Supramolecular Structure, Hirshfeld Surface Analysis, Morphological Study and DFT Calculations of the Triphenyltetrazolium Cobalt Thiocyanate Complex
Abstract
:1. Introduction
2. Experimental
2.1. General
2.2. Synthesis
2.3. Single Crystal X-ray Diffraction Measurement
2.4. Hirshfeld Surface Analysis and Enrichment Ratio Calculations
2.5. Growth Morphology Prediction
2.6. DFT Calculations
2.6.1. Computational Details
2.6.2. Global Reactivity Descriptors
3. Results and Discussion
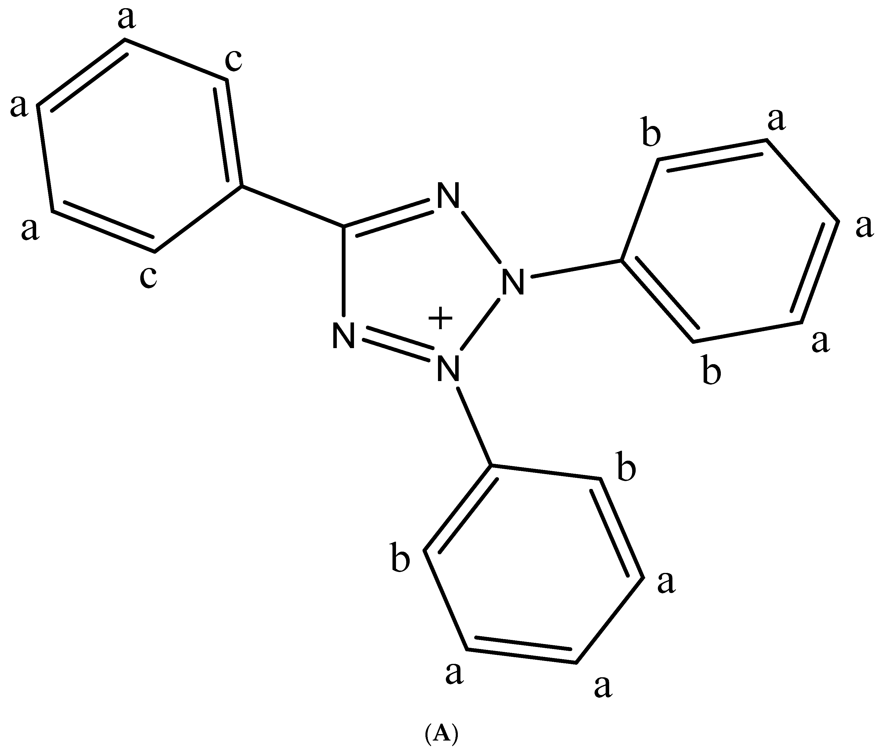
3.1. Chemistry
3.2. Structural Description
3.3. Hirshfeld Surface Analysis and Enrichment Ratio Calculations
3.4. Void Analysis
3.5. Growth Morphology Prediction by the AE Method
3.6. Computational Results
3.6.1. Geometry Optimization
3.6.2. Chemical Descriptors
4. Conclusions
Supplementary Materials
Author Contributions
Funding
Data Availability Statement
Acknowledgments
Conflicts of Interest
References
- Peppel, T.; Hinz, A.; Thiele, P.; Geppert-Rybczyńska, M.; Lehmann, J.K.; Köckerling, M. Synthesis, Properties, and Structures of Low-Melting Tetraisocyanatocobaltate (II)-Based Ionic Liquids. Eur. J. Inorg. Chem. 2017, 2017, 885–893. [Google Scholar] [CrossRef]
- Triki, H.; Nagy, B.; Overgaard, J.; Jensen, F.; Kamoun, S. Structure, DFT Based Investigations on Vibrational and Nonlinear Optical Behavior of a New Guanidinium Cobalt Thiocyanate Complex. Struct. Chem. 2020, 31, 103–114. [Google Scholar] [CrossRef]
- Burmeister, J.L.; Al-Janabi, M.Y. Selenocyanate Complexes of Cobalt (III), Palladium (II), and Platinum (II). Inorg. Chem. 1965, 4, 962–965. [Google Scholar] [CrossRef]
- Poddar, R.K.; Parashad, R.; Agarwala, U. Linkage Isomerism of NCS− Group in Ruthenium Complexes. J. Inorg. Nucl. Chem. 1980, 42, 837–838. [Google Scholar] [CrossRef]
- Ferchichi, A.; Makhlouf, J.; El Bakri, Y.; Saravanan, K.; Valkonen, A.; Hashem, H.E.; Ahmad, S.; Smirani, W. Self-Assembly of New Cobalt Complexes Based on [Co (SCN)4], Synthesis, Empirical, Antioxidant Activity, and Quantum Theory Investigations. Sci. Rep. 2022, 12, 15828. [Google Scholar] [CrossRef]
- Golovanov, D.G.; Perekalin, D.S.; Yakovenko, A.A.; Antipin, M.Y.; Lyssenko, K.A. The Remarkable Stability of the Cl–···(π-System) Contacts in 2, 3, 5-Triphenyltetrazolium Chloride. Mendeleev Commun. 2005, 15, 237–239. [Google Scholar] [CrossRef]
- Gjikaj, M.; Xie, T.; Brockner, W. Uncommon Compounds in Antimony Pentachloride–Ionic Liquid Systems: Synthesis, Crystal Structure and Vibrational Spectra of the Complexes [TPT][SbCl6] and [Cl-EMIm][SbCl6]. Z. Anorg. Allg. Chem. 2009, 635, 1036–1040. [Google Scholar] [CrossRef]
- Benon, H.J.B.; Grace, G.S.; Stanley, B. Reduction of Nitro Blue Tetrazolium by CO2–and O2–Radicals. J. Phys. Chem. 1980, 84, 830–833. [Google Scholar]
- Předota, M.; Petříček, V.; Žák, Z.; Głowiak, T.; Novotný, J. Structure Du Perrhenate de Triphényl-2, 3, 5 Tétrazolium. Acta Crystallogr. Sect. C Cryst. Struct. Commun. 1991, 47, 738–740. [Google Scholar] [CrossRef]
- Gavazov, K.B.; Dimitrov, A.N.; Lekova, V.D. The Use of Tetrazolium Salts in Inorganic Analysis. Russ. Chem. Rev. 2007, 76, 169. [Google Scholar] [CrossRef]
- Mostafa, G.A.-H. PVC Matrix Membrane Sensor for Potentiometric Determination of Triphenyltetrazolium Chloride and Ascorbic Acid. Ann. Chim. 2007, 97, 1247–1256. [Google Scholar] [CrossRef]
- Hassanien, M.M.; Abou-El-Sherbini, K.S.; Mostafa, G.A.E. A Novel Tetrachlorothallate (III)-PVC Membrane Sensor for the Potentiometric Determination of Thallium (III). Talanta 2003, 59, 383–392. [Google Scholar] [CrossRef] [PubMed]
- Abbas, M.N.; Mostafa, G.A.E.; Homoda, A.M.A. PVC Membrane Ion Selective Electrode for the Determination of Pentachlorophenol in Water, Wood and Soil Using Tetrazolium Pentachlorophenolate. Talanta 2001, 55, 647–656. [Google Scholar] [CrossRef] [PubMed]
- Bruker, A. Bruker Advanced X-ray Solutions SAINT Software Reference Manual SAINT v8. 34A; Bruker AXS Inc.: Madison, WI, USA, 2013. [Google Scholar]
- Sheldrick, G.M. Crystal Structure Refinement with SHELXL. Acta Crystallogr. Sect. C Struct. Chem. 2015, 71, 3–8. [Google Scholar] [CrossRef] [PubMed]
- Sheldrick, G.M. SHELXT–Integrated Space-Group and Crystal-Structure Determination. Acta Crystallogr. Sect. A Found. Adv. 2015, 71, 3–8. [Google Scholar] [CrossRef] [PubMed]
- Macrae, C.F.; Sovago, I.; Cottrell, S.J.; Galek, P.T.A.; McCabe, P.; Pidcock, E.; Platings, M.; Shields, G.P.; Stevens, J.S.; Towler, M. Mercury 4.0: From Visualization to Analysis, Design and Prediction. J. Appl. Crystallogr. 2020, 53, 226–235. [Google Scholar] [PubMed]
- Spackman, M.A.; Jayatilaka, D. Hirshfeld Surface Analysis. CrystEngComm 2009, 11, 19–32. [Google Scholar] [CrossRef]
- Spackman, M.A.; McKinnon, J.J. Fingerprinting Intermolecular Interactions in Molecular Crystals. CrystEngComm 2002, 4, 378–392. [Google Scholar]
- Spackman, P.R.; Turner, M.J.; McKinnon, J.J.; Wolff, S.K.; Grimwood, D.J.; Jayatilaka, D.; Spackman, M.A. CrystalExplorer: A Program for Hirshfeld Surface Analysis, Visualization and Quantitative Analysis of Molecular Crystals. J. Appl. Crystallogr. 2021, 54, 1006–1011. [Google Scholar] [CrossRef]
- Bondi, A. Van Der Waals Volumes and Radii of Metals in Covalent Compounds. J. Phys. Chem. 1966, 70, 3006–3007. [Google Scholar] [CrossRef]
- Jelsch, C.; Ejsmont, K.; Huder, L. The Enrichment Ratio of Atomic Contacts in Crystals, an Indicator Derived from the Hirshfeld Surface Analysis. IUCrJ 2014, 1, 119–128. [Google Scholar] [CrossRef] [PubMed]
- Ferjani, H.; Chebbi, H.; Guesmi, A.; AlRuqi, O.S.; Al-Hussain, S.A. Two-Dimensional Hydrogen-Bonded Crystal Structure, Hirshfeld Surface Analysis and Morphology Prediction of a New Polymorph of 1H-Nicotineamidium Chloride Salt. Crystals 2019, 9, 571. [Google Scholar] [CrossRef]
- Miglani Bhardwaj, R.; Ho, R.; Gui, Y.; Brackemeyer, P.; Schneider-Rauber, G.; Nordstrom, F.L.; Sheikh, A.Y. Origins and Implications of Extraordinarily Soft Crystals in a Fixed-Dose Combination Hepatitis C Regimen. Cryst. Growth Des. 2022, 22, 4250–4259. [Google Scholar] [CrossRef]
- Studio, A.D. Accelrys Materials Studio 7.0. Available online: www.scientific-computing/com/press-release/accelrys-materials-Studio7.0 (accessed on 15 October 2023).
- Ferjani, H. Structural, Hirshfeld Surface Analysis, Morphological Approach, and Spectroscopic Study of New Hybrid Iodobismuthate Containing Tetranuclear 0D Cluster Bi4I16·4(C6H9N2) 2(H2O). Crystals 2020, 10, 397. [Google Scholar] [CrossRef]
- Frisch, M.J.; Trucks, G.W.; Schlegel, H.B.; Scuseria, G.E.; Robb, M.A.; Cheeseman, J.R.; Scalmani, G.; Barone, V.; Petersson, G.A.; Nakatsuji, H. Gaussian 16; Gaussian, Inc.: Wallingford, CT, USA, 2016. [Google Scholar]
- Becke, A.D. Density-functional exchange-energy approximation with correct asymptotic behavior. Phys. Rev. A At. Mol. Opt. Phys. 1988, 38, 3098–3100. [Google Scholar] [CrossRef]
- Lee, C.; Yang, W.; Parr, R.G. Development of the Colle-Salvetti Correlation-Energy Formula into a Functional of the Electron Density. Phys. Rev. B 1988, 37, 785. [Google Scholar] [CrossRef]
- Chiodo, S.; Russo, N.; Sicilia, E. LANL2DZ Basis Sets Recontracted in the Framework of Density Functional Theory. J. Chem. Phys. 2006, 125, 104107. [Google Scholar] [CrossRef]
- Zárate, X.; Schott, E.; Carey, D.M.-L.; Bustos, C.; Arratia-Pérez, R. DFT Study on the Electronic Structure, Energetics and Spectral Properties of Several Bis (Organohydrazido (2−)) Molybdenum Complexes Containing Substituted Phosphines and Chloro Atoms as Ancillary Ligands. J. Mol. Struct. THEOCHEM 2010, 957, 126–132. [Google Scholar] [CrossRef]
- Xu, Z.; Li, Y.; Zhang, W.; Yuan, S.; Hao, L.; Xu, T.; Lu, X. DFT/TD-DFT Study of Novel T Shaped Phenothiazine-Based Organic Dyes for Dye-Sensitized Solar Cells Applications. Spectrochim. Acta Part A Mol. Biomol. Spectrosc. 2019, 212, 272–280. [Google Scholar] [CrossRef]
- Wei, J.; Song, P.; Ma, F.; Saputra, R.M.; Li, Y. Tunable Linear and Nonlinear Optical Properties of Chromophores Containing 3, 7-(Di) Vinylquinoxalinone Core by Modification of Receptors Moieties. Opt. Mater. 2020, 99, 109580. [Google Scholar] [CrossRef]
- Wang, L.; Zhang, J.; Duan, Y.-C.; Pan, Q.-Q.; Wu, Y.; Geng, Y.; Su, Z.-M. Theoretical Insights on the Rigidified Dithiophene Effects on the Performance of Near-Infrared Cis-Squaraine-Based Dye-Sensitized Solar Cells with Panchromatic Absorption. J. Photochem. Photobiol. A Chem. 2019, 369, 150–158. [Google Scholar] [CrossRef]
- Ferjani, H.; Bechaieb, R.; Dege, N.; Abd El-Fattah, W.; Elamin, N.Y.; Frigui, W. Stabilization of Supramolecular Network of Fluconazole Drug Polyiodide: Synthesis, Computational and Spectroscopic Studies. J. Mol. Struct. 2022, 1263, 133192. [Google Scholar] [CrossRef]
- Ferjani, H.; Bechaieb, R.; Abd El-Fattah, W.; Fettouhi, M. Broad-Band Luminescence Involving Fluconazole Antifungal Drug in a Lead-Free Bismuth Iodide Perovskite: Combined Experimental and Computational Insights. Spectrochim. Acta Part A Mol. Biomol. Spectrosc. 2020, 237, 118354. [Google Scholar] [CrossRef] [PubMed]
- Ferjani, H.; Bechaieb, R.; Alshammari, M.; Lemine, O.M.; Dege, N. New Organic–Inorganic Salt Based on Fluconazole Drug: TD-DFT Benchmark and Computational Insights into Halogen Substitution. Int. J. Mol. Sci. 2022, 23, 8765. [Google Scholar] [CrossRef]
- Gümüş, H.P.; Tamer, Ö.; Avcı, D.; Atalay, Y. Quantum Chemical Calculations on the Geometrical, Conformational, Spectroscopic and Nonlinear Optical Parameters of 5-(2-Chloroethyl)-2, 4-Dichloro-6-Methylpyrimidine. Spectrochim. Acta Part A Mol. Biomol. Spectrosc. 2014, 129, 219–226. [Google Scholar] [CrossRef]
- Tamer, Ö.; Bhatti, M.H.; Yunus, U.; Avcı, D.; Atalay, Y.; Nadeem, M.; Shah, S.R.; Helliwell, M. Structural, Spectroscopic, Nonlinear Optical and Electronic Properties of Calcium N-Phthaloylglycinate: A Combined Experimental and Theoretical Study. J. Mol. Struct. 2016, 1125, 315–322. [Google Scholar] [CrossRef]
- Nakashima, K.; Kawame, N.; Kawamura, Y.; Tamada, O.; Yamauchi, J. Bis (2,3,5-Triphenyltetrazolium) Tetrathiocyanatocobaltate (II). Acta Crystallogr. Sect. E Struct. Rep. Online 2009, 65, m1406–m1407. [Google Scholar] [CrossRef]
- Hsieh, C.-H.; Brothers, S.M.; Reibenspies, J.H.; Hall, M.B.; Popescu, C.V.; Darensbourg, M.Y. Ambidentate Thiocyanate and Cyanate Ligands in Dinitrosyl Iron Complexes. Inorg. Chem. 2013, 52, 2119–2124. [Google Scholar] [CrossRef]
- Steiner, T. The Hydrogen Bond in the Solid State. Angew. Chemie Int. Ed. 2002, 41, 48–76. [Google Scholar] [CrossRef]
- Turner, M.J.; McKinnon, J.J.; Jayatilaka, D.; Spackman, M.A. Visualisation and Characterisation of Voids in Crystalline Materials. CrystEngComm 2011, 13, 1804–1813. [Google Scholar] [CrossRef]
- Setifi, Z.; Ferjani, H.; Smida, Y.B.; Jelsch, C.; Setifi, F.; Glidewell, C. A Novel CuII/8-Aminoquinoline Isomer Complex [Cu(H2O)2(C9H8N2)2]Cl2: Solvothermal Synthesis, Molecular Structure, Hirshfeld Surface Analysis, and Computational Study. Chem. Afr. 2023, 6, 891–901. [Google Scholar] [CrossRef]
- Hajji, M.; Kouraichi, C.; Guerfel, T. Modelling, Structural, Thermal, Optical and Vibrational Studies of a New Organic–Inorganic Hybrid Material (C5H16N2)Cd1.5Cl5. Bull. Mater. Sci. 2017, 40, 55–66. [Google Scholar] [CrossRef]










| Chemical Formula | C42H30CoN12S4 |
|---|---|
| CCDC number | 2,259,943 |
| Formula weight | 889.95 |
| Crystal system | Triclinic |
| space group | P-1 |
| Temperature (K) | 293 |
| a (Å) | 9.7110 (16) |
| b(Å) | 12.892 (2) |
| c(Å) | 18.753 (3) |
| α/ β/ γ (°) | 87.215 (14)/79.122 (14)/74.971 (13) |
| V (Å3) | 2226.6 (7) |
| Z | 2 |
| µ (mm−1) | 0.62 |
| Crystal size (mm) | 0.32 × 0.26 × 0.12 |
| θmin/θmax (°) | 1.6/25.1 |
| No. of measured, independent and observed [I > 2σ(I)] reflections | 20,928/7891/4056 |
| Rint | 0.094 |
| R[F2 > 2σ(F2)]/ wR(F2), S | 0.049/0.095/0.92 |
| Data/restraints/parameters | 7891/0/532 |
| Δρmax/Δρmin (e Å−3) | 0.37/−0.34 |
| Bond Lengths (Å) | |||
|---|---|---|---|
| Co1-N12 | 1.946 (4) | C27-C28 | 1.379 (5) |
| Co1-N9 | 1.947 (3) | C31-C30 | 1.381 (5) |
| Co1-N11 | 1.950 (3) | C7-C8 | 1.382 (5) |
| Co1-N10 | 1.950 (3) | C29-C28 | 1.367 (5) |
| S3-C42 | 1.618 (4) | C29-C30 | 1.375 (5) |
| S1-C40 | 1.605 (4) | C6-C5 | 1.403 (5) |
| S2-C41 | 1.600 (4) | C2-C3 | 1.397 (5) |
| S4-C39 | 1.618 (5) | C37-C36 | 1.373 (5) |
| N3-N4 | 1.315 (3) | C17-C18 | 1.368 (5) |
| N3-N2 | 1.343 (3) | C17-C16 | 1.368 (5) |
| N3-C12 | 1.449 (4) | C21-C22 | 1.363 (5) |
| N7-N8 | 1.321 (3) | C11-C10 | 1.384 (5) |
| N7-N6 | 1.340 (3) | C22-C23 | 1.364 (5) |
| N7-C25 | 1.451 (4) | C34-C35 | 1.383 (5) |
| N2-N1 | 1.317 (3) | C12-C7 | 1.355 (4) |
| N2-C1 | 1.455 (4) | C12-C11 | 1.370 (4) |
| N1-C13 | 1.346 (4) | C33-C38 | 1.376 (4) |
| N5-N6 | 1.317 (3) | C33-C34 | 1.380 (5) |
| N5-C32 | 1.348 (4) | C33-C32 | 1.461 (4) |
| N8-C32 | 1.350 (4) | C14-C19 | 1.367 (4) |
| N4-C13 | 1.349 (4) | C14-C15 | 1.380 (4) |
| N6-C26 | 1.451 (4) | C25-C24 | 1.368 (4) |
| N9-C40 | 1.164 (4) | C25-C20 | 1.373 (4) |
| C13-C14 | 1.468 (4) | N12-C39 | 1.149 (5) |
| N10-C41 | 1.157 (4) | N11-C42 | 1.161 (4) |
| C26-C31 | 1.366 (4) | C20-C21 | 1.377 (4) |
| C26-C27 | 1.373 (4) | C15-C16 | 1.391 (5) |
| C1-C2 | 1.357 (4) | C19-C18 | 1.395 (5) |
| C1-C6 | 1.357 (4) | C38-C37 | 1.388 (5) |
| C4-C5 | 1.356 (5) | C9-C10 | 1.381 (6) |
| C4-C3 | 1.369 (5) | C24-C23 | 1.378 (5) |
| C9-C8 | 1.362 (6) | C36-C35 | 1.358 (5) |
| Bond Angles (°) | |||
| N12-Co1-N9 | 109.84 (14) | C12-C7-C8 | 117.5 (4) |
| N12-Co1-N11 | 111.90 (14) | C28-C29-C30 | 120.0 (4) |
| N9-Co1-N11 | 107.90 (13) | C1-C6-C5 | 117.6 (4) |
| N12-Co1-N10 | 101.52 (14) | C1-C2-C3 | 119.2 (4) |
| N9-Co1-N10 | 116.21 (14) | C36-C37-C38 | 120.4 (4) |
| N11-Co1-N10 | 109.46 (13) | C18-C17-C16 | 119.5 (4) |
| N4-N3-N2 | 109.4 (2) | C29-C28-C27 | 120.5 (3) |
| N4-N3-C12 | 122.7 (3) | C22-C21-C20 | 120.3 (3) |
| N2-N3-C12 | 127.8 (3) | C12-C11-C10 | 118.0 (4) |
| N8-N7-N6 | 110.1 (2) | C31-C26-C27 | 122.3 (3) |
| N8-N7-C25 | 122.9 (3) | C31-C26-N6 | 120.6 (3) |
| N6-N7-C25 | 126.8 (3) | C27-C26-N6 | 117.0 (3) |
| N1-N2-N3 | 110.2 (3) | C2-C1-C6 | 122.4 (3) |
| N1-N2-C1 | 123.7 (3) | C2-C1-N2 | 117.1 (3) |
| N3-N2-C1 | 126.1 (2) | C6-C1-N2 | 120.3 (3) |
| N2-N1-C13 | 103.9 (2) | C7-C12-C11 | 123.3 (3) |
| N6-N5-C32 | 103.7 (3) | C7-C12-N3 | 120.0 (3) |
| N7-N8-C32 | 103.4 (3) | C11-C12-N3 | 116.4 (3) |
| N3-N4-C13 | 104.4 (3) | N9-C40-S1 | 179.4 (4) |
| N5-N6-N7 | 110.0 (3) | C38-C33-C34 | 119.1 (3) |
| N5-N6-C26 | 122.9 (3) | C38-C33-C32 | 119.6 (3) |
| N7-N6-C26 | 126.9 (3) | C34-C33-C32 | 121.4 (3) |
| C40-N9-Co1 | 167.8 (3) | N5-C32-N8 | 112.7 (3) |
| N1-C13-N4 | 112.1 (3) | N5-C32-C33 | 123.5 (3) |
| N1-C13-C14 | 124.9 (3) | N8-C32-C33 | 123.7 (3) |
| N4-C13-C14 | 123.0 (3) | C19-C14-C15 | 120.0 (3) |
| C41-N10-Co1 | 154.4 (4) | C31-C26-C27 | 122.3 (3) |
| C19-C14-C13 | 120.6 (3) | C17-C16-C15 | 119.9 (4) |
| C15-C14-C13 | 119.4 (3) | C21-C22-C23 | 120.6 (3) |
| C24-C25-C20 | 122.5 (3) | C33-C34-C35 | 120.9 (4) |
| C24-C25-N7 | 118.0 (3) | C5-C4-C3 | 120.0 (4) |
| C20-C25-N7 | 119.5 (3) | C8-C9-C10 | 119.5 (4) |
| N10-C41-S2 | 178.8 (4) | C25-C24-C23 | 117.9 (3) |
| C39-N12-Co1 | 162.5 (4) | C17-C18-C19 | 121.1 (4) |
| C42-N11-Co1 | 172.1 (3) | C29-C30-C31 | 120.6 (3) |
| C25-C20-C21 | 118.2 (3) | C35-C36-C37 | 120.2 (4) |
| N11-C42-S3 | 179.7 (4) | C9-C8-C7 | 121.5 (4) |
| C14-C15-C16 | 120.3 (3) | C4-C3-C2 | 119.6 (4) |
| C14-C19-C18 | 119.2 (4) | C2-C3-H3 | 120.2 |
| N12-C39-S4 | 179.4 (4) | C22-C23-C24 | 120.6 (4) |
| C33-C38-C37 | 119.7 (4) | C36-C35-C34 | 119.7 (4) |
| C26-C27-C28 | 118.4 (3) | C9-C10-C11 | 120.2 (4) |
| C26-C31-C30 | 118.1 (3) | C4-C5-C6 | 121.2 (4) |
| D-H···A | D-H (Å) | H···A (Å) | D···A (Å) | D-H···A (°) |
|---|---|---|---|---|
| C27-H27···N9 | 0.93 | 2.83 | 3.748 (4) | 167 |
| C19-H19···N10 (i) | 0.93 | 2.80 | 3.413 (5) | 125 |
| d(X···Cg) (Å) | d(Y···Cg) (Å) | Y-X···Cg(˚) | |
|---|---|---|---|
| C40-S1···Cg5 (ii) | 3.345(2) | 3.647(4) | 87.53(14) |
| C41-S2···Cg1 (ii) | 3.231(2) | 4.713(4) | 153.09(14) |
| C42-S3···Cg1 (i) | 3.299(2) | 3.718(4) | 91.69(14) |
| C39-S4···Cg5 (iii) | 3.649(2) | 4.490(5) | 111.00(18) |
| Contacts (%) | |||||
|---|---|---|---|---|---|
| Atoms | Co | N | C | S | H |
| Co | 0 | - | - | - | - |
| N | 0 | 0 | - | - | - |
| C | 0 | 2.6 | 3.2 | - | - |
| S | 0 | 2.3 | 1.7 | 0 | - |
| H | 0.2 | 12.8 | 30.2 | 18.4 | 28.7 |
| Surface% | 0.1 | 8.85 | 17.25 | 11.2 | 59.5 |
| Random Contacts (%) | |||||
| Co | 0 | - | - | - | |
| N | 0.02 | 0.78 | - | - | |
| C | 0.03 | 3.05 | 2.98 | - | |
| S | 0.02 | 1.98 | 3.86 | 1.25 | |
| H | 0.12 | 10.53 | 20.53 | 13.33 | 35.40 |
| Enrichment rations EXY | |||||
| Co | 0 | - | - | - | |
| N | 0 | 0 | - | - | |
| C | 0 | 0.85 | 1.07 | - | |
| S | 0 | 1.16 | 0.44 | 0 | |
| H | 1.66 | 1.22 | 1.47 | 1.38 | 0.81 |
| BFDH | ||||
|---|---|---|---|---|
| (h k l) | Multiplicity | dhkl (Å) | % of TFA | |
| (0 0 1) | 2 | 18.42 | 44.62 | |
| (0 1 0) | 2 | 12.45 | 27.81 | |
| (1 0 0) | 2 | 9.22 | 11.04 | |
| (1 0 1) | 2 | 8.92 | 6.55 | |
| (1 1 0) | 2 | 8.52 | 6.28 | |
| (1 1 1) | 2 | 8.28 | 3.69 | |
| Growth Morphology | ||||
| (h k l) | Multiplicity | dhkl (Å) | Eatt (Total) (kcal∙mol−1) | % of TFA |
| (0 0 1) | 2 | 18.42 | −42.3605 | 38.93 |
| (0 1 0) | 2 | 12.45 | −45.7329 | 34.03 |
| (1 0 0) | 2 | 9.22 | −79.0048 | 10.73 |
| (1 0 1) | 2 | 8.92 | −87.8669 | 1.97 |
| (1 1 0) | 2 | 8.53 | −80.935 | 3.22 |
| (1 1 1) | 2 | 8.28 | −71.4886 | 11.12 |
| Cal | Exp | Error% | |
|---|---|---|---|
| Co1-N12 | 1.962 | 1.946 (4) | 0.8% |
| Co1-N9 | 1.968 | 1.947 (3) | 1.1% |
| Co1-N11 | 1.972 | 1.950 (3) | 1.1% |
| Co1-N10 | 2.013 | 1.950 (3) | 3.2% |
| S3-C42 | 1.58 | 1.618 (4) | 2.3% |
| S1-C40 | 1.57 | 1.605 (4) | 2.2% |
| S2-C41 | 1.587 | 1.600 (4) | 0.8% |
| ESOMO | −6.35 |
| ELUMO | −6.22 |
| Eg | 0.13 |
| Ionis | 6.35 |
| Elec. Aff | 6.22 |
| Hardness | 0.07 |
| Chem. pot | −6.28 |
| Electrophilicity | 295.0 |
| Electronegativity | 6.28 |
Disclaimer/Publisher’s Note: The statements, opinions and data contained in all publications are solely those of the individual author(s) and contributor(s) and not of MDPI and/or the editor(s). MDPI and/or the editor(s) disclaim responsibility for any injury to people or property resulting from any ideas, methods, instructions or products referred to in the content. |
© 2023 by the authors. Licensee MDPI, Basel, Switzerland. This article is an open access article distributed under the terms and conditions of the Creative Commons Attribution (CC BY) license (https://creativecommons.org/licenses/by/4.0/).
Share and Cite
Ali, E.A.; Bechaieb, R.; Al-Salahi, R.; Al-Janabi, A.S.M.; Attwa, M.W.; Mostafa, G.A.E. Supramolecular Structure, Hirshfeld Surface Analysis, Morphological Study and DFT Calculations of the Triphenyltetrazolium Cobalt Thiocyanate Complex. Crystals 2023, 13, 1598. https://doi.org/10.3390/cryst13111598
Ali EA, Bechaieb R, Al-Salahi R, Al-Janabi ASM, Attwa MW, Mostafa GAE. Supramolecular Structure, Hirshfeld Surface Analysis, Morphological Study and DFT Calculations of the Triphenyltetrazolium Cobalt Thiocyanate Complex. Crystals. 2023; 13(11):1598. https://doi.org/10.3390/cryst13111598
Chicago/Turabian StyleAli, Essam A., Rim Bechaieb, Rashad Al-Salahi, Ahmed S. M. Al-Janabi, Mohamed W. Attwa, and Gamal A. E. Mostafa. 2023. "Supramolecular Structure, Hirshfeld Surface Analysis, Morphological Study and DFT Calculations of the Triphenyltetrazolium Cobalt Thiocyanate Complex" Crystals 13, no. 11: 1598. https://doi.org/10.3390/cryst13111598
APA StyleAli, E. A., Bechaieb, R., Al-Salahi, R., Al-Janabi, A. S. M., Attwa, M. W., & Mostafa, G. A. E. (2023). Supramolecular Structure, Hirshfeld Surface Analysis, Morphological Study and DFT Calculations of the Triphenyltetrazolium Cobalt Thiocyanate Complex. Crystals, 13(11), 1598. https://doi.org/10.3390/cryst13111598

