Three-Dimensional Simulation of Melt Convection and Oxygen Transport in CZ-Si Crystal Growth with Cusp Magnetic Fields
Abstract
1. Introduction
2. Numerical Details
2.1. Physical Parameters
2.2. Mathematical Model
2.3. Boundary Conditions
2.4. Computational Setup
3. Results and Discussion
3.1. The Averaged Fields
3.2. Variations of Buoyant Plumes
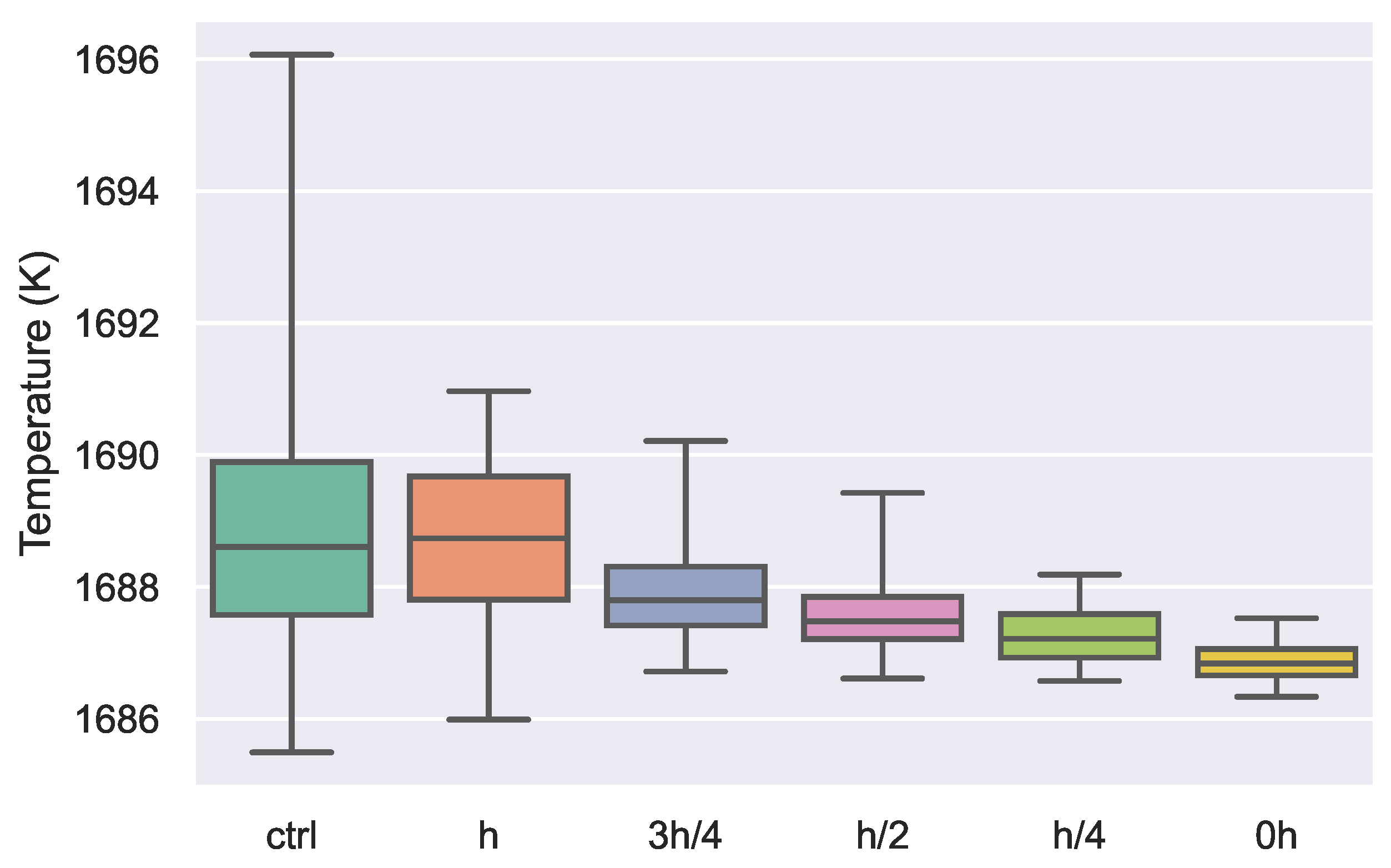
3.3. Temperature Fluctuations and Thermal Waves
3.4. Oxygen Transport
4. Conclusions
Author Contributions
Funding
Data Availability Statement
Conflicts of Interest
References
- Liu, L.; Kakimoto, K. Partly three-dimensional global modeling of a silicon Czochralski furnace. I. Principles, formulation and implementation of the model. Int. J. Heat Mass Transf. 2005, 48, 4481–4491. [Google Scholar] [CrossRef]
- Liu, X.; Liu, L.; Li, Z.; Wang, Y. Effects of cusp-shaped magnetic field on melt convection and oxygen transport in an industrial CZ-Si crystal growth. J. Cryst. Growth 2012, 354, 101–108. [Google Scholar] [CrossRef]
- Ding, J.; Liu, L. The influence mechanism of melt flow instability on the temperature fluctuation on the crystal/melt interface during Czochralski silicon crystal growth. Int. J. Heat Mass Transf. 2019, 142, 118463. [Google Scholar] [CrossRef]
- Kalaev, V. Computer modeling of HMCz Si growth. J. Cryst. Growth 2020, 532, 125413. [Google Scholar] [CrossRef]
- Teng, R.; Chang, Q.; Li, Y.; Cui, B.; Xiao, Q.H.; Zhang, G.H. Numerical analysis of solid–liquid interface shape during large-size single crystalline silicon with Czochralski method. Rare Met. 2017, 36, 289–294. [Google Scholar] [CrossRef]
- Kakimoto, K.; Liu, X.; Nakano, S. Analysis of the Effect of Cusp-Shaped Magnetic Fields on Heat, Mass, and Oxygen Transfer Using a Coupled 2D/3D Global Model. Cryst. Res. Technol. 2022, 57, 2100092. [Google Scholar] [CrossRef]
- Ding, J.; Li, Y.; Liu, L. Effect of cusp magnetic field on the turbulent melt flow and crystal/melt interface during large-size Czochralski silicon crystal growth. Int. J. Therm. Sci. 2021, 170, 107137. [Google Scholar] [CrossRef]
- Series, R.; Hurle, D. The use of magnetic fields in semiconductor crystal growth. J. Cryst. Growth 1991, 113, 305–328. [Google Scholar] [CrossRef]
- Ding, J.; Li, Y. Three-dimensional characteristics of turbulent flow and heat transfer in Czochralski silicon melt with different cusp magnetic field configurations. Phys. Fluids 2022, 34, 025117. [Google Scholar] [CrossRef]
- Liu, X.; Harada, H.; Miyamura, Y.; Han, X.F.; Nakano, S.; Nishizawa, S.i.; Kakimoto, K. Transient global modeling for the pulling process of Czochralski silicon crystal growth. I. Principles, formulation, and implementation of the model. J. Cryst. Growth 2020, 532, 125405. [Google Scholar] [CrossRef]
- Vegad, M.S.; Bhatt, N. Numerical Investigation of Effect of Temperature Profile Imposed on the Crucible Surface on Oxygen Incorporated at the Crystal Melt Interface for 450 mm Diameter Silicon Single Crystal Growth in Presence of CUSP Magnetic Field Using Czochralski Technique. Silicon 2021, 13, 3909–3925. [Google Scholar] [CrossRef]
- Nguyen, T.H.T.; Chen, J.C. Effects of different cusp magnetic ratios and crucible rotation conditions on oxygen transport and point defect formation during Cz silicon crystal growth. Mater. Sci. Semicond. Process. 2021, 128, 105758. [Google Scholar] [CrossRef]
- Nguyen, T.H.T.; Chen, J.C.; Hu, C.; Chen, C.H. Effects of crystal-crucible iso-rotation and a balanced/unbalanced cusp magnetic field on the heat, flow, and oxygen transport in a Czochralski silicon melt. J. Cryst. Growth 2020, 531, 125373. [Google Scholar] [CrossRef]
- Vegad, M.; Bhatt, N. Effect of Location of Zero Gauss Plane on Oxygen Concentration at Crystal Melt Interface During Growth of Magnetic Silicon Single Crystal Using Czochralski Technique. Procedia Technol. 2016, 23, 480–487. [Google Scholar] [CrossRef][Green Version]
- Daggolu, P.; Ryu, J.W.; Galyukov, A.; Kondratyev, A. Analysis of the effect of symmetric/asymmetric CUSP magnetic fields on melt/crystal interface during Czochralski silicon growth. J. Cryst. Growth 2016, 452, 22–26. [Google Scholar] [CrossRef]
- Chen, J.C.; Guo, P.C.; Chang, C.H.; Teng, Y.Y.; Hsu, C.; Wang, H.M.; Liu, C.C. Numerical simulation of oxygen transport during the Czochralski silicon crystal growth with a cusp magnetic field. J. Cryst. Growth 2014, 401, 888–894. [Google Scholar] [CrossRef]
- Liu, L.; Liu, X.; Wang, Y. Large-eddy simulation of melt turbulence in a 300-mm Cz–Si crystal growth. Int. J. Heat Mass Transf. 2012, 55, 53–60. [Google Scholar] [CrossRef]
- Cen, X.; Zhan, J.; Li, Y.S. Large eddy simulation of Marangoni convection in Czochralski crystal growth. Cryst. Res. Technol. 2011, 46, 14–22. [Google Scholar] [CrossRef]
- Borisov, D.; Artemyev, V.; Kalaev, V.; Smirnov, A.; Kuliev, A.; Zobel, F.; Kunert, R.; Turan, R.; Aydin, O.; Kabacelik, I. Advanced approach for oxygen transport and crystallization front calculation in Cz silicon crystal growth. J. Cryst. Growth 2022, 583, 126493. [Google Scholar] [CrossRef]
- Cen, X.; Li, Y.S.; Zhan, J. Three dimensional simulation of melt flow in Czochralski crystal growth with steady magnetic fields. J. Cryst. Growth 2012, 340, 135–141. [Google Scholar] [CrossRef]
- Chen, X.; Zhan, J.M.; Li, Y.S.; Cen, X.R. Large eddy simulation of industrial Czochralski Si crystal growth under transverse magnetic field. J. Cryst. Growth 2014, 389, 60–67. [Google Scholar] [CrossRef]
- Raufeisen, A.; Breuer, M.; Botsch, T.; Delgado, A. DNS of rotating buoyancy– and surface tension–driven flow. Int. J. Heat Mass Transf. 2008, 51, 6219–6234. [Google Scholar] [CrossRef]
- Verma, S.; Dewan, A. Deciphering the flow structure of Czochralski melt using Partially Averaged Navier–Stokes (PANS) method. Sādhanā 2018, 43, 1. [Google Scholar] [CrossRef]
- Verma, S.; Dewan, A. Partially-Averaged Navier-Stokes (PANS) approach for study of fluid flow and heat transfer characteristics in Czochralski melt. J. Cryst. Growth 2018, 481, 56–64. [Google Scholar] [CrossRef]
- Verma, S.; Dewan, A. A study of thermo-fluid characteristics of Czochralski melt using rotation and curvature corrected Partially-Averaged Navier-Stokes (PANS) turbulence models. Int. J. Therm. Sci. 2019, 140, 50–58. [Google Scholar] [CrossRef]
- Verma, S.; Dewan, A. Thermofluid Characteristics of Czochralski Melt Convection Using 3D URANS Computations. J. Therm. Sci. Eng. Appl. 2019, 11, 061017. [Google Scholar] [CrossRef]
- Borisov, D.V.; Kalaev, V.V. ILES of melt turbulent convection with conjugated heat transfer in the crucible and gas flow for Czochralski silicon crystal growth system. J. Cryst. Growth 2021, 573, 126305. [Google Scholar] [CrossRef]
- Kondratyev, A.; Demina, S.; Smirnov, A.; Kalaev, V.; Ratnieks, G.; Kadinski, L.; Sattler, A. 3D unsteady and steady modeling of heat and mass transfer during Cz Si crystal growth with a horizontal magnetic field. Int. J. Heat Mass Transf. 2021, 178, 121604. [Google Scholar] [CrossRef]
- Hoang, V.Q.; Hoang, T.T.; Dinh, C.T.; Plourde, F. Large eddy simulation of the turbulence heat and mass transfer of pulsating flow in a V-sharp corrugated channel. Int. J. Heat Mass Transf. 2021, 166, 120720. [Google Scholar] [CrossRef]
- Raufeisen, A.; Breuer, M.; Botsch, T.; Delgado, A. LES validation of turbulent rotating buoyancy- and surface tension-driven flow against DNS. Comput. Fluids 2009, 38, 1549–1565. [Google Scholar] [CrossRef]
- Germano, M.; Piomelli, U.; Moin, P.; Cabot, W.H. A dynamic subgrid-scale eddy viscosity model. Phys. Fluids A Fluid Dyn. 1991, 3, 1760–1765. [Google Scholar] [CrossRef]
- Gräbner, O.; Müller, G.; Virbulis, J.; Tomzig, E.; Ammon, W.V. Effects of various magnetic field configurations on temperature distributions in Czochralski silicon melts. Microelectron. Eng. 2001, 56, 83–88. [Google Scholar] [CrossRef]
- Huang, X.; Terashima, K.; Sasaki, H.; Eiji Tokizaki, E.T.; Shigeyuki Kimura, S.K. Oxygen Solubilities in Si Melt:Influence of Sb Addition. Jpn. J. Appl. Phys. 1993, 32, 3671. [Google Scholar] [CrossRef]
- Togawa, S.; Huang, X.; Izunome, K.; Terashima, K.; Kimura, S. Oxygen transport analysis in Czochralski silicon melt by considering the oxygen evaporation from the melt surface. J. Cryst. Growth 1995, 148, 70–78. [Google Scholar] [CrossRef]
- Vizman, D.; Gräbner, O.; Müller, G. Three-dimensional numerical simulation of thermal convection in an industrial Czochralski melt: Comparison to experimental results. J. Cryst. Growth 2001, 233, 687–698. [Google Scholar] [CrossRef]
- Kumar, V.; Basu, B.; Enger, S.; Brenner, G.; Durst, F. Role of Marangoni convection in Si–Czochralski melts—Part II: 3D predictions with crystal rotation. J. Cryst. Growth 2003, 255, 27–39. [Google Scholar] [CrossRef]
- Scheel, H.; Fukuda, T. Crystal Growth Technology; Wiley: Hoboken, NJ, USA, 2005. [Google Scholar]










| Parameter | Symbol | Value | Unit |
|---|---|---|---|
| Density | 2530 | ||
| Dynamic viscosity | kg/(ms) | ||
| Kinematic viscosity | |||
| Thermal conductivity | k | W/m K | |
| Diffusion coefficient of oxygen | |||
| Specific Heat | J/(K kg) | ||
| Prandtl number | - | ||
| Schmidt number | 10 | - | |
| Thermal expansion coefficient | |||
| Surface tension coefficient | N/(K m) | ||
| Melting temperature | - | 1685 | K |
| Stefan-Boltzmann constant | |||
| Environment temperature | 1600 | ||
| Emissivity | - | - | |
| Electrical conductivity (melt) |
| Cases | Dissolution ( Atoms/cm) | Incorporation ( Atoms/cm) | Percentage (%) |
|---|---|---|---|
| ctr | 30,371 | 407 | 1.64 |
| h | 31,550 | 504 | 1.60 |
| 31,311 | 398 | 1.27 | |
| 33,350 | 361 | 1.08 | |
| 31,664 | 200 | 0.63 | |
| 32,704 | 76 | 0.23 |
Disclaimer/Publisher’s Note: The statements, opinions and data contained in all publications are solely those of the individual author(s) and contributor(s) and not of MDPI and/or the editor(s). MDPI and/or the editor(s) disclaim responsibility for any injury to people or property resulting from any ideas, methods, instructions or products referred to in the content. |
© 2023 by the authors. Licensee MDPI, Basel, Switzerland. This article is an open access article distributed under the terms and conditions of the Creative Commons Attribution (CC BY) license (https://creativecommons.org/licenses/by/4.0/).
Share and Cite
Cen, X.; Guo, S. Three-Dimensional Simulation of Melt Convection and Oxygen Transport in CZ-Si Crystal Growth with Cusp Magnetic Fields. Crystals 2023, 13, 1436. https://doi.org/10.3390/cryst13101436
Cen X, Guo S. Three-Dimensional Simulation of Melt Convection and Oxygen Transport in CZ-Si Crystal Growth with Cusp Magnetic Fields. Crystals. 2023; 13(10):1436. https://doi.org/10.3390/cryst13101436
Chicago/Turabian StyleCen, Xianrong, and Shuangxi Guo. 2023. "Three-Dimensional Simulation of Melt Convection and Oxygen Transport in CZ-Si Crystal Growth with Cusp Magnetic Fields" Crystals 13, no. 10: 1436. https://doi.org/10.3390/cryst13101436
APA StyleCen, X., & Guo, S. (2023). Three-Dimensional Simulation of Melt Convection and Oxygen Transport in CZ-Si Crystal Growth with Cusp Magnetic Fields. Crystals, 13(10), 1436. https://doi.org/10.3390/cryst13101436

