ZnSe Nanoparticles for Thermoelectrics: Impact of Cu-Doping
Abstract
1. Introduction
2. Materials and Methods
3. Results and Discussion
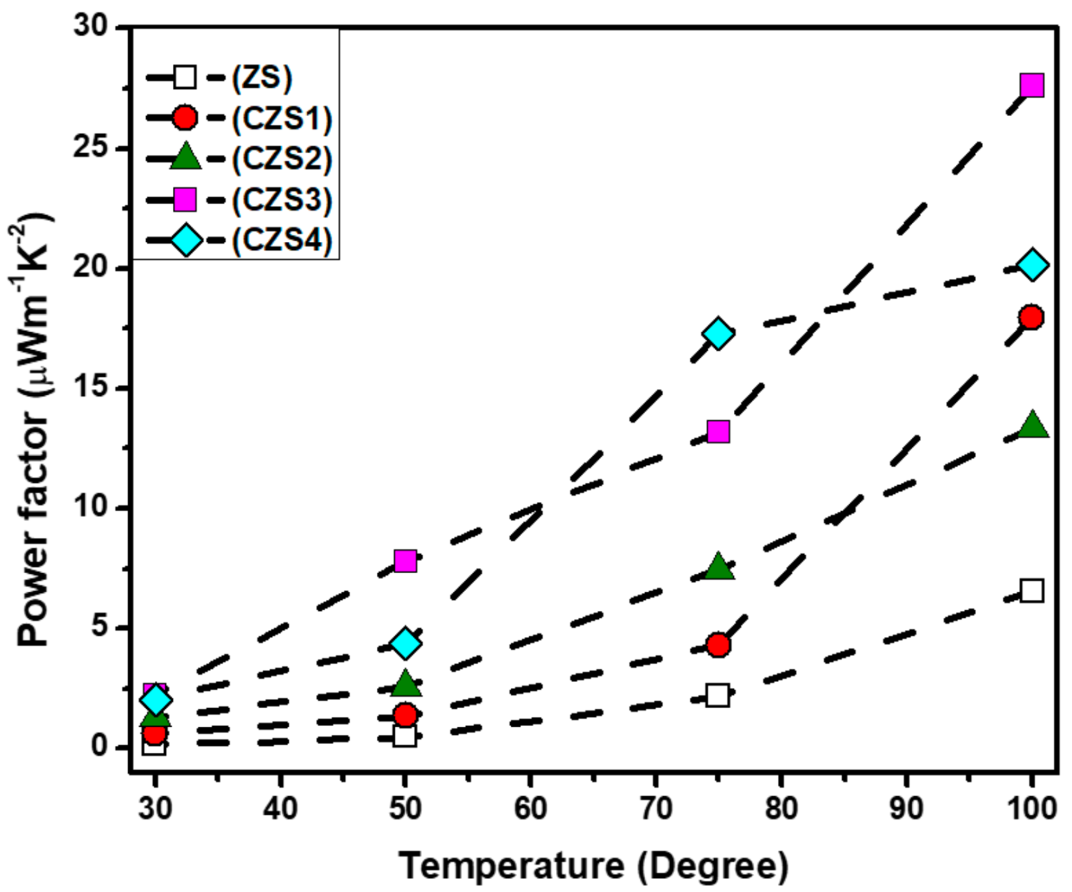
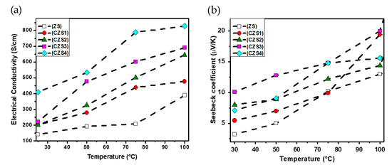
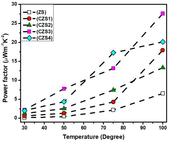
3.1. Thermoelectric Measurements
3.2. Scanning Electron Microscopy
3.3. X-ray Diffraction
3.4. Raman Spectroscopy
4. Conclusions
Author Contributions
Funding
Data Availability Statement
Conflicts of Interest
References
- Dresselhaus, M.S.; Chen, G.; Tang, M.Y.; Yang, R.; Lee, H.; Wang, D.; Ren, Z.; Fleurial, J.P.; Gogna, P. New Directions for Low-Dimensional Thermoelectric Materials. Adv. Mater. 2007, 19, 1043–1053. [Google Scholar] [CrossRef]
- Prete, D.; Erdman, P.A.; Demontis, V.; Zannier, V.; Ercolani, D.; Sorba, L.; Beltram, F.; Rossella, F.; Taddei, F.; Roddaro, S. Thermoelectric Conversion at 30 K in InAs/InP Nanowire Quantum Dots. Nano Lett. 2019, 19, 3033–3039. [Google Scholar] [CrossRef] [PubMed]
- Chen, R.; Lee, J.; Lee, W.; Li, D. Thermoelectrics of Nanowires. Chem. Rev. 2019, 119, 9260–9302. [Google Scholar] [CrossRef] [PubMed]
- Peri, L.; Prete, D.; Demontis, V.; Zannier, V.; Rossi, F.; Sorba, L.; Beltram, F.; Rossella, F. Giant reduction of thermal conductivity and enhancement of thermoelectric performance in twinning superlattice InAsSb nanowires. Nano Energy 2022, 103 Pt A, 107700. [Google Scholar] [CrossRef]
- Rocci, M.; Demontis, V.; Prete, D.; Ercolani, D.; Sorba, L.; Beltram, F.; Pennelli, G.; Roddaro, S.; Rossella, F. Suspended InAs Nanowire-Based Devices for Thermal Conductivity Measurement Using the 3ω Method. J. Mater. Eng. Perform. 2018, 27, 6299. [Google Scholar] [CrossRef]
- Prete, D.; Dimaggio, E.; Demontis, V.; Zannier, V.; Douton, M.-J.R.; Guazzelli, L.; Beltram, F.; Sorba, L.; Pennelli, G.; Rossella, F. Electrostatic Control of the Thermoelectric Figure of Merit in Ion-Gated Nanotransistors. Adv. Funct. Mater. 2021, 31, 2104175. [Google Scholar] [CrossRef]
- Rahman, M.M.; Das, C.; Rahaman, M.M.; Hussain, K.M.A.; Choudhury, S. Effect of Thickness on Structural, Morphological, and Optical Properties of Copper (Cu) Doped Zinc Sele-nide (ZnSe) Thin Films by Vacuum Evaporation Method. J. Bangladesh Acad. Sci. 2019, 43, 159–168. [Google Scholar] [CrossRef]
- Hasaneen, M.F.; Alrowaili, Z.A.; Mohamed, W.S. Structure and optical properties of polycrystalline ZnSe thin films: Validity of Swanepol’s approach for calculating the optical parameters. Mater. Res. Express 2020, 7, 016422. [Google Scholar] [CrossRef]
- Armstrong, S.; Datta, P.; Miles, R. Properties of zinc sulfur selenide deposited using a close-spaced sublimation method. Thin Solid Films 2002, 403–404, 126–129. [Google Scholar] [CrossRef]
- Nakamura, T.; Fujiwara, S.; Mori, H.; Katayama, K. Novel cladding structure for ZnSe-based white light emitting diodes with longer lifetimes of over 10,000 h. Jpn. J. Appl. Phys. 2004, 43, 1287. [Google Scholar] [CrossRef]
- Kouklin, N.; Menon, L.; Wong, A.Z.; Thompson, D.W.; Woollam, J.A.; Williams, P.F.; Bandyopadhyay, S. Giant photoresistivity and optically controlled switching in self-assembled nanowires. Appl. Phys. Lett. 2001, 79, 4423–4425. [Google Scholar] [CrossRef]
- Matsuoka, T. InGaAlN and II–VI Systems for Blue-Green Light-Emitting Devices. Adv. Mater. 1996, 8, 469–479. [Google Scholar] [CrossRef]
- Choudhury, M.G.M.; Islam, M.R.; Rahman, M.M.; Hakim, M.O.; Khan, M.K.R.; Kao, K.J.; Lai, G.R. Preparation and characterization of ZnSe: Al thin films. Acta Phys. Slovaca 2004, 54, 417–425. [Google Scholar]
- Nweze, C.; Ekpunobi, A.J. Electrodeposition of zinc selenide films on different substrates and its characterization. Int. J. Sci. Technol. 2014, 3, 201–203. [Google Scholar]
- Kumaresan, R.; Ichimura, M.; Arai, E. Photochemical deposition of ZnSe polycrystalline thin films and their characterization. Thin Solid Film. 2002, 414, 25–30. [Google Scholar] [CrossRef]
- Lokhande, C.; Patil, P.; Ennaoui, A.; Tributsch, H. Chemical bath ZnSe thin films: Deposition and characterisation. Appl. Surf. Sci. 1998, 123–124, 294–297. [Google Scholar] [CrossRef]
- Islam, A.; Das, C.; Choudhury, S.; Sharmin, M.; Begum, T. Structural and optical characterization of vacuum evaporated zinc selenide thin films. Eur. Sci. J. 2014, 10, 241–253. [Google Scholar]
- Mikulec, F.V.; Kuno, M.; Bennati, M.; Hall, D.A.; Griffin, R.G.; Bawendi, M.G. Organometallic Synthesis and Spectroscopic Characterization of Manganese-Doped CdSe Nanocrystals. J. Am. Chem. Soc. 2000, 122, 2532–2540. [Google Scholar] [CrossRef]
- Lad, A.D.; Rajesh, C.; Khan, M.; Ali, N.; Gopalakrishnan, I.K.; Kulshreshtha, S.K.; Mahamuni, S. Magnetic behavior of manganese-doped ZnSe quantum dots. J. Appl. Phys. 2007, 101, 103906. [Google Scholar] [CrossRef]
- Mahamuni, S.; Lad, A.D.; Patole, S. Photoluminescence Properties of Manganese-Doped Zinc Selenide Quantum Dots. J. Phys. Chem. C 2008, 112, 2271–2277. [Google Scholar] [CrossRef]
- Viswanatha, R.; Battaglia, D.M.; Curtis, M.E.; Mishima, T.D.; Johnson, M.B.; Peng, X. Shape control of doped semiconductor nanocrystals (d-dots). Nano Res. 2008, 1, 138–144. [Google Scholar] [CrossRef]
- Arandhara, G.; Saikia, P.K. Effect of Cu incorporation on the crystallinity, lattice strain, morphology and electrical properties of nanostructured ZnS-PVA thin films. Phys. B Condens. Matter 2021, 610, 412924. [Google Scholar] [CrossRef]
- Kumar, P.; Singh, K. Ferromagnetism in Cu-doped ZnSe semiconducting quantum dots. J. Nanoparticle Res. 2011, 13, 1613–1620. [Google Scholar] [CrossRef]
- Rajesh, C.; Phadnis, C.V.; Sonawane, K.G.; Mahamuni, S. Synthesis and optical properties of copper-doped ZnSe quantum dots. Phys. Scr. 2015, 90, 15803. [Google Scholar] [CrossRef]
- Jacob, J.; Mahmood, K.; Usman, M.Y.; Rehman, U.; Ali, A.; Ashfaq, A.; Amin, N.; Ikram, S.; Hussain, S. Modulation of thermoelectric properties of bulk ZnAlO by annealing in oxygen environment. Phys. B Condens. Matter 2019, 572, 247–250. [Google Scholar] [CrossRef]
- Callen, H. Thermodynamics and an Introduction to Thermostatistics, 2nd ed.; Wiley: Hoboken, NJ, USA, 1991. [Google Scholar]
- Zhang, X.; Yu, K.M.; Kronawitter, C.X.; Ma, Z.; Yu, P.Y.; Mao, S.S. Heavy p-type doping of ZnSe thin films using Cu2Se in pulsed laser deposition. Appl. Phys. Lett. 2012, 101, 042107. [Google Scholar] [CrossRef]
- Liu, J.; Calcabrini, M.; Yu, Y.; Lee, S.; Chang, C.; David, J.; Ghosh, T.; Spadaro, M.C.; Xie, C.; Cojocaru-Mirèdin, O.; et al. Defect Engineering in Solution-Processed Polycrystalline SnSe Leads to High Thermoelectric Performance. ACS Nano 2022, 16, 78–88. [Google Scholar] [CrossRef] [PubMed]
- Neophytou, N.; Zianni, X.; Kosina, H.; Frabboni, S.; Lorenzi, B.; Narducci, D. Simultaneous increase in electrical conductivity and Seebeck coefficient in highly boron-doped nanocrystalline Si. Nanotechnology 2013, 24, 205402. [Google Scholar] [CrossRef]
- Flamee, S.; Dierick, R.; Cirillo, M.; Van Genechten, D.; Aubert, T.; Hens, Z. Synthesis of metal selenide colloidal nanocrystals by the hot injection of selenium powder. Dalton Trans. 2013, 42, 12654–12661. [Google Scholar] [CrossRef]
- Li, H.; Wang, B.; Li, L. Study on Raman spectra of zinc selenide nanopowders synthesized by hydrothermal method. J. Alloys Compd. 2010, 506, 327–330. [Google Scholar] [CrossRef]
- Vinod, T.; Jin, X.; Kim, J. Hexagonal nanoplatelets of CuSe synthesized through facile solution phase reaction. Mater. Res. Bull. 2011, 46, 340–344. [Google Scholar] [CrossRef]
- Barman, B.; Handique, K.; Nanung, Y.; Kalita, P. Synthesis and characterization of chemically synthesized CuSe nanoparticles for photovoltaic application. Mater. Today Proc. 2020, 46, 6213–6217. [Google Scholar] [CrossRef]
- Beena, V.; Rayar, S.L.; Ajitha, S.; Ahmad, A.; Iftikhar, F.J.; Abualnaja, K.M.; Alomar, T.S.; Ouladsmne, M.; Ali, S. Photocatalytic Dye Degradation and Biological Activities of Cu-Doped ZnSe Nanoparticles and Their Insights. Water 2021, 13, 2561. [Google Scholar] [CrossRef]
- Ghahramanifard, F.; Rouhollahi, A.; Fazlolahzadeh, O. Electrodeposition of Cu-doped p-type ZnO nanorods; effect of Cu doping on structural, optical and photoelectrocatalytic property of ZnO nanostructure. Superlattices Microstruct. 2018, 114, 1–14. [Google Scholar] [CrossRef]
- Holzwarth, U.; Gibsong, N. The Scherrer equation versus the ‘Debye-Scherrer equation’. Nat. Nanotechnol. 2011, 6, 534. [Google Scholar] [CrossRef] [PubMed]
- Cullity, B.D.; Stock, S.R. Elementary of X-ray Diffraction, Englewood Cliffs, 3rd ed.; Prentice-Hall: Hoboken, NJ, USA, 2001. [Google Scholar]
- Arshad Javid, M.; Rafi, M.; Ali, I.; Hussain, F.; Imran, M.; Ali, N. Synthesis and study of structural properties of Sn doped ZnO nanoparticles. Mater. Sci. Poland 2016, 34, 741–746. [Google Scholar] [CrossRef]
- Yon, V.; Rochat, N.; Charles, M.; Nolot, E.; Gergaud, P. X-ray Diffraction Microstrain Analysis for Extraction of Threading Dislocation Density of GaN Films Grown on Silicon, Sapphire, and SiC Substrates. Phys. Status Solidi B 2020, 257, 1900579. [Google Scholar] [CrossRef]
- Rehman, U.; Jacob, J.; Mahmood, A.; Mahmood, K.; Ali, A.; Ashfaq, A.; Basit, M.; Amin, N.; Ikram, S.; Hussain, S. Modulation of secondary phases in hydrothermally grown zinc oxide nanostructures by varying the Cu dopant concentration for enhanced thermo power. J. Alloys Compd. 2020, 843, 156081. [Google Scholar] [CrossRef]
- Jacob, J.; Rehman, U.; Mahmood, K.; Ali, A.; Mehboob, K.; Ashfaq, A.; Ikram, S.; Amin, N.; Hussain, S.; Ashraf, F. Improved thermoelectric per-formance of Al and Sn doped ZnO nano particles by the engineering of secondary phases. Ceram. Int. 2020, 46, 15013–15017. [Google Scholar] [CrossRef]
- Narducci, D.; Selezneva, E.; Cerofolini, G.; Frabboni, S.; Ottaviani, G. Impact of energy filtering and carrier localization on the thermoelectric properties of granular semicon-ductors. J. Solid State Chem. 2012, 193, 19–25. [Google Scholar] [CrossRef]
- Caridad, J.M.; Rossella, F.; Bellani, V.; Grandi, M.S.; Diez, E. Automated detection and characterization of graphene and few-layer graphite via Raman spectroscopy. J. Raman Spectrosc. 2011, 42, 286–293. [Google Scholar] [CrossRef]
- Bellucci, S.; Chiaretti, M.; Onorato, P.; Rossella, F.; Grandi, M.S.; Galinetto, P.; Sacco, I.; Micciulla, F. Micro-Raman study of the role of sterilization on carbon nanotubes for biomedical applications. Nanomedicine 2010, 5, 209–215. [Google Scholar] [CrossRef] [PubMed]
- Hu, Z.D.; Duan, X.F.; Gao, M.; Chen, Q.; Peng, L.-M. ZnSe Nanobelts and Nanowires Synthesized by a Closed Space Vapor Transport Technique. J. Phys. Chem. C 2007, 111, 2987–2991. [Google Scholar] [CrossRef]
- Minceva-Sukarova, B.; Najdoski, M.; Grozdanov, I.; Chunnilall, C. Raman spectra of thin solid films of some metal sulfides. J. Mol. Struct. 1997, 410–411, 267–270. [Google Scholar] [CrossRef]
- Sakr, G.; Yahia, I.; Fadel, M.; Fouad, S.; Romčević, N. Optical spectroscopy, optical conductivity, dielectric properties and new methods for determining the gap states of CuSe thin films. J. Alloys Compd. 2010, 507, 557–562. [Google Scholar] [CrossRef]
- Ramdani, O.; Guillemoles, J.; Lincot, D.; Grand, P.; Chassaing, E.; Kerrec, O.; Rzepka, E. One-step electrodeposited CuInSe2 thin films studied by Raman spectroscopy. Thin Solid Films 2007, 515, 5909–5912. [Google Scholar] [CrossRef]






Disclaimer/Publisher’s Note: The statements, opinions and data contained in all publications are solely those of the individual author(s) and contributor(s) and not of MDPI and/or the editor(s). MDPI and/or the editor(s) disclaim responsibility for any injury to people or property resulting from any ideas, methods, instructions or products referred to in the content. |
© 2023 by the authors. Licensee MDPI, Basel, Switzerland. This article is an open access article distributed under the terms and conditions of the Creative Commons Attribution (CC BY) license (https://creativecommons.org/licenses/by/4.0/).
Share and Cite
Demontis, V.; Isram, M.; Abbas Khan, N.; Amin, N.; Mahmood, K.; Rossella, F. ZnSe Nanoparticles for Thermoelectrics: Impact of Cu-Doping. Crystals 2023, 13, 695. https://doi.org/10.3390/cryst13040695
Demontis V, Isram M, Abbas Khan N, Amin N, Mahmood K, Rossella F. ZnSe Nanoparticles for Thermoelectrics: Impact of Cu-Doping. Crystals. 2023; 13(4):695. https://doi.org/10.3390/cryst13040695
Chicago/Turabian StyleDemontis, Valeria, Muhammad Isram, Najaf Abbas Khan, Nasir Amin, Khalid Mahmood, and Francesco Rossella. 2023. "ZnSe Nanoparticles for Thermoelectrics: Impact of Cu-Doping" Crystals 13, no. 4: 695. https://doi.org/10.3390/cryst13040695
APA StyleDemontis, V., Isram, M., Abbas Khan, N., Amin, N., Mahmood, K., & Rossella, F. (2023). ZnSe Nanoparticles for Thermoelectrics: Impact of Cu-Doping. Crystals, 13(4), 695. https://doi.org/10.3390/cryst13040695

