Enumeration of Self-Avoiding Random Walks on Lattices as Model Chains in Polymer Crystals
Abstract
1. Introduction
2. Materials and Methods
3. Results
4. Discussion
5. Conclusions
Author Contributions
Funding
Data Availability Statement
Acknowledgments
Conflicts of Interest
References
- Doi, M. Soft Matter Physics; Oxford University Press: New York, NY, USA, 2017. [Google Scholar]
- Madras, N.; Slade, G. The Self-Avoiding Walk; Birkhauser: Boston, MA, USA, 1996. [Google Scholar]
- Weiss, G.H.; Rubin, R.J. Random-walks—Theory and selected applications. Adv. Chem. Phys. 1983, 52, 363–505. [Google Scholar]
- Webb, B.Z.; Cohen, E.G.D. Self-avoiding modes of motion in a deterministic Lorentz lattice gas. J. Phys. A Math. Theor. 2014, 47, 315202. [Google Scholar] [CrossRef][Green Version]
- Triampo, D.; Shobsngob, S.; Triampo, W.; Pongkitiwanichkul, P. Modified self-avoiding walk in a polymerization process. J. Korean Phys. Soc. 2005, 46, 1429–1432. [Google Scholar]
- Sykes, M.F. Self-avoiding walks on simple cubic lattice. J. Chem. Phys. 1963, 39, 410–412. [Google Scholar] [CrossRef]
- Brydges, D.; Frohlich, J.; Spencer, T. The random-walk representation of classical spin systems and correlation inequalities. Commun. Math. Phys. 1982, 83, 123–150. [Google Scholar] [CrossRef]
- Alvarez, J.; van Rensburg, E.J.J.; Soteros, C.E.; Whittington, S.G. Self-avoiding polygons and walks in slits. J. Phys. A Math. Theor. 2008, 41, 185004. [Google Scholar] [CrossRef]
- Fisher, M.E.; Sykes, M.F. Excluded-volume problem and the ising model of ferromagnetism. Phys. Rev. 1959, 114, 45–58. [Google Scholar] [CrossRef]
- Stauffer, D.; Aharony, A. Introduction to Percolation Theory: Revised Second Edition; CRC Press: Boca Raton, FL, USA, 2014. [Google Scholar]
- Janse van Rensburg, E.J. The Statistical Mechanics of Interacting Walks, Polygons, Animals and Vesicles, 2nd ed.; Oxford University Press: Oxford, UK, 2015. [Google Scholar]
- Ottinger, H.C. Stochastic Processes in Polymeric Fluids; Springer Science & Business Media: Berlin, Germany, 2012. [Google Scholar]
- Rubin, R.J. The excluded volume effect in polymer chains and the analogous random walk problem. J. Chem. Phys. 1952, 20, 1940–1945. [Google Scholar] [CrossRef]
- Rubin, R.J. Random-Walk Model of Chain-Polymer Adsorption at a Surface. J. Chem. Phys. 1965, 43, 2392–2407. [Google Scholar] [CrossRef]
- Fisher, M.E. Shape of a self-avoiding walk or polymer chain. J. Chem. Phys. 1966, 44, 616–622. [Google Scholar] [CrossRef]
- Helfand, E. Theory of inhomogeneous polymers—Fundamentals of gaussian random-walk model. J. Chem. Phys. 1975, 62, 999–1005. [Google Scholar] [CrossRef]
- Rubinstein, M.; Colby, R.H. Polymer Physics (Chemistry); Oxford University Press: Oxford, UK, 2003. [Google Scholar]
- de Gennes, P.G. Scaling Concepts in Polymer Physics; Cornell University Press: Ithaca, NY, USA, 1980. [Google Scholar]
- Guyeux, C.; Nicod, J.M.; Philippe, L.; Bahi, J.M. The study of unfoldable self-avoiding walks—Application to protein structure prediction software. J. Bioinform. Comput. Biol. 2015, 13, 1550009. [Google Scholar] [CrossRef]
- Guyeux, C.; Charr, J.C.; Abdo, J.B.; Demerjian, J. Advances in the enumeration of foldable self-avoiding walks. Int. J. Comput. Sci. Eng. 2020, 22, 365–375. [Google Scholar] [CrossRef]
- Flory, P.J. The configuration of real polymer chains. J. Chem. Phys. 1949, 17, 303–310. [Google Scholar] [CrossRef]
- Orr, W.J.C. Statistical treatment of polymer solutions at infinite dilution. Trans. Faraday Soc. 1947, 43, 12–27. [Google Scholar] [CrossRef]
- Janse Van Rensburg, E.J.; Whittington, S.G. Self-avoiding walks adsorbed at a surface and pulled at their mid-point. J. Phys. A Math. Theor. 2017, 50, 055001. [Google Scholar] [CrossRef][Green Version]
- Pereira, G.G. Internal structure of polymer-chains. Phys. A 1995, 219, 290–304. [Google Scholar] [CrossRef]
- Rosa, A.; Everaers, R. Conformational statistics of randomly branching double-folded ring polymers. Eur. Phys. J. E 2019, 42, 7. [Google Scholar] [CrossRef] [PubMed]
- Bishop, M.; Clarke, J.H.R. Investigation of the end-to-end distance distribution function for random and self-avoiding walks in 2 and 3 dimensions. J. Chem. Phys. 1991, 94, 3936–3942. [Google Scholar] [CrossRef]
- Clisby, N.; Conway, A.R.; Guttmann, A.J. Three-dimensional terminally attached self-avoiding walks and bridges. J. Phys. A Math. Theor. 2016, 49, 015004. [Google Scholar] [CrossRef]
- Yang, Q.H.; Yang, X.; Luo, M.B. Adsorption of polymer chains on heterogeneous surfaces with random adsorption sites. Polymer 2019, 180, 121677. [Google Scholar] [CrossRef]
- Domb, C.; Gillis, J.; Wilmers, G. On shape and configuration of polymer molecules. Proc. Phys. Soc. Lond. 1965, 85, 625. [Google Scholar] [CrossRef]
- Beaton, N.R.; Flajolet, P.; Garoni, T.M.; Guttmann, A.J. Some New Self-avoiding Walk and Polygon Models. Fundam. Inform. 2012, 117, 19–33. [Google Scholar] [CrossRef]
- Bosi, G.; Campanino, M. Random Walk on a Randomly Oriented Honeycomb Lattice. Markov Process. Relat. Fields 2019, 25, 75–99. [Google Scholar]
- Adler, J. The self-avoiding walk on the honeycomb lattice. J. Phys. A Math. Gen. 1983, 16, L515–L517. [Google Scholar] [CrossRef]
- Beaton, N.R.; Guttmann, A.J.; Jensen, I. A numerical adaptation of self-avoiding walk identities from the honeycomb to other 2D lattices. J. Phys. A Math. Theor. 2012, 45, 035201. [Google Scholar] [CrossRef]
- Deforcrand, P.; Koukiou, F.; Petritis, D. Self-avoiding random-walks on the hexagonal lattice. J. Stat. Phys. 1986, 45, 459–470. [Google Scholar] [CrossRef]
- Guttmann, A.J. On the critical-behavior of self-avoiding walks. J. Phys. A Math. Gen. 1987, 20, 1839–1854. [Google Scholar] [CrossRef]
- Macdonald, D.; Hunter, D.L.; Kelly, K.; Jan, N. Self-avoiding walks in 2 to 5 dimensions—Exact enumerations and series study. J. Phys. A Math. Gen. 1992, 25, 1429–1440. [Google Scholar] [CrossRef]
- Jensen, I. Self-avoiding walks and polygons on the triangular lattice. J. Stat. Mech. Theory Exp. 2004, P10008. [Google Scholar] [CrossRef][Green Version]
- Guttmann, A.J. On the critical-behavior of self-avoiding walks. ll. J. Phys. A Math. Gen. 1989, 22, 2807–2813. [Google Scholar] [CrossRef]
- MacDonald, D.; Joseph, S.; Hunter, D.L.; Moseley, L.L.; Jan, N.; Guttmann, A.J. Self-avoiding walks on the simple cubic lattice. J. Phys. A Math. Gen. 2000, 33, 5973–5983. [Google Scholar] [CrossRef]
- Schram, R.D.; Barkema, G.T.; Bisseling, R.H. Exact enumeration of self-avoiding walks. J. Stat. Mech. Theory Exp. 2011, P06019. [Google Scholar] [CrossRef]
- Schram, R.D.; Barkema, G.T.; Bisseling, R.H.; Clisby, N. Exact enumeration of self-avoiding walks on BCC and FCC lattices. J. Stat. Mech. Theory Exp. 2017, 083208. [Google Scholar] [CrossRef]
- McKenzie, D.S. End-to-end length distribution of self-avoiding walks. J. Phys. A Math. Gen. 1973, 6, 338–352. [Google Scholar] [CrossRef]
- Bahi, J.M.; Guyeux, C.; Mazouzi, K.; Philippe, L. Computational investigations of folded self-avoiding walks related to protein folding. Comput. Biol. Chem. 2013, 47, 246–256. [Google Scholar] [CrossRef][Green Version]
- Duminil-Copin, H.; Hammond, A. Self-Avoiding Walk is Sub-Ballistic. Commun. Math. Phys. 2013, 324, 401–423. [Google Scholar] [CrossRef]
- Duminil-Copin, H.; Glazman, A.; Hammond, A.; Manolescu, I. On the probability that self-avoiding walk ends at a given point. Ann. Probab. 2016, 44, 955–983. [Google Scholar] [CrossRef]
- Duminil-Copin, H.; Ganguly, S.; Hammond, A.; Manolescu, I. Bounding the number of self-avoiding walks: Hammersley-welsh with polygon insertion. Ann. Probab. 2020, 48, 1644–1692. [Google Scholar] [CrossRef]
- Caracciolo, S.; Pelissetto, A.; Sokal, A.D. Dynamic critical exponent of the bfacf algorithm for self-avoiding walks. J. Stat. Phys. 1991, 63, 857–865. [Google Scholar] [CrossRef]
- Caracciolo, S.; Causo, M.S.; Ferraro, G.; Papinutto, M.; Pelissetto, A. Bilocal dynamics for self-avoiding walks. J. Stat. Phys. 2000, 100, 1111–1145. [Google Scholar] [CrossRef]
- Caracciolo, S.; Gherardi, M.; Papinutto, M.; Pelissetto, A. Geometrical properties of two-dimensional interacting self-avoiding walks at the theta-point. J. Phys. A Math. Theor. 2011, 44, 115004. [Google Scholar] [CrossRef]
- Hooper, W.; Klotz, A.R. Trapping in self-avoiding walks with nearest-neighbor attraction. Phys. Rev. E 2020, 102, 032132. [Google Scholar] [CrossRef] [PubMed]
- Brydges, D.C.; Imbrie, J.Z. Green’s function for a hierarchical self-avoiding walk in four dimensions. Commun. Math. Phys. 2003, 239, 549–584. [Google Scholar] [CrossRef]
- Gherardi, M. Exact Sampling of Self-avoiding Paths via Discrete Schramm-Loewner Evolution. J. Stat. Phys. 2010, 140, 1115–1129. [Google Scholar] [CrossRef][Green Version]
- Grimmett, G.R.; Li, Z.Y. Self-avoiding walks and amenability. Electron. J. Comb. 2017, 24, P4.38. [Google Scholar] [CrossRef]
- Lindorfer, C. A general bridge theorem for self-avoiding walks. Discret. Math. 2020, 343, 112092. [Google Scholar] [CrossRef]
- Zbarsky, S. Asymptotically faster algorithm for counting self-avoiding walks and self-avoiding polygons. J. Phys. A Math. Theor. 2019, 52, 505001. [Google Scholar] [CrossRef]
- James, E.W.; Soteros, C.E. New pattern theorems for square lattice self-avoiding walks and self-avoiding polygons. J. Phys. A Math. Theor. 2007, 40, 8621–8634. [Google Scholar] [CrossRef]
- Schram, R.D.; Barkema, G.T.; Bisseling, R.H. SAWdoubler: A program for counting self-avoiding walks. Comput. Phys. Commun. 2013, 184, 891–898. [Google Scholar] [CrossRef]
- Duminil-Copin, H.; Smirnov, S. The connective constant of the honeycomb lattice equals root 2+root 2. Ann. Math. 2012, 175, 1653–1665. [Google Scholar] [CrossRef]
- Clisby, N.; Dunweg, B. High-precision estimate of the hydrodynamic radius for self-avoiding walks. Phys. Rev. E 2016, 94, 052102. [Google Scholar] [CrossRef]
- Clisby, N. Accurate Estimate of the Critical Exponent nu for Self-Avoiding Walks via a Fast Implementation of the Pivot Algorithm. Phys. Rev. Lett. 2010, 104, 055702. [Google Scholar] [CrossRef] [PubMed]
- Conway, A.R.; Enting, I.G.; Guttmann, A.J. Algebraic techniques for enumerating self-avoiding walks on the square lattice. J. Phys. A-Math. Gen. 1993, 26, 1519–1534. [Google Scholar] [CrossRef]
- Conway, A.R.; Guttmann, A.J. Square lattice self-avoiding walks and corrections to scaling. Phys. Rev. Lett. 1996, 77, 5284–5287. [Google Scholar] [CrossRef] [PubMed]
- Shukla, P. Physics of Disordered Solids; Mittal Publications: Delhi, India, 1982. [Google Scholar]
- Benito, J.; Karayiannis, N.C.; Laso, M. Confined Polymers as Self-Avoiding Random Walks on Restricted Lattices. Polymers 2018, 10, 1394. [Google Scholar] [CrossRef]
- Parreno, O.; Miguel Ramos, P.; Karayiannis, N.C.; Laso, M. Self-Avoiding Random Walks as a Model to Study Athermal Linear Polymers under Extreme Plate Confinement. Polymers 2020, 12, 799. [Google Scholar] [CrossRef] [PubMed]
- Ramos, P.M.; Karayiannis, N.C.; Laso, M. Off-lattice simulation algorithms for athermal chain molecules under extreme confinement. J. Comput. Phys. 2018, 375, 918–934. [Google Scholar] [CrossRef]
- Ramos, P.M.; Herranz, M.; Foteinopoulou, K.; Karayiannis, N.C.; Laso, M. Entropy-Driven Heterogeneous Crystallization of Hard-Sphere Chains under Unidimensional Confinement. Polymers 2021, 13, 1352. [Google Scholar] [CrossRef]
- Ramos, P.M.; Herranz, M.; Martinez-Fernandez, D.; Foteinopoulou, K.; Laso, M.; Karayiannis, N.C. Crystallization of Flexible Chains of Tangent Hard Spheres under Full Confinement. J. Phys. Chem. B 2022, 126, 5931–5947. [Google Scholar] [CrossRef]
- Ostwald, W. Studien uber die bildung and umwandlung fester korper. Z. Phys. Chem. 1897, 22, 289–330. [Google Scholar] [CrossRef]
- Herranz, M.; Benito, J.; Foteinopoulou, K.; Karayiannis, N.C.; Laso, M. Polymorph Stability and Free Energy of Crystallization of Freely-Jointed Polymers of Hard Spheres. Polymers 2023, 15, 1335. [Google Scholar] [CrossRef] [PubMed]
- Herranz, M.; Foteinopoulou, K.; Karayiannis, N.C.; Laso, M. Polymorphism and Perfection in Crystallization of Hard Sphere Polymers. Polymers 2022, 14, 4435. [Google Scholar] [CrossRef] [PubMed]
- Herranz, M.; Pedrosa, C.; Martínez-Fernández, D.; Foteinopoulou, K.; Karayiannis, N.C.; Laso, M. Fine-tuning of colloidal polymer crystals by molecular simulation. Phys. Rev. E 2023, 107, 064605. [Google Scholar] [CrossRef] [PubMed]
- Bolhuis, P.G.; Frenkel, D.; Mau, S.C.; Huse, D.A. Entropy difference between crystal phases. Nature 1997, 388, 235–236. [Google Scholar] [CrossRef]
- Bruce, A.D.; Wilding, N.B.; Ackland, G.J. Free energy of crystalline solids: A lattice-switch Monte Carlo method. Phys. Rev. Lett. 1997, 79, 3002–3005. [Google Scholar] [CrossRef]
- Mau, S.C.; Huse, D.A. Stacking entropy of hard-sphere crystals. Phys. Rev. E 1999, 59, 4396–4401. [Google Scholar] [CrossRef]
- Pronk, S.; Frenkel, D. Can stacking faults in hard-sphere crystals anneal out spontaneously? J. Chem. Phys. 1999, 110, 4589–4592. [Google Scholar] [CrossRef]
- Herranz, M.; Martínez-Fernández, D.; Ramos, P.M.; Foteinopoulou, K.; Karayiannis, N.C.; Laso, M. Simu-D: A Simulator-Descriptor Suite for Polymer-Based Systems under Extreme Conditions. Int. J. Mol. Sci. 2021, 22, 12464. [Google Scholar] [CrossRef]
- Herranz, M.; Santiago, M.; Foteinopoulou, K.; Karayiannis, N.C.; Laso, M. Crystal, Fivefold and Glass Formation in Clusters of Polymers Interacting with the Square Well Potential. Polymers 2020, 12, 1111. [Google Scholar] [CrossRef]
- Karayiannis, N.C.; Foteinopoulou, K.; Laso, M. Entropy-Driven Crystallization in Dense Systems of Athermal Chain Molecules. Phys. Rev. Lett. 2009, 103, 045703. [Google Scholar] [CrossRef] [PubMed]
- Karayiannis, N.C.; Foteinopoulou, K.; Laso, M. The role of bond tangency and bond gap in hard sphere crystallization of chains. Soft Matter 2015, 11, 1688–1700. [Google Scholar] [CrossRef] [PubMed]
- Allen, M.P.; Tildesley, D.J. Computer Simulation of Liquids; Oxford University Press: New York, NY, USA, 1987. [Google Scholar]
- Ramos, P.M.; Herranz, M.; Foteinopoulou, K.; Karayiannis, N.C.; Laso, M. Identification of Local Structure in 2-D and 3-D Atomic Systems through Crystallographic Analysis. Crystals 2020, 10, 1008. [Google Scholar] [CrossRef]
- Frank, F.C.; Kasper, J.S. Complex alloy structures regarded as sphere packings. 1. definitions and basic principles. Acta Crystallogr. 1958, 11, 184–190. [Google Scholar] [CrossRef]
- Frank, F.C.; Kasper, J.S. COMPLEX Alloy structures regarded as sphere packing. 2. analysis and classification of representative structures. Acta Crystallogr. 1959, 12, 483–499. [Google Scholar] [CrossRef]
- Serrano-Illán, J.; Navascués, G.; Velasco, E. Noncompact crystalline solids in the square-well potential. Phys. Rev. E Stat. Nonlin. Soft Matter Phys. 2006, 73, 011110. [Google Scholar] [CrossRef]
- Armas-Pérez, J.C.; Quintana-H, J.; Chapela, G.A.; Velasco, E.; Navascués, G. Phase diagram of a square-well model in two dimensions. J. Chem. Phys. 2014, 140, 064503. [Google Scholar] [CrossRef]
- Humphrey, W.; Dalke, A.; Schulten, K. VMD: Visual molecular dynamics. J. Mol. Graph. Modell. 1996, 14, 33–38. [Google Scholar] [CrossRef]
- Clisby, N. Scale-free Monte Carlo method for calculating the critical exponent. of self-avoiding walks. J. Phys. A Math. Theor. 2017, 50, 264003. [Google Scholar] [CrossRef]
- Sykes, M.F.; Watts, M.G.; Roberts, P.D.; Guttmann, A.J. Asymptotic behavior of selfavoiding walks and returns on a lattice. J. Phys. Part A Gen. 1972, 5, 653. [Google Scholar] [CrossRef]
- Clisby, N.; Liang, R.; Slade, G. Self-avoiding walk enumeration via the lace expansion. J. Phys. A Math. Theor. 2007, 40, 10973–11017. [Google Scholar] [CrossRef]







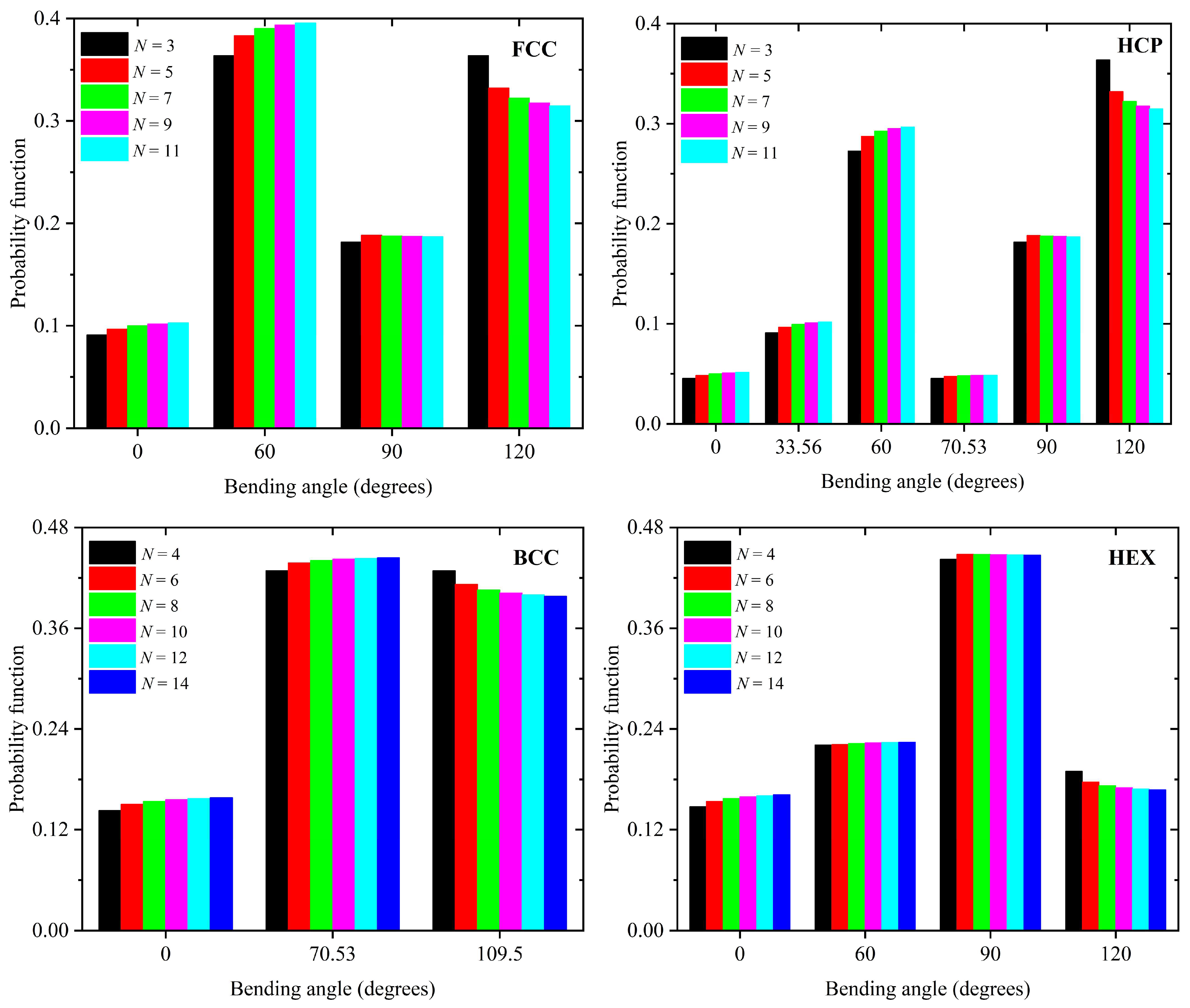
| θ (Degrees) | FCC | HCP | BCC | HEX |
|---|---|---|---|---|
| 0.000 | + | + | + | + |
| 33.56 | − | + | − | − |
| 60.00 | + | + | − | + |
| 70.53 | − | + | + | − |
| 90.00 | + | + | − | + |
| 109.47 | − | − | + | − |
| 120.00 | + | + | − | + |
| ϕ | FCC | HCP | BCC | HEX |
|---|---|---|---|---|
| 0.000 | + | + | + | + |
| 25.24 | − | + | − | − |
| 29.50 | − | + | − | − |
| 35.26 | − | + | − | − |
| 50.48 | − | + | − | − |
| 54.74 | + | + | − | − |
| 60.00 | − | − | + | + |
| 70.53 | + | + | − | − |
| 79.98 | − | + | − | − |
| 90.00 | + | + | + | + |
| 100.02 | − | + | − | − |
| 109.47 | + | + | − | − |
| 115.24 | − | + | − | − |
| 120.00 | − | − | + | + |
| 125.26 | + | + | − | − |
| 141.06 | − | + | − | − |
| 144.74 | − | + | − | − |
| 150.50 | − | + | − | − |
| 154.76 | − | + | − | − |
| 164.21 | − | + | − | − |
| 180.00 | + | + | + | + |
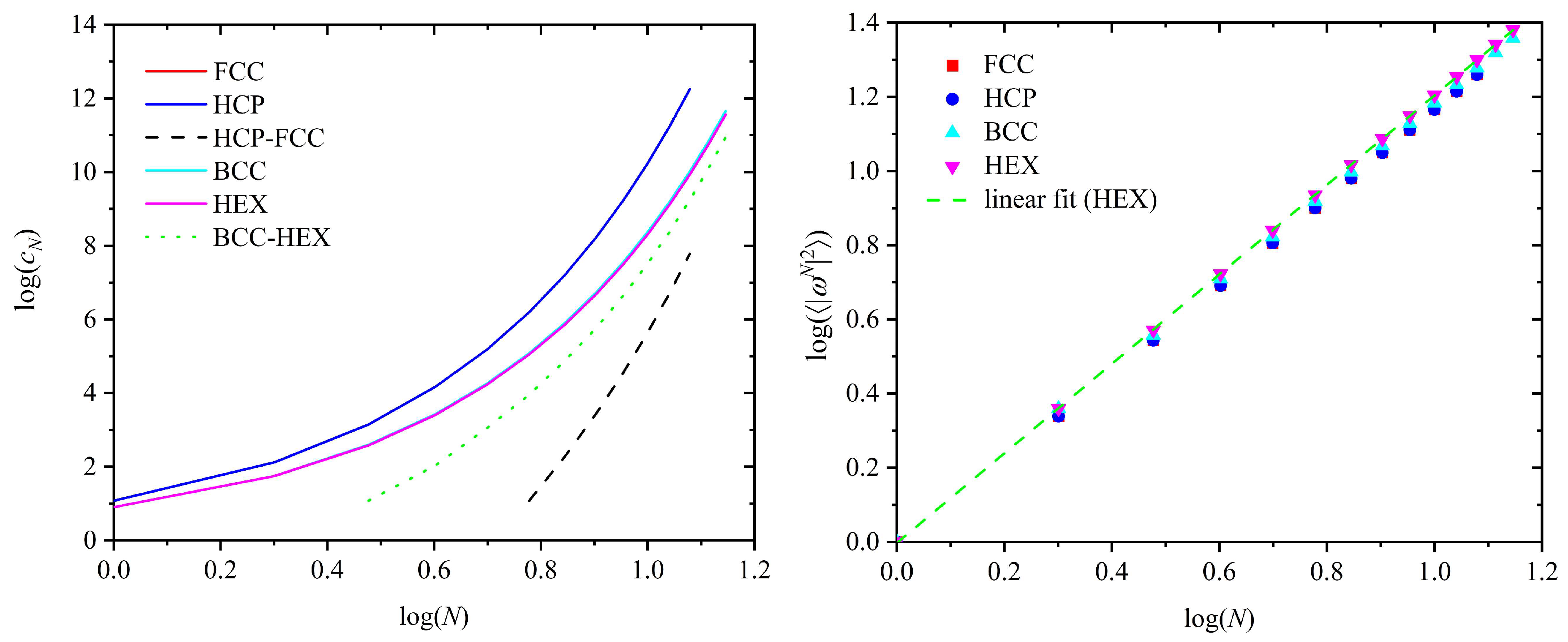
| N | FCC | HCP | Difference | ||
|---|---|---|---|---|---|
| cN | 〈|ωN|2〉 | cN | 〈|ωN|2〉 | ΔcN | |
| 1 | 12 | 1.000 | 12 | 1.000 | 0 |
| 2 | 132 | 2.182 | 132 | 2.182 | 0 |
| 3 | 1404 | 3.496 | 1404 | 3.496 | 0 |
| 4 | 14,700 | 4.908 | 14,700 | 4.908 | 0 |
| 5 | 152,532 | 6.397 | 152,532 | 6.397 | 0 |
| 6 | 1,573,716 | 7.950 | 1,573,728 | 7.950 | 12 |
| 7 | 16,172,148 | 9.556 | 16,172,340 | 9.556 | 192 |
| 8 | 165,697,044 | 11.21 | 165,699,744 | 11.21 | 2700 |
| 9 | 1,693,773,924 | 12.90 | 1,693,809,348 | 12.90 | 35,424 |
| 10 | 17,281,929,564 | 14.64 | 17,282,367,084 | 14.64 | 437,520 |
| 11 | 176,064,704,412 | 16.41 | 176,069,916,384 | 16.41 | 5,211,972 |
| 12 | 1,791,455,071,068 | 18.21 | 1,791,515,688,168 | 18.21 | 60,617,100 |
| N | BCC | HEX | Difference | |||
|---|---|---|---|---|---|---|
| cN | cN | ΔcN | ||||
| 1 | 8 | 1.000 | 8 | 1.000 | 0 | 0.000 |
| 2 | 56 | 2.286 | 56 | 2.286 | 0 | 0.000 |
| 3 | 392 | 3.612 | 380 | 3.726 | 12 | −0.114 |
| 4 | 2648 | 5.124 | 2540 | 5.280 | 108 | −0.156 |
| 5 | 17,960 | 6.645 | 16,844 | 6.918 | 1116 | −0.274 |
| 6 | 120,056 | 8.294 | 111,068 | 8.628 | 8988 | −0.334 |
| 7 | 804,824 | 9.940 | 729,524 | 10.40 | 75,300 | −0.458 |
| 8 | 5,351,720 | 11.69 | 4,777,628 | 12.22 | 574,092 | −0.533 |
| 9 | 35,652,680 | 13.43 | 31,217,552 | 14.09 | 4,435,128 | −0.661 |
| 10 | 236,291,096 | 15.26 | 203,608,520 | 16.01 | 32,682,576 | −0.747 |
| 11 | 1,568,049,560 | 17.08 | 1,326,015,428 | 17.96 | 242,034,132 | −0.879 |
| 12 | 10,368,669,992 | 18.97 | 8,625,090,800 | 19.95 | 1,743,579,192 | −0.973 |
| 13 | 68,626,647,608 | 20.86 | 56,043,338,096 | 21.97 | 12,583,309,512 | −1.11 |
| 14 | 453,032,542,040 | 22.81 | 363,826,528,532 | 24.02 | 89,206,013,508 | −1.21 |
| Lattice | A | μ | γ | D | v |
|---|---|---|---|---|---|
| HCP | 1.19 | 10.07 | 1.134 | 0.977 | 0.587 |
| BCC | 1.21 | 6.565 | 1.124 | 0.995 | 0.593 |
| HEX | 1.24 | 6.436 | 1.129 | 0.994 | 0.603 |
| Pair of Crystals | A1 | B | d | Range of Validity |
|---|---|---|---|---|
| HCP-FCC | 3.31 × 10−6 | 8.63 × 10−6 | 0.24 | N > 5 |
| BCC-HEX | 0.0188 | 0.0144 | 0.17 | N > 2 |
Disclaimer/Publisher’s Note: The statements, opinions and data contained in all publications are solely those of the individual author(s) and contributor(s) and not of MDPI and/or the editor(s). MDPI and/or the editor(s) disclaim responsibility for any injury to people or property resulting from any ideas, methods, instructions or products referred to in the content. |
© 2023 by the authors. Licensee MDPI, Basel, Switzerland. This article is an open access article distributed under the terms and conditions of the Creative Commons Attribution (CC BY) license (https://creativecommons.org/licenses/by/4.0/).
Share and Cite
Benito, J.; Urrutia, U.; Karayiannis, N.C.; Laso, M. Enumeration of Self-Avoiding Random Walks on Lattices as Model Chains in Polymer Crystals. Crystals 2023, 13, 1316. https://doi.org/10.3390/cryst13091316
Benito J, Urrutia U, Karayiannis NC, Laso M. Enumeration of Self-Avoiding Random Walks on Lattices as Model Chains in Polymer Crystals. Crystals. 2023; 13(9):1316. https://doi.org/10.3390/cryst13091316
Chicago/Turabian StyleBenito, Javier, Unai Urrutia, Nikos Ch. Karayiannis, and Manuel Laso. 2023. "Enumeration of Self-Avoiding Random Walks on Lattices as Model Chains in Polymer Crystals" Crystals 13, no. 9: 1316. https://doi.org/10.3390/cryst13091316
APA StyleBenito, J., Urrutia, U., Karayiannis, N. C., & Laso, M. (2023). Enumeration of Self-Avoiding Random Walks on Lattices as Model Chains in Polymer Crystals. Crystals, 13(9), 1316. https://doi.org/10.3390/cryst13091316

