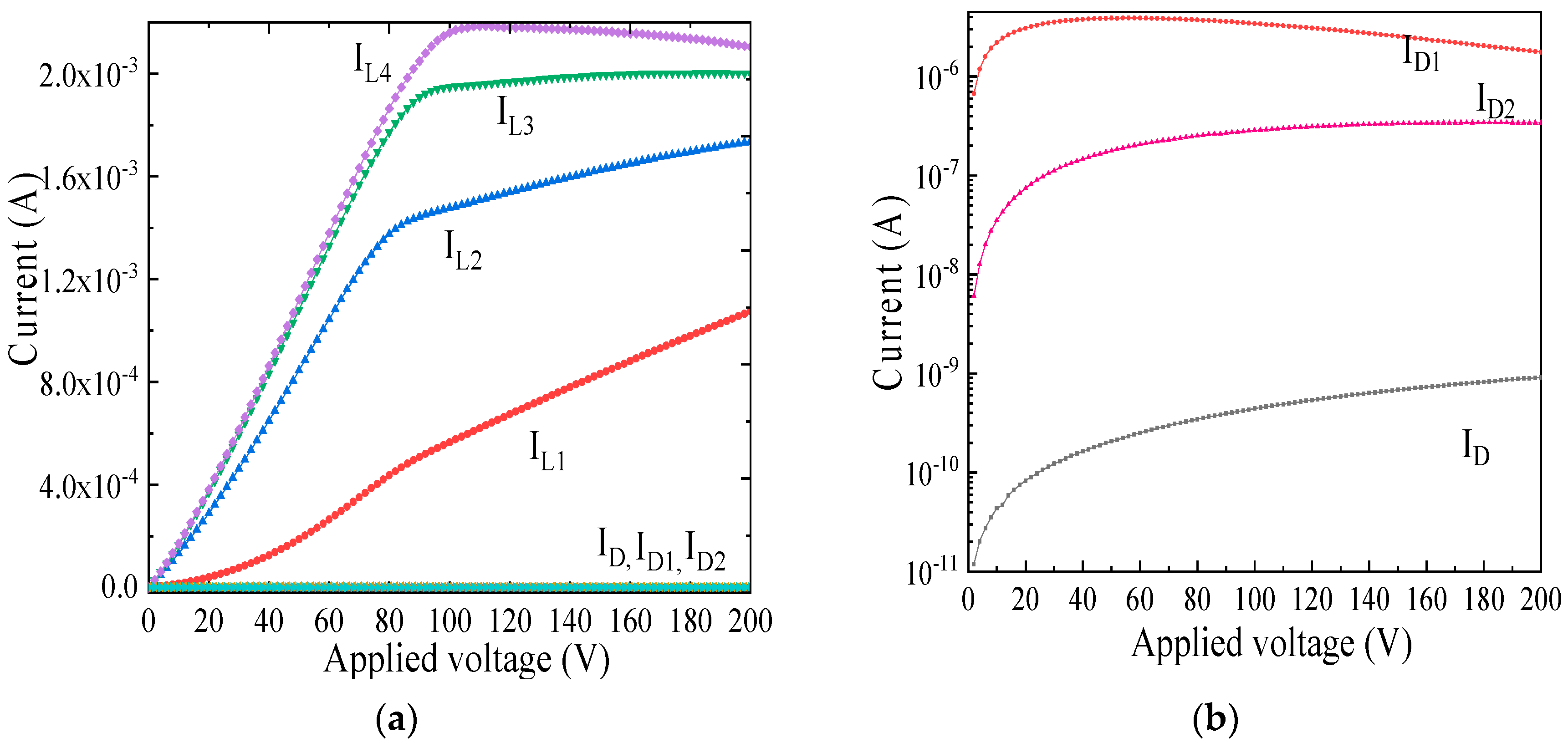
In structures with interdigitated electrodes (structures of the second type), the dependence of current IL on voltage cannot be represented by a linear dependence, regardless of the interelectrode distance (Figure 10a).
Initially, IL increases linearly with increasing voltage, and then a slowdown in the growth of the light current is observed, followed by a decrease, for example, in the IL4 curve in Figure 10a.
The light current increases with each subsequent measurement: IL1 < IL2 < IL3 < IL4 during continuous exposure to radiation with λ = 254 nm (Figure 10a). Further measurements lead to the stabilization of the light current: it reaches a stationary state.
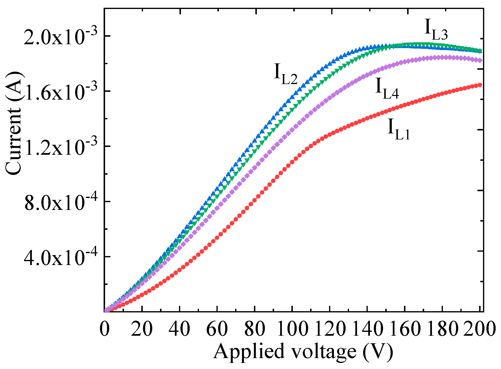
A similar behavior of the current–voltage characteristic under continuous UV exposure is typical for samples with d = 10 μm (Figure 11a). In the region of strong electric fields, a noticeable decrease in light current is observed with increasing voltage in the structure (Figure 11a, curves IL1–IL8). The maximum points of IL from U were determined by differentiation (Figure 11b).
It should be noted that the behavior of the current–voltage characteristic is also affected by radiation with energy hv < Eg. In [16], the influence of pre-exposure of the structure to radiation with quanta of energy hv less than the bandgap Eg of gallium oxide on the behavior of the current–voltage characteristic is considered. Pre-exposure to broadband radiation increases the photocurrent IL1 generated by short-wavelength radiation and reduces the deviation of photocurrents IL2, IL3, and IL4 from IL1 (first measurement) (Figure 12).
Exposure to radiation with hν < Eg reduces the concentration of active trap centers due to changes in their charge state. This leads to an increase in the photocurrent and stability of detectors in the UV range [16].
Dark current ID takes some time to return to its initial value after exposure to UV radiation. In other words, the samples have persistent photoconductivity. Figure 10b shows dark current–voltage characteristics measured at different times: before UV exposure (ID); after UV exposure (ID1); and 30 s after UV exposure (ID2). The dark current measured immediately after turning off the UV is 3–4 orders of magnitude higher than the initial values of dark current ID at sample voltages 0 ≤ U ≤ 200 V. The presence of a maximum in the ID1 curve is explained by the gradual relaxation of the residual current as the voltage across the structure increases.
Thus, characteristics of structures with interdigitated electrodes are a large responsivity value and the presence of “persistent conductivity”. Table 2 shows the responsivity R and detectivity D* values for structures of the first and second types. The responsivity and detectivity values were calculated using the following expressions [24]:
R = I L I D   P s ,
D * = R s 2 e I D
where P—light power density, s—effective area, e—electron charge [7].

4. Discussions

Based on the XRD and XPS spectra, as well as the dependence of the absorption coefficient α on energy hv, it can be concluded that the film deposited using the RFMS method is β-Ga2O3. However, in the XPS data, a significant decrease in the [O]/[Ga] ratio from 1.48 to 1.19 was found after ion beam etching (see Table 1). This result is not associated with the presence of an oxygen-depleted layer in the Ga2O3 film but is explained by the removal of oxygen atoms from the Ga2O3 crystal lattice under the influence of argon ions during long-term treatment of the film surface. This effect was previously observed during the etching of various metal oxides with argon ions, as presented in [25]. Thus, the film obtained in this work is represented by stoichiometric Ga2O3 with a low content of oxygen vacancies.
Figure 13 shows the energy diagram of the M/Ga2O3/M structure. The energy diagram shown takes into account the ratios of the work function of electrons from metals χ0 used in our experiments (4.3 eV—Ti, V and 5.7 eV—Pt), and the electron affinity of Ga2O3 (4.0 eV) [26,27].
The conductivity of structures for both types in the absence of radiation is determined by space-charge-limited currents (SCLCs) in a trap semiconductor. The transition voltage from Ohm’s law to the power law dependence of current on voltage depends on the concentration of traps in the oxide film Nt and is proportional to d2, as follows from Expression (2). Transition voltage increases with the increasing concentration of free traps (those that have not captured electrons). It is assumed that in structures of the first type with two parallel electrodes, the concentration of free traps is high. Therefore, it is not possible to achieve a transition voltage in the voltage range 0 ≤ U ≤ 200 V. The high concentration of free traps causes low responsivity values R (Table 2) and relatively short response and recovery times.
It is assumed that structures with interdigitated electrodes have a higher density of surface states (Nts) at the M/Ga2O3 interface, which are divided into fast and slow. The average energy density of surface states should be the same for all samples obtained in one technological cycle. Then, the total number of Nts is determined by the contact perimeter W. The W values for the studied samples depend on the topology of the contacts and are given in Table 3. States above the Fermi level are able to trap holes at negative potentials on contact (Figure 13). Trapped holes do not contribute to recombination. As a result, a high concentration of generated electrons remains in the conduction band, which explains the large responsivity values presented in Table 3. In addition, the accumulation of holes on the negative electrode leads to the formation of an internal field.
Figure 10a and Figure 11a demonstrate the significant impact of traps on the response magnitude. The IL value increases until it reaches a steady-state value with each subsequent measurement. The current–voltage characteristic’s behavior is due to the gradual filling of traps. These traps capture electrons and do not participate in recombination processes during subsequent measurements.
The structures with interdigitated electrodes exhibit a monotonic dependence of current on voltage in the first measurement. However, the shape of the dependence of IL on U changes with subsequent measurements (Figure 10a and Figure 11a). Deviation from the monotonic dependence of light current on voltage occurs at electric fields above a certain critical value Ecr [28]. The critical field is defined as the electric field strength at which the drift length LE is equal to twice the hole diffusion length (LE = 2Lp) [29].
As the voltage increases, IL becomes dependent on voltage in the form of a curve with a maximum. The decrease in IL at voltages exceeding Vmax is due to the appearance of an internal electric field Ein, in the opposite direction of the external field Eex. The voltage Vmax, corresponding to the maximum value of the light current, increases with subsequent measurements (Figure 11b). The effect is explained by an increase in internal field strength Ein with increasing photocurrent, and higher values of Eex are required to compensate for it. It should be noted that the internal electric field plays a significant role at values of IL = 10−4–10−3 A.
The time dependences of IL(t) are characterized by two processes: fast and slow changes in current. The fast stage of change in IL is determined by processes of generation of electrons from the valence band and excitation of electrons from trap centers located below the Fermi level into the conduction band. The capture of electrons and holes at trap centers occurs simultaneously with the generation process.
Slow processes are caused by recombination (mainly Shockley–Reed–Hall recombination) and capture by traps. The recombination rate Δn/τn depends on the concentration of free holes in the valence band. An increase in the concentration of free holes in the valence band increases the rate of recombination. Thus, the stationary state is established faster, determined by the radiation intensity and the voltage on the structure. In turn, trapped pt holes do not participate in recombination. An increase in pt leads to a decrease in the recombination rate and an increase in the response times τr and recovery times τd. Thus, trapped holes cause high photocurrent values.
It is assumed that free holes are captured not only by defects in the bulk of the gallium oxide film, but also by surface states at the metal/Ga2O3 interface. Table 3 shows the response and recovery times for structures with different interelectrode distances. The P parameter determines the perimeter of the contacts used. Times τr and τd were found as the average value measured for each of the pulses shown in Figure 14.
From Table 3 and Figure 14, we can draw the following conclusions:
  • The response τr and recovery times τd of the photocurrent in structures with interdigitated electrodes are described by the following expression [30]:
    I = Is + A × exp(−t/τr1) + B × exp(−t/τr2),
    I = Is + A × exp(−t/τd1) + B × exp(−t/τd2),
    where Is represents the steady-state current and A and B are the fitting constants. τr1 and τr2 are fast and slow components of response times, whereas τd1 and τd2 denote the fast and slow components of recovery times;
  • Structures with interdigitated electrodes have recovery times that are an order of magnitude shorter than their response times;
  • The maximum value of IL decreases with each successive UV exposure (Figure 14b);
  • The minimum values of τr and τd correspond to structures with two electrodes, which have the lowest responsivity (Table 3).
The differences in responsivity values and time parameters between structures of the first and second types are explained by the different concentrations of traps that take part in the processes of generation and recombination.
Considering the metal/Ga2O3 interface, it is important to take into account the surface states, whose number depends on the perimeter of the contacts W. The Table 3 shows that the lowest W values were obtained for two-electrode samples. At a low concentration of surface states, a large fraction of the generated holes remain free and are capable of participating in recombination. Thus, there is a low concentration of electrons remaining in the conduction band. Consequently, the response values R (Table 2) are relatively small, and the values of τr and τd are fast (Table 3, Figure 14a).
Structures with large W values (d = 5 µm) exhibit maximum responsivity R and the longest τr and τd times (Table 2 and Table 3). Increasing the interelectrode distance to 50 µm leads to a fourfold decrease in W. As a result, responsivity is reduced by one order of magnitude, and recovery times are cut in half.
Studies of isotypic and anisotypic Ga2O3 semiconductor heterostructures confirm the crucial role of free holes in responding to far-range UV radiation [31,32]. The presence of a source of free holes in the valence band of the semiconductor provides a high recombination rate and low values of τr compared to similar data for samples with interdigitated electrodes.

5. Conclusions

The electrical and photoelectric characteristics of thin-film M/Ga2O3/M structures with two parallel electrodes (d = 250 μm) and interdigitated contacts with interelectrode distances d = 50, 30, 10, and 5 μm were studied.
The dark currents of the studied structures, regardless of interelectrode distance, were caused by currents limited by the space charge in the semiconductor. Traps were exponentially distributed in the bandgap of gallium oxide. The concentration of trap centers, estimated from experimental data, was (4–6)∙1017 cm−3.
The relationship between the magnitude of responsivity and the time characteristics for structures with different electrode topologies was considered. It was shown that the response and time parameters τr and τd are determined by the concentration of free holes p participating in recombination processes. However, the presence of free holes depends on the concentration of traps that can capture the holes. For the first time, it was proposed to take into account the capture of holes by the surface states of Nts at the metal/Ga2O3 interface in addition to their capture by trap centers in the bulk of the oxide film. The concentration of Nts depends on the topology of the electrodes, in other words, on the perimeter.

Author Contributions

Conceptualization, V.M.K. and A.V.T.; methodology, V.M.K., A.V.T. and A.V.K.; formal analysis, V.M.K., A.V.T. and P.M.K.; investigation, V.M.K., A.V.T., A.V.K. and E.V.Z.; resources, V.M.K., A.V.K. and E.V.Z.; data curation, V.M.K. and A.V.T.; writing—original draft preparation, V.M.K. and A.V.T.; writing—review and editing, V.M.K. and A.V.T.; visualization, V.M.K., P.M.K. and A.V.T.; supervision, V.M.K.; project administration, V.M.K.; funding acquisition, V.M.K. All authors have read and agreed to the published version of the manuscript.

Funding

This work was supported by a grant under the Decree of the Government of the Russian Federation No. 220 of 9 April 2010 (Agreement No. 075-15-2022-1132 of 1 July 2022).

Data Availability Statement

All data that support the findings of this study are included within the article.

Conflicts of Interest

The authors declare no conflicts of interest. The funders had no role in the design of the study; in the collection, analyses, or interpretation of data; in the writing of the manuscript, or in the decision to publish the results.

References

  1. Osipov, A.V.; Sharafudinov, S.S.; Kremleva, A.V.; Osipova, E.V.; Smirnov, A.M.; Kukushkin, S.A. Phase transformations in gallium oxide layers. Tech. Phys. Lett. 2023, 49, 4–7. [Google Scholar]
  2. Al-Hardan, N.H.; Abdul Hamid, M.A.; Jalar, A.; Firdaus-Raih, M. Unleashing the potential of gallium oxide: A paradigm shift in optoelectronic applications for image sensing and neuromorphic computing applications. Mater. Today Phys. 2023, 38, 101279. [Google Scholar] [CrossRef]
  3. Xiao, Y.; Yang, S.; Cheng, L.; Zhou, Y.; Qian, Y. Research progress of solar-blind UV photodetectors based on amorphous gallium oxide. Opto-Electron. Eng. 2023, 50, 230005. [Google Scholar]
  4. Fei, Z.; Chen, Z.; Chen, W.; Chen, S.; Wu, Z.; Lu, X.; Wang, G.; Liang, J.; Pei, Y. ε-Ga2O3 thin films grown by metal-organic chemical vapor deposition and its application as solar-blind photodetectors. J. Alloys Compd. 2022, 925, 166632. [Google Scholar] [CrossRef]
  5. Yakovlev, N.N.; Nikolaev, V.I.; Stepanov, S.I.; Almaev, A.V.; Pechnikov, A.I.; Chernikov, E.V.; Kushnarev, B.O. Effect of Oxygen on the Electrical Conductivity of Pt-Contacted α-Ga2O3/ε(κ)-Ga2O3 MSM Structures on Patterned Sapphire Substrates. IEEE Sens. J. 2021, 21, 14636–14644. [Google Scholar] [CrossRef]
  6. Fornari, R.; Pavesi, M.; Montedoro, V.; Klimm, D.; Mezzadri, F.; Cora, I.; Pécz, B.; Boschi, F.; Parisini, A.; Baraldi, A.; et al. Thermal stability of ε-Ga2O3 polymorph. Acta Mater. 2017, 140, 411–416. [Google Scholar] [CrossRef]
  7. Galazka, Z. β-Ga2O3 for wide-bandgap electronics and optoelectronics. Semicond. Sci. Technol. 2018, 33, 113001. [Google Scholar] [CrossRef]
  8. Varshney, U.; Sharma, A.; Vashishtha, P.; Goswami, L.; Gupta, G. Ga2O3/GaN Heterointerface-Based Self-Driven Broad-Band Ultraviolet Photodetectors with High Responsivity. ACS Appl. Electron. Mater. 2022, 4, 5641–5651. [Google Scholar] [CrossRef]
  9. Wang, Y.; Li, S.; Cao, J.; Jiang, Y.; Zhang, Y.; Tang, W.; Wu, Z. Improved response speed of β-Ga2O3 solar-blind photodetectors by optimizing illumination and bias. Mater. Des. 2022, 221, 110917. [Google Scholar] [CrossRef]
  10. Almaev, A.; Nikolaev, V.; Kopyev, V.; Shapenkov, S.; Yakovlev, N.; Kushnarev, B. Solar-Blind Ultraviolet Detectors Based on High-Quality HVPE α-Ga2O3 Films With Giant Responsivity. IEEE Sens. J. 2023, 23, 19245–19255. [Google Scholar] [CrossRef]
  11. Polyakov, A.; Nikolaev, V.; Yakimov, E.; Ren, F.; Pearton, S.; Kim, J. Deep level defect states in β-, α-, and ɛ-Ga2O3 crystals and films: Impact on device performance. J. Vac. Sci. Technol. A 2022, 40, 020804. [Google Scholar] [CrossRef]
  12. Labed, M.; Sengouga, N.; Prasad, C.; Henini, M.; Rim, Y. On the nature of majority and minority traps in β-Ga2O3: A review. Mater. Today Phys. 2023, 36, 101155. [Google Scholar] [CrossRef]
  13. Traoré, A.; Okumura, H.; Sakurai, T. Photoconductivity buildup and decay kinetics in unintentionally doped β-Ga2O3. Jpn. J. Appl. Phys. 2022, 61, 091002. [Google Scholar] [CrossRef]
  14. Kananen, B.E.; Giles, N.C.; Halliburton, L.E.; Foundos, G.K.; Chang, K.B.; Stevens, K.T. Self-trapped holes in β-Ga2O3 crystals. J. Appl. Phys. 2017, 122, 215703. [Google Scholar] [CrossRef]
  15. Qin, Y.; Long, S.; Dong, H.; He, Q.; Jian, G.; Zhang, Y.; Hou, X.; Tan, P.; Zhang, Z.; Lv, H.; et al. Review of deep ultraviolet photodetector based on gallium oxide. Chinese Phys. B 2019, 28, 018501. [Google Scholar] [CrossRef]
  16. Kalygina, V.M.; Tsymbalov, A.V.; Almaev, A.; Kushnarev, B.O.; Oleinik, V.L.; Petrova, J.S. Influence of White Light on the Photoelectric Characteristics of UV Detectors Based on β-Ga2O3. IEEE Sens. J. 2023, 23, 15530–15536. [Google Scholar] [CrossRef]
  17. Yang, X.; Du, X.; He, L.; Wang, D. Fabrication and optoelectronic properties of Ga2O3/Eu epitaxial films on nanoporous GaN distributed Bragg reflectors. J. Mater. Sci. 2020, 55, 8231–8240. [Google Scholar] [CrossRef]
  18. Winkler, N.; Wibowo, R.; Kautek, W.; Ligorio, G.; List-Kratochvil, E.; Dimopoulos, T. Nanocrystalline Ga2O3 films deposited by spray pyrolysis from water-based solutions on glass and TCO substrates. J. Mater. Chem. C 2019, 7, 69–77. [Google Scholar] [CrossRef]
  19. Lampert, M.A.; Mark, P. Current Injection in Solids; Academic Press: New York, NY, USA, 1970; pp. 332–338. [Google Scholar]
  20. Lovejoy, T.C.; Chen, R.; Zheng, X.; Villora, E.G.; Shimamura, K.; Yoshikawa, H.; Yamashita, Y.; Ueda, S.; Kobayashi, K.; Dunham, S.T.; et al. Band bending and surface defects in β-Ga2O3. Appl. Phys. Lett. 2012, 100, 181602. [Google Scholar] [CrossRef]
  21. Ghadi, H.; McGlone, J.F.; Jackson, C.M.; Farzana, E.; Feng, Z.A.; Bhuiyan, U.; Zhao, H.; Arehart, A.R.; Ringel, S.A. Full bandgap defect state characterization of β-Ga2O3 grown by metal organic chemical vapor deposition. APL Mater. 2020, 8, 021111. [Google Scholar] [CrossRef]
  22. Wang, Z.; Chen, X.; Ren, F.-F.; Gu, S.; Ye, J. Deep-level defects in gallium oxide. J. Phys. D Appl. Phys. 2021, 54, 043002. [Google Scholar] [CrossRef]
  23. Chen, X.; Ren, F.-F.; Ye, J.; Gu, S. Gallium oxide-based solar-blind ultraviolet photodetectors. Semicond. Sci. Technol. 2020, 35, 023001. [Google Scholar] [CrossRef]
  24. Hou, X.; Zou, Y.; Ding, M.; Qin, Y.; Zhang, Z.; Ma, X.; Tan, P.; Yu, S.; Zhou, X.; Zhao, X.; et al. Review of polymorphous Ga2O3 materials and their solar-blind photodetector applications. J. Phys. D Appl. Phys. 2021, 54, 043001. [Google Scholar] [CrossRef]
  25. Greczynski, G.; Hultman, L. X-ray photoelectron spectroscopy: Towards reliable binding energy referencing, Prog. Mater. Sci. 2020, 107, 100591. [Google Scholar] [CrossRef]
  26. Fares, C.; Ren, F.; Pearton, S.J. Temperature-Dependent Electrical Characteristics of β-Ga2O3 Diodes with W Schottky Contacts up to 500 °C. ECS J. Solid State Sci. Technol. 2019, 8, Q3007. [Google Scholar] [CrossRef]
  27. Huan, Y.W.; Sun, S.M.; Gu, C.J.; Liu, W.J.; Ding, S.J.; Yu, H.Y.; Xia, C.T.; Zhang, D.W. Recent Advances in β-Ga2O3-Metal Contacts. Nanoscale Res. Lett. 2018, 13, 246. [Google Scholar] [CrossRef] [PubMed]
  28. Borelli, C.; Bosio, A.; Parisini, A.; Pavesi, M.; Vantaggio, S.; Fornary, R. Electronic properties and photo-gain of UV-C photodetectors based on high-resistivity orthorhombic κ-Ga2O3 epilayers. Mater. Sci. Eng. B 2022, 286, 116056. [Google Scholar] [CrossRef]
  29. Shalimova, K.V. Semiconductor Physics; Energy: Moscow, Russia, 1976; pp. 257–262. [Google Scholar]
  30. Guo, D.; Liu, H.; Li, P.; Wu, Z.; Wang, S.; Cui, C.; Li, C.; Tang, W. Zero-Power-Consumption Solar-Blind Photodetector Based on β-Ga2O3/NSTO Heterojunction. ACS Appl. Mater. Interfaces 2017, 9, 1619–1628. [Google Scholar] [CrossRef] [PubMed]
  31. Kalygina, V.; Podzyvalov, S.; Yudin, N.; Slyunko, E.; Zinoviev, M.; Kuznetsov, V.; Lysenko, A.; Kalsin, A.; Kopiev, V.; Kushnarev, B.; et al. Effect of UV and IR Radiation on the Electrical Characteristics of Ga2O3/ZnGeP2 Hetero-Structures. Crystals 2023, 13, 1203. [Google Scholar] [CrossRef]
  32. Chen, X.; Xu, Y.; Zhou, D.; Yang, S.; Ren, F.-F.; Lu, H.; Tang, K.; Gu, S.; Zhang, R.; Zheng, Y.; et al. Solar-Blind Photodetector with High Avalanche Gains and Bias-Tunable Detecting Functionality Based on Metastable Phase α-Ga2O3/ZnO Isotype Heterostructures. ACS Appl. Mater. Interfaces 2017, 9, 36997–37005. [Google Scholar] [CrossRef] [PubMed]
Figure 1. Schematic representation of detectors with two parallel electrodes (a) and detectors with interdigitated electrodes (b).
Figure 1. Schematic representation of detectors with two parallel electrodes (a) and detectors with interdigitated electrodes (b).
Crystals 14 00268 g001
Figure 2. XRD pattern of gallium oxide film without annealing and annealed at 900 °C.
Figure 2. XRD pattern of gallium oxide film without annealing and annealed at 900 °C.
Crystals 14 00268 g002
Figure 3. Survey PE spectra of the RFMS-deposited β-Ga2O3 film, measured before and after 300 s etching with argon ions.
Figure 3. Survey PE spectra of the RFMS-deposited β-Ga2O3 film, measured before and after 300 s etching with argon ions.
Crystals 14 00268 g003
Figure 4. Ga 2p, Ga 3d, and O 1s PE spectra of the RFMS-deposited β-Ga2O3 film, measured after 300 s etching with argon ions.
Figure 4. Ga 2p, Ga 3d, and O 1s PE spectra of the RFMS-deposited β-Ga2O3 film, measured after 300 s etching with argon ions.
Crystals 14 00268 g004
Figure 5. Transmission spectrum of the RFMS-deposited β-Ga2O3 films. Dependence of α2 on photons energy (black curve) is shown in insertion (red curve—approximation of the linear section).
Figure 5. Transmission spectrum of the RFMS-deposited β-Ga2O3 films. Dependence of α2 on photons energy (black curve) is shown in insertion (red curve—approximation of the linear section).
Crystals 14 00268 g005
Figure 6. Dark current–voltage characteristics (a) and current–voltage characteristics measured under exposure to radiation with λ = 254 nm (b). ID and ID1 are dark currents measured before (ID) and immediately after turning off the UV radiation (ID1); IL1 and IL2 are currents measured during exposure to radiation with λ = 254 nm.
Figure 6. Dark current–voltage characteristics (a) and current–voltage characteristics measured under exposure to radiation with λ = 254 nm (b). ID and ID1 are dark currents measured before (ID) and immediately after turning off the UV radiation (ID1); IL1 and IL2 are currents measured during exposure to radiation with λ = 254 nm.
Crystals 14 00268 g006
Figure 7. Time dependence of the normalized IL at λ = 254 nm, P = 780 µW/cm2, and U = 1 V.
Figure 7. Time dependence of the normalized IL at λ = 254 nm, P = 780 µW/cm2, and U = 1 V.
Crystals 14 00268 g007
Figure 8. Dark current–voltage characteristics of samples with interdigitated electrodes and interelectrode distances of 50 μm (red curve) and 30 μm (black curve).
Figure 8. Dark current–voltage characteristics of samples with interdigitated electrodes and interelectrode distances of 50 μm (red curve) and 30 μm (black curve).
Crystals 14 00268 g008
Figure 9. Dark current–voltage characteristics of samples with interdigitated electrodes and interelectrode distances of 5 μm (a) and 10 (b) μm on a double logarithmic scale (insert current–voltage curve in linear coordinates).
Figure 9. Dark current–voltage characteristics of samples with interdigitated electrodes and interelectrode distances of 5 μm (a) and 10 (b) μm on a double logarithmic scale (insert current–voltage curve in linear coordinates).
Crystals 14 00268 g009
Figure 10. Current–voltage characteristics of the second sample type with d = 30 μm. (a): IL1–IL4—currents measured during exposure to radiation with λ = 254 nm; (b): ID—initial dark current, ID1—dark current measured immediately after UV exposure, ID2—dark current measured immediately after ID1.
Figure 10. Current–voltage characteristics of the second sample type with d = 30 μm. (a): IL1–IL4—currents measured during exposure to radiation with λ = 254 nm; (b): ID—initial dark current, ID1—dark current measured immediately after UV exposure, ID2—dark current measured immediately after ID1.
Crystals 14 00268 g010
Figure 11. I–V characteristics of the second type of sample with d = 10 μm. (a) IL1–IL8 currents measured during exposure to radiation with λ = 254 nm; (b) dependence of the maximum current value and the corresponding voltage on the measurement number.
Figure 11. I–V characteristics of the second type of sample with d = 10 μm. (a) IL1–IL8 currents measured during exposure to radiation with λ = 254 nm; (b) dependence of the maximum current value and the corresponding voltage on the measurement number.
Crystals 14 00268 g011
Figure 12. Current–voltage characteristics of a sample with d = 30 μm after exposure to broadband radiation with hν < Eg; the designations are the same as in Figure 10.
Figure 12. Current–voltage characteristics of a sample with d = 30 μm after exposure to broadband radiation with hν < Eg; the designations are the same as in Figure 10.
Crystals 14 00268 g012
Figure 13. Schematic representation of the energy diagram of M/Ga2O3/M.
Figure 13. Schematic representation of the energy diagram of M/Ga2O3/M.
Crystals 14 00268 g013
Figure 14. Time dependence of IL for structures with two electrodes (a) and with interdigitated electrodes d = 50 μm (b) under UV exposure with λ = 254 nm and applied bias U = 1 V.
Figure 14. Time dependence of IL for structures with two electrodes (a) and with interdigitated electrodes d = 50 μm (b) under UV exposure with λ = 254 nm and applied bias U = 1 V.
Crystals 14 00268 g014
Table 1. Elemental composition of the RFMS-deposited β-Ga2O3 film.
Table 1. Elemental composition of the RFMS-deposited β-Ga2O3 film.
Ga2O3
Film
Concentration, at.%IMFP *, nm[O]/[Ga]
[O]
O 1s
[Ga]
Ga 3s
Ga 2pO 1sGa 3sGa 3pGa 3d
Surface (no etching)59.8040.200.88 1.72 2.21 2.28 2.39 1.48
After 300 s Ar+ etching54.445.61.19
* IMFP—inelastic mean free path.
Table 2. Photoelectric characteristics of structures with different interelectrode distances under UV irradiation, λ = 254 nm.
Table 2. Photoelectric characteristics of structures with different interelectrode distances under UV irradiation, λ = 254 nm.
d, μms, cm2ID, A IL, A R, A/WD*, JonesBias, V
50.01251.96 × 10−107.5 × 10−37701.1 × 101630
100.01741.01 × 10−104.7 × 10−33508.1 × 101530
300.02471.20 × 10−92.1 × 10−31108.8 × 1014200
500.02702.77 × 10−91.0 × 10−3472.6 × 1014200
2500.00204.30 × 10−111.6 × 10−61.01.2 × 1013200
Table 3. Time characteristics of structures under UV exposure with λ = 254 nm as a function of electrode perimeter.
Table 3. Time characteristics of structures under UV exposure with λ = 254 nm as a function of electrode perimeter.
d, μmW, cmτr1, sτr2, sτd1, sτd2, s
539.80.6315.50.022.12
509.950.2814.50.052.30
2500.160.071.720.0510.53
Disclaimer/Publisher’s Note: The statements, opinions and data contained in all publications are solely those of the individual author(s) and contributor(s) and not of MDPI and/or the editor(s). MDPI and/or the editor(s) disclaim responsibility for any injury to people or property resulting from any ideas, methods, instructions or products referred to in the content.

Share and Cite

MDPI and ACS Style

Kalygina, V.M.; Tsymbalov, A.V.; Korusenko, P.M.; Koroleva, A.V.; Zhizhin, E.V. Effect of Traps on the UV Sensitivity of Gallium Oxide-Based Structures. Crystals 2024, 14, 268. https://doi.org/10.3390/cryst14030268

AMA Style

Kalygina VM, Tsymbalov AV, Korusenko PM, Koroleva AV, Zhizhin EV. Effect of Traps on the UV Sensitivity of Gallium Oxide-Based Structures. Crystals. 2024; 14(3):268. https://doi.org/10.3390/cryst14030268

Chicago/Turabian Style

Kalygina, Vera M., Alexander V. Tsymbalov, Petr M. Korusenko, Aleksandra V. Koroleva, and Evgeniy V. Zhizhin. 2024. "Effect of Traps on the UV Sensitivity of Gallium Oxide-Based Structures" Crystals 14, no. 3: 268. https://doi.org/10.3390/cryst14030268

APA Style

Kalygina, V. M., Tsymbalov, A. V., Korusenko, P. M., Koroleva, A. V., & Zhizhin, E. V. (2024). Effect of Traps on the UV Sensitivity of Gallium Oxide-Based Structures. Crystals, 14(3), 268. https://doi.org/10.3390/cryst14030268

Note that from the first issue of 2016, this journal uses article numbers instead of page numbers. See further details here.

Article Metrics

Back to TopTop