Fabrication of Selective and Sensitive Hydrazine Sensor Using Sol-Gel Synthesized MoSe2 as Efficient Electrode Modifier
Abstract
1. Introduction
2. Experimental Section
2.1. Chemicals
2.2. Synthesis of MoSe2
2.3. Characterization
2.4. Electrode Preparation (MoSe2-GC)
3. Results and Discussion
3.1. MoSe2 Characterization
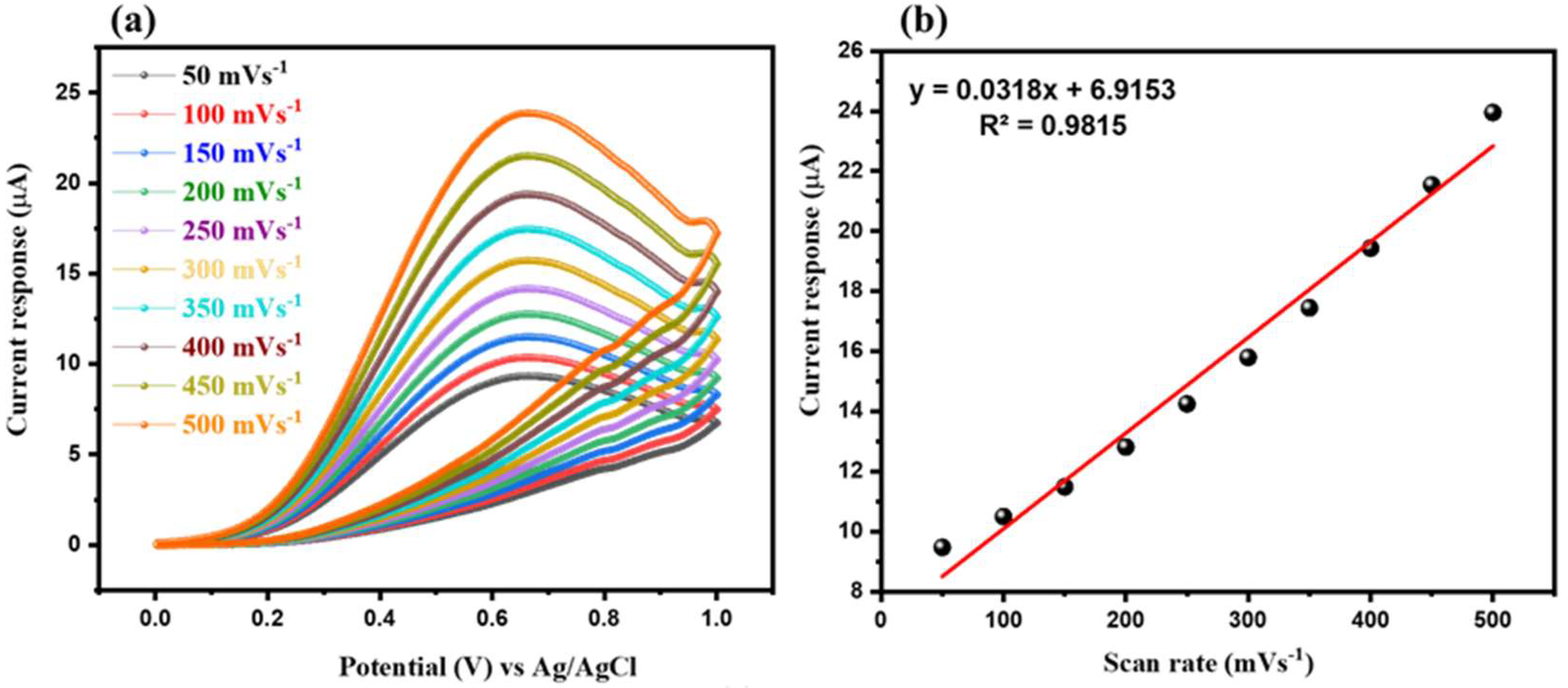
3.2. Electrochemical Sensing Properties
4. Conclusions
Supplementary Materials
Author Contributions
Funding
Data Availability Statement
Acknowledgments
Conflicts of Interest
References
- Tafazoli, S.; Mashregi, M.; O’Brien, P.J. Role of Hydrazine in Isoniazid-Induced Hepatotoxicity in a Hepatocyte Inflammation Model. Toxicol. Appl. Pharmacol. 2008, 229, 94–101. [Google Scholar] [CrossRef] [PubMed]
- Amin, H.M.A.; El-Kady, M.F.; Atta, N.F.; Galal, A. Gold Nanoparticles Decorated Graphene as a High Performance Sensor for Determination of Trace Hydrazine Levels in Water. Electroanalysis 2018, 30, 1757–1766. [Google Scholar] [CrossRef]
- Yan, X.; Meng, F.; Cui, S.; Liu, J.; Gu, J.; Zou, Z. Effective and Rapid Electrochemical Detection of Hydrazine by Nanoporous Gold. J. Electroanal. Chem. 2011, 661, 44–48. [Google Scholar] [CrossRef]
- Ragnarsson, U. Synthetic Methodology for Alkyl Substituted Hydrazines. Chem. Soc. Rev. 2001, 30, 205–213. [Google Scholar] [CrossRef]
- Garrod, S.; Bollard, M.E.; Nicholls, A.W.; Connor, S.C.; Connelly, J.; Nicholson, J.K.; Holmes, E. Integrated Metabonomic Analysis of the Multiorgan Effects of Hydrazine Toxicity in the Rat. Chem. Res. Toxicol. 2005, 18, 115–122. [Google Scholar] [CrossRef]
- Amlathe, S.; Gupta, V.K. Spectrophotometric Determination of Trace Amounts of Hydrazine in Polluted Water. Analyst 1988, 113, 1481–1483. [Google Scholar] [CrossRef] [PubMed]
- Saengsookwaow, C.; Rangkupan, R.; Chailapakul, O.; Rodthongkum, N. Nitrogen-Doped Graphene–Polyvinylpyrrolidone/Gold Nanoparticles Modified Electrode as a Novel Hydrazine Sensor. Sens. Actuators B Chem. 2016, 227, 524–532. [Google Scholar] [CrossRef]
- Batchelor-McAuley, C.; Banks, C.E.; Simm, A.O.; Jones, T.G.J.; Compton, R.G. The Electroanalytical Detection of Hydrazine: A Comparison of the Use of Palladium Nanoparticles Supported on Boron-Doped Diamond and Palladium Plated BDD Microdisc Array. Analyst 2006, 131, 106–110. [Google Scholar] [CrossRef]
- Ding, Y.; Hou, C.; Li, B.; Lei, Y. Sensitive Hydrazine Detection Using a Porous Mn2O3 Nanofibers-Based Sensor. Electroanalysis 2011, 23, 1245–1251. [Google Scholar] [CrossRef]
- Integrated Risk Information System (IRIS). Hydrazine/Hydrazine Sulfate (CASRN 302-01-2); EPA: Washington, DC, USA, 2021. [Google Scholar]
- Ismail, A.A.; Harraz, F.A.; Faisal, M.; El-Toni, A.M.; Al-Hajry, A.; Al-Assiri, M.S. A Sensitive and Selective Amperometric Hydrazine Sensor Based on Mesoporous Au/ZnO Nanocomposites. Mater. Des. 2016, 109, 530–538. [Google Scholar] [CrossRef]
- Faisal, M.; Harraz, F.A.; Al-Salami, A.E.; Al-Sayari, S.A.; Al-Hajry, A.; Al-Assiri, M.S. Polythiophene/ZnO Nanocomposite-Modified Glassy Carbon Electrode as Efficient Electrochemical Hydrazine Sensor. Mater. Chem. Phys. 2018, 214, 126–134. [Google Scholar] [CrossRef]
- Harraz, F.A.; Ismail, A.A.; Al-Sayari, S.A.; Al-Hajry, A.; Al-Assiri, M.S. Highly Sensitive Amperometric Hydrazine Sensor Based on Novel α-Fe2O3/Crosslinked Polyaniline Nanocomposite Modified Glassy Carbon Electrode. Sens. Actuators B Chem. 2016, 234, 573–582. [Google Scholar] [CrossRef]
- Li, B.; Zhang, Z.; Wu, M. Flow-Injection Chemiluminescence Determination of Captopril Using on-Line Electrogenerated Silver(II) as the Oxidant. Microchem. J. 2001, 70, 85–91. [Google Scholar] [CrossRef]
- McAdam, K.; Kimpton, H.; Essen, S.; Davis, P.; Vas, C.; Wright, C.; Porter, A.; Rodu, B. Analysis of Hydrazine in Smokeless Tobacco Products by Gas Chromatography–Mass Spectrometry. Chem. Cent. J. 2015, 9, 13. [Google Scholar] [CrossRef]
- Song, L.; Gao, D.; Li, S.; Wang, Y.; Liu, H.; Jiang, Y. Simultaneous Quantitation of Hydrazine and Acetylhydrazine in Human Plasma by High Performance Liquid Chromatography-Tandem Mass Spectrometry after Derivatization with p-Tolualdehyde. J. Chromatogr. B. 2017, 1063, 189–195. [Google Scholar] [CrossRef]
- Li, J.; Qi, X.; Wei, W.; Zuo, G.; Dong, W. A red-emitting fluorescent and colorimetric dual-channel sensor for cyanide based on a hybrid naphthopyran-benzothiazol in aqueous solution. Sens. Actuators B Chem. 2016, 232, 666–672. [Google Scholar] [CrossRef]
- Li, J.; Wei, W.; Qi, X.; Zuo, G.; Fang, J.; Dong, W. Highly selective colorimetric/fluorometric dual-channel sensor for cyanide based on ICT off in aqueous solution. Sens. Actuators B Chem. 2016, 228, 330–334. [Google Scholar] [CrossRef]
- Ahmad, K.; Mobin, S.M. Design and Fabrication of Cost-Effective and Sensitive Non-Enzymatic Hydrogen Peroxide Sensor Using Co-Doped δ-MnO2 Flowers as Electrode Modifier. Anal. Bioanal. Chem. 2021, 413, 789–798. [Google Scholar] [CrossRef]
- Li, H.; Lu, G.; Yin, Z.; He, Q.; Li, H.; Zhang, Q.; Zhang, H. Optical Identification of Single- and Few-Layer MoS2 Sheets. Small 2012, 8, 682–686. [Google Scholar] [CrossRef]
- Ahmad, K.; Mobin, S.M. Shape Controlled Synthesis of High Surface Area MgO Microstructures for Highly Efficient Congo Red Dye Removal and Peroxide Sensor. J. Environ. Chem. Eng. 2019, 7, 103347. [Google Scholar] [CrossRef]
- Ahmad, K.; Mohammad, A.; Ansari, S.N.; Mobin, S.M. Construction of Graphene Oxide Sheets Based Modified Glassy Carbon Electrode (GO/GCE) for the Highly Sensitive Detection of Nitrobenzene. Mater. Res. Express 2018, 5, 075601. [Google Scholar] [CrossRef]
- Ahmad, K.; Kumar, P.; Mobin, S.M. Hydrothermally Grown Novel Pyramids of the CaTiO3 Perovskite as an Efficient Electrode Modifier for Sensing Applications. Mater. Adv. 2020, 1, 2003–2009. [Google Scholar] [CrossRef]
- Ahmad, K.; Mobin, S.M. Construction of Polyanilne/ITO Electrode for Electrochemical Sensor Applications. Mater. Res. Express 2019, 6, 085508. [Google Scholar] [CrossRef]
- Mohammed, H.Y.; Farea, M.A.; Ingle, N.N.; Sayyad, P.W.; Al-Gahouari, T.; Mahadik, M.M.; Bodkhe, G.A.; Shirsat, S.M.; Shirsat, M.D. Review—Electrochemical Hydrazine Sensors Based on Graphene Supported Metal/Metal Oxide Nanomaterials. J. Electrochem. Soc. 2021, 168, 106509. [Google Scholar] [CrossRef]
- Tajik, S.; Beitollahi, H.; Zia Mohammadi, S.; Azimzadeh, M.; Zhang, K.; Le, Q.V.; Yamauchi, Y.; Won Jang, H.; Shokouhimehr, M. Recent Developments in Electrochemical Sensors for Detecting Hydrazine with Different Modified Electrodes. RSC Adv. 2020, 10, 30481–30498. [Google Scholar] [CrossRef] [PubMed]
- Rani, S.; Kapoor, S.; Sharma, B.; Kumar, S.; Malhotra, R.; Dilbaghi, N. Fabrication of Zn-MOF@rGO Based Sensitive Nanosensor for the Real Time Monitoring of Hydrazine. J. Alloys Compd. 2020, 816, 152509. [Google Scholar] [CrossRef]
- Kazemi, S.H.; Hosseinzadeh, B.; Zakavi, S. Electrochemical Fabrication of Conducting Polymer of Ni-Porphyrin as Nano-Structured Electrocatalyst for Hydrazine Oxidation. Sens. Actuators B Chem. 2015, 210, 343–348. [Google Scholar] [CrossRef]
- Ganatra, R.; Zhang, Q. Few-Layer MoS2: A Promising Layered Semiconductor. ACS Nano 2014, 8, 4074–4099. [Google Scholar] [CrossRef]
- Afzal, A.M.; Iqbal, M.Z.; Dastgeer, G.; Nazir, G.; Mumtaz, S.; Usman, M.; Eom, J. WS2/GeSe/WS2 Bipolar Transistor-Based Chemical Sensor with Fast Response and Recovery Times. ACS Appl. Mater. Interfaces 2020, 12, 39524–39532. [Google Scholar] [CrossRef]
- Jiang, F.; Zhao, W.-S.; Zhang, J. Mini-Review: Recent Progress in the Development of MoSe2 Based Chemical Sensors and Biosensors. Microelectron. Eng. 2020, 225, 111279. [Google Scholar] [CrossRef]
- Yuan, X.; Zhou, B.; Zhang, X.; Li, Y.; Liu, L. Hierarchical MoSe2 Nanoflowers Used as Highly Efficient Electrode for Dye-Sensitized Solar Cells. Electrochim. Acta 2018, 283, 1163–1169. [Google Scholar] [CrossRef]
- Shelke, N.T.; Late, D.J. Hydrothermal growth of MoSe2 nanoflowers for photo- and humidity sensor applications. Sens. Actuators A Phys. 2019, 295, 160–168. [Google Scholar] [CrossRef]
- Ji, X.; Li, M.; Guo, J.; Pan, Y.; Meng, L.; Cheng, S. Development and Enhancement Strategy of MoSe2 Based Anodes for Aqueous Li-Ion Battery. J. Sci. Adv. Mater. Devices 2022, 7, 100455. [Google Scholar] [CrossRef]
- Ren, X.; Yao, Y.; Ren, P.; Wang, Y.; Peng, Y. Facile Sol-Gel Synthesis of C@MoSe2 Core-Shell composites as Advanced Hydrogen Evolution Reaction Catalyst. Mater. Lett. 2019, 238, 286–289. [Google Scholar] [CrossRef]
- Zhao, Y.; Lee, H.; Choi, W.; Fei, W.; Lee, C.J. Large-Area Synthesis of Monolayer MoSe2 Films on SiO2/Si Substrates by Atmospheric Pressure Chemical Vapor Deposition. RSC Adv. 2017, 7, 27969–27973. [Google Scholar] [CrossRef]
- Ni, Y.; Zhu, J.; Zhang, L.; Hong, J. Hierarchical ZnO Micro/Nanoarchitectures: Hydrothermal Preparation, Characterization and Application in the Detection of Hydrazine. CrystEngComm 2010, 12, 2213–2218. [Google Scholar] [CrossRef]
- Zhang, C.; Wang, G.; Ji, Y.; Liu, M.; Feng, Y.; Zhang, Z.; Fang, B. Enhancement in Analytical Hydrazine Based on Gold Nanoparticles Deposited on ZnO-MWCNTs Films. Sens. Actuators B Chem. 2010, 150, 247–253. [Google Scholar] [CrossRef]
- Ghanbari, K. Fabrication of Silver Nanoparticles–Polypyrrole Composite Modified Electrode for Electrocatalytic Oxidation of Hydrazine. Synth. Met. 2014, 195, 234–240. [Google Scholar] [CrossRef]
- Beduk, T.; Bihar, E.; Surya, S.G.; Castillo, A.N.; Inal, S.; Salama, K.N. A Paper-Based Inkjet-Printed PEDOT:PSS/ZnO Sol-Gel Hydrazine Sensor. Sens. Actuators B Chem. 2020, 306, 127539. [Google Scholar] [CrossRef]
- Wang, C.; Zhang, L.; Guo, Z.; Xu, J.; Wang, H.; Zhai, K.; Zhuo, X. A Novel Hydrazine Electrochemical Sensor Based on the High Specific Surface Area Graphene. Microchim. Acta 2010, 169, 1–6. [Google Scholar] [CrossRef]
- Majumder, S.; Saha, B.; Dey, S.; Mondal, R.; Kumar, S.; Banerjee, S. A Highly Sensitive Non-Enzymatic Hydrogen Peroxide and Hydrazine Electrochemical Sensor Based on 3D Micro-Snowflake Architectures of α-Fe2O3. RSC Adv. 2016, 6, 59907–59918. [Google Scholar] [CrossRef]
- Afshari, M.; Dinari, M.; Momeni, M.M. The Graphitic Carbon Nitride/Polyaniline/Silver Nanocomposites as a Potential Electrocatalyst for Hydrazine Detection. J. Electroanal. Chem. 2019, 833, 9–16. [Google Scholar] [CrossRef]
- Faisal, M.; Rashed, M.A.; Abdullah, M.M.; Harraz, F.A.; Jalalah, M.; Al-Assiri, M.S. Efficient Hydrazine Electrochemical Sensor Based on PANI Doped Mesoporous SrTiO3 Nanocomposite Modified Glassy Carbon Electrode. J. Electroanal. Chem. 2020, 879, 114805. [Google Scholar] [CrossRef]
- Wu, J.; Zhou, T.; Wang, Q.; Umar, A. Morphology and Chemical Composition Dependent Synthesis and Electrochemical Properties of MnO2-Based Nanostructures for Efficient Hydrazine Detection. Sens. Actuators B Chem. 2016, 224, 878–884. [Google Scholar] [CrossRef]
- Shukla, S.; Chaudhary, S.; Umar, A.; Chaudhary, G.R.; Mehta, S.K. Tungsten Oxide (WO3) Nanoparticles as Scaffold for the Fabrication of Hydrazine Chemical Sensor. Sens. Actuators B Chem. 2014, 196, 231–237. [Google Scholar] [CrossRef]











| Sensing Material | Detection Limit (µM) | Sensitivity (µA/µMcm2) | References |
|---|---|---|---|
| MoSe2-GC ZnO/nafion/Au | 0.091 0.25 | 0.68 - | This study [37] |
| Au/ZnO/MWCNT/GCE | 0.15 | 0.0428 | [38] |
| AgNPs/PPy/GCE | 0.2 | 0.0114 | [39] |
| ZnO NPs/PEDOT:PSS | 5 | 0.14 | [40] |
| Flower-like ZnO | 2.1 | 0.095 | [37] |
| poly(styrene sulfonate)/graphene/GCE | 1 | - | [41] |
| 3D-α-Fe2O3 | 5 | 0.024 | [42] |
| PANI/g-C3N4/AgNPs | 300 | - | [43] |
| PANI/SrTiO3/GCE | 1.09 | 0.21 | [44] |
| MnO2 nanostructure WO3 NPs Porous Mn2O3 | 2.06 144 0.3 | 0.109 0.185 0.474 | [45] [46] [9] |
Disclaimer/Publisher’s Note: The statements, opinions and data contained in all publications are solely those of the individual author(s) and contributor(s) and not of MDPI and/or the editor(s). MDPI and/or the editor(s) disclaim responsibility for any injury to people or property resulting from any ideas, methods, instructions or products referred to in the content. |
© 2023 by the authors. Licensee MDPI, Basel, Switzerland. This article is an open access article distributed under the terms and conditions of the Creative Commons Attribution (CC BY) license (https://creativecommons.org/licenses/by/4.0/).
Share and Cite
Alsalme, A.; Alsaeedi, H. Fabrication of Selective and Sensitive Hydrazine Sensor Using Sol-Gel Synthesized MoSe2 as Efficient Electrode Modifier. Crystals 2023, 13, 161. https://doi.org/10.3390/cryst13020161
Alsalme A, Alsaeedi H. Fabrication of Selective and Sensitive Hydrazine Sensor Using Sol-Gel Synthesized MoSe2 as Efficient Electrode Modifier. Crystals. 2023; 13(2):161. https://doi.org/10.3390/cryst13020161
Chicago/Turabian StyleAlsalme, Ali, and Huda Alsaeedi. 2023. "Fabrication of Selective and Sensitive Hydrazine Sensor Using Sol-Gel Synthesized MoSe2 as Efficient Electrode Modifier" Crystals 13, no. 2: 161. https://doi.org/10.3390/cryst13020161
APA StyleAlsalme, A., & Alsaeedi, H. (2023). Fabrication of Selective and Sensitive Hydrazine Sensor Using Sol-Gel Synthesized MoSe2 as Efficient Electrode Modifier. Crystals, 13(2), 161. https://doi.org/10.3390/cryst13020161

