Cooperative Ternary Assemblies Involving Anion–π/π–π/Anion–π Assemblies and Unconventional Cl⋯Cl Interactions in Cu(II) Coordination Compounds: Experimental and Theoretical Studies
Abstract
1. Introduction
2. Experimental Section
2.1. Materials and Methods
2.2. Syntheses
2.2.1. Synthesis of [Cu(phen)2Cl]NO3·H2O (Compound 1)
2.2.2. Synthesis of [Cu2(µ-Cl2)Cl2(Hdmpz)4] (Compound 2)
2.3. Crystallographic Data Collection and Refinement
2.4. Theoretical Methods
3. Results
3.1. Synthesis and General Aspects
3.2. Crystal Structure Analysis
3.3. Spectral Studies
3.3.1. FT-IR Spectroscopy
3.3.2. Electronic Spectroscopy
3.4. Thermogravimetric Analysis
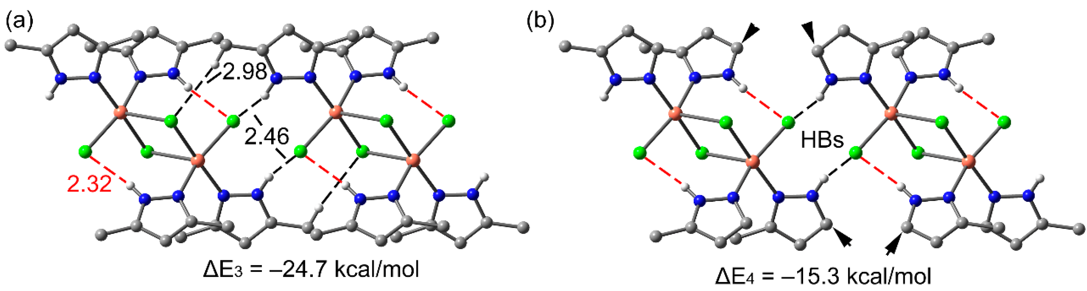
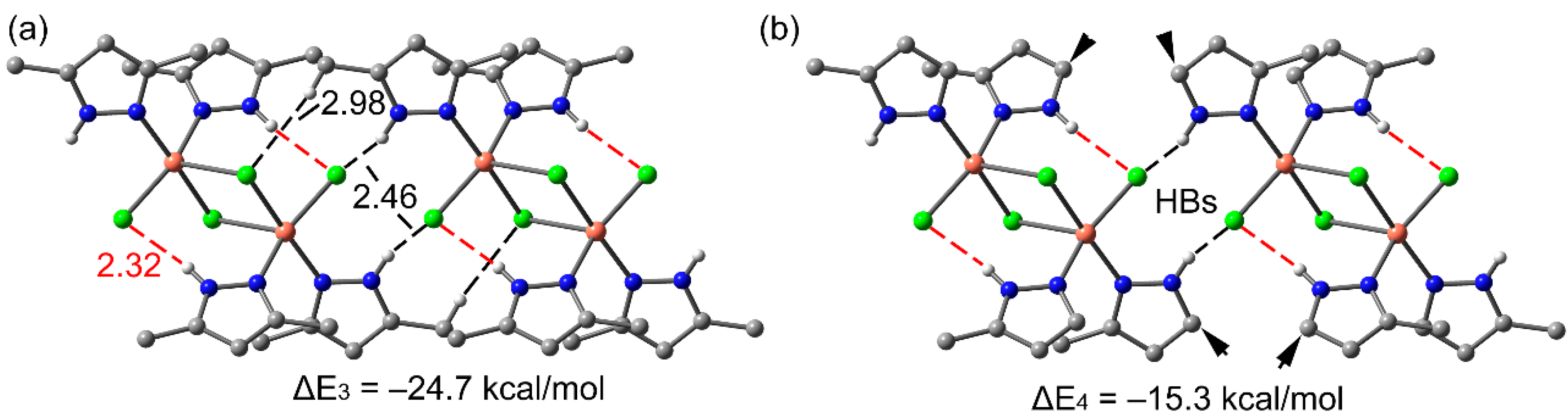
3.5. Theoretical Study
4. Conclusions
Supplementary Materials
Author Contributions
Funding
Data Availability Statement
Conflicts of Interest
References
- Li, X.; Kang, Q.; Liu, L.; Ma, J.; Dong, W. Trinuclear Co(II) and mononuclear Ni(II) salamo-type bisoxime coordination compounds. Crystals 2018, 8, 43. [Google Scholar] [CrossRef]
- Gu, J.; Wen, M.; Cai, Y.; Shi, Z.; Nesterov, D.S.; Kirillova, M.V.; Kirillov, A.M. Cobalt(II) coordination polymers assembled from unexplored pyridine-carboxylic acids: Structural diversity and catalytic oxidation of alcohols. Inorg. Chem. 2019, 58, 5875–5885. [Google Scholar] [CrossRef] [PubMed]
- Tang, L.; Tang, L.; Wang, D.; Deng, H.; Chen, K. Metal and ligand effects on the stability and electronic properties of crystalline two-dimensional metal-benzenehexathiolate coordination compounds. J. Phys. Condens. Matter 2018, 30, 465301–465306. [Google Scholar] [CrossRef] [PubMed]
- Abdel-Rahman, L.H.; Abdelhamid, A.A.; Abu-Dief, A.M.; Shehata, M.R.; Bakheeta, M.A. Facile synthesis, X-Ray structure of new multi-substituted aryl imidazole ligand, biological screening and DNA binding of its Cr(III), Fe(III) and Cu(II) coordination compounds as potential antibiotic and anticancer drugs. J. Mol. Struct. 2020, 1200, 127034–127045. [Google Scholar] [CrossRef]
- Adam, R.; Mon, M.; Greco, R.; Kalinke, L.H.G.; Vidal-Moya, A.; Fernandez, A.; Winpenny, R.E.P.; Domenech-Carbo, A.; Leyva-Perez, A.; Armentano, D.; et al. Self-assembly of catalytically active supramolecular coordination compounds within metal-organic frameworks. J. Am. Chem. Soc. 2019, 141, 10350–10360. [Google Scholar] [CrossRef] [PubMed]
- Gu, J.; Cai, Y.; Liang, X.; Wu, J.; Shi, Z.; Kirillov, A.M. Bringing 5-(3,4-dicarboxylphenyl)picolinic acid to crystal engineering research: Hydrothermal assembly, structural features and photocatalytic activity of Mn, Ni, Cu, and Zn coordination polymers. CrystEngComm 2018, 20, 906–916. [Google Scholar] [CrossRef]
- Aakeroy, C.B.; Champness, N.R.; Janiak, C. Recent advances in crystal engineering. CrystEngComm 2010, 12, 22–43. [Google Scholar] [CrossRef]
- Schiebi, J.; Schulmeister, J.; Doppiu, A.; Worner, E.; Rudolph, M.; Karch, R.; Hashmi, A.S.K. An industrial perspective on counter anions in gold catalysis: On alternative counter anions. Adv. Synth. Catal. 2018, 360, 3949–3954. [Google Scholar]
- Khavasi, H.R.; Sadegh, B.M.M. Temperature-dependent supramolecular motif in coordination compounds. Inorg. Chem. 2010, 49, 5356–5358. [Google Scholar] [CrossRef]
- Bi, W.Y.; Lv, X.Q.; Chai, W.L.; Jin, W.J.; Song, J.R.; Wong, W.K. Synthesis, structure and near-infrared (NIR) luminescence of three solvent-induced pseudo-polymorphic complexes from a bimetallic Zn–Nd Schiff-base molecular unit. Inorg. Chem. Commun. 2008, 11, 1316–1319. [Google Scholar] [CrossRef]
- Bhattacharyya, M.K.; Saha, U.; Dutta, D.; Das, A.; Verma, A.K.; Frontera, A. Solvent-driven structural topology involving energetically significant intra- and intermolecular chelate ring contacts and anticancer activities of Cu(II) phenanthroline complexes involving benzoates: Experimental and theoretical studies. RSC Adv. 2019, 9, 16339–16356. [Google Scholar] [CrossRef]
- Scheiner, S. Non-Covalent Forces; Springer: Dordrecht, The Netherlands, 2015. [Google Scholar]
- Maharramov, A.M.; Mahmudov, M.K.; Kopylovich, M.N.; Pombeiro, A.J.L. (Eds.) Non-Covalent Interactions in the Synthesis and Design of New Compounds; John Wiley & Sons, Inc.: Hoboken, NJ, USA, 2016. [Google Scholar]
- Desiraju, G.R. Chemistry beyond the molecule. Nature 2001, 412, 397–400. [Google Scholar] [CrossRef]
- Mahmudov, K.T.; Kopylovich, M.N.; Silva, M.F.C.G.; Pombeiro, A.J.L. Non-covalent interactions in the synthesis of coordination compounds: Recent advances. Coord. Chem. Rev. 2017, 345, 54–72. [Google Scholar] [CrossRef]
- Mahmudov, K.T.; Kopylovich, M.N.; Silva, M.F.C.G.; Pombeiro, A.J.L. Chalcogen bonding in synthesis, catalysis and design of materials. Dalton Trans. 2017, 46, 10121–10138. [Google Scholar] [CrossRef]
- Sadhukhan, A.; Brandão, P.; Saha, S.; Mal, D.; Sepay, N. Insight into non-covalent interactions in 1D Gd-based coordination polymer for solid-state self-assembly through a new supramolecular synthon. J. Mol. Struct. 2023, 1272, 134204. [Google Scholar] [CrossRef]
- Uslu, A.; Yeşilot, S. Recent advances in the supramolecular assembly of cyclophosphazene derivatives. Dalton Trans. 2021, 50, 2324–2341. [Google Scholar] [CrossRef]
- Novikov, A.S. Non-Covalent Interactions in Organic, Organometallic, and Inorganic Supramolecular Systems Relevant for Medicine, Materials Science, and Catalysis. Crystals 2022, 12, 246. [Google Scholar] [CrossRef]
- Weinhold, F.; Klein, R.A. What is a hydrogen bond? Mutually consistent theoretical and experimental criteria for characterizing H-bonding interactions. Mol. Phys. 2010, 110, 565–579. [Google Scholar] [CrossRef]
- Mundlapati, V.R.; Sahoo, D.K.; Bhaumik, S.; Jena, S.; Chandrakar, A.; Biswal, H.S. Non-covalent carbon-bonding interactions in proteins. Angew. Chem. Int. Ed. 2018, 57, 16496–16500. [Google Scholar] [CrossRef]
- Steed, J.W.; Atwood, J.L. Supramolecular Chemistry, 2nd ed.; John Wiley & Sons Ltd.: Chichester, UK, 2009. [Google Scholar]
- Salonen, L.M.; Ellermann, M.; Diederich, F. Aromatic rings in chemical and biological recognition: Energetics and structures. Angew. Chem. Int. Ed. 2011, 50, 4808–4842. [Google Scholar] [CrossRef]
- Neel, A.J.; Hilton, M.J.; Sigman, M.S.; Toste, F.D. Exploiting non-covalent π-interactions for catalyst design. Nature 2017, 543, 637–646. [Google Scholar] [CrossRef] [PubMed]
- Mak, C.H. Unraveling base stacking driving forces in DNA. J. Phys. Chem. B 2016, 120, 6010–6020. [Google Scholar] [CrossRef]
- Rather, I.A.; Wagay, S.A.; Ali, R. Emergence of anion-π interactions: The land of opportunity in supramolecular chemistry and beyond. Coord. Chem. Rev. 2020, 415, 213327–213396. [Google Scholar] [CrossRef]
- Sharma, P.; Sarma, P.; Frontera, A.; Barcelo-Oliver, M.; Verma, A.K.; Sarma, B.; Barthakur, T.; Bhattacharyya, M.K. Energetically significant cooperative π-stacked ternary assemblies in Ni(II) phenanthroline compounds involving discrete water clusters: Anticancer activities and theoretical studies. J. Mol. Struct. 2021, 1229, 129486–129502. [Google Scholar] [CrossRef]
- Nath, H.; Sharma, P.; Gomila, R.M.; Frontera, A.; Barceló-Oliver, M.; Verma, A.K.; Dutta, K.; Bhattacharyya, M.K. Unconventional enclathration of guest adipic acid and energetically significant antiparallel π-stacked ternary assemblies involving unusual regium-π(chelate) contacts in phenanthroline-based Ni(II) and Cu(II) compounds: Antiproliferative evaluation and theoretical studies. J. Mol. Struct. 2021, 1245, 131038–131049. [Google Scholar]
- Belkova, N.V.; Epstein, L.M.; Filippov, O.A.; Shubina, E.S. Hydrogen and dihydrogen bonds in the reactions of metal hydrides. Chem. Rev. 2016, 116, 8545–8587. [Google Scholar] [CrossRef]
- Avdeeva, V.V.; Vologzhanina, A.V.; Malinina, E.A.; Kuznetsov, N.T. Dihydrogen bonds in salts of boron cluster anions [BnHn]2− with protonated heterocyclic organic bases. Crystals 2019, 9, 330. [Google Scholar] [CrossRef]
- Kravchenko, E.A.; Gippius, A.A.; Kuznetsov, N.T. Non-covalent interactions in compounds based on perchlorinated boron cluster as monitored by 35Cl NQR. Russ. J. Inorg. Chem. 2020, 65, 546–566. [Google Scholar] [CrossRef]
- Juárez-Pérez, E.J.; Núñez, R.; Viñas, C.; Sillanpää, R.; Teixidor, F. The role of C–H···H–B interactions in establishing rotamer configurations in metallabis(dicarbollide) systems. Eur. J. Inorg. Chem. 2010, 21, 2385–2392. [Google Scholar] [CrossRef]
- Desiraju, G.R.; Ho, P.S.; Kloo, L.; Legon, A.C.; Marquardt, R.; Metrangolo, P.; Politzer, P.; Resnati, G.; Rissanen, K. Definition of the halogen bond. Pure Appl. Chem. 2013, 85, 1711–1713. [Google Scholar] [CrossRef]
- Panini, P.; Boel, E.; Meervelt, L.V.; Mooter, G.V. Solvatomorphism in miconazole: The role of weak C–H···Cl hydrogen bonds and C–Cl···Cl–C Halogen interactions in similarities and differences in the crystal packing. Cryst. Growth Des. 2022, 22, 2703–2724. [Google Scholar] [CrossRef]
- Cavallo, G.; Metrangolo, P.; Milani, R.; Pilati, T.; Priimagi, A.; Resnati, G.; Terraneo, G. The halogen bond. Chem. Rev. 2016, 116, 2478–2601. [Google Scholar] [CrossRef]
- Wang, R.; Dols, T.S.; Lehmann, C.W.; Englert, U. The halogen bond made visible experimental charge densityof a very short intermolecular Cl···Cl donor-acceptor contact. Chem. Commun. 2012, 48, 6830–6832. [Google Scholar] [CrossRef]
- Buifeld, D.; Engelage, E.; Mancheski, L.; Stoesser, J.; Huber, S.M. Crystal engineering with multipoint halogen bonding: Double two point donors and acceptors at work. Chem. Eur. J. 2020, 26, 1567–1575. [Google Scholar]
- Hoque, M.N.; Das, G. Overview of the strategic approaches for the solid-state recognition of hydrated anions. CrystEngComm 2017, 19, 1343–1360. [Google Scholar] [CrossRef]
- Aletti, A.B.; Blasco, S.; Aramballi, S.J.; Kruger, P.E.; Gunnlaugsson, T. Sulfate-templated 2D anion-layered supramolecular self-assemblies. Chem 2019, 5, 2617–2629. [Google Scholar] [CrossRef]
- Deegan, C.; McCann, M.; Devereux, M.; Coyle, B.; Egan, D.A. In vitro cancer chemotherapeutic activity of 1,10-phenanthroline (phen), [Ag2(phen)3(mal)]·2H2O, [Cu(phen)2(mal)]·2H2O and [Mn(phen)2(mal)]·2H2O (malH2 = malonic acid) using human cancer cells. Cancer Lett. 2007, 247, 224–233. [Google Scholar] [CrossRef]
- Prugovečki, B.; Vušak, D.; Ležaić, K.; Jurković, M. Ternary coordination compounds of copper with amino acids and 1,10-phenanthroline–structural insight and biological activity. Acta Cryst. 2021, A77, 975–983. [Google Scholar] [CrossRef]
- Vušak, D.; Ležaić, K.; Jurec, J.; Žilić, D.; Prugovečki, B. Solvent effects on the crystallization and structure of ternary copper(II) coordination compounds with l-threonine and 1,10-phenanthroline. Heliyon 2022, 8, 9556–9567. [Google Scholar] [CrossRef]
- Avdeeva, V.V.; Malinina, E.A.; Zhizhin, K.Y.; Kuznetsov, N.T. Structural diversity of cationic copper(II) complexes with neutral nitrogen-containing organic ligands in compounds with boron cluster anions and their derivatives. Russ. J. Inorg. Chem. 2020, 65, 514–534. [Google Scholar] [CrossRef]
- Bencini, A.; Lippolis, V. 1,10-Phenanthroline: A versatile building block for the construction of ligands for various purposes. Coord. Chem. Rev. 2010, 254, 2096–2180. [Google Scholar] [CrossRef]
- Teixeira, F.J.; Flores, L.S.; Valverde, T.; Escobar, L.B.L.; Reis, M.S.; Corrêa, C.C. Synthesis and magnetic properties of two cobalt-coordination polymers containing 1,10-phenanthroline and alkyl dicarboxylates ligands. J. Mol. Struct. 2022, 1261, 132820. [Google Scholar] [CrossRef]
- Romo, A.I.B.; Reis, M.P.; Nascimento, O.R.; Bernhardt, P.V.; Rodríguez-López, J.; Diógenes, I.C.N. Interplay of electronic and geometric structure on Cu phenanthroline, bipyridine and derivative complexes, synthesis, characterization, and reactivity towards oxygen. Coord. Chem. Rev. 2023, 477, 214943. [Google Scholar] [CrossRef]
- Beheshti, A.; Mousavifard, E.S.; Noorizadeh, S.; Mayer, P.; Woźniak, K. Impact of cyanide co-ligand to convert crystal structure of pyrazole-based copper coordination compounds from a dinuclear to a polymeric structure and DFT calculations of [Cu2(tpmp)X2] (X = Cl and I). Inorg. Chim. Acta 2019, 497, 119082–119091. [Google Scholar] [CrossRef]
- Direm, A.; Bali, B.E.; Sayin, K.; Abdelbaky, M.S.M.; García-Granda, S. Experimental and in silico studies of dichloro-tetrakis(1H-pyrazole)-cobalt(II): Structural description, photoluminescent behavior and molecular docking. J. Mol. Struct. 2021, 1235, 130266–130280. [Google Scholar] [CrossRef]
- Kreiger, D.I.; Mathivathanan, L.; Raptis, R.G. Coordination polymers based on pyrazole-4-carboxaldehyde-containing Cu3N6metallacycles as building units. CrystEngComm 2019, 21, 3047–3055. [Google Scholar] [CrossRef]
- Mörtel, M.; Lindner, T.; Scheurer, A.; Heinemann, F.W.; Khusniyarov, M.M. Phenanthroline-based molecular switches for prospective chemical grafting: A synthetic strategy and its application to spin-crossover complexes. Inorg. Chem. 2020, 59, 2659–2666. [Google Scholar] [CrossRef]
- Saleh, D.I.; Mahmoud, S.F.; Etaiw, S.E.H. Nanoscale supramolecular architectures assembly of copper cyanide, organotin, and 1,10-phenanthroline coordination polymers: Design and biological applications. Appl. Organomet. Chem. 2021, 35, 6247–6258. [Google Scholar] [CrossRef]
- Champaka, G.; Senthilkumar, K.; David, E.; Shanmugan, S.; Palanisami, N. Monomeric zinc ferrocene carboxylate [Zn(FcCOO)(3,5-dmp)2Cl] derived from 3,5-dimethylpyrazole: Structural, optical, electrochemical and antimicrobial studies. J. Mol. Struct. 2021, 1228, 129749–129758. [Google Scholar] [CrossRef]
- Tayo, A.D.; Djoumbissie, A.; Golngar, D.; Fomuta, T.R.; Tagne, A.C.K.; Anguile, J.J.; Ngoune, J.N.; Eleuterio, A. Syntheses, characterization and DFT studies of two new homo-dinuclear zinc(II) complexes based on pyrazole and 3,5-dimethylpyrazole ligands. J. Coord. Chem. 2020, 73, 2055–2068. [Google Scholar] [CrossRef]
- APEX3, SAINT, SADABS and XP, Bruker AXS Inc.: Madison, WI, USA, 2015.
- Sheldrick, G.M. Crystal structure refinement with SHELXL. ActaCrystallogr. Sect. A Found. Crystallogr. 2008, 64, 112–122. [Google Scholar] [CrossRef]
- Farrugia, L.J. WinGX and ORTEP for Windows: An update. J. Appl. Crystallogr. 1999, 32, 837–838. [Google Scholar] [CrossRef]
- Brandenburg, K. Diamond 3.1f; Crystal Impact GbR: Bonn, Germany, 2008. [Google Scholar]
- Grimme, S.; Antony, J.; Ehrlich, S.; Krieg, H. A consistent and accurate ab initio parametrization of density functional dispersion correction (DFT-D) for the 94 elements H-Pu. J. Chem. Phys. 2010, 132, 154104–154119. [Google Scholar] [CrossRef]
- Weigend, F. Accurate Coulomb-fitting basis sets for H to Rn. Phys. Chem. Chem. Phys. 2006, 8, 1057–1065. [Google Scholar] [CrossRef]
- Ahlrichs, R.; Bar, M.; Hacer, M.; Horn, H.; Kömel, C. Electronic structure calculations on workstation computers: The program system turbomole. Chem. Phys. Lett. 1989, 162, 165–169. [Google Scholar] [CrossRef]
- Contreras-Garcia, J.; Johnson, E.R.; Keinan, S.; Chaudret, R.; Piquemal, J.P.; Beratan, D.N.; Yang, W. NCIPLOT: A program for plotting non-covalent interaction regions. J. Chem. Theory Comput. 2011, 7, 625–632. [Google Scholar] [CrossRef]
- Bader, R.F.W. Atoms in molecules. Chem. Rev. 1991, 91, 893–928. [Google Scholar] [CrossRef]
- Lu, T.; Chen, F. Multiwfn: A multifunctional wavefunction analyzer. J. Comput. Chem. 2012, 33, 580–592. [Google Scholar] [CrossRef]
- Humphrey, J.W.; Dalke, A.; Schulten, K. VMD: Visual molecular dynamics. J. Mol. Graph. 1996, 14, 33–38. [Google Scholar] [CrossRef]
- Al-Fakeh, M.S.; Allazzam, G.A.; Yarkandi, N.H. Ni(II), Cu(II), Mn(II) and Fe(II) metal complexes containing 1,3-Bis(diphenylphosphino)propane and pyridine derivative: Synthesis, characterization, and antimicrobial activity. Int. J. Biomat. 2021, 44, 4981367. [Google Scholar] [CrossRef]
- Kottke, T.; Stalk, D. Crystal handling at low temperatures. J. Appl. Cryst. 1993, 26, 615–619. [Google Scholar] [CrossRef]
- Chandrasekhar, V.; Kingsley, S.; Vij, A.; Lam, K.C.; Rheingold, A.L. Formation of a tetranuclear copper(II) cluster assembled by metal-assisted hydrolysis and desulfurization of bis(3,5-dimethylpyrazolyl)methylphosphinesulfide, MeP(S)(3,5-Me2Pz)2. Inorg. Chem. 2000, 39, 3238–3242. [Google Scholar] [CrossRef]
- Gogoi, G.; Nath, J.K.; Hoque, N.; Biswas, S.; Gour, N.K.; Kalita, D.J.; Bora, S.R.; Bania, K.K. Single and multiple site Cu(II) catalysts for benzyl alcohol and catechol oxidation reactions. Appl. Catal. A 2022, 644, 118816–118832. [Google Scholar] [CrossRef]
- Boys, D. Structure of Chlorobis(l,10-phenanthroline)copper(II) Nitrate Monohydrate. Acta Cryst. 1988, C44, 1539–1541. [Google Scholar]
- Kumari, N.; Ward, B.D.; Kar, S.; Mishra, L. Reactivity of nitrilotriacetic acid with polypyridyl protected as well as naked copper(II) nitrate. Polyhedron 2012, 33, 425–434. [Google Scholar] [CrossRef]
- Li, M. CCDC 726816; CSD Communication: Austin, TX, USA, 2020. [Google Scholar] [CrossRef]
- Sheldrick, G.M. A Short History of SHELX, SHELXTL Reference Manual; Bruker-AXS, Inc.: Madison, WI, USA, 1997. [Google Scholar]
- Wilson, A.J.C. Statistical bias in least-squares refinement. Acta Cryst. 1976, A32, 994–996. [Google Scholar] [CrossRef]
- Addison, A.W.; Rao, T.; Reedijk, J.; Rijn, J.V.; Verschoor, G. Synthesis, structure and spectroscopic properties of copper(II) compounds containing nitrogen–sulphur donor ligands; the crystal and molecular structure of aqua[1,7-bis(N-methylbenzimidazol-2′-yl)-2,6-dithiaheptane]copper(II) perchlorate. Dalton Trans. 1984, 7, 1349–1356. [Google Scholar] [CrossRef]
- Sancheti, R.S.; Bendre, R.S.; Kumbhar, A.A. Cu(II), Ni(II), Zn(II) and Fe(III) complexes containing a N2O2 donor ligand: Synthesis, characterization, DNA cleavage studies and crystal structure of [Cu(HL)Cl]. Polyhedron 2012, 31, 12–18. [Google Scholar] [CrossRef]
- Youngme, S.; Wannarit, N.; Pakawatchai, C.; Chaichit, N.; Somsook, E.; Turpeinen, U.; Mutikainen, I. Structural diversities and spectroscopic properties of bis and tris (1, 10-phenanthroline) copper(II) complexes. Polyhedron 2007, 26, 1459–1468. [Google Scholar] [CrossRef]
- Dutta, D.; Nath, H.; Frontera, A.; Bhattacharyya, M.K. A novel oxalato bridged supramolecular ternary complex of Cu(II) involving energetically significant π-hole interaction: Experimental and theoretical studies. Inorg. Chim. Acta 2019, 487, 354–361. [Google Scholar] [CrossRef]
- Islam, S.M.N.; Dutta, D.; Sharma, P.; Verma, A.K.; Frontera, A.; Bhattacharyya, M.K. Supramolecular association involving antiparallel CO⋯CO and anion–π contacts in Co(II) and Mn(II) complexes involving 2,5-pyridinedicarboxylate: Anticancer evaluation and theoretical studies. Inorg. Chim. Acta 2019, 498, 119108–119118. [Google Scholar] [CrossRef]
- Garau, C.; Frontera, A.; Quinonero, D.; Russo, N.; Deya, P.M. RI-MP2 and MPWB1K study of π–anion−π′ complexes: MPWB1K performance and some additivity aspects. J. Chem. Theory Comput. 2011, 7, 3012–3018. [Google Scholar] [CrossRef]
- Sharma, P.; Sarma, P.; Frontera, A.; Hussain, S.; Verma, A.K.; Bhattacharyya, M.K. Energetically Significant Anti-parallel π-stacking and Unconventional Anion-π interactions in Phenanthroline based Ni(II) and Cu(II) Coordination Compounds: Antiproliferative Evaluation and Theoretical Studies. Inorg. Chim. Acta 2021, 516, 120082–120093. [Google Scholar] [CrossRef]
- Gogoi, A.; Das, A.; Frontera, A.; Verma, A.K.; Bhattacharyya, M.K. Energetically significant unconventional π-π contacts involving fumarate in a novel coordination polymer of Zn(II): In-vitro anticancer evaluation and theoretical studies. Inorg. Chim. Acta 2019, 493, 1–13. [Google Scholar] [CrossRef]
- Chkirate, K.; Fettach, S.; Karrouchi, K.; Sebbar, N.K.; Essassi, M.; Mague, J.T.; Radi, S.; Faouzi, A.; Adarsh, N.N.; Garcia, Y. Novel Co(II) and Cu(II) coordination complexes constructed from pyrazole-acetamide: Effect of hydrogen bonding on the self assembly process and antioxidant activity. J. Inorg. Biochem. 2019, 191, 21–28. [Google Scholar] [CrossRef]
- Das, A.; Sharma, P.; Frontera, A.; Verma, A.K.; Barcelo-Oliver, M.; Hussain, S.; Bhattacharyya, M.K. Energetically significant nitrile⋯nitrile and unconventional C–H⋯π(nitrile) interactions in pyridine based Ni(II) and Zn(II) coordination compounds: Antiproliferative evaluation and theoretical studies. J. Mol. Struct. 2020, 1223, 129246–129259. [Google Scholar] [CrossRef]
- Li, J.; Du, Z.; Pan, Q.; Zhang, L.; Liu, D. The first 3,5,6-trichloropyridine-2-oxyacetate bridged manganese coordination polymer with features of π⋯π stacking and halogen⋯halogen interactions: Synthesis, crystal analysis and magnetic properties. Inorg. Chim. Acta 2020, 509, 119677–119682. [Google Scholar] [CrossRef]
- Nakamoto, K. Infra-Red and Raman Spectra of Inorganic and Coordination Compounds; John Willey: New York, NY, USA, 1997. [Google Scholar]
- Prashanthi, Y.; Kiranmai, K.; Subhashini, N.J.P. Synthesis, potentiometric and antimicrobial studies on metal complexes of isoxazole Schiff bases. Spectrochim. Acta 2008, 70, 30–35. [Google Scholar] [CrossRef]
- Sharma, R.P.; Singh, A.; Brandao, P.; Felix, V.; Venugopalan, P. Role of non-covalent interactions in binding of non-coordinating anions: Syntheses, characterization and single crystal structure determination of cobalt(III) complexes with 2,2′-biimidazole and 1,10-phenanthroline ligands. Inorg. Chem. 2011, 376, 64–72. [Google Scholar] [CrossRef]
- Dakovic, M.; Vinkovic, M.; Roca, S.; Popovic, Z.; Vickovic, I.; Vikic-Topic, D.; Lukac, J.; Dakovic, N.; Kusic, Z. Structural study of picolinamide complexes of Ni(II), Zn(II), Cd(II), and Hg(II) nitrates in solid state and solution. J. Coord. Chem. 2012, 65, 1017–1032. [Google Scholar] [CrossRef]
- Direm, A.; Tursun, M.; Parlak, C.; Cherif, N.B. Trans-dichlorotetrakis (1H-pyrazole-κN2) copper(II): Synthesis, crystal structure, hydrogen bonding graph-sets, vibrational and DFT studies. J. Mol. Struct. 2015, 1093, 208–218. [Google Scholar] [CrossRef]
- Mahapatra, T.S.; Bauza, A.; Dutta, D.; Mishra, S.; Frontera, A.; Ray, D. Carboxylate coordination assisted aggregation for quasi-tetrahedral and partial-dicubane [Cu4] coordination clusters. ChemistrySelect 2016, 1, 64–75. [Google Scholar] [CrossRef]
- Wang, Y.; Lin, X.M.; Bai, F.Y.; Sun, L.X. Novel vanadium complexes with rigid carboxylate ligands: Synthesis, structure and catalytic bromine dynamics of phenol red. J. Mol. Struct. 2017, 1149, 379–386. [Google Scholar] [CrossRef]
- Tandon, S.S.; Chen, L.; Thompson, L.K.; Bridson, J.N. Dinuclear copper(II) complexes of the tetradentatethiadiazole ligands BPMTD (2,5-bis((2-pyridylmethyl)thio)thiadiazole) and BPTD (2,5-bis(2-pyridylthio)thiadiazole). X-ray structures of [Cu2(BPTD)(μ2-Br)2Br2] and [Cu(BPMTD)Cl2]n and spectroscopic, electrochemical, and magnetic studies. Inorg. Chem. 1994, 33, 490–497. [Google Scholar]
- Yenikaya, C.; Poyraz, M.; Sari, M.; Demirci, F.; Ilkimen, H.; Buyukgungor, O. Synthesis, characterization and biological evaluation of a novel Cu(II) complex with the mixed ligands 2,6-pyridinedicarboxylic acid and 2-aminopyridine. Polyhedron 2009, 28, 3526–3532. [Google Scholar] [CrossRef]
- Bhattacharyya, M.K.; Saha, U.; Dutta, D.; Frontera, A.; Verma, A.K.; Sharma, P.; Das, A. Unconventional DNA-relevant π-stacked hydrogen bonded arrays involving supramolecular guest benzoate dimers and cooperative anion–π/π–π/π–anion contacts in coordination compounds of Co(II) and Zn(II) phenanthroline: Experimental and theoretical studies. New J. Chem. 2020, 44, 4504–4518. [Google Scholar] [CrossRef]
- Kumar, S.; Sharma, R.P.; Venugopalan, P.; Aree, T.; Ferretti, V. Synthesis, spectroscopic characterization, single crystal X-ray analysis and DFT calculation of isomeric Cu(MR)2(β/γ-pic)2 complexes: First transition metal complexes of methyl red. J. Mol. Struct. 2018, 1166, 388–396. [Google Scholar] [CrossRef]
- Demir, S.; Kantar, G.K.; Topcu, Y.; Li, Q. Solvothermal synthesis and characterization of coordination polymers of cobalt(II) and zinc(II) with succinic acid. Transit. Met. Chem. 2012, 37, 257–263. [Google Scholar] [CrossRef]
- Yang, Q.; Chen, S.; Gao, S. Two Mn(II) chloride complexes containing guest molecules. J. Therm. Anal. Calorim. 2007, 89, 567–571. [Google Scholar] [CrossRef]
- Carp, O.; Patron, L.; Diamandescu, L.; Reller, A. Thermal decomposition study of the coordination compound [Fe(urea)6](NO3)3. Thermochim. Acta 2002, 390, 169–177. [Google Scholar] [CrossRef]
- Qi, Y.; Wang, Y.; Hu, C.; Cao, M.; Mao, L.; Wang, E. A new type of single-helix coordination polymer with mixed ligands [M2(phen)2(e,a-cis-1,4-chdc)2(H2O)2]n (M = Co and Ni; phen = 1,10-phenanthroline; chdc = cyclohexanedicarboxylate). Inorg. Chem. 2003, 42, 8519–8523. [Google Scholar] [CrossRef]
- Hwang, I.H.; Jo, Y.D.; Kim, H.Y.; Kang, J.; Noh, J.Y.; Hyun, M.Y.; Kim, C.; Kim, Y.; Kim, S.J. Novel MnII coordination compounds constructed from benzoate and various bipyridyl ligands: Magnetic property and catalytic activity. Polyhedron 2012, 42, 282–290. [Google Scholar] [CrossRef]
- Takahashi, P.M.; Netto, A.V.G.; Mauro, A.E.; Frem, R.C.G. Thermal study of nickel(II) pyrazolyl complexes. J. Therm. Anal. Calorim. 2005, 79, 335–338. [Google Scholar] [CrossRef]
- Sharma, R.P.; Saini, A.; Kumar, J.; Kumar, S.; Venugopalan, P.; Ferretti, V. Coordination complexes of copper(II) with herbicide-trichlorophenoxyacetate: Syntheses, characterization, single crystal X-ray structure and packing analyses of monomeric [Cu(γ-pic)3(2,4,5-trichlorophenoxyacetate)]·H2O, [trans-Cu(en)2(2,4,5-trichlorophenoxyacetate)2]·2H2O and dimeric [Cu2(H2tea)2(2,4,5-trichlorophenoxyacetate)2]·2(H2O). Inorg. Chim. Acta 2017, 457, 59–68. [Google Scholar]
- Saha, U.; Dutta, D.; Nath, H.; Franconetti, A.; Frontera, A.; Bhattacharyya, M.K. Supramolecular association in Cu(II) coordination complexes involving energetically significant NO⋯NO π–hole interaction and cooperative π-stacked ternary assembly: Experimental and theoretical studies. Inorg. Chim. Acta 2019, 488, 159–169. [Google Scholar] [CrossRef]
- Mitra, M.; Manna, P.; Seth, S.K.; Das, A.; Meredith, J.; Helliwell, M.; Bauza, A.; Choudhury, S.R.; Frontera, A.; Mukhopadhyay, S. Salt-bridge–π (sb–π) interactions at work: Associative interactions of sb–π, π–π and anion–π in Cu(II)-malonate–2-aminopyridine–hexafluoridophosphate ternary system. CrystEngComm 2013, 15, 686–696. [Google Scholar] [CrossRef]
- Das, A.; Choudhury, S.R.; Estarellas, C.; Dey, B.; Frontera, A.; Hemming, J.; Helliwell, M.; Gamez, P.; Mukhopadhyay, S. Supramolecular assemblies involving anion–π and lone pair–π interactions: Experimental observation and theoretical analysis. CrystEngComm 2011, 13, 4519–4527. [Google Scholar] [CrossRef]










| Crystal Parameters | 1 | 2 |
|---|---|---|
| Empirical formula | C24H18ClCuN5O4 | C20H32Cl4Cu2N8 |
| Formula weight | 539.42 | 653.41 |
| Temperature (K) | 100.0 | 111.0 |
| Wavelength (Å) | 1.54178 | 1.54178 |
| Crystal system | Triclinic | Monoclinic |
| Space group | P | P21/c |
| a/Å | 9.6570(9) | 8.6960(6) |
| b/Å | 10.8732(10) | 13.4486(9) |
| c/Å | 11.9997(11) | 11.8533(8) |
| α° | 68.329(2) | 90 |
| β° | 70.758(2) | 106.117(2) |
| γ° | 71.247(2) | 90 |
| Volume (Å3) | 1076.48(17) | 1331.75(16) |
| Z | 2 | 2 |
| Calculated density (g/cm3) | 1.664 | 1.629 |
| Absorption coefficient (mm−1) | 2.965 | 5.872 |
| F (000) | 550.0 | 668.0 |
| Crystal size (mm3) | 0.45 × 0.21 × 0.21 | 0.22 × 0.152 × 0.108 |
| θ range for data collection (°) | 8.166 to 136.698 | 10.59 to 133.154 |
| Index ranges | −11 ≤ h ≤ 11, −13 ≤ k ≤ 13, −14 ≤ l ≤ 14 | −10 ≤ h ≤ 8, −16 ≤ k ≤ 16, −14 ≤ l ≤ 14 |
| Reflections collected | 27,524 | 8827 |
| Unique data (Rint) | 3909 (0.0523) | 2336 (0.0359) |
| Refinement method | Full-matrix least-squares on F2 | Full-matrix least-squares on F2 |
| Data/restraints/parameters | 3909/0/320 | 2528/0/205 |
| Goodness-of-fit on F2 | 1.162 | 1.188 |
| Final R indices [I > 2σ (I)] R1/wR2 | 0.0412/0.1047 | 0.0435/0.1127 |
| R indices (all data) R1/wR2 | 0.0413/0.1048 | 0.0439/0.1129 |
| Largest diff. peak and hole (e.Å−3) | 0.65 and −0.71 | 1.35 and −0.32 |
| Compound 1 | |||
| Cu1–Cl1 | 2.2937(6) | N10–Cu1–N1 | 81.63(8) |
| Cu1–N1 | 2.0827(2) | N10–Cu1–N1#1 | 175.54(8) |
| Cu1–N10 | 1.987(2) | N10–Cu1–N10#1 | 96.83(8) |
| Cu1–N1#1 | 1.988(2) | N1#1–Cu1–Cl1 | 91.54(6) |
| Cu1–N10#1 | 2.137(2) | N1#1–Cu1–N1 | 95.25(8) |
| N1–Cu1–Cl1 | 139.47(6) | N1#1–Cu1–N10#1 | 80.79(8) |
| N1–Cu1–N10#1 | 104.12(7) | N10#1–Cu1–Cl1 | 116.41(5) |
| N10–Cu1–Cl1 | 92.90(6) | ||
| Compound 2 | |||
| Cu1–Cl1#1 | 2.6558(1) | N1–Cu1–Cl1#1 | 100.44(9) |
| Cu1–Cl | 2.3229(1) | Cl1–Cu1–Cl1#1 | 84.90(3) |
| Cu1–Cl2 | 2.2983(1) | N1–Cu1–Cl2 | 89.12(9) |
| Cu1–N1 | 2.013(3) | N1#–Cu1–Cl1#1 | 99.07(9) |
| Cu1–N1# | 2.003(3) | N1#–Cu1–Cl1 | 89.41(9) |
| Cl2–Cu1–Cl1#1 | 98.65(3) | N1#–Cu1–Cl2 | 162.25(9) |
| Cl2–Cu1–Cl1 | 91.27(3) | N1#–Cu1–N1 | 88.56(1) |
| N1–Cu1–Cl1 | 174.53(9) | O5–Mn2–O5 | 86.70(6) |
| D–H⋯A | d(D–H) | d(D⋯A) | d(H⋯A) | <(DHA) |
|---|---|---|---|---|
| 1 | ||||
| C6′–H6′⋯Cl1 | 0.94 | 3.873(2) | 2.98 | 156.7 |
| C5′–H5′⋯Cl1 | 0.94 | 3.649(2) | 2.92 | 133.7 |
| C9–H9⋯O3A | 0.94 | 3.215(2) | 2.80 | 107.4 |
| C4–H4⋯O4A | 0.94 | 3.345(2) | 2.44 | 157.5 |
| O1W–H1WA⋯O2A | 0.87 | 2.792(2) | 1.94 | 164.3 |
| O1W–H1WB⋯Cl1 | 0.87 | 3.203(3) | 2.33 | 174.4 |
| 2 | ||||
| N2–H2⋯Cl2 | 0.87 | 3.114(2) | 2.68 | 111.3 |
| N2–H2⋯Cl2 | 0.87 | 3.180(2) | 2.32 | 164.9 |
| N2–H2⋯Cl1 | 0.87 | 3.517(2) | 3.00 | 119.4 |
| C51–H51B⋯Cl1 | 0.97 | 3.820(2) | 2.89 | 157.2 |
| C31–H31E⋯Cl1 | 0.97 | 3.895(2) | 3.00 | 151.8 |
| C31–H31B⋯Cl1 | 0.97 | 3.859(2) | 2.88 | 171.3 |
| Interaction | ρ | Gr | Vr | Hr | ∇2ρ |
|---|---|---|---|---|---|
| Dimer compound 1 (Figure 9a) | |||||
| CH···Cl | 0.00695 | 0.00432 | −0.00324 | 0.00108 | 0.02160 |
| π···π (N···C) | 0.00526 | 0.00335 | −0.00238 | 0.00098 | 0.01732 |
| π···π (C···C) | 0.00625 | 0.00359 | −0.00274 | 0.00085 | 0.01772 |
| π···π (C···C) | 0.00541 | 0.00321 | −0.00232 | 0.00089 | 0.01638 |
| anion···π | 0.00852 | 0.00634 | −0.00477 | 0.00157 | 0.03162 |
| CH···O (nitrate) | 0.00615 | 0.00431 | −0.00305 | 0.00125 | 0.02222 |
| Dimer compound 2 (Figure 9b) | |||||
| CH···Cl | 0.00593 | 0.00352 | −0.00264 | 0.00089 | 0.01764 |
| NH···Cl | 0.01441 | 0.01014 | −0.00768 | 0.00246 | 0.05041 |
Disclaimer/Publisher’s Note: The statements, opinions and data contained in all publications are solely those of the individual author(s) and contributor(s) and not of MDPI and/or the editor(s). MDPI and/or the editor(s) disclaim responsibility for any injury to people or property resulting from any ideas, methods, instructions or products referred to in the content. |
© 2023 by the authors. Licensee MDPI, Basel, Switzerland. This article is an open access article distributed under the terms and conditions of the Creative Commons Attribution (CC BY) license (https://creativecommons.org/licenses/by/4.0/).
Share and Cite
Sarma, P.; Gomila, R.M.; Frontera, A.; Barcelo-Oliver, M.; Bhattacharyya, M.K. Cooperative Ternary Assemblies Involving Anion–π/π–π/Anion–π Assemblies and Unconventional Cl⋯Cl Interactions in Cu(II) Coordination Compounds: Experimental and Theoretical Studies. Crystals 2023, 13, 517. https://doi.org/10.3390/cryst13030517
Sarma P, Gomila RM, Frontera A, Barcelo-Oliver M, Bhattacharyya MK. Cooperative Ternary Assemblies Involving Anion–π/π–π/Anion–π Assemblies and Unconventional Cl⋯Cl Interactions in Cu(II) Coordination Compounds: Experimental and Theoretical Studies. Crystals. 2023; 13(3):517. https://doi.org/10.3390/cryst13030517
Chicago/Turabian StyleSarma, Pinku, Rosa M. Gomila, Antonio Frontera, Miquel Barcelo-Oliver, and Manjit K. Bhattacharyya. 2023. "Cooperative Ternary Assemblies Involving Anion–π/π–π/Anion–π Assemblies and Unconventional Cl⋯Cl Interactions in Cu(II) Coordination Compounds: Experimental and Theoretical Studies" Crystals 13, no. 3: 517. https://doi.org/10.3390/cryst13030517
APA StyleSarma, P., Gomila, R. M., Frontera, A., Barcelo-Oliver, M., & Bhattacharyya, M. K. (2023). Cooperative Ternary Assemblies Involving Anion–π/π–π/Anion–π Assemblies and Unconventional Cl⋯Cl Interactions in Cu(II) Coordination Compounds: Experimental and Theoretical Studies. Crystals, 13(3), 517. https://doi.org/10.3390/cryst13030517

