Growth of β-Ga2O3 Single-Crystal Microbelts by the Optical Vapor Supersaturated Precipitation Method
Abstract
1. Introduction
2. Experimental Section
2.1. Fabrication of β-Ga2O3 Microbelts
2.2. Characterization
2.3. Device Construction
3. Results and Discussion
3.1. Growth of β-Ga2O3 Microbelts
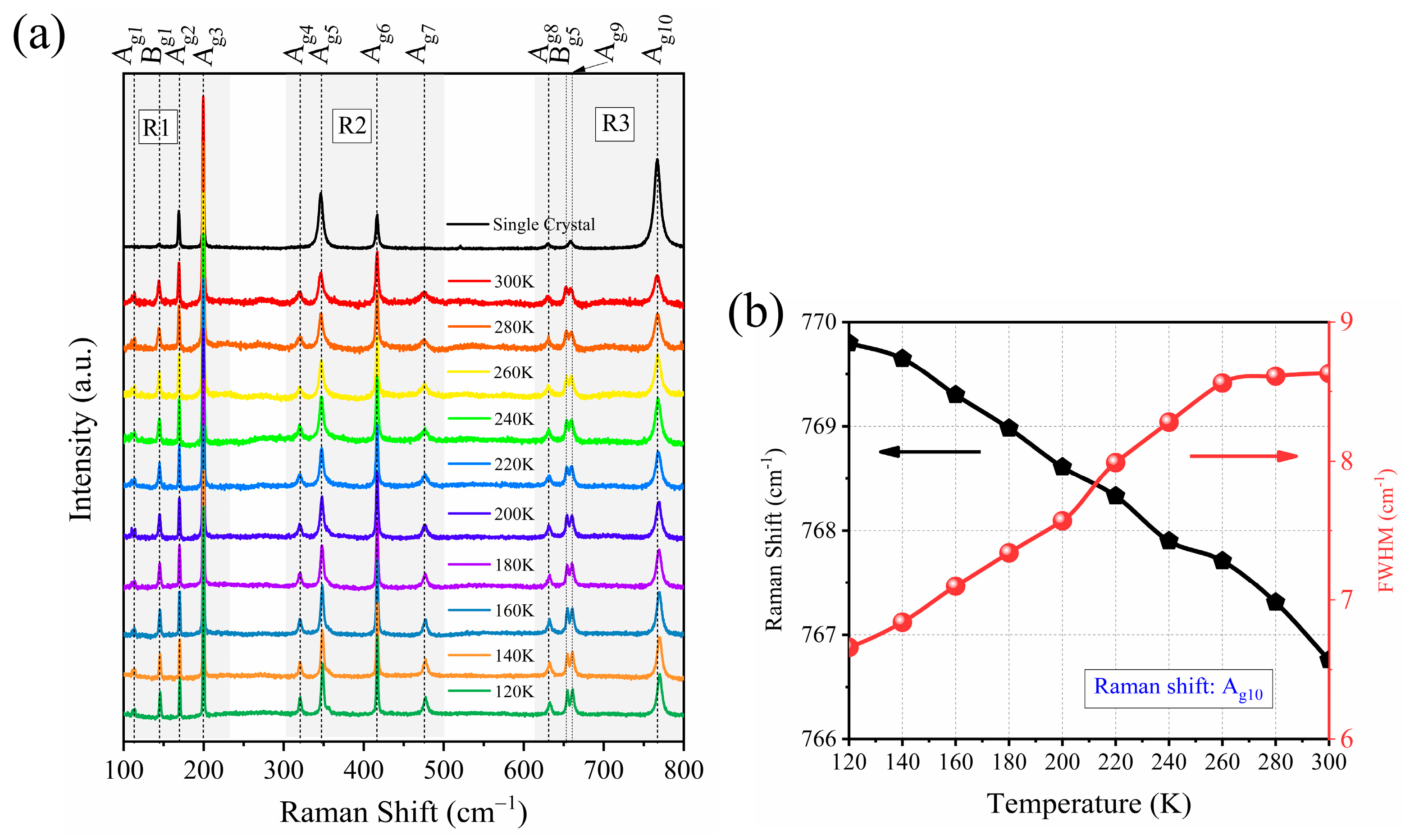
3.2. Microstructures of β-Ga2O3 Microbelts
3.3. UV-Vis Absorption and PL Spectra of β-Ga2O3 Microbelts
3.4. I-V Characteristics
4. Conclusions
Author Contributions
Funding
Data Availability Statement
Conflicts of Interest
References
- Xie, C.; Lu, X.; Tong, X.; Zhang, Z.; Liang, F.; Liang, L.; Luo, L.; Wu, Y. Recent progress in solar-blind deep-ultraviolet photodetectors based on inorganic ultrawide bandgap semiconductors. Adv. Funct. Mater. 2019, 9, 1806006. [Google Scholar] [CrossRef]
- Chen, X.; Ren, F.; Gu, S.; Ye, J. Review of gallium-oxide-based solar-blind ultraviolet photodetectors. Photonics Res. 2019, 4, 381–415. [Google Scholar] [CrossRef]
- Xu, J.; Zheng, W.; Huang, F. Gallium oxide solar-blind ultraviolet photodetectors: A review. J. Mater. Chem. C 2019, 7, 8753–8770. [Google Scholar] [CrossRef]
- Fujita, S. Wide-bandgap semiconductor materials: For their full bloom. Jpn. J. Appl. Phys. 2015, 54, 030101. [Google Scholar] [CrossRef]
- Deka Boruah, B. Zinc oxide ultraviolet photodetectors: Rapid progress from conventional to self-powered photodetectors. Nanoscale Adv. 2019, 1, 2059. [Google Scholar] [CrossRef] [PubMed]
- Girolami, M.; Serpente, V.; Mastellone, M.; Tardocchi, M.; Rebai, M.; Xiu, Q.; Liu, J.; Sun, Z.; Zhao, Y.; Valentini, V.; et al. Self-powered solar-blind ultrafast UV-C diamond detectors with asymmetric Schottky contacts. Carbon 2022, 189, 27–36. [Google Scholar] [CrossRef]
- Yu, Y.; Han, D.; Wei, H.; Tang, Z.; Luo, L.; Hong, T.; Shen, Y.; Zheng, H.; Wang, Y.; Wang, R.; et al. Aluminum Nitride Ultraviolet Light-Emitting Device Excited via Carbon Nanotube Field-Emission Electron Beam. Nanomaterials 2023, 13, 1067. [Google Scholar] [CrossRef]
- Yang, J.; Liu, K.; Chen, X.; Shen, D. Recent advances in optoelectronic and microelectronic devices based on ultrawide-bandgap semiconductors. Prog. Quant. Electron. 2022, 83, 100397. [Google Scholar] [CrossRef]
- Galazka, Z. β-Ga2O3 for wide-bandgap electronics and optoelectronics. Semicond. Sci. Technol. 2018, 33, 113001. [Google Scholar] [CrossRef]
- Zhang, M.L.; Liu, Z.; Yang, L.L.; Yao, J.F.; Chen, J.; Zhang, J.; Wei, W.; Guo, Y.F.; Tang, W.H. β-Ga2O3-based power devices: A concise review. Crystals 2022, 12, 406. [Google Scholar] [CrossRef]
- Liu, H.W.; Li, H.L.; Zhou, S.R.; Zhang, H.; Fan, S.Q.; Cui, Y.T.; Kong, C.Y.; Ye, L.J.; Xiong, Y.Q.; Li, W.J. Transport mechanism of enhanced performance in an amorphous/monoclinic mixed-phase Ga2O3 solar-blind deep ultraviolet photodetector. Crystals 2021, 11, 1111. [Google Scholar] [CrossRef]
- Chen, M.N.; Zhang, Z.P.; Lv, Z.S.; Zhan, R.Z.; Chen, H.J.; Chen, J. Polycrystalline Ga2O3 nanostructure-based thin films for fast-response solar-blind photodetectors. ACS Appl. Nano Mater. 2022, 5, 351–360. [Google Scholar] [CrossRef]
- Zhao, B.; Wang, F.; Chen, H.Y.; Wang, Y.P.; Jiang, M.M.; Fang, X.S.; Zhao, D.X. Solar-blind avalanche photodetector based on single ZnO-Ga2O3 core-shell microwire. Nano Lett. 2015, 15, 3988–3993. [Google Scholar] [CrossRef]
- Jangir, R.; Porwal, S.; Tiwari, P.; Mondal, P.; Rai, S.K.; Srivastava, A.K.; Bhaumik, I.; Ganguli, T. Correlation between surface modification and photoluminescence properties of β-Ga2O3 nanostructures. AIP Adv. 2016, 6, 035120. [Google Scholar] [CrossRef]
- Abdullah, Q.N.; Ahmed, R.A.; Ali, M.A.; Yam, K.F.; Hassan, Z.; Bououdina, M. Novel SnO2-coated β-Ga2O3 nanostructures for room temperature hydrogen gas sensor. Int. J. Hydrogen Energy 2021, 46, 7000–7010. [Google Scholar] [CrossRef]
- Mazeina, L.; Picard, Y.N.; Maximenko, S.I.; Perkins, F.K.; Glaser, E.R.; Twigg, M.E.; Freitas, J.A., Jr.; Prokes, S.M. Growth of Sn-doped β-Ga2O3 nanowires and Ga2O3-SnO2 heterostructures for Gas sensing applications. Cryst. Growth Des. 2009, 9, 4471–4479. [Google Scholar] [CrossRef]
- Hasan, S.; Jewel, M.U.; Crittenden, S.R.; Lee, D.; Avrutin, V.; Özgür, Ü.; Morkoç, H.; Ahmad, I. MOCVD-grown β-Ga2O3 as a Gate Dielectric on AlGaN/GaN-Based Heterojunction Field Effect Transistor. Crystals 2023, 13, 231. [Google Scholar] [CrossRef]
- Wang, H.; Yang, J.W.; Wang, A.Q.; Wang, Y.; Han, N.; Yang, J.; Chen, Y.F. Controllable Ga/Ga2O3 nanowire growth at high temperatures enabled by Au and Pd quantum dot catalysts. Cryst. Growth Des. 2022, 22, 6183–6189. [Google Scholar] [CrossRef]
- Gonzalo, A.; Nogales, E.; Lorenz, K.; Víllora, E.G.; Shimamura, K.; Piqueras, J.; Méndez, B. Raman and cathodoluminescence analysis of transition metal ion implanted Ga2O3 nanowires. J. Lum. 2017, 191, 56–60. [Google Scholar] [CrossRef]
- Kumar, S.; Sarau, G.; Tessarek, C.; Bashouti, M.Y.; Hähnel, A.; Christiansen, S.; Singh, R. Study of iron-catalysed growth of β-Ga2O3 nanowires and their detailed characterization using TEM, Raman and cathodoluminescence techniques. J. Phys. D Appl. Phys. 2014, 47, 435101. [Google Scholar] [CrossRef]
- Feng, Q.J.; Li, T.T.; Li, F.; Li, Y.Z.; Shi, B.; Gao, C.; Wang, D.Y.; Liang, H.W. Catalyst-free growth of single crystalline β-Ga2O3 microbelts on patterned sapphire substrates. J. Cryst. Growth 2019, 509, 91–95. [Google Scholar] [CrossRef]
- Wang, Y.F.; Li, L.; Wang, H.B.; Su, L.X.; Chen, H.Y.; Bian, W.P.; Ma, J.G.; Li, B.S.; Liu, Z.G.; Shen, A.D. An ultrahigh responsivity self-powered solar-blind photodetector based on a centimeter-sized β-Ga2O3/polyaniline heterojunction. Nanoscale 2020, 12, 1406–1413. [Google Scholar] [CrossRef]
- Wang, Q.; Yan, Y.Z.; Zeng, Y.; Lu, Y.; Chen, L.; Jiang, Y.J. Free-standing undoped ZnO microtubes with rich and stable shallow acceptors. Sci. Rep. 2016, 6, 27341. [Google Scholar] [CrossRef]
- Pan, Y.M.; Yan, Y.Z.; Wang, Q.; Yang, L.X.; Zhang, X.G.; Tang, L.; Xing, C.; Chen, F.; Jiang, Y.J. Efficient defect control of zinc vacancy in undoped ZnO microtubes for optoelectronic applications. J. Appl. Phys. 2022, 131, 105105. [Google Scholar] [CrossRef]
- Zhang, X.G.; Chen, F.; Jiang, Y.J.; Yan, Y.Z.; Yang, L.X.; Yang, L.T.; Wang, X.H.; Yu, C.L.; Hu, L.N.; Dai, Y.H.; et al. Graphene oxide modified microtubular ZnO antibacterial agents for a photocatalytic filter in a facial mask. ACS Appl. Nano Mater. 2022, 5, 16332–16343. [Google Scholar]
- Liao, Y.M.; Yan, Y.Z.; Yang, L.X.; Pan, Y.M.; Lu, Y.; Chen, F.; Wang, Q.; Jiang, Y.J. Free-standing In2O3(ZnO)m superlattice microplates grown by optical vapor supersaturated precipitation. J. Mater. Sci. 2021, 56, 13723–13735. [Google Scholar] [CrossRef]
- Gatsi, N.C.; Mhlongo, G.H.; Moloto, N.; Erasmus, R.M.; Mashazi, P.; Nyokong, T.; Ntwaeaborwa, O.M. Hierarchically-ordered nanorods of Ga2O3 derived from microwave-assisted hydrothermal approach: Investigation of calcination-induced structural evolution and optical behavior. Mater. Today Commun. 2022, 33, 104808. [Google Scholar] [CrossRef]
- Zhao, J.J.; Qin, B.H.; Liu, L.H.; Liang, C.M.; Zhang, Y.P.; Yang, W.J.; Wang, H.Y. Enhanced low-temperature response of Ga2O3-based oxygen sensor by modulating the surficial micro-nano structures. Sens. Actuators B Chem. 2023, 378, 133180. [Google Scholar] [CrossRef]
- Hou, X.H.; Zhao, X.L.; Zhang, Y.; Zhang, Z.F.; Liu, Y.; Qin, Y.; Tan, P.J.; Chen, C.; Yu, S.J.; Ding, M.F.; et al. High-performance harsh-environment-resistant GaOX solar blind photodetectors via defect and doping engineering. Adv. Mater. 2022, 34, 2106923. [Google Scholar] [CrossRef]
- Chang, P.C.; Fan, Z.Y.; Tseng, W.Y.; Rajagopal, A.; Lu, G.J. β-Ga2O3 nanowires: Synthesis, characterization, and p-channel field-effect transistor. Appl. Phys. Lett. 2005, 87, 222102. [Google Scholar] [CrossRef]
- Frodason, Y.K.; Johansen, K.M.; Vines, L.; Varley, J.B. Self-trapped hole and impurity-related broad, luminescence in β-Ga2O3. J. Appl. Phys. 2020, 127, 75701. [Google Scholar] [CrossRef]
- Yamaoka, S.; Furukawa, Y.; Nakayama, M. Initial process of photoluminescence dynamics of self-trapped excitons in a β-Ga2O3 single crystal. Phys. Rev. B 2017, 95, 094304. [Google Scholar] [CrossRef]
- Varley, J.B.; Janotti, A.; Franchini, C.; Van de Walle, C.G. Role of self-trapping in luminescence and p-type conductivity of wide-band-gap oxides. Phys. Rev. B 2012, 85, 081109. [Google Scholar] [CrossRef]
- Nogales, E.; García, J.A.; Méndez, B.; Piqueras, J. Red luminescence of Cr in β-Ga2O3 nanowires. J. Appl. Phys. 2007, 101, 033517. [Google Scholar] [CrossRef]
- Sharma, S.; Sunkara, M.K. Direct synthesis of gallium oxide tubes, nanowires, and nanopaintbrushes. J. Am. Chem. Soc. 2002, 124, 12288–12293. [Google Scholar] [CrossRef]
- Wu, X.C.; Song, W.H.; Huang, W.D.; Pu, M.H.; Zhao, B.; Sun, Y.P.; Du, J.J. Crystalline gallium oxide nanowires: Intensive blue light emitter. Chem. Phys. Lett. 2000, 328, 5–9. [Google Scholar] [CrossRef]
- Zheng, Z.Y.; Liu, K.W.; Cheng, Z.; Qiao, B.S.; Chen, X.; Zhou, C.; Yang, J.L.; Ai, Q.; Zhu, Y.X.; Li, B.H.; et al. Single β-Ga2O3 microbelt solar-blind photodetector with high specific detectivity, high rejection ratio and fast speed. J. Phys. D Appl. Phys. 2022, 55, 365107. [Google Scholar] [CrossRef]
- Altuntas, H.; Donmez, I.; Ozgit-Akgun, C.; Biyikli, N. Electrical characteristics of β-Ga2O3 thin films grown by PEALD. J. Alloys Compd. 2014, 593, 190–195. [Google Scholar] [CrossRef]
- Onuma, T.; Fujioka, S.; Yamaguchi, T.; Itoh, Y.; Higashiwaki, M.; Sasaki, K.; Masui, T.; Honda, T. Polarized Raman spectra in β-Ga2O3 single crystals. J. Cryst. Growth 2014, 401, 330–333. [Google Scholar] [CrossRef]
- Zhang, K.; Xu, Z.W.; Zhao, J.L.; Wang, H.; Hao, J.M.; Zhang, S.N.; Cheng, H.J.; Dong, B. Temperature-dependent Raman and photoluminescence of β-Ga2O3 doped with shallow donors and deep acceptors impurities. J. Alloys Compd. 2021, 881, 160665. [Google Scholar] [CrossRef]
- Rao, R.; Rao, A.M.; Xu, B.; Dong, J.; Sharma, S.; Sunkara, M.K. Blueshifted Raman scattering and its correlation with the [110] growth direction in gallium oxide nanowires. J. Appl. Phys. 2005, 98, 94312. [Google Scholar] [CrossRef]
- Dohy, D.; Lucazeau, G.; Revcolevschi, A. Raman spectra and valence force field of single-crystalline β-Ga2O3. J. Solid State Chem. 1982, 45, 180–192. [Google Scholar] [CrossRef]
- IIhom, S.; Mohammad, A.; Shukla, D.; Grasso, J.; Willis, G.B.; Okyay, A.K.; Biyikli, N. Low-temperature as-grown crystalline β-Ga2O3 films via plasma-enhanced atomic layer deposition. ACS Appl. Mater. Interfaces 2021, 13, 8538–8551. [Google Scholar]
- Yadav, M.K.; Mondal, A.; Das, S.; Sharma, S.K.; Bag, A. Impact of annealing temperature on band-alignment of PLD grown Ga2O3/Si (100) heterointerface. J. Alloys Compd. 2020, 819, 153052. [Google Scholar] [CrossRef]
- Fu, B.; Mu, W.X.; Li, Y.; Shi, Y.J.; Li, Y.B.; Jia, Z.T.; Tao, X.T. Investigation of the blue color center in β-Ga2O3 crystals by the EFG method. CrystEngComm 2021, 23, 8360. [Google Scholar] [CrossRef]
- Chen, R.R.; Wang, D.; Liu, J.; Feng, B.; Zhu, H.Y.; Han, X.Y.; Luan, C.N.; Ma, J.; Xiao, H.D. Ta-Doped Ga2O3 epitaxial films on porous p-GaN substrates: Structure and self-powered solar-blind photodetectors. Cryst. Growth Des. 2022, 22, 5285–5292. [Google Scholar] [CrossRef]
- He, C.R.; Guo, D.Y.; Chen, K.; Wang, S.L.; Shen, J.Q.; Zhao, N.; Liu, A.P.; Zheng, Y.Y.; Li, P.G.; Wu, Z.P.; et al. α-Ga2O3 nanorod array-Cu2O microsphere p-n junctions for self-powered spectrum-distinguishable photodetectors. ACS Appl. Nano Mater. 2019, 7, 4095–4103. [Google Scholar] [CrossRef]
- Zhang, Y.Q.; Wang, Y.F.; Fu, R.P.; Ma, J.G.; Xu, H.Y.; Li, B.S.; Liu, Y.C. High performance solar-blind ultraviolet photodetector based on ITO/β-Ga2O3 heterostructure. J. Phys. D Appl. Phys. 2022, 55, 324002. [Google Scholar] [CrossRef]
- Zhou, W.; Xia, C.T.; Sai, Q.L.; Zhang, H.Z. Controlling n-type conductivity of β-Ga2O3 by Nb doping. Appl. Phys. Lett. 2017, 111, 242103. [Google Scholar] [CrossRef]
- Tang, H.L.; He, N.T.; Zhu, Z.C.; Gu, M.; Liu, B.; Xu, J.; Xu, M.X.; Chen, L.; Liu, J.L.; Ouyang, X.P. Temperature-dependence of X-ray excited luminescence of β-Ga2O3 single crystals. Appl. Phys. Lett. 2019, 115, 71904. [Google Scholar] [CrossRef]
- Harwig, T.; Kellendonk, F. Some Observations on the photoluminescence of doped β-Galliumsesquioxide. J. Solid State Chem. 1978, 24, 255–263. [Google Scholar] [CrossRef]
- Harwig, T.; Kellendonk, F.; Slappende, S. The ultraviolet luminescence of β-galliumsesquioxide. J. Phys. Chem. Solids 1978, 39, 673–680. [Google Scholar] [CrossRef]
- Onuma, T.; Fujioka, S.; Yamaguchi, T.; Higashiwaki, M.; Sasaki, K.; Masui, T.; Honda, T. Correlation between blue luminescence intensity and resistivity in β-Ga2O3 single crystals. Appl. Phys. Lett. 2013, 103, 41910. [Google Scholar] [CrossRef]
- Gao, H.T.; Muralidharan, S.; Pronin, N.; Karim, M.R.; White, S.M.; Asel, T.; Foster, G.; Krishnamoorthy, S.; Rajan, S.; Cao, L.R.; et al. Optical signatures of deep level defects in Ga2O3. Appl. Phys. Lett. 2018, 112, 242102. [Google Scholar] [CrossRef]
- Onuma, T.; Nakata, Y.; Sasaki, K.; Masui, T.; Yamaguchi, T.; Honda, T.; Kuramata, A.; Yamakoshi, S.; Higashiwaki, M. Modeling and interpretation of UV and blue luminescence intensity in β-Ga2O3 by silicon and nitrogen doping. J. Appl. Phys. 2018, 1124, 75103. [Google Scholar] [CrossRef]
- Ho, D.Q.; Frauenheim, T.; Deák, P. Origin of photoluminescence in β-Ga2O3. Phys. Rev. B 2018, 97, 115163. [Google Scholar] [CrossRef]
- Wang, S.L.; Sun, H.L.; Wang, Z.; Zeng, X.H.; Ungar, G.; Guo, D.Y.; Shen, J.Q.; Li, P.G.; Liu, A.P.; Li, C.R.; et al. In situ synthesis of monoclinic β-Ga2O3 nanowires on flexible substrate and solar-blind photodetector. J. Alloys Compd. 2019, 787, 133–139. [Google Scholar] [CrossRef]
- Han, N.; Wang, F.Y.; Yang, Z.X.; Yip, S.P.; Dong, G.F.; Lin, H.; Fang, M.; Hung, T.; Ho, J.C. Low-temperature growth of highly crystalline β-Ga2O3 nanowires by solid-source chemical vapor deposition. Nanoscale Res. Lett. 2014, 9, 347. [Google Scholar] [CrossRef] [PubMed]
- Ding, W.; Meng, X. High performance solar-blind UV detector based on β-Ga2O3/GaN nanowires heterojunction. J. Alloys Compd. 2021, 866, 157564. [Google Scholar] [CrossRef]
- Girolami, M.; Bosi, M.; Serpente, V.; Mastellone, M.; Seravalli, L.; Pettinato, S.; Salvatori, S.; Trucchi, M.D.; Fornari, R. Orthorhombic undoped κ-Ga2O3 epitaxial thin films for sensitive, fast, and stable direct X-ray detectors. J. Mater. Chem. C 2023, 11, 3759. [Google Scholar] [CrossRef]







| Mode Symmetry | Ag1 | Bg1 | Ag2 | Ag3 | Ag4 | Ag5 | Ag6 | Ag7 | Ag8 | Bg5 | Ag9 | Ag10 |
|---|---|---|---|---|---|---|---|---|---|---|---|---|
| β-Ga2O3 bulk single crystal | 145 | 169 | 200 | 346 | 417 | 630 | 659 | 767 | ||||
| β-Ga2O3 microbelt | 113 | 144 | 169 | 200 | 320 | 346 | 417 | 476 | 630 | 653 | 659 | 767 |
| Dohy et al. | 111 | 147 | 169 | 199 | 318 | 346 | 415 | 475 | 628 | 651 | 657 | 763 |
Disclaimer/Publisher’s Note: The statements, opinions and data contained in all publications are solely those of the individual author(s) and contributor(s) and not of MDPI and/or the editor(s). MDPI and/or the editor(s) disclaim responsibility for any injury to people or property resulting from any ideas, methods, instructions or products referred to in the content. |
© 2023 by the authors. Licensee MDPI, Basel, Switzerland. This article is an open access article distributed under the terms and conditions of the Creative Commons Attribution (CC BY) license (https://creativecommons.org/licenses/by/4.0/).
Share and Cite
Pan, Y.; Wang, Q.; Yan, Y.; Yang, L.; Wan, L.; Yao, R.; Jiang, Y. Growth of β-Ga2O3 Single-Crystal Microbelts by the Optical Vapor Supersaturated Precipitation Method. Crystals 2023, 13, 801. https://doi.org/10.3390/cryst13050801
Pan Y, Wang Q, Yan Y, Yang L, Wan L, Yao R, Jiang Y. Growth of β-Ga2O3 Single-Crystal Microbelts by the Optical Vapor Supersaturated Precipitation Method. Crystals. 2023; 13(5):801. https://doi.org/10.3390/cryst13050801
Chicago/Turabian StylePan, Yongman, Qiang Wang, Yinzhou Yan, Lixue Yang, Lingyu Wan, Rongcheng Yao, and Yijian Jiang. 2023. "Growth of β-Ga2O3 Single-Crystal Microbelts by the Optical Vapor Supersaturated Precipitation Method" Crystals 13, no. 5: 801. https://doi.org/10.3390/cryst13050801
APA StylePan, Y., Wang, Q., Yan, Y., Yang, L., Wan, L., Yao, R., & Jiang, Y. (2023). Growth of β-Ga2O3 Single-Crystal Microbelts by the Optical Vapor Supersaturated Precipitation Method. Crystals, 13(5), 801. https://doi.org/10.3390/cryst13050801

