Dynamics–Function Correlation in Photosystem II: Molecular Dynamics in Solution
Abstract
1. Introduction

2. Materials and Methods
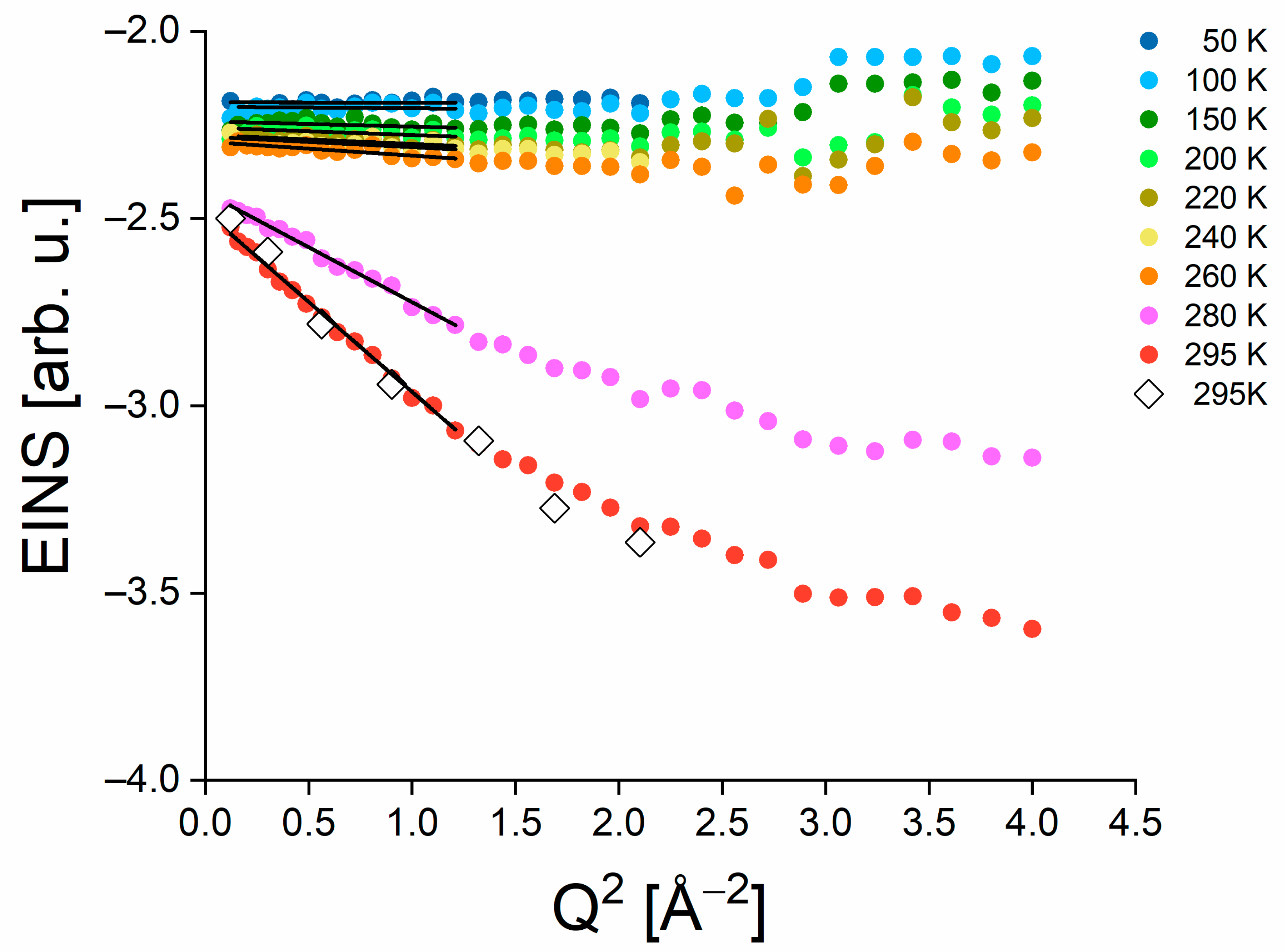
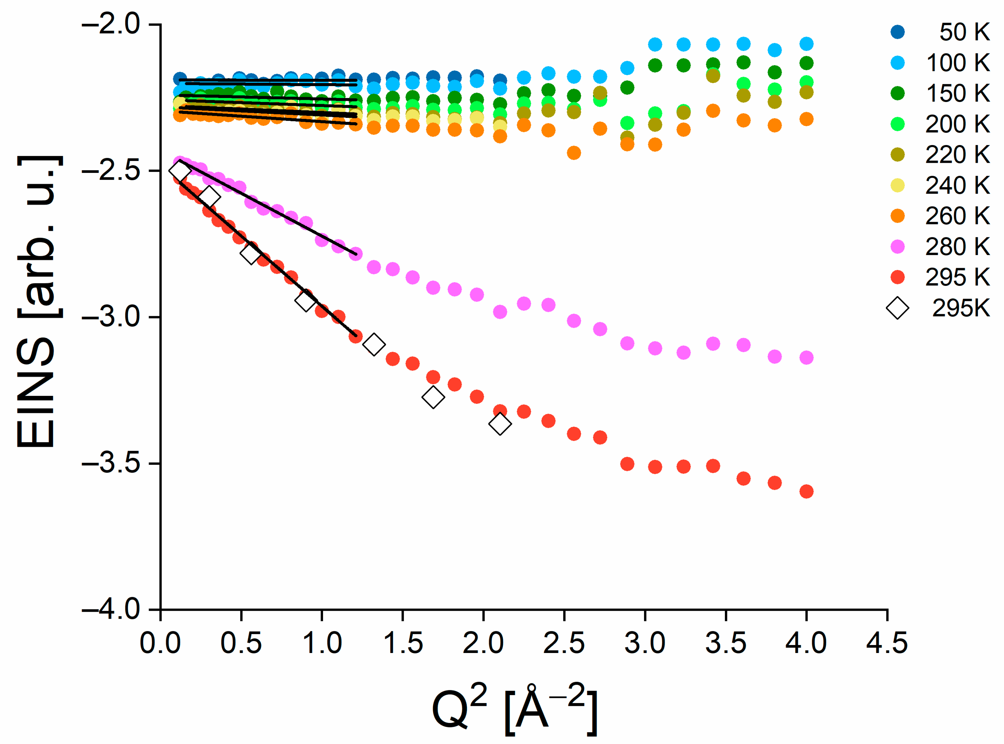
3. Results and Discussion
4. Conclusions
Author Contributions
Funding
Institutional Review Board Statement
Informed Consent Statement
Data Availability Statement
Acknowledgments
Conflicts of Interest
References
- Ke, B. Photosynthesis: Photobiochemistry and Photobiophysics; Kluwer Academic Publisher: Dordrecht, The Netherlands, 2001; Volume 10. [Google Scholar]
- Young, I.D.; Ibrahim, M.; Chatterjee, R.; Gul, S.; Fuller, F.; Koroidov, S.; Brewster, A.S.; Tran, R.; Alonso-Mori, R.; Kroll, T.; et al. Structure of Photosystem II and Substrate Binding at Room Temperature. Nature 2016, 540, 453–457. [Google Scholar] [CrossRef]
- Golub, M.; Gätcke, J.; Subramanian, S.; Kölsch, A.; Darwish, T.; Howard, J.K.; Feoktystov, A.; Matsarskaia, O.; Martel, A.; Porcar, L.; et al. “Invisible” Detergents Enable a Reliable Determination of Solution Structures of Native Photosystems by Small-Angle Neutron Scattering. J. Phys. Chem. B 2022, 126, 2824–2833. [Google Scholar] [CrossRef]
- Renger, G. Mechanism of Light Induced Water Splitting in Photosystem II of Oxygen Evolving Photosynthetic Organisms. Biochim. Biophys. Acta 2012, 1817, 1164–1176. [Google Scholar] [CrossRef]
- Henzler-Wildman, K.A.; Lei, M.; Thai, V.; Kerns, S.J.; Karplus, M.; Kern, D. A Hierarchy of Timescales in Protein Dynamics Is Linked to Enzyme Catalysis. Nature 2007, 450, 913–916. [Google Scholar] [CrossRef]
- Hughes, J.L.; Smith, P.; Pace, R.; Krausz, E. Charge Separation in Photosystem II Core Complexes Induced by 690–730 Nm Excitation at 1.7 K. Biochim. Biophys. Acta 2006, 1757, 841–851. [Google Scholar] [CrossRef]
- Joliot, P.; Joliot, A. Different Types of Quenching Involved in Photosystem II Centers. Biochim. Et Biophys. Acta 1973, 305, 202–216. [Google Scholar] [CrossRef]
- Renger, G.; Gleiter, H.M.; Haag, E.; Reifarth, F. Photosystem-II—Thermodynamics and Kinetics of Electron-Transport from Q(a)(-) to Q(B)(Q(B)(-)) and Deleterious Effects of Copper(II). Z. Naturforsch. 1993, 48, 234–240. [Google Scholar] [CrossRef][Green Version]
- Garbers, A.; Reifarth, F.; Kurreck, J.; Renger, G.; Parak, F. Correlation between Protein Flexibility and Electron Transfer from Qa-* to Qb in PSII Membrane Fragments from Spinach. Biochemistry 1998, 37, 11399–11404. [Google Scholar] [CrossRef]
- Renger, G. Coupling of Electron and Proton Transfer in Oxidative Water Cleavage in Photosynthesis. Biochim. Biophys. Acta 2004, 1655, 195–204. [Google Scholar] [CrossRef][Green Version]
- Kaminskaya, O.; Renger, G.; Shuvalov, V.A. Effect of Dehydration on Light-Induced Reactions in Photosystem II: Photoreactions of Cytochrome B559. Biochemistry 2003, 42, 8119–8132. [Google Scholar] [CrossRef]
- Noguchi, T.; Sugiura, M. Ftir Detection of Water Reactions During the Flash-Induced S-State Cycle of the Photosynthetic Water-Oxidizing Complex. Biochemistry 2002, 41, 15706–15712. [Google Scholar] [CrossRef]
- Stowell, M.H.; McPhillips, T.M.; Rees, D.C.; Soltis, S.M.; Abresch, E.; Feher, G. Light-Induced Structural Changes in Photosynthetic Reaction Center: Implications for Mechanism of Electron-Proton Transfer. Science 1997, 276, 812–816. [Google Scholar] [CrossRef]
- Baxter, R.H.; Ponomarenko, N.; Srajer, V.; Pahl, R.; Moffat, K.; Norris, J.R. Time-Resolved Crystallographic Studies of Light-Induced Structural Changes in the Photosynthetic Reaction Center. Proc. Natl. Acad. Sci. USA 2004, 101, 5982–5987. [Google Scholar] [CrossRef]
- Mulkidjanian, A.Y.; Kozlova, M.A.; Cherepanov, D.A. Ubiquinone Reduction in the Photosynthetic Reaction Centre of Rhodobacter Sphaeroides: Interplay between Electron Transfer, Proton Binding and Flips of the Quinone Ring. Biochem. Soc. Trans. 2005, 33, 845–850. [Google Scholar] [CrossRef]
- Shlyk-Kerner, O.; Samish, I.; Kaftan, D.; Holland, N.; Sai, P.S.; Kless, H.; Scherz, A. Protein Flexibility Acclimatizes Photosynthetic Energy Conversion to the Ambient Temperature. Nature 2006, 442, 827–830. [Google Scholar] [CrossRef]
- Pieper, J.; Hauss, T.; Buchsteiner, A.; Renger, G. The Effect of Hydration on Protein Flexibility in Photosystem II of Green Plants Studied by Quasielastic Neutron Scattering. Eur. Biophys. J. EBJ 2008, 37, 657–663. [Google Scholar] [CrossRef]
- Pieper, J.; Hauss, T.; Buchsteiner, A.; Baczynski, K.; Adamiak, K.; Lechner, R.E.; Renger, G. Temperature- and Hydration-Dependent Protein Dynamics in Photosystem II of Green Plants Studied by Quasielastic Neutron Scattering. Biochemistry 2007, 46, 11398–11409. [Google Scholar] [CrossRef]
- Nagy, G.; Unnep, R.; Zsiros, O.; Tokutsu, R.; Takizawa, K.; Porcar, L.; Moyet, L.; Petroutsos, D.; Garab, G.; Finazzi, G.; et al. Chloroplast Remodeling During State Transitions in Chlamydomonas Reinhardtii as Revealed by Noninvasive Techniques in Vivo. Proc. Natl. Acad. Sci. USA 2014, 111, 5042–5047. [Google Scholar] [CrossRef]
- Sacquin-Mora, S.; Sebban, P.; Derrien, V.; Frick, B.; Lavery, R.; Alba-Simionesco, C. Probing the Flexibility of the Bacterial Reaction Center: The Wild-Type Protein Is More Rigid Than Two Site-Specific Mutants. Biochemistry 2007, 46, 14960–14968. [Google Scholar] [CrossRef]
- Russo, D.; Lambreva, M.D.; Simionesco, C.A.; Sebban, P.; Rea, G. Dynamics Properties of Photosynthetic Microorganisms Probed by Incoherent Neutron Scattering. Biophys. J. 2019, 116, 1759–1768. [Google Scholar] [CrossRef]
- Gabel, F.; Bicout, D.; Lehnert, U.; Tehei, M.; Weik, M.; Zaccai, G. Protein Dynamics Studied by Neutron Scattering. Q. Rev. Biophys. 2002, 35, 327–367. [Google Scholar] [CrossRef] [PubMed]
- Vural, D.; Hu, X.; Lindner, B.; Jain, N.; Miao, Y.; Cheng, X.; Liu, Z.; Hong, L.; Smith, J.C. Quasielastic Neutron Scattering in Biology: Theory and Applications. Biochem. Biophys. Acta 2017, 1861, 3638–3650. [Google Scholar] [CrossRef] [PubMed]
- Grimaldo, M.; Roosen-Runge, F.; Zhang, F.; Schreiber, F.; Seydel, T. Dynamics of Proteins in Solution. Q. Rev. Biophys. 2019, 52, 1–63. [Google Scholar] [CrossRef]
- Smith, J.C. Protein Dynamics—Comparison of Simulations with Inelastic Neutron-Scattering Experiments. Q. Rev. Biophys. 1991, 24, 227–291. [Google Scholar] [CrossRef] [PubMed]
- Kneller, G.R. Quasielastic Neutron Scattering and Relaxation Processes in Proteins: Analytical and Simulation-Based Models. Phys. Chem. Chem. Phys. 2005, 7, 2641–2655. [Google Scholar] [CrossRef] [PubMed]
- Berthold, D.A.; Babcock, G.T.; Yocum, C.F. A Highly Resolved, Oxygen-Evolving Photosystem II Preparation from Spinach Thylakoid Membranes: Epr and Electron-Transport Properties. FEBS Lett. 1981, 138, 231–234. [Google Scholar] [CrossRef]
- Völker, M.; Ono, T.; Inoue, Y.; Renger, G. Effect of Trypsin on Ps-II Particles—Correlation between Hill-Activity, Mn-Abundance and Peptide Pattern. Biochim. Biophys. Acta 1985, 806, 25–34. [Google Scholar] [CrossRef]
- Bee, M. Quasielastic Neutron Scattering: Principles and Applications in Solid State Chemistry, Biological Materials Science; CRC Press: Bristol, UK, 1988. [Google Scholar]
- Singwi, K.S.; Sjölander, A. Diffusive Motions in Water and Cold Neutron Scattering*. Phys. Rev. 1960, 119, 863–871. [Google Scholar] [CrossRef]
- Stadler, A.M.; van Eijck, L.; Demmel, F.; Artmann, G. Macromolecular Dynamics in Red Blood Cells Investigated Using Neutron Spectroscopy. J. R. Soc. Interface 2011, 8, 590–600. [Google Scholar] [CrossRef]
- Stadler, A.M.; Garvey, C.J.; Embs, J.P.; Koza, M.M.; Unruh, T.; Artmann, G.; Zaccai, G. Picosecond Dynamics in Haemoglobin from Different Species: A Quasielastic Neutron Scattering Study. Biochim. Biophys. Acta 2014, 1840, 2989–2999. [Google Scholar] [CrossRef]
- Grimaldo, M.; Roosen-Runge, F.; Hennig, M.; Zanini, F.; Zhang, F.; Jalarvo, N.; Zamponi, M.; Schreiber, F.; Seydel, T. Hierarchical Molecular Dynamics of Bovine Serum Albumin in Concentrated Aqueous Solution Below and above Thermal Denaturation. Phys. Chem. Chem. Phys. 2015, 17, 4645–4655. [Google Scholar] [CrossRef] [PubMed]
- OriginLab Corporation. Originpro 2018; OriginLab Corporation: Northampton, MA, USA, 2018. [Google Scholar]
- Gaspar, A.M.; Appavou, M.S.; Busch, S.; Unruh, T.; Doster, W. Dynamics of Well-Folded and Aatively Disordered Proteins in Solution: A Time-of-Flight Neutron Scattering Study. Eur. Biophys. J. EBJ 2008, 37, 573–582. [Google Scholar] [CrossRef]
- Golub, M.; Moldenhauer, M.; Schmitt, F.J.; Lohstroh, W.; Maksimov, E.G.; Friedrich, T.; Pieper, J. Solution Structure and Conformational Flexibility in the Active State of the Orange Carotenoid Protein. Part II: Quasielastic Neutron Scattering. J. Phys. Chem. B 2019, 123, 9536–9545. [Google Scholar] [CrossRef] [PubMed]
- Fitter, J.; Lechner, R.E.; Dencher, N.A. Interactions of Hydration Water and Biological Membranes Studied by Neutron Scattering. J. Phys. Chem. B 1999, 103, 8036–8050. [Google Scholar] [CrossRef]
- Frauenfelder, H.; Chen, G.; Berendzen, J.; Fenimore, P.W.; Jansson, H.; McMahon, B.H.; Stroe, I.R.; Swenson, J.; Young, R.D. A Unified Model of Protein Dynamic. Proc. Natl. Acad. Sci. USA 2009, 106, 5129–5134. [Google Scholar] [CrossRef] [PubMed]
- Roh, J.H.; Curtis, J.E.; Azzam, S.; Novikov, V.N.; Peral, I.; Chowdhuri, Z.; Gregory, R.B.; Sokolov, A.P. Influence of Hydration on the Dynamics of Lysozyme. Biophys. J. 2006, 91, 2573–2588. [Google Scholar] [CrossRef]
- Schiro, G.; Caronna, C.; Natali, F.; Cupane, A. Direct Evidence of the Amino Acid Side Chain and Backbone Contributions to Protein Anharmonicity. J. Am. Chem. Soc. 2010, 132, 1371–1376. [Google Scholar] [CrossRef]
- Wanderlingh, U.; D’Angelo, G.; Branca, C.; Nibali, V.C.; Trimarchi, A.; Rifici, S.; Finocchiaro, D.; Crupi, C.; Ollivier, J.; Middendorf, H.D. Multi-Component Modeling of Quasielastic Neutron Scattering from Phospholipid Membranes. J. Chem. Phys. 2014, 140, 174901. [Google Scholar] [CrossRef] [PubMed]
- Stadler, A.M.; Knieps-Grunhagen, E.; Bocola, M.; Lohstroh, W.; Zamponi, M.; Krauss, U. Photoactivation Reduces Side-Chain Dynamics of a Lov Photoreceptor. Biophys. J. 2016, 110, 1064–1074. [Google Scholar] [CrossRef]
- Doster, W.; Cusack, S.; Petry, W. Dynamical Transition of Myoglobin Revealed by Inelastic Neutron Scattering. Nature 1989, 337, 754–756. [Google Scholar] [CrossRef]
- Lehnert, U.; Reat, V.; Weik, M.; Zaccai, G.; Pfister, C. Thermal Motions in Bacteriorhodopsin at Different Hydration Levels Studied by Neutron Scattering: Correlation with Kinetics and Light-Induced Conformational Changes. Biophys. J. 1998, 75, 1945–1952. [Google Scholar] [CrossRef]
- Aoun, B.; Pellegrini, E.; Trapp, M.; Natali, F.; Cantu, L.; Brocca, P.; Gerelli, Y.; Deme, B.; Marek Koza, M.; Johnson, M.; et al. Direct Comparison of Elastic Incoherent Neutron Scattering Experiments with Molecular Dynamics Simulations of Dmpc Phase Transitions. Eur. Phys. J. E Soft Matter Biol. Phys. 2016, 39, 48. [Google Scholar] [CrossRef] [PubMed][Green Version]
- Pieper, J.; Trapp, M.; Skomorokhov, A.; Natkaniec, I.; Peters, J.; Renger, G. Temperature-Dependent Vibrational and Conformational Dynamics of Photosystem II Membrane Fragments from Spinach Investigated by Elastic and Inelastic Neutron Scattering. Biochem. Biophys. Acta 2012, 1817, 1213–1219. [Google Scholar] [CrossRef] [PubMed]
- Golub, M.; Rusevich, L.; Irrgang, K.D.; Pieper, J. Rigid Versus Flexible Protein Matrix: Light-Harvesting Complex II Exhibits a Temperature-Dependent Phonon Spectral Density. J. Phys. Chem. B 2018, 122, 7111–7121. [Google Scholar] [CrossRef] [PubMed]
- Khodadadi, S.; Pawlus, S.; Sokolov, A.P. Influence of Hydration on Protein Dynamics: Combining Dielectric and Neutron Scattering Spectroscopy Data. J. Phys. Chem. B 2008, 112, 14273–14280. [Google Scholar] [CrossRef]
- Roh, J.H.; Novikov, V.N.; Gregory, R.B.; Curtis, J.E.; Chowdhuri, Z.; Sokolov, A.P. Onsets of Anharmonicity in Protein Dynamics. Phys. Rev. Lett. 2005, 95, 038101. [Google Scholar] [CrossRef]
- Curtis, J.E.; McAuley, A.; Nanda, H.; Krueger, S. Protein Structure and Interactions in the Solid State Studied by Small-Angle Neutron Scattering. Faraday Discuss. 2012, 158, 285–299; discussion 351–270. [Google Scholar] [CrossRef]
- Curtis, J.E.; Nanda, H.; Khodadadi, S.; Cicerone, M.; Lee, H.J.; McAuley, A.; Krueger, S. Small-Angle Neutron Scattering Study of Protein Crowding in Liquid and Solid Phases: Lysozyme in Aqueous Solution, Frozen Solution, and Carbohydrate Powders. J. Phys. Chem. B 2012, 116, 9653–9667. [Google Scholar] [CrossRef]
- Roosen-Runge, F.; Hennig, M.; Zhang, F.; Jacobs, R.M.; Sztucki, M.; Schober, H.; Seydel, T.; Schreiber, F. Protein Self-Diffusion in Crowded Solutions. Proc. Natl. Acad. Sci. USA 2011, 108, 11815–11820. [Google Scholar] [CrossRef]






Disclaimer/Publisher’s Note: The statements, opinions and data contained in all publications are solely those of the individual author(s) and contributor(s) and not of MDPI and/or the editor(s). MDPI and/or the editor(s) disclaim responsibility for any injury to people or property resulting from any ideas, methods, instructions or products referred to in the content. |
© 2023 by the authors. Licensee MDPI, Basel, Switzerland. This article is an open access article distributed under the terms and conditions of the Creative Commons Attribution (CC BY) license (https://creativecommons.org/licenses/by/4.0/).
Share and Cite
Golub, M.; Koppel, M.; Pikma, P.; Frick, B.; Pieper, J. Dynamics–Function Correlation in Photosystem II: Molecular Dynamics in Solution. Crystals 2023, 13, 1441. https://doi.org/10.3390/cryst13101441
Golub M, Koppel M, Pikma P, Frick B, Pieper J. Dynamics–Function Correlation in Photosystem II: Molecular Dynamics in Solution. Crystals. 2023; 13(10):1441. https://doi.org/10.3390/cryst13101441
Chicago/Turabian StyleGolub, Maksym, Miriam Koppel, Piret Pikma, Bernhard Frick, and Jörg Pieper. 2023. "Dynamics–Function Correlation in Photosystem II: Molecular Dynamics in Solution" Crystals 13, no. 10: 1441. https://doi.org/10.3390/cryst13101441
APA StyleGolub, M., Koppel, M., Pikma, P., Frick, B., & Pieper, J. (2023). Dynamics–Function Correlation in Photosystem II: Molecular Dynamics in Solution. Crystals, 13(10), 1441. https://doi.org/10.3390/cryst13101441

