Abstract
This study investigates the crystal structure, physicochemical properties, and pharmacokinetic profile of Ethyl 2-amino-6-methyl-4,5,6,7-tetrahydrothieno[2,3-c]pyridine-3-carboxylate (EAMT) as a potential therapeutic agent. The crystal structure was analyzed using Hirshfeld surface analysis in conjunction with the quantum theory of atoms in molecules (QT-AIM). Non-covalent interactions were evaluated through reduced-density gradient reduction, revealing that the EAMT crystal is stabilized by hydrogen bonds between EAMT molecules in the crystal and between EAMT molecules and water molecules. The molecular electrostatic nature of interactions was examined using MESP, while global and local descriptors were calculated to assess the compound’s reactivity. Molecular docking with the Adenosine A1 receptor was performed and validated through a 50 ns molecular dynamics simulation (MDS). Results suggest that EAMT influences protein structure, potentially stabilizing specific secondary structure elements. The compactness analysis showed a slightly more compact protein conformation and a marginally increased solvent exposure in the presence of the EAMT ligand, as indicated by Rg and SASA values. The total binding free energy (ΔG total) was determined to be −114.56 kcal/mol. ADMET predictions demonstrated EAMT’s compliance with Lipinski’s and Pfizer’s rule of five, indicating good oral availability. The compound may exhibit low-potency endocrine activity. In conclusion, EAMT presents potential as a therapeutic candidate, warranting further exploration of its molecular interactions, pharmacokinetics, and potential safety concerns.
1. Introduction
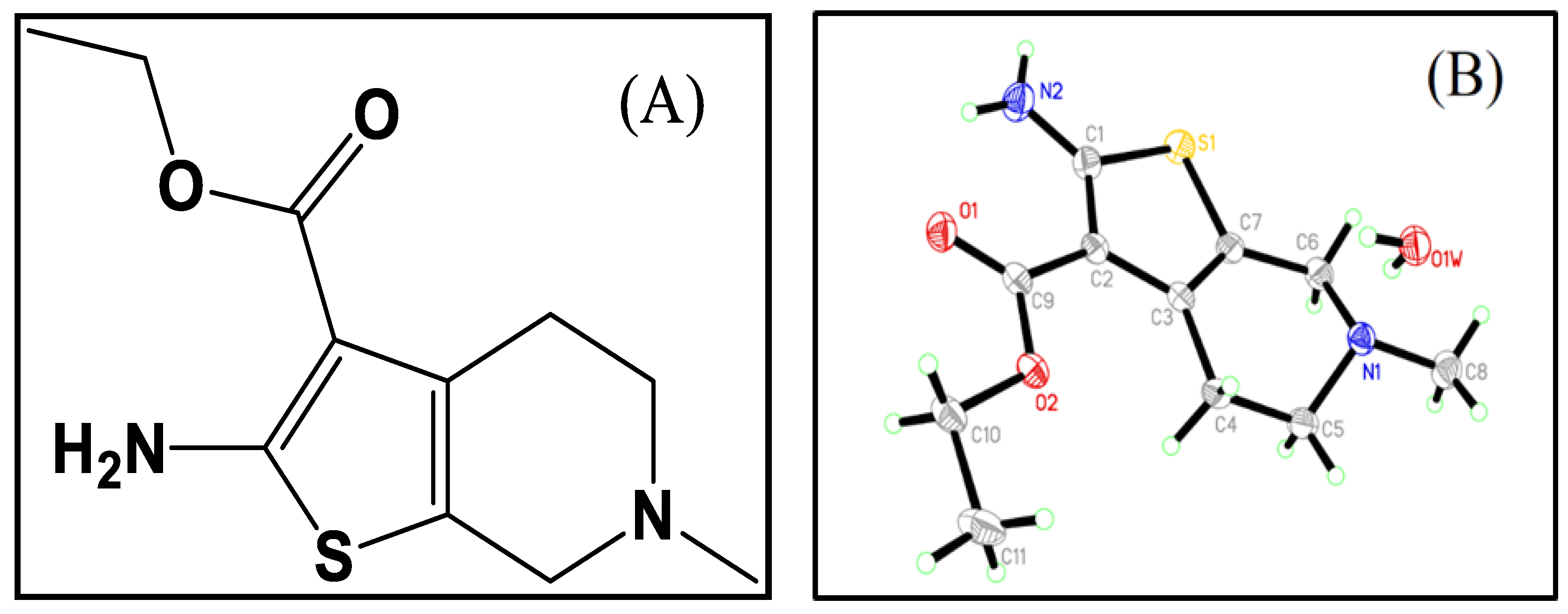
Ethyl 2-amino-6-methyl-4,5,6,7-tetrahydrothieno[2,3-c]pyridine-3-carboxylate is a chemical compound that belongs to the class of tetrahydrothienopyridine derivatives, which are heterocyclic compounds containing a pyridine ring fused with a thieno ring (Figure 1A,B). This compound exhibits a structure featuring a tetrahydrothiophene ring fused with a thieno[2,3-c]pyridine ring, along with an ester functional group at the 3-carboxylate position. The synthesis and characterization of this compound have gained significant interest in recent years due to its diverse biological activities and potential applications in various fields. The investigated compound is a derivative of thieno[2,3-b]pyridine. The thieno[2,3-b]pyridine system and its derivatives hold great importance in medicinal chemistry and drug discovery. They have been shown to exhibit a wide range of pharmacological properties, including anti-rheumatoid arthritis [1], anti-inflammatory [2], antiviral [3], antioxidant [4], antiplatelet [5], antithrombotic [1], antitumor [6], and antimicrobial activities [1,7]. This makes them valuable candidates for the development of new therapeutic agents.
Figure 1.
(A) shows the chemical structure of EAMT, and (B) shows the asymmetric unit of the same compound with atom labeling and displacement ellipsoids drawn at the 50% probability level.
Drug discovery is a long and expensive process. One way to improve the efficiency of drug discovery is to use computational methods to study the molecular properties and interactions of potential drug candidates. In this study, we used a variety of computational methods to explore the molecular properties and interactions of a compound that has potential applications as a drug candidate. The methods that we used included molecular electrostatic potential (MESP) [8], non-covalent interaction–reduced-density gradient (NCI-RDG) analysis [8], chemical reactivity analysis, quantum theory of atoms in molecules (QT-AIM) [9], molecular docking, and ADMET prediction. MESP was used to identify regions of high electron density, NCI-RDG analysis was used to visualize and quantify non-covalent interactions, chemical reactivity analysis was used to evaluate chemical reactivity [9,10], QT-AIM was used to partition electron density, and ADMET prediction was used to predict ADMET properties. The results of this study provide insights into the molecular properties and interactions of this compound. These insights can be used to improve the design of new drug candidates.
Non-covalent interactions, such as hydrogen bonding, π-π stacking, and van der Waals forces, play an important role in determining the crystal packing and molecular recognition of organic materials. They help assemble molecules into ordered structures in the solid state through weak intermolecular attractions. A fundamental understanding of various non-covalent interactions involved in organic crystals can provide useful insights into their structure–property relationships [11,12,13].
Computational modeling techniques, such as density functional theory (DFT) calculations, have emerged as a powerful tool for characterizing non-covalent interactions in molecular crystals and capturing their strength at the electronic structure level. By computing the optimized geometries, interaction energies, and electron density distributions, DFT calculations can reveal the nature and magnitude of intermolecular forces that govern the crystal packing. Such information serves as a theoretical basis for the rational design of new molecules with desirable crystal structures and physical properties [14].
The aim of this study is to investigate the crystal and molecular structures of a compound using single-crystal X-ray diffraction and Hirshfeld surface analysis. It also explores the molecular properties and interactions of the compound using various computational methods, such as molecular electrostatic potential (MESP), non-covalent interaction–reduced-density gradient (NCI-RDG) analysis, chemical reactivity analysis, quantum theory of atoms in molecules (QT-AIM), and ADMET prediction. The results of this study provide useful insights for the rational design and development of potential drug candidates based on this compound.
2. Materials and Methods
2.1. Computational Details
2.1.1. Hirshfeld Surface Analysis
The Hirshfeld surface (HS) analysis [15,16] of EAMT was conducted to visualize the intermolecular interactions within the crystal structure of the compound. The Crystal Explorer 21 software [1], along with Olex2-1.5-alpha, was utilized for this analysis. The crystallographic information file (cif) of the compound was used as input for the Crystal Explorer program. The HS analysis provides insights into the spatial arrangement of the compound’s atoms in relation to the Hirshfeld surface, which is defined based on the relative van der Waals radii. The di (inside) and de (outside) values represent the distances from the nuclei to the Hirshfeld surface. In the HS map generated over dnorm, the white surface indicates contacts with distances equal to the sum of van der Waals radii, while the red and blue colors represent distances shorter or longer than the van der Waals radii [17]. This analysis helps in identifying and visualizing the nature and strength of intermolecular interactions, such as hydrogen bonding, van der Waals contacts, and other non-covalent interactions, within the crystal lattice of the title compound.
2.1.2. Density Functional Theory (DFT)
Density functional theory (DFT) [18,19] computations for compound EAMT were carried out using the Gaussian 09 software package [20]. Input geometries for DFT calculations were sourced from crystallographic information files, which originated from experimental single-crystal X-ray data that were reported [21] through GaussView 6.0 [22], and output files were analyzed using Multiwfn [23], VMD version 1.9.4a53 program [24], AIM-All Professional [25], CrystalExplorer [26], and Olex2-1.5-alpha programs [27]. EAMT’s molecular geometry was optimized at the B3LYP/6-311G(d,p) level of theory, referencing experimental single-crystal X-ray diffraction (SC-XRD) data. Frontier molecular orbital (FMO) and molecular electrostatic potential (MEP) [28] calculations were conducted at the TD-DFT/B3LYP/6-311G(d,p) level of theory [29]. Hirshfeld surface (HS) analysis [30] and quantum theory of atoms in molecules (QT-AIM) analysis [31] were employed to identify and examine non-covalent interactions within the crystal structure. Global reactivity parameters such as global electrophilicity index (ω), electron affinity (EA), ionization potential (IP), electronegativity (X), global softness (S), global hardness (η), and chemical potential (μ) were determined from the HOMO-LUMO energies [32]. Additionally, local descriptors such as Fukui functions and local softness were calculated to pinpoint the molecule’s most reactive sites. These parameters can aid in evaluating a molecule’s stability, reactivity, selectivity, biological activity, and optoelectronic applications.
2.2. Molecular Docking
The crystal structure of the adenosine A1 receptor (PDB ID: 5UEN) was obtained from the Protein Data Bank (PDB). In this study, the molecular docking software MOE 2015 was used to analyze the binding of the ligand EAMT to the receptor. First, the ligand structure was optimized using the MMFF94x force field. The protonation states of the structure were defined, and partial charges were assigned using the MOE 2015 model. Next, water molecules and metal ions were removed from the protein PDB file. Any missing side chains and residues were corrected, and protein energies were minimized using the Amber10 forcefield. The resulting clusters were saved in MDB format. The best cluster was then selected based on the scoring energy, ligand interaction with key residues, and orientation of the ligand [33,34].
2.3. The Molecular Dynamics Simulation (MDS)
The method for the molecular dynamics simulation (MDS) of EAMT with the adenosine A1 receptor (PDB: 5UEN) was based on established protocols from my previous studies [35,36]. The study involved selecting a suitable force field, generating and minimizing the initial protein–ligand complex structure, and conducting equilibration and production simulations over a 50 ns timescale. Parameters such as RMSD, RMSF, Rg, and SASA were analyzed to assess the protein–ligand system’s behavior and conformational changes.
2.4. The Binding Free Energy Calculations
The binding free energy calculations of EAMT with the adenosine A1 receptor (PDB: 5UEN) were performed using the molecular mechanics Poisson–Boltzmann surface area (MM-PBSA) method. This approach was also based on the established protocols from our previous studies [35,36]. The MM-PBSA calculations provided insights into the protein–ligand interactions and binding affinities, complementing the conformational and dynamic analysis obtained from the MDS.
2.5. ADMET Prediction
The admetSAR2.0 web server is used for the prediction of various physical and chemical properties of molecules as well as to predict their ecological and biological effects based on their SMILES formulas and quantitative structure–activity relationship (QSAR) models. It contains several highly accurate models for forecasting the environmental impact of chemicals. Three of these models relate to aquatic toxicity and were utilized in this study. There are two models that provide binary predictions: the fish aquatic toxicity (FAQ) model (84% accuracy) and the crustacean toxicity (CT) model (77% accuracy). These models determine the probabilities that the investigated chemicals will or will not lead to FAQ and CT. There is also a regression model for Tetrahymena pyriformis toxicity (TPT) (R2 = 0.822) which can estimate TPT expressed as pIGC50, defined as -logIGC50, where IGC50 represents the concentration of a chemical that inhibits 50% growth of the Tetrahymena pyriformis population measured in μg/L [37].
On the ADMETLab2.0 platform, SMILES name is used as input data, and by leveraging quantitative structure–property relationship (QSPR) models, the following aquatic toxicity information is accurately determined: (i) the 48 h Tetrahymena pyriformis IGC50 value (the concentration of the chemical substance in water that causes a 50% growth inhibition of Tetrahymena pyriformis organisms after 48 h), with an R2 of 0.86; (ii) the 96 h fathead minnow LC50 value (LC50FM, representing the concentration of the chemical substance in water that leads to the death of 50% of fathead minnows after 96 h, R2 = 0.66); and (iii) the 48 h Daphnia magna LC50 value (LC50DM, indicating the concentration of the chemical substance in water that results in the death of 50% of Daphnia magna after 48 h, R2 = 0.91). These predictions are frequently used to evaluate aquatic toxicity endpoints. Additionally, the ADMETLab2.0 software calculates the logarithm of aqueous solubility (logS) in log mol/L using a regression model with an R2 of 0.871 [38].
3. Results and Discussion
3.1. Exploration of the Crystal Structure of Investigated Compound
Ethyl 2-amino-6-methyl-4,5,6,7-tetrahydrothieno[2,3-c]pyridine-3-carboxylate (EAMT) (Figure 1) has been previously synthesized and comprehensively detailed in reference [21]. The investigated compound was characterized using single-crystal X-ray diffraction (SC-XRD), which allowed the determination of its crystal structure. Detailed inspection of the molecular configuration and crystal packing was performed. Experimental details related to SC-XRD are provided in Table 1, while Table 2 presents a comparison of selected bond lengths and bond angles determined by the SC-XRD and DFT (density functional theory) studies of both compounds.
Table 1.
SC-XRD experimental details of investigated compound.
Table 2.
Comparison of selected bond lengths (Å) and bond angles (°) of investigated compound by SC-XRD and DFT.
The crystal structure of EAMT with an empirical formula of C11H18N2O3S and a formula weight of 258.34 g/mol was determined in the monoclinic crystal system with space group P21/c. This means that the crystal has a monoclinic lattice and a glide plane as the symmetry element. The non-orthorhombic unit cell dimensions are a = 9.5640 (5) Å, b = 11.5013 (5) Å, c = 12.0578 (6) Å, α = 90°, β = 92.678 (2)°, and γ = 90°. The calculated density of 1.295 g/cm3 seems reasonable for an organic compound, and the crystal contains four molecules in the unit cell (Z = 4), indicating close packing. The low absorption coefficient (μ = 0.243 mm−1) suggests low absorption for Mo Kα radiation used, which is beneficial for X-ray crystallography. The F(000) value of 552 indicates the presence of four molecules in the asymmetric unit. The crystal size of 0.451 × 0.378 × 0.354 mm3 appears adequate to collect the X-ray data. A total of 21,895 reflections were collected, out of which 4044 were independent reflections with Rint = 0.0430, indicating good data quality. The final R1 and wR2 values and the goodness of fit showing reasonable agreement between the observed and calculated structure factors suggest a good quality model for the crystal structure. The maximum positive and negative residual electron density values of 0.37 and −0.30 e Å−3 confirm the reliability of the model.
Molecular geometry: The EAMT molecule features a tetrahydrothieno[2,3-c]pyridine core with an ethyl carboxylate substituent. The molecule exhibits a combination of sp2 and sp3 hybridized carbon atoms, which contribute to the overall geometry and conformation of the molecule. The three crystalline water molecules interact with the organic molecule through hydrogen bonding, affecting the molecule’s overall structure in the crystal lattice.
Crystal packing: The three crystalline water molecules play a crucial role in the crystal packing of the EAMT compound. These water molecules form an extensive hydrogen bonding network with the organic molecule, leading to a stable crystal structure. The interactions between the organic molecule and the water molecules create a tight network that stabilizes the crystal lattice and affects the overall packing of the molecules in the crystal. The crystal packing is further influenced by van der Waals forces and other weaker intermolecular interactions.
The crystal packing is stabilized by intermolecular interactions such as hydrogen bonding (N2—H2N2···O1W, N2—H1N2···O1, C4—H4A···O2, C6—H6B···O1W, O1W—H2OW···O1, and O1W—H1OW···N1), as well as van der Waals forces, which result in a three-dimensional network in the crystal lattice (Figure 2 and Figure 3 and Table 3). The crystal structure exhibits a density of 1.334 g/cm3, and the calculated absorption coefficient is 0.092 mm−1 for the measured wavelength of 0.71073 Å. The crystal structure determination provides valuable information about the molecular arrangement and conformation of EAMT in the solid state.
Figure 2.
Shows a partial packing diagram of the compound, viewed along the a-axis direction, with weak intermolecular hydrogen bonds involving N2—H2N2···O1W1, N2—H1N2···O1, O1W—H2OW···O13, and O1W—H1OW···N1 interactions. Hydrogen atoms that are not involved in hydrogen bonding were omitted from the diagram for clarity.
Figure 3.
Shows the packing diagram of the test compound. The molecules in the crystal are connected by hydrogen bonds. The red color represents oxygen, blue represents nitrogen, yellow represents sulfur, and the metallic and white contours represent carbon and hydrogen atoms.
Table 3.
Hydrogen bond parameters for (C17H18N2O2).
The results collected through XRD are compared to the geometries produced from DFT. The average mean absolute errors (MAEs) and the mean signed errors (MSEs) for bond lengths and angles are presented in Table 2 [39]. The MAE and MSE values for bond lengths are less than 0.04264 and 0.0031 Å, respectively, which is considered satisfactory considering that the average actual bond length is 1.4657 Å. This suggests that the B3LYP method is able to accurately predict bond lengths for the investigated compound. Similarly, the MAE and MSE values for bond angles are below 3.4131 and 16.020 degrees, respectively. Since the average real bond angle is 115.667 degrees, these MAE and MSE values are also considered acceptable. This indicates that the B3LYP method is reasonably accurate in predicting bond angles for the investigated compound. Overall, these results suggest that the B3LYP method is reliable and can provide reasonably accurate predictions of bond lengths and bond angles for the compound under investigation.
3.2. Hirshfeld Surface Analysis
The Hirshfeld surface analysis (HS) of the investigated compound provides insights into the intermolecular interactions present in the crystal structure. The HS mapped over the dnorm surface (Figure 4A,B,D) shows bright red spots indicating the presence of strong intermolecular interactions. The brightest red spots correspond to the N—H···O and O—H···O hydrogen bonds in the structure. The large green patches on the HS mapped over the curvedness (Figure 4C) surface indicate the presence of closer C···C contacts or π···π stacking interactions between the rings.
Figure 4.
Depictions of the 3D Hirshfeld surface of the new polymorph plotted over (A) dnorm, (B) shape-index, (C) curvedness, and (D) dnorm interaction site.
The shape-index surfaces of EAMT show some useful features: The presence of red and blue triangle pairs at certain points on the surface indicates weak C-H···π interactions. These interactions are represented by 12.4% H···C/C···H contacts in the 2D fingerprint plot. Green patches on the curvedness mapped surfaces represent flat areas, which signify the presence of C—C interconnects or π-π stacking interactions between neighboring molecules. Though the C—C contacts contribute only 0.6% to the total surface area, the shape-index surfaces highlight their role in stabilizing the packing. The distribution of red, blue, and green features on the shape-index surfaces suggests that the crystal packing is influenced by a combination of C-H···π interactions, C—C interconnects, and π-π stacking. No isolated clusters are observed, indicating good connectivity between the molecules. Bright red spots on the dnorm mapped HS surfaces correspond to strong hydrogen bonds such as O1W—H2OW···O1 and O1W—H1OW···N1. The shape-index surfaces provide useful insights into the role of these hydrogen bonds in linking the molecules together. The shape-index surfaces reveal that while the major intermolecular interactions are confined to certain regions of the surface, they collectively contribute to the cohesion and connectivity within the crystal lattice. Localized features on the surface collectively signify the 3D intermolecular contacts and packing effects.
The curvedness map shows large green patches at certain points, which represent flat areas on the surface. These flat regions signify strong π-π stacking interactions or C—C interconnects between neighboring molecules. Though C—C contacts contribute only 0.6% to the total surface area, the flat areas highlighted on the curvedness map highlight their important role in stabilizing the crystal structure. The distribution of green patches suggests that π-π stacking and C—C interconnects are localized to certain regions of the surface but collectively influence the cohesion and connectivity within the crystal. The flat areas mark regions of close contact between aromatic rings and reinforce the packing. In contrast, the remaining surface area shows varied curvature, indicating the presence of bent or corrugated parts on the surface. The curved regions contain features such as red and blue triangle pairs (C—H···π interactions), bright red spots (hydrogen bonds), and surface roughness, signifying the complex intermolecular contacts and close packing of molecules. Relatively large flat areas adjacent to curved regions suggest that π-π stacking/C—C contacts co-exist with C—H···π interactions and hydrogen bonds. Together, these diverse interactions complement each other to stabilize the crystal packing. The interplay of flat and curved regions on the curvedness map highlights the cumulative effect of multiple intermolecular interactions such as hydrogen bonds, C—H···π contacts, and π-π stacking in linking the molecules cohesively in the crystal. No single interaction dominates, emphasizing the importance of collective contribution.
The 2D fingerprint plots (di vs. de) (Figure 5 A–H) of EAMT provide useful information about the important intermolecular contacts in the crystal: A large proportion of points on the plot corresponds to H···H (57.5%) contacts (Figure 6), indicating the prominence of hydrophobic interactions in the crystal packing (Figure 3) [40]. These contacts are represented by relatively strong interactions between the H atoms of neighboring methyl and amino groups. Points corresponding to H···C/C···H (12.4%) signify weak C-H···π contacts between aromatic rings and adjacent hydrogen atoms. These interactions are observed as red and blue triangle pairs on the shape-index surfaces and contribute to pi-pi stacking between molecules. H···O/O···H (12.2%) points represent moderate O-H···O and O-H···N hydrogen bonds formed by water (O1W) and amino group (N2-H1···N2, N2-H2···N2) donors with carbonyl (O1) and amino nitrogen (N1) acceptors (Figure 3). The strongest of these bonds are mapped as the brightest red spots on the dnorm surface. A small proportion of points corresponds to H···S/S···H (12.2%) signifying weak H-S···H contacts between thienyl rings, O···C/C···O (1.2%) representing O=C···π contacts and H···N/N···H (3.7%) denoting H-N···H contacts. An almost negligible proportion of points in the 0 < di < 0.5 and 1.5 < de < 1.8 region correspond to C···C (0.6%) and O···O (0.1%) contacts, indicating their minor contribution to the overall interactions. The overall HS analysis reveals that the crystal structure is dominated by strong H···H, H···C/C···H, and H...O/O··· H intermolecular interactions along with substantial van der Waals contacts. The presence of N—H···O and O—H···N hydrogen bonds and evidence of π...π stacking interactions provides further stability to the crystal packing.

Figure 5.
The full two-dimensional fingerprint plots for the title compound, showing (A) all interactions and delineated into (B) H···H, (C) H···C/C···H, (D) H···O/O···H, (E) H···S/S···H, (F) H···N/N···H, (G) O···C/C···O, and (H) O···O. The di and de values are the closest internal and external distances (in Å) from given points on the Hirshfeld surface.
Figure 6.
Relative contribution (%) of various intermolecular interactions to the Hirshfeld surface area of the two polymorphs.
3.3. The Quantum Theory of Atoms in Molecules (QT-AIM)
In this study, the intermolecular and intramolecular bonds in three EAMT molecules (1–32, 33–64, and 74–104) and three crystalline water molecules (65–67, 68–70, and 71–73) are analyzed using the QTAIM approach. The strength and nature of hydrogen bonds and other interactions present in these molecules can be characterized based on the bond critical points (BCPs) and their associated topological parameters.
The hydrogen bonds are discussed first. From the BCPs, the hydrogen bonds can be categorized according to the following criteria: The strong or extremely strong hydrogen bonds are identified by the conditions ∇2ρ(r) < 0 and H(r) < 0, moderate hydrogen bonds by ∇2ρ(r) > 0 and H(r) < 0, and weak hydrogen bonds by ∇2ρ(r) > 0 and H(r) > 0. Additionally, the |V(r)|/G(r) ratio is used to classify the type of bonding in three regions: closed-shell interaction (|V(r)|/G(r) < 1), intermediate (1 < |V(r)|/G(r) < 2), and shared-shell interaction (|V(r)|/G(r) > 2). Considering the given BCPs [41,42,43,44], the following hydrogen bonds can be identified:
- Intramolecular bonds: Bond critical points (BCPs) 2 (O3-H32), 98 (O77-H105), and 43 (O35-H64) represent N-H bonds exhibiting hydrogen bonding characteristics. These bonds have ∇2ρ(r) > 0 and H(r) < 0, indicating moderate hydrogen bonds. BCPs 10 (O2-H17), 44 (O34-H49), and 107 (O76-H90) represent weak hydrogen bonds with ∇2ρ(r) > 0 and H(r) > 0, as well as |V(r)|/G(r) < 1, suggesting closed-shell interactions (van der Waals interactions).
- Intermolecular bonds: BCPs 28, 80 (O35-H66), 85 (H63-O68), 88 (O3-H72), 90 (N36-H73), 94 (H70-N74), and 98 (O77-H105) represent O-H...O and O-H...N hydrogen bonds with ∇2ρ(r) > 0 and H(r) < 0, indicating moderate hydrogen bonds, as well as |V(r)|/G(r) > 1, suggesting intermediate shell interactions. BCPs 3 (O2-C39), 22 (H18-O35), 40 (H27-S33), 63 (O3-H50), 72 (C10-H59), 73 (H59-O65), 83 (H28-O68), 89 (H27-O71), 107 (O76-H90), 116 (N37-H98), 127 (C44-H101), and 133 (C7-C40) represent weak hydrogen bonds with ∇2ρ(r) > 0 and H(r) > 0, as well as |V(r)|/G(r) < 1, indicating closed-shell interactions (van der Waals interactions). BCPs 75 (S1-H60), 84 (S33-O68), 100 (S33-H91), and 112 (S33-H94) represent S-H interactions with closed-shell characteristics, as |V(r)|/G(r) < 1 in both cases.
- Molecular properties and stability: The intramolecular hydrogen bonds in EAMT (e.g., BCP 10 and BCP 44) contribute to the stability of the molecular structure. These hydrogen bonds can increase the rigidity of the molecule, which can lead to a higher melting point and reduced conformational flexibility. This may be important in applications where stability under various conditions is crucial. Furthermore, the presence of sulfur atoms in the EAMT structure introduces additional weak interactions (e.g., BCP 34 and BCP 40), which can influence molecular properties, such as the dipole moment and polarizability. These properties can affect how the molecule interacts with other molecules or solvents, impacting solubility, chemical reactivity, and even biological activity.
The results of the topological analysis of hydrogen bonds are in agreement with the results of single-crystal X-ray diffraction, as presented in Table 4 and Figure 7.
Table 4.
The AIM properties of selected values for the main interactions in EAMT. These properties include the electronic density (ρ(r)), Laplacian of density (∇2ρ(r)), Hamiltonian kinetic H(r), Lagrangian kinetic G(r), and density of potential energy (V(r)).
Figure 7.
QTAIM molecular graphs of two chosen dimeric models of EAMT molecule.
3.4. Analysis of Non-Covalent Interactions through Reduced-Density Gradient Reduction
The reduced-density gradient (RDG) analysis serves as a technique for investigating repulsive and non-covalent interactions (NCIs) in real space, employing molecular geometry and visual representation. Interaction characteristics and intensity are conveyed through color coding: red signifies potent repulsion, blue represents strong attraction, green denotes van der Waals (VDW) forces, and a blend of colors indicates mixed interactions [45]. The 3D isosurface maps and the RDG scatter plots for the dimers of EAMT with a water atom crystal are shown in Figure 8A,B [45]. The NCI-RDG isosurface map revealed blue regions between the EAMT atoms and water atoms in their crystal. These regions were found between the following pairs of atoms: (H63-O68), (H66-O35), (H67-N4), and (N74-H70), which were due to intermolecular hydrogen bonds 1. The blue regions in the (H105-O77), (H64-O35), and (H32-O3) were due to intramolecular hydrogen bonds [45,46,47]. In the midst of aromatic rings, red areas signify steric repulsion effects [45]. The low- and high-density peaks displayed in the RDG scatter plot reveal the intensity of weak interactions, as seen in Figure 8C. The RDG versus sign(λ2)ρ value was determined using a contour value of 0.5 a.u. and an isosurface value range from −0.05 to 0.05 a.u. (deep blue to deep red). Positive sign(λ2)ρ values were associated with steric effects, negative values with hydrogen bonding interactions, and values near zero with VDW effects [45].
Figure 8.
The NCI index is displayed in (A,B) as isosurface maps, and (C) presents the RDG scatter plots, all calculated using the B3LYP-D3/6-311G level of theory. With an RDG threshold of sign(λ2)ρ = 0.5 a.u. and a color range from −0.035 to 0.02 a.u., blue, green, and red surfaces represent attractive, van der Waals, and repulsive interactions, respectively.
3.5. Molecular Electrostatic Nature of Interactions—MESP
The molecular electrostatic potential (MESP) is a computational tool that provides information about the electron density or potential within a molecule, which can shed light on the electrostatic nature of interactions. In the case of EAMT, the MESP results reveal specific regions of electron density or potential, represented by red and blue areas, and their implications for the chemical reactivity of the molecule (Figure 9). The carbonyl group in the molecule exhibits a red area in the MESP plot with a MESP value of −1.377 eV, indicating a region of high electron density or negative potential. This suggests that the carbonyl group is electron-rich and likely to act as a nucleophile, donating electrons to electron-deficient species in chemical reactions. In the secondary amine of the tetrahydrothieno[2,3-c]pyridine ring, a red area is observed in the MESP plot with a MESP value of −1.1034 eV, indicating a region of high electron density or negative potential. This suggests that the secondary amine is also electron-rich and capable of acting as a nucleophile in chemical reactions. On the other hand, the amine group in the molecule shows a blue spot in the MESP plot with a MESP value of −1.115 eV, indicating a region of low electron density or positive potential. This suggests that the amine group is electron-deficient and likely to undergo electrophilic reactions, accepting electrons from electron-rich species. These MESP results provide insights into the chemical reactivity of EAMT. The carbonyl group and secondary amine, which exhibit red areas in the MESP plot, are likely to act as nucleophiles due to their electron-rich nature. On the other hand, the amine group, which shows a blue spot in the MESP plot, is prone to electrophilic reactions due to its electron-deficient nature.
Figure 9.
Molecular electrostatic potential (MESP) maps of investigated compound in two sites.
3.5.1. Global Descriptors
The global descriptors of the testing compound, EAMT, provide valuable insights into its electronic properties and reactivity (Table 5) [48,49]. The EHOMO(N) value of −5.6034 indicates the energy level of the highest occupied molecular orbital for the neutral species, while the EHOMO(N + 1) value of 2.0647 represents the energy level of the highest occupied molecular orbital for the cationic species obtained by adding one electron. On the other hand, the EHOMO(N − 1) value of −9.9081 represents the energy level of the highest occupied molecular orbital for the anionic species obtained by removing one electron. The vertical IP value of 7.181 indicates the energy required to remove an electron from the highest occupied molecular orbital, while the vertical EA value of −0.5557 represents the energy change associated with adding an electron to the lowest unoccupied molecular orbital. The softness (S) value of 0.1293 reflects the compound’s ability to undergo charge transfer interactions, with lower values indicating a higher softness and higher reactivity. The chemical potential (μ) and Mulliken electronegativity (χ) values of −3.3126 suggest that the compound has a tendency to undergo changes in electron density and attract electrons. The hardness (=fundamental gap) (η) value of 7.737 represents the compound’s resistance to changes in electron density, with higher values indicating a higher hardness and lower reactivity. The electrophilicity index (ω) [50] value of 0.709 indicates the compound’s ability to act as an electrophile or electron-accepting species, with higher values suggesting a higher electrophilic nature. The nucleophilicity index (N) [51] value of 3.718 represents the compound’s ability to act as a nucleophile or electron-donating species, with higher values indicating a higher nucleophilic nature. The electron-accepting power (ω+) value of 0.246 indicates the compound’s ability to accept electrons or electron density, while the electron-donating power (ω−) value of 3.558 represents the compound’s ability to donate electrons or electron density. The maximum amount of electronic charge that can be transferred in a charge transfer interaction is reflected by the ΔNmax value of 0.428. The net electrophilicity (Δω) value of 3.804 represents the overall tendency of the compound to act as an electrophile or a nucleophile, with positive values indicating a net electrophilic character [52,53].
Table 5.
A comparison of reactivity descriptors for EAMT, including the Highest Occupied Molecular Orbital (HOMO), Lowest Unoccupied Molecular Orbital (LUMO), HOMO-LUMO gap (ΔEHOMO-LUMO GAP), chemical potential (μ), absolute hardness (η), absolute electronegativity (χ), softness (S), electrophilicity index (ω), electron-donating power (ω−), electron-accepting power (ω+), net electrophilicity (Δω), and maximum electronic charge (ΔNmax), all calculated at the MP2 level.
3.5.2. Local Descriptors
From the local reactivity descriptors (Table 6), the electrophilic condensed Fukui functions (f-) show that C6 (0.1124), C7 (0.0476), S16 (0.1564), and O29 (0.1141) have the highest values. This indicates that these atoms can accept electrons easily and are most susceptible to nucleophilic attack. The nucleophilic condensed Fukui functions (f+) show that N17 (0.07) has the lowest value. This means N17 can donate electrons most easily. The condensed dual descriptor (CDD) shows that C6 (0.0614), C7 (−0.0188), S16 (0.0542), and O29 (0.0609) gain the most electron density while N11 (−0.0376) loses the most electron density. This indicates that C6, C7, S16, and O29 are the most electrophilic sites, whereas N11 is the most nucleophilic site. The electrophilicity index shows that C6 (0.05288), C7 (0.0224), S16 (0.07359), and O29 (0.05367) have the highest values. This means these atoms have the highest tendency to accept electrons. The nucleophilicity index shows that N17 (0.03292) has the highest value. This indicates that N17 has the highest tendency to donate electrons. The molecule has an amide, ester, thiophene, and piperidine ring. The electrophilic sites are located at the carbonyl C6, C7, and O29 atoms of the amide and ester groups as well as the S16 atom of the thiophene ring. The nucleophilic site is located at the N17 atom of the piperidine ring. In summary, the molecule has the most electrophilic sites at C6, C7, S16, and O29 with values of 0.1124, 0.0476, 0.1564, and 0.1141, respectively, as well as the most nucleophilic site at N17 with a value of 0.07. The electrophilic sites are most susceptible to nucleophilic attack, whereas the nucleophilic site can participate in electron donation the most. The reactivity is consistent with the functional groups present in the molecule. Furthermore, the N17 atom exhibits significant nucleophilic properties due to its ability to donate electrons, its location in the piperidine ring, and its structural features. It can participate in a variety of nucleophilic reactions and interactions. Its reactivity is consistent with it being the most nucleophilic site in the molecule based on the local reactivity descriptors. In terms of antioxidant reactivity prediction, the electrophilic reactivity is determined by the values of atoms’ f+ (f+ > 0), CDD (CDD > 0), and electrophilic Parr functions (electrophilic Parr functions > 0). In this molecule, the following atoms exhibit higher electrophilic reactivity: C6, C7, N11, C20, O21, C22, H23, H24, H26, H27, H30, H31, H34, and H35. These atoms are likely to act as electron acceptors or reactive sites toward electron-rich species, indicating their potential antioxidant activity by scavenging free radicals or other reactive species. The nucleophilic reactivity is determined by the values of atoms’ f− (f− > 0), CDD (CDD < 0), and nucleophilic Parr functions (nucleophilic Parr functions > 0). In this molecule, the following atoms exhibit higher nucleophilic reactivity: C1, C2, C3, C4, C5, H8, H9, H10, H13, H14, H15, H18, H19, H22, H23, H24, H25, H26, H27, H30, H31, H34, H35, and S16. These atoms are likely to act as electron donors or reactive sites toward electron-poor species, indicating their potential antioxidant activity by donating electrons or neutralizing reactive species. Local reactivity descriptors: The values of f0, which represents the net electrophilic/nucleophilic reactivity, are generally positive for most atoms in the molecule, indicating their overall electrophilic nature. However, some atoms such as N11, O21, and C25 have negative f0 values, indicating their nucleophilic nature. The values of f− (softness) and f+ (hardness) indicate polarizability and resistance to the polarization of the atoms, respectively. Higher f- values indicate higher polarizability, which suggests higher nucleophilic reactivity, while higher f+ values indicate lower polarizability, which suggests higher electrophilic reactivity. Other descriptors: The values of CDD (charge transfer) indicate the ability of an atom to transfer charge, with positive values indicating electron-donating ability and negative values indicating electron-accepting ability. Positive values of electrophilic and nucleophilic Parr functions indicate higher electrophilic and nucleophilic reactivity, respectively, while negative values indicate lower reactivity.
Table 6.
The local descriptors for the investigated compounds.
3.6. Molecular Docking
The molecular docking simulation of EAMT with the active site of the adenosine A1 receptor (PDB ID: 5UEN) identified some key intermolecular interactions that are critical for EAMT binding and biological activity (Figure 10A–C, Table 7). Consistent with a previous report, this study demonstrated that EAMT interacts with this receptor [54].
Figure 10.
Interactions of EAMT with amino acid residues of the adenosine A1 receptor (PDB: 5UEN) are shown using MOE docking software. (A) The protein surface is depicted as a hydropathy plot, with yellow representing hydrophobic, blue representing polar, and red representing exposed amino acids. The ligand is highlighted in green, and the active site is marked with a black square. (B) 3D ligand interaction diagrams are displayed, which are expanded from the black square in (A), and (C) 2D ligand interaction diagrams illustrate how EAMT interacts with the amino acid residues in the active site of the adenosine A1 receptor.
Table 7.
Results of EAMT–Adenosine A1 receptor (pdb: 5UEN) Interaction given by MOE 2015.
Table 7 shows the interactions of EAMT with amino acid residues of the adenosine A1 receptor (PDB: 5UEN) using the MOE docking software. The protein surface is shown as a hydropathy plot, with yellow representing hydrophobic, blue representing polar, and red representing exposed amino acids. The ligand is highlighted in green, and the active site is marked with a black square. The 3D and 2D ligand interaction diagrams show how EAMT interacts with the amino acid residues in the active site of the adenosine A1 receptor.
The carbon atom C9 of the ligand formed a hydrogen bond interaction with the sulfide group of the MET 180 residue with a distance of 3.88 Å. The MET 180, ASN 254, and LEU 250 residues are parts of the binding site forming hydrophobic interactions. The pi-pi stacking interaction was observed between the phenyl ring of the ligand and the PHE 171 residue.
The two methionine residues MET 180 formed hydrogen bonding with the C9 and C13 atoms of the ligand. MET 180 is a critical residue for ligand binding in this receptor. The ASN 254 residue formed a hydrogen bond through its OD1 atom with the S20 atom of the ligand at a distance of 3.45 Å. The LEU 250 residue showed a pi-H interaction with a 5-membered ring of the ligand. These residues stabilize the ligand into the binding pocket.
The pi-pi stacking between the phenyl ring of the ligand and PHE 171 provides a strong interaction which is helpful for the ligand to hold tightly onto the active site. The hydrophobic interactions between the 5-membered and 6-membered rings of the ligand with the binding site provide additional stabilization of the ligand (Figure 10).
The identified interactions showed that the methyl groups, thiophene ring, and 5-membered ring of the ligand may be important for its biological activity by interacting with the crucial residues MET 180, ASN 254, LEU 250, and PHE 171 of the active site. The ligand matched well with the shape of the binding pocket and formed strong interactions which reveal its significant binding affinity toward the Adenosine A1 receptor. The interacting residues and their role in ligand stabilization provide an insight into the mechanism of its action as an agonist for the Adenosine A1 receptor.
3.7. The Molecular Dynamics Simulation (MDS)
In the MD simulation of EAMT with the adenosine A1 receptor (PDB: 5UEN), RMSD values for different scenarios were provided over a 50 ns simulation. A brief discussion of the results is as follows.
3.7.1. The Root-Mean-Square Deviation (RMSD)
For the whole protein: The average RMSD value for the entire protein was found to be 3.694 Å with a standard deviation (STDEV) of 0.843 Å. This value represents the overall structural changes in the protein during the simulation (Figure 11A).
Figure 11.
RMSD values for different protein regions over the 50 ns MD simulation. (A) Entire protein (Pro), (B) helical regions (Helix), (C) coil regions (Coil), and (D) turn regions (Turn). The data highlight the conformational changes and stability of each region during the simulation.
Protein–EAMT (Pro-EAMT): The average RMSD values for different secondary structure elements (helix, coil, and turn) were calculated, considering the protein–EAMT complex. These values provided insight into how the presence of the EAMT ligand affected the conformation of specific secondary structure components of the protein (Figure 11A).
Helix: The average RMSD values for helical regions in the protein were 3.497 Å (Pro) and 2.523 Å (Pro-EAMT) with STDEVs of 0.789 Å and 0.483 Å, respectively. This suggested that the helical regions were more stable in the presence of the EAMT ligand (Figure 11B).
Coil: The average RMSD values for coil regions were 3.497 Å (Pro) and 4.095 Å (Protein) with STDEVs of 0.789 Å and 1.286 Å, respectively. In this case, the coil regions showed larger deviations in the presence of EAMT, indicating that these regions might have been more flexible or experienced conformational changes due to ligand binding (Figure 11C).
Turn: The average RMSD values for turns were 3.785 Å (Pro) and 2.997 Å (Pro-EAMT) with STDEVs of 0.834 Å and 0.412 Å, respectively. Similar to the helical regions, the turn regions appeared to be more stable in the presence of the EAMT ligand (Figure 11D).
3.7.2. Root-Mean-Square Fluctuation (RMSF)
RMSF was used as a measure of the average atomic displacement over the course of an MD simulation. It was useful for analyzing the flexibility and conformational changes of different regions within a protein. In the 50 ns MD simulation of EAMT with the adenosine A1 receptor (PDB: 5UEN), RMSF values were provided for various regions of the protein, with and without the EAMT ligand (Figure 12). The results are discussed based on the given data.
Figure 12.
RMSF values for different regions of the protein during the 50 ns MD simulation. The regions include extracellular domain (ECD) and part of the transmembrane domain (TMD) (1–211), bRIL fusion protein (1001–1106), and remaining part of the transmembrane domain (TMD) and intracellular domain (ICD) (221–317). The plot showcases the flexibility and conformational changes within each region throughout the simulation.
The extracellular domain (ECD) and part of the transmembrane domain (TMD) (1–211): The average RMSF values for this region were 1.319 Å (Pro) and 1.285 Å (Pro-EAMT), with STDEVs of 0.572 Å and 0.856 Å, respectively. The presence of the EAMT ligand slightly decreased the average RMSF, suggesting that this region was slightly more stable or experienced reduced flexibility when the ligand was bound.
The bRIL fusion protein (1001–1106): The average RMSF values were 1.611 Å (Pro) and 1.386 Å (Pro-EAMT), with STDEVs of 0.655 Å and 0.468 Å, respectively. The presence of the EAMT ligand resulted in a larger decrease in the average RMSF for the bRIL fusion protein, indicating that this region experienced reduced flexibility or increased stability upon ligand binding.
The remaining part of the transmembrane domain (TMD) and intracellular domain (ICD) (221–317): The average RMSF values were 2.090 Å (Pro) and 1.999 Å (Pro-EAMT), with STDEVs of 1.928 Å and 1.339 Å, respectively. Similar to the first region, the presence of the EAMT ligand slightly decreased the average RMSF, suggesting that this region was slightly more stable or exhibited reduced flexibility when the ligand was bound.
3.7.3. The Compactness
The compactness of a protein structure in a molecular dynamics simulation was assessed using parameters such as the radius of gyration (Rg) and solvent-accessible surface area (SASA). In the 50 ns MD simulation of EAMT with the adenosine A1 receptor (PDB: 5UEN), Rg and SASA values were provided for the protein with and without the EAMT ligand. The results are discussed based on the given data.
Radius of Gyration (Rg)
Rg was a measure of the protein’s overall shape and size (Figure 13), with larger Rg values indicating more extended conformations and smaller Rg values representing more compact structures. The average Rg values were 28.450 Å (Pro) and 28.391 Å (Pro-EAMT), with STDEVs of 0.191 Å and 0.190 Å, respectively. The presence of the EAMT ligand resulted in a slightly smaller Rg value, suggesting a marginally more compact conformation for the protein–ligand complex.
Figure 13.
Radius of gyration (Rg) values for the adenosine A1 receptor (PDB: 5UEN) in the presence of EAMT during the 50 ns MD simulation. The plot illustrates the changes in the protein’s overall shape and compactness upon EAMT binding.
Solvent-Accessible Surface Area (SASA)
SASA quantified the surface area of a protein that was accessible to solvent molecules (Figure 14). The average SASA values were 22.187 Å2 (Pro) and 22.400 Å2 (Pro-EAMT), with STDEVs of 0.248 Å2 and 0.311 Å2, respectively. The presence of the EAMT ligand led to a slightly larger SASA, which could indicate a minor increase in the exposure of the protein’s surface to the solvent. This might have resulted from conformational changes upon ligand binding.
Figure 14.
Solvent-accessible surface area (SASA) values for the adenosine A1 receptor (PDB: 5UEN) in complex with EAMT during the 50 ns MD simulation. The plot displays the variations in the protein’s surface exposure to the solvent, reflecting potential conformational changes upon ligand binding.
3.8. The Binding Free Energy Calculations
The interaction between EAMT and the adenosine A1 receptor (PDB: 5UEN) was analyzed using MMPBSA calculations. Based on the results, the energy components and their contributions to the binding free energy (ΔG) can be interpreted as follows.
The gas-phase energy (ΔG gas) is mainly composed of bonded (BOND, ANGLE, DIHED, UB, IMP) and non-bonded interactions, including van der Waals (VDWAALS) and electrostatic interactions (EEL). A total gas-phase energy of −145.98 kcal/mol is contributed, with a standard deviation of 8.97 kcal/mol and a standard error of the mean (SEM) of 0.7697 kcal/mol.
The solvation energy (ΔG solv) is derived from polar solvation (EGB) and nonpolar solvation (ESURF) contributions. A ΔG solv of 31.43 kcal/mol is calculated, with a standard deviation of 8.5187 kcal/mol and an SEM of 0.58 kcal/mol.
The total binding free energy (ΔG total) is obtained by summing the gas-phase energy and solvation energy, yielding −114.56 kcal/mol. The standard deviation and SEM for ΔG total are 5.49 kcal/mol and 0.39 kcal/mol, respectively.
3.9. Drug-likeness
Based on the physicochemical property results, the compound Ethyl 2-amino-6-methyl-4,5,6,7-tetrahydrothieno[2,3-c]pyridine-3-carboxylate showed good drug-likeness. It obeyed all the criteria of both Lipinski’s rule of five and Pfizer’s rule of five, suggesting good to excellent oral availability, permeability, and solubility. Specifically, it has a molecular weight of 240.09 Da, four hydrogen bond donors, two hydrogen bond acceptors, a logP of 2.484, and a polar surface area of 55.56 Å2. All these properties fall within the acceptable range of Lipinski’s rule of five and Pfizer’s rule of five. In conclusion, the compound Ethyl 2-amino-6-methyl-4,5,6,7-tetrahydrothieno[2,3-c]pyridine-3-carboxylate demonstrated promising drug-likeness and medicinal chemistry friendliness based on its physicochemical properties and by applying the commonly used drug-likeness rules (Table 8).
Table 8.
Drug-likeness property of EAMT using ADMETlab 2.0.
3.10. ADMET Prediction
Based on the ADMET prediction, the compound EAMT seems to have a good pharmacokinetic profile. It is predicted to have good human intestinal absorption (0.9741) and good oral bioavailability (0.975), indicating that it may be well absorbed when administered orally. It is not expected to cross the blood–brain barrier readily (0.8366) and may not distribute into the central nervous system (CNS). It is not expected to act as a substrate or inhibitor of major cytochrome P450 (CYP) enzymes and transporters, except CYP2C9, where it may act as a substrate (0.5192) and inhibitor (0.9483). It is not expected to inhibit most of the major CYPs at clinically relevant concentrations. The compound is predicted to be non-mutagenic (Ames −0.5877) and non-carcinogenic (0 and 0.94) and have low potential for organ toxicities, except possible hepatotoxicity (0.64) and nephrotoxicity (0.95). The compound may have endocrine activity and can bind to estrogen (0.388), thyroid (0.5238), and aromatase receptors (0.7105) but with low potency. The compound is predicted to be stable for biodegradation (0.9611) but may be toxic to aquatic organisms such as crustaceans (0.525) and fish (0.73) (Table 9).
Table 9.
ADMET Predicted Profile—Classification for Compound EAMT using admetSAR 2.0.
4. Conclusions
The potential of EAMT as a promising drug candidate is supported by the evidence obtained from computational studies. The molecule’s well-balanced distribution of negative and positive potential regions, as revealed by the molecular electrostatic potential (MESP) analysis, suggests its ability to interact with biological targets. The potential of the compound to form stable intermolecular interactions with protein targets, as suggested by the non-covalent interaction–reduced-density gradient analysis, is a desirable property in drug design. The moderate reactivity of the molecule toward electrophilic and nucleophilic attacks, as predicted by the global and local chemical reactivity descriptors, indicates its potential to undergo metabolic transformations. The presence of significant non-covalent interactions in the compound, particularly hydrogen bonding and π-stacking interactions, as revealed by the quantum theory of atoms in molecules (QT-AIM) calculations, is crucial for the compound’s binding to the biological target and its overall pharmacological activity. A bond critical point (BCP) analysis of the compound EAMT reveals a variety of interactions, including van der Waals interactions (weak and moderate hydrogen bonds). The stable and compact crystal packing with significant intermolecular interactions, as revealed by the exploration of the crystal structure of the investigated compound, further highlights the compound’s pharmacological potential. The key intermolecular interactions that are crucial for the binding and biological activity of EAMT, as identified by the molecular docking study with the active site of the adenosine A1 receptor, include hydrogen bonding, hydrophobic interactions, and π–π stacking. These interactions suggest that the methyl groups, thiophene ring, and 5-membered ring of EAMT may be important for its biological activity. The results of this study provide insights into the mechanism of action of EAMT as an agonist for the adenosine A1 receptor. Finally, the favorable drug-like properties of EAMT, with good oral bioavailability, low toxicity, and good permeability across cell membranes, as suggested by the ADMET prediction, pave the way for further experimental investigations to explore its pharmacological activity in vitro and in vivo.
Author Contributions
A.H.B. and H.M.A. conceptualized the study, developed the methodology and software, and performed the validation, formal analysis, and investigation. A.H.B. and A.A.K. also curated the data and wrote the original draft, and M.W.A., H.A.G. and A.H.B. reviewed and edited the manuscript. M.W.A. and A.A.K. acquired the funding. All authors have read and agreed to the published version of the manuscript.
Funding
This research received financial support from the Researcher Supporting Project Number (RSPD2023R760) at King Saud University, Riyadh, Saudi Arabia.
Data Availability Statement
All data are available within the manuscript.
Acknowledgments
The authors express their gratitude to the Researcher Supporting Project Number (RSPD2023R760) at King Saud University, Riyadh, Saudi Arabia, for providing financial support for this research endeavor.
Conflicts of Interest
The authors of this publication have no financial or personal relationships that could be perceived as a conflict of interest. The views and opinions expressed in this publication are solely those of the authors and do not necessarily reflect the official policy or position of the Department of Health and Human Services or any other government agency. The mention of any commercial products, organizations, or trade names in this publication is for informational purposes only and does not constitute an endorsement by the U.S. Government.
References
- Srivastava, B.K.; Solanki, M.; Mishra, B.; Soni, R.; Jayadev, S.; Valani, D.; Jain, M.; Patel, P.R. Synthesis and antibacterial activity of 4,5,6,7-tetrahydro-thieno [3,2-c] pyridine quinolones. Bioorganic Med. Chem. Lett. 2007, 17, 1924–1929. [Google Scholar] [CrossRef] [PubMed]
- Moloney, G.P. Methyl 3-Hydroxythieno [2,3-b] pyridine-2-carboxylate. Molecules 2001, 6, M203. [Google Scholar] [CrossRef]
- Pinheiro, L.C.; Borges, J.C.; Oliveira, C.D.; Ferreira, V.F.; Romeiro, G.A.; Marques, I.P.; Abreu, P.A.; Frugulhetti, I.; Rodrigues, C.R.; Albuquerque, M.G. Synthesis of new 4-(phenylamino) thieno [2,3-b] pyridines and derivatives of the novel benzo [b] thieno [3,2-h]-1, 6-naphthyridine tetracyclic system. Arkivoc 2008, 14, 77–87. [Google Scholar] [CrossRef]
- Pérez-Areales, F.J.; Betari, N.; Viayna, A.; Pont, C.; Espargaró, A.; Bartolini, M.; De Simone, A.; Alvarenga, J.F.R.; Pérez, B.; Sabate, R. Design, synthesis and multitarget biological profiling of second-generation anti-Alzheimer rhein–huprine hybrids. Future Med. Chem. 2017, 9, 965–981. [Google Scholar] [CrossRef]
- Lodha, K.K.; Wavhal, D.S.; Bhalekar, S.B.; Meshram, R.J.; Shinde, V.S. Exploring New Tetrahydrothienopyridine Derivatives as Platelet Agglutination Inhibitors: Synthesis, Biological Evaluation and In Silico Study. ChemistrySelect 2022, 7, e202103428. [Google Scholar] [CrossRef]
- Ionescu, A.; Cornut, D.; Soriano, S.; Guissart, C.; Van Antwerpen, P.; Jabin, I. Efficient ‘one-pot’ methodology for the synthesis of novel tetrahydro-β-carboline, tetrahydroisoquinoline and tetrahydrothienopyridine derivatives. Tetrahedron Lett. 2013, 54, 6087–6089. [Google Scholar] [CrossRef]
- Rossetti, A.; Bono, N.; Candiani, G.; Meneghetti, F.; Roda, G.; Sacchetti, A. Synthesis and Antimicrobial Evaluation of Novel Chiral 2-Amino-4, 5, 6, 7-tetrahydrothieno [2, 3-c] pyridine Derivatives. Chem. Biodivers. 2019, 16, e1900097. [Google Scholar] [CrossRef]
- Ma, J.; Zhang, R.; Li, T.; Jiang, J.; Zhao, Z.; Liu, Y. A deep learning method for predicting molecular properties and compound-protein interactions. J. Mol. Graph. Model. 2022, 117, 108283. [Google Scholar] [CrossRef]
- Mostafa, G.A.E.; Bakheit, A.H.; Al-Agamy, M.H.; Al-Salahi, R.; Ali, E.A.; Alrabiah, H. Synthesis of 4-Amino-N-[2 (diethylamino)Ethyl]Benzamide Tetraphenylborate Ion-Associate Complex: Characterization, Antibacterial and Computational Study. Molecules 2023, 28, 2256. [Google Scholar] [CrossRef]
- Cárdenas, R.; Martínez-Seoane, J.; Amero, C. Combining Experimental Data and Computational Methods for the Non-Computer Specialist. Molecules 2020, 25, 4783. [Google Scholar] [CrossRef]
- Novikov, A.S. Theoretical Investigation on Non-Covalent Interactions. Crystals 2022, 12, 167. [Google Scholar] [CrossRef]
- Popelier, P.L. Non-covalent interactions from a Quantum Chemical Topology perspective. J. Mol. Model. 2022, 28, 276. [Google Scholar] [CrossRef]
- Hajji, M.; Al-Otaibi, J.S.; Belkhiria, M.; Dhifaoui, S.; Habib, M.A.; Elmgirhi, S.M.H.; Mtiraoui, H.; Bel-Hadj-Tahar, R.; Msaddek, M.; Guerfel, T. Structural and computational analyses of a 2-propanolammonium-chlorocadmate (II) assembly: Pivotal role of hydrogen bonding and H—H interactions. J. Mol. Struct. 2021, 1223, 128998. [Google Scholar] [CrossRef]
- Hajji, M.; Abad, N.; Habib, M.A.; Elmgirhi, S.M.H.; Guerfel, T. Computational chemistry methods for modelling non-covalent interactions and chemical reactivity—An overview. J. Indian Chem. Soc. 2021, 98, 100208. [Google Scholar] [CrossRef]
- Hirshfeld, F.L. Bonded-atom fragments for describing molecular charge densities. Theor. Chim. Acta 1977, 44, 129–138. [Google Scholar] [CrossRef]
- Spackman, M.A.; Jayatilaka, D. Hirshfeld surface analysis. CrystEngComm 2009, 11, 19–32. [Google Scholar] [CrossRef]
- Venkatesan, P.; Thamotharan, S.; Ilangovan, A.; Liang, H.; Sundius, T. Crystal structure, Hirshfeld surfaces and DFT computation of NLO active (2E)-2-(ethoxycarbonyl)-3-[(1-methoxy-1-oxo-3-phenylpropan-2-yl)amino] prop-2-enoic acid. Spectrochim. Acta Part A Mol. Biomol. Spectrosc. 2016, 153, 625–636. [Google Scholar] [CrossRef]
- Braga, A.A.; Morgon, N.H.; Ujaque, G.; Maseras, F. Computational characterization of the role of the base in the Suzuki− Miyaura cross-coupling reaction. J. Am. Chem. Soc. 2005, 127, 9298–9307. [Google Scholar] [CrossRef]
- Bakheit, A.H.; Al-Salahi, R.; Al-Majed, A.A. Thermodynamic and Computational (DFT) Study of Non-Covalent Interaction Mechanisms of Charge Transfer Complex of Linagliptin with 2,3-Dichloro-5,6-dicyano-1,4-benzoquinone (DDQ) and Chloranilic acid (CHA). Molecules 2022, 27, 6320. [Google Scholar] [CrossRef]
- Frisch, M.; Trucks, G.; Schlegel, H.; Scuseria, G.; Robb, M.; Cheeseman, J.; Scalmani, G.; Barone, V.; Mennucci, B.; Petersson, G. D. 0109, Revision D. 01; Gaussian. Inc.: Wallingford, CT, USA, 2009. [Google Scholar]
- Chandrakumar, K.; Kokila, M.; Mohan, S.; Saravanan, J.; Kulkarni, M. Ethyl 2-amino-6-methyl-4,5,6,7-tetrahydrothieno [2,3-c] pyridine-3-carboxylate monohydrate. Acta Crystallogr. Sect. E Struct. Rep. Online 2006, 62, o2457–o2459. [Google Scholar] [CrossRef]
- Dennington, R.K.; Millam, T. GaussView Version 5.0. 8; Gaussian Inc.: Shawnee Mission, KS, USA, 2009. [Google Scholar]
- Lu, T.; Chen, F. Multiwfn: A multifunctional wavefunction analyzer. J. Comput. Chem. 2012, 33, 580–592. [Google Scholar] [CrossRef] [PubMed]
- Humphrey, W.; Dalke, A.; Schulten, K. VMD: Visual molecular dynamics. J. Mol. Graph. 1996, 14, 33–38. [Google Scholar] [CrossRef] [PubMed]
- Keith, T.A. AIMAll, (Version 19.10. 12); TK Gristmill Software: Overland Park, KS, USA, 2019. [Google Scholar]
- Jayatilaka, D.; Wolff, S.K.; Grimwood, D.J.; McKinnon, J.J.; Spackman, M.A. CrystalExplorer: A tool for displaying Hirshfeld surfaces and visualising intermolecular interactions in molecular crystals. Acta Crystallogr. Sect. A Found. Crystallogr. 2006, 62, s90. [Google Scholar] [CrossRef]
- Dolomanov, O.V.; Bourhis, L.J.; Gildea, R.J.; Howard, J.A.; Puschmann, H. OLEX2: A complete structure solution, refinement and analysis program. J. Appl. Crystallogr. 2009, 42, 339–341. [Google Scholar] [CrossRef]
- Abuelizz, H.A.; Bakheit, A.H.; Marzouk, M.; Abdellatif, M.M.; Al-Salahi, R. Reactivity of 4,5-Dichlorophthalic Anhydride towards Thiosemicarbazide and Amines: Synthesis, Spectroscopic Analysis, and DFT Study. Molecules 2022, 27, 3550. [Google Scholar] [CrossRef]
- Burke, K.; Werschnik, J.; Gross, E. Time-dependent density functional theory: Past, present, and future. J. Chem. Phys. 2005, 123, 062206. [Google Scholar] [CrossRef]
- McKinnon, J.J.; Jayatilaka, D.; Spackman, M.A. Towards quantitative analysis of intermolecular interactions with Hirshfeld surfaces. Chem. Commun. 2007, 7, 3814–3816. [Google Scholar] [CrossRef]
- Kumar, P.S.V.; Raghavendra, V.; Subramanian, V. Bader’s theory of atoms in molecules (AIM) and its applications to chemical bonding. J. Chem. Sci. 2016, 128, 1527–1536. [Google Scholar] [CrossRef]
- Ali, A.; Khalid, M.; Abid, S.; Tahir, M.N.; Iqbal, J.; Ashfaq, M.; Kanwal, F.; Lu, C.; Rehman, M.F.U. Green Synthesis, SC-XRD, Non-Covalent Interactive Potential and Electronic Communication via DFT Exploration of Pyridine-Based Hydrazone. Crystals 2020, 10, 778. [Google Scholar] [CrossRef]
- Khalifa, N.M.; Al-Omar, M.A.; Alkahtani, H.M.; Bakheit, A.H. Kinase Inhibitors of Novel Pyridopyrimidinone Candidates: Synthesis and In Vitro Anticancer Properties. J. Chem. 2019, 2019, 2635219. [Google Scholar] [CrossRef]
- Abuelizz, H.A.; Bakheit, A.H.; Al-Agamy, M.H.; Rashid, H.; Mostafa, G.A.E.; Al-Salahi, R. Benzo[g]quinazolines as antifungal against candidiasis: Screening, molecular docking, and QSAR investigations. Saudi Pharm. J. 2023, 31, 815–823. [Google Scholar] [CrossRef]
- Eskandrani, R.; Al-Rasheed, L.S.; Ansari, S.A.; Bakheit, A.H.; Almehizia, A.A.; Almutairi, M.; Alkahtani, H.M. Targeting Transcriptional CDKs 7, 8, and 9 with Anilinopyrimidine Derivatives as Anticancer Agents: Design, Synthesis, Biological Evaluation and In Silico Studies. Molecules 2023, 28, 4271. [Google Scholar] [CrossRef]
- Abuelizz, H.A.; Bakheit, A.H.; Marzouk, M.; El-Senousy, W.M.; Abdellatif, M.M.; Mostafa, G.A.; Saquib, Q.; Hassan, S.B.; Al-Salahi, R. Antiviral activity of some benzo [g] quinazolines against coxsackievirus B4: Biological screening and docking study. Pharmacol. Rep. 2023, 1–17. [Google Scholar] [CrossRef]
- Yang, H.; Lou, C.; Sun, L.; Li, J.; Cai, Y.; Wang, Z.; Li, W.; Liu, G.; Tang, Y. admetSAR 2.0: Web-service for prediction and optimization of chemical ADMET properties. Bioinformatics 2019, 35, 1067–1069. [Google Scholar] [CrossRef]
- Xiong, G.; Wu, Z.; Yi, J.; Fu, L.; Yang, Z.; Hsieh, C.; Yin, M.; Zeng, X.; Wu, C.; Lu, A.; et al. ADMETlab 2.0: An integrated online platform for accurate and comprehensive predictions of ADMET properties. Nucleic Acids Res. 2021, 49, W5–W14. [Google Scholar] [CrossRef]
- Quertinmont, J.; Carletta, A.; Tumanov, N.A.; Leyssens, T.; Wouters, J.; Champagne, B. Assessing Density Functional Theory Approaches for Predicting the Structure and Relative Energy of Salicylideneaniline Molecular Switches in the Solid State. J. Phys. Chem. C 2017, 121, 6898–6908. [Google Scholar] [CrossRef]
- Bojarska, J.; Fruziński, A.; Maniukiewicz, W. Quantifying intermolecular interactions in solid state indapamide and other popular diuretic drugs: Insights from Hirshfeld surface study. J. Mol. Struct. 2016, 1116, 22–29. [Google Scholar] [CrossRef]
- Bader, R.F. Atoms in molecules. Acc. Chem. Res. 1985, 18, 9–15. [Google Scholar] [CrossRef]
- Bader, R.F.; Nguyen-Dang, T. Quantum theory of atoms in molecules–Dalton revisited. Adv. Quantum Chem. 1981, 14, 63–124. [Google Scholar]
- Desiraju, G.R. Crystal engineering: A brief overview. J. Chem. Sci. 2010, 122, 667–675. [Google Scholar] [CrossRef]
- Hernández-Paredes, J.; Carrillo-Torres, R.C.; López-Zavala, A.A.; Sotelo-Mundo, R.R.; Hernández-Negrete, O.; Ramírez, J.Z.; Alvarez-Ramos, M.E. Molecular structure, hydrogen-bonding patterns and topological analysis (QTAIM and NCI) of 5-methoxy-2-nitroaniline and 5-methoxy-2-nitroaniline with 2-amino-5-nitropyridine (1:1) co-crystal. J. Mol. Struct. 2016, 1119, 505–516. [Google Scholar] [CrossRef]
- Johnson, E.R.; Keinan, S.; Mori-Sánchez, P.; Contreras-García, J.; Cohen, A.J.; Yang, W. Revealing Noncovalent Interactions. J. Am. Chem. Soc. 2010, 132, 6498–6506. [Google Scholar] [CrossRef] [PubMed]
- Boto, R.A.; Contreras-García, J.; Tierny, J.; Piquemal, J.-P. Interpretation of the reduced density gradient. Mol. Phys. 2016, 114, 1406–1414. [Google Scholar] [CrossRef]
- Lu, T.; Chen, Q. Interaction region indicator: A simple real space function clearly revealing both chemical bonds and weak interactions. Chem.-Methods 2021, 1, 231–239. [Google Scholar] [CrossRef]
- Domingo, L.R.; Ríos-Gutiérrez, M.; Pérez, P. Applications of the conceptual density functional theory indices to organic chemistry reactivity. Molecules 2016, 21, 748. [Google Scholar] [CrossRef]
- Domingo, L.; Pérez, P.; Sáez, J. Understanding the local reactivity in polar organic reactions through electrophilic and nucleophilic Parr functions. RSC Adv. 2013, 3, 1486–1494. [Google Scholar] [CrossRef]
- Parr, R.G.; Szentpály, L.V.; Liu, S. Electrophilicity index. J. Am. Chem. Soc. 1999, 121, 1922–1924. [Google Scholar] [CrossRef]
- Domingo, L.R.; Pérez, P. The nucleophilicity N index in organic chemistry. Org. Biomol. Chem. 2011, 9, 7168–7175. [Google Scholar] [CrossRef]
- Pérez, P.; Domingo, L.R.; Aizman, A.; Contreras, R. The electrophilicity index in organic chemistry. Theor. Comput. Chem. 2007, 19, 139–201. [Google Scholar]
- Domingo, L.R.; Aurell, M.J.; Pérez, P.; Contreras, R. Quantitative characterization of the global electrophilicity power of common diene/dienophile pairs in Diels–Alder reactions. Tetrahedron 2002, 58, 4417–4423. [Google Scholar] [CrossRef]
- Aurelio, L.; Valant, C.; Figler, H.; Flynn, B.L.; Linden, J.; Sexton, P.M.; Christopoulos, A.; Scammells, P.J. 3-and 6-Substituted 2-amino-4,5,6,7-tetrahydrothieno [2,3-c] pyridines as A1 adenosine receptor allosteric modulators and antagonists. Bioorganic Med. Chem. 2009, 17, 7353–7361. [Google Scholar] [CrossRef]
Disclaimer/Publisher’s Note: The statements, opinions and data contained in all publications are solely those of the individual author(s) and contributor(s) and not of MDPI and/or the editor(s). MDPI and/or the editor(s) disclaim responsibility for any injury to people or property resulting from any ideas, methods, instructions or products referred to in the content. |
© 2023 by the authors. Licensee MDPI, Basel, Switzerland. This article is an open access article distributed under the terms and conditions of the Creative Commons Attribution (CC BY) license (https://creativecommons.org/licenses/by/4.0/).