Properties of Self-Compacting Concrete Using Multi-Component Blend Binders for CO2 Reduction
Abstract
:1. Introduction
2. Materials and Methods
2.1. Materials
2.2. Experimental Plan
2.2.1. Calcium Carbonate Review
2.2.2. Rheological Review
2.2.3. Concrete Test
3. Results and Discussion
3.1. Calcium Carbonate
3.2. Paste Properties
3.3. Fresh Concrete
3.3.1. Air Content
3.3.2. Slump Flow
3.3.3. Segregation Resistance Ability
3.3.4. Filling Ability
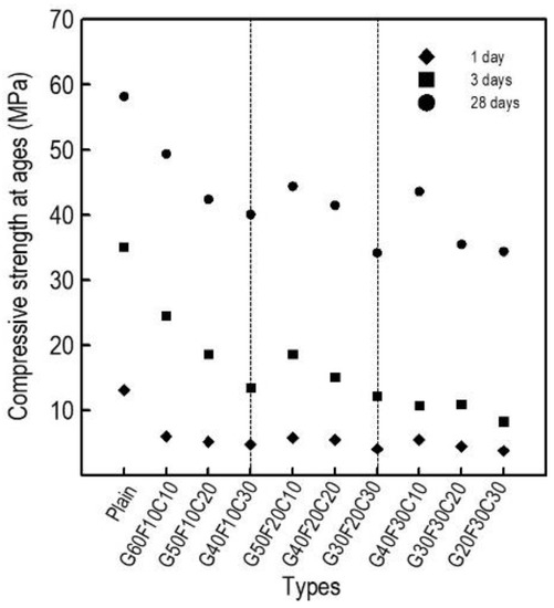
3.4. Mechanical Properties of Concrete
4. Conclusions
Funding
Institutional Review Board Statement
Informed Consent Statement
Data Availability Statement
Conflicts of Interest
References
- Higuchi, T.; Morioka, M.; Yoshioka, I.; Yokozeki, K. Development of a new ecological concrete with CO2 emissions below zero. Constr. Build. Mater. 2014, 67, 338–343. [Google Scholar] [CrossRef]
- Environment, U.N.; Scrivener, K.L.; John, V.M.; Gartner, E.M. Eco-efficient cements: Potential economically viable solutions for a low-CO2 cement-based materials industry. Cem. Concr. Res. 2018, 114, 2–26. [Google Scholar]
- Gartner, E. Industrially interesting approaches to “low-CO2” cements. Cem. Concr. Res. 2004, 34, 1489–1498. [Google Scholar] [CrossRef]
- Filippo, J.D.; Karpman, J.; Deshazo, J.R. The impacts of policies to reduce CO2 emissions within the concrete supply chain. Cem. Concr. Compos. 2019, 101, 67–82. [Google Scholar] [CrossRef]
- He, Z.; Zhu, X.; Wang, J.; Mu, M.; Wang, Y. Comparison of CO2 emissions from OPC and recycled cement production. Constr. Build. Mater. 2019, 211, 965–973. [Google Scholar] [CrossRef]
- Xie, T.; Mohamad Ali, M.S.; Elchalakani, M.; Visintin, P. Modelling fresh and hardened properties of self-compacting concrete containing supplementary cementitious materials using reactive moduli. Constr. Build. Mater. 2021, 272, 121954. [Google Scholar] [CrossRef]
- Pang, L.; Liu, Z.; Wang, D.; An, M. Review on the Application of Supplementary Cementitious Materials in Self-Compacting Concrete. Crystals 2022, 12, 180. [Google Scholar] [CrossRef]
- Gartner, E.; Hirao, H. A review of alternative approaches to the reduction of CO2 emissions associated with the manufacture of the binder phase in concrete. Cem. Concr. Res. 2015, 78, 126–142. [Google Scholar] [CrossRef] [Green Version]
- Kim, Y.J. Quality properties of self-consolidating concrete mixed with waste concrete powder. Constr. Build. Mater. 2017, 135, 177–185. [Google Scholar] [CrossRef]
- Choi, Y.W.; Kim, Y.J.; Shin, H.C.; Moon, H.Y. An experimental research on the fluidity and mechanical properties of high-strength lightweight self-compacting concrete. Cem. Concr. Res. 2006, 36, 1595–1602. [Google Scholar] [CrossRef]
- ASTM C39/39M; Standard Test Method for Compressive Strength of Cylindrical Concrete Specimens. ASTM International: West Conshohocken, PA, USA, 2005.
- ASTM C496/496M; Standard Test Method for Splitting Tensile Strength of Cylindrical Concrete Specimens. ASTM International: West Conshohocken, PA, USA, 2004.
- ASTM C494/494M; Standard Specification for Chemical Admixtures for Concrete. ASTM International: West Conshohocken, PA, USA, 2005.
- Kim, Y.J.; Choi, Y.W. Utilization of waste concrete powder as a substitution material for cement. Constr. Build. Mater. 2012, 30, 500–504. [Google Scholar] [CrossRef]
- Choi, Y.W.; Kim, Y.J.; Choi, O.; Lee, K.M.; Lachemi, M. Utilization of tailings from tungsten mine waste as a substitution material for cement. Constr. Build. Mater. 2009, 23, 2481–2486. [Google Scholar] [CrossRef]
- Shaikh, F.U.A.; Supit, S.W.M. Mechanical and durability properties of high volume fly ash (HVFA) concrete containing calcium carbonate (CaCO3) nanoparticles. Constr. Build. Mater. 2014, 70, 309–321. [Google Scholar] [CrossRef]
- Hui, Z.; Wei, S.; Xiaoming, W.; Bo, G. The properties of the self-compacting concrete with fly ash and ground granulated blast furnace slag mineral admixtures. J. Clean. Prod. 2015, 95, 66–74. [Google Scholar]
- Li, Y.; Lin, H.; Wang, Z. Quantitative analysis of fly ash in hardened cement paste. Constr. Build. Mater. 2017, 153, 139–145. [Google Scholar] [CrossRef]
- Pusit, L.; Gritsada, S.I.; Natt, M. Effects of calcium carbonate powder on the fresh and hardened properties of self-consolidating concrete incorporating untreated rice husk ash. J. Clean. Prod. 2018, 172, 3265–3278. [Google Scholar]
- CEB-FIP. FIP Model Code for Concrete Structures 2010; Wilhelm Ernst & Sohn: Berlin, Germany, 2013; pp. 77–78. [Google Scholar]
- Mehta, P.K.; Monteiro, P.J. Concrete: Microstructure, Properties, and Materials, 4th ed.; McGraw-Hill Education: New York, NY, USA, 2013; pp. 84–85. [Google Scholar]












| Types | OPC 1 | GGBF 2 | FA 3 | CC 4 |
|---|---|---|---|---|
| Chemical analysis (wt.%) | ||||
| SiO2 | 21.60 | 33.33 | 58.20 | 0.67 |
| Al2O3 | 6.00 | 15.34 | 26.28 | 0.39 |
| Fe2O3 | 3.10 | 0.44 | 7.43 | 0.51 |
| CaO | 61.40 | 42.12 | 6.51 | 95.69 |
| MgO | 3.40 | 5.70 | 1.10 | 1.76 |
| SO3 | 2.50 | 2.08 | 0.30 | 0.17 |
| Physical properties | ||||
| Density (g/cm3) | 3.15 | 2.90 | 2.18 | 2.51 |
| Blaine Fineness (cm2/g) | 3539 | 4160 | 3550 | 12,239 |
| Types | W/B 1 | Substitution Ratio (%) |
|---|---|---|
| OPC | 50 | |
| GGBF | 50 | 15, 30 and 45 |
| FA | 50 | 10, 20 and 30 |
| CC | 50 | 10, 20 and 30 |
| No. | Note | Replacement Ratio (%) | W/B | Unit Mass (kg/m3) | SP (×B, %) | AE (×B, %) | ||||||||
|---|---|---|---|---|---|---|---|---|---|---|---|---|---|---|
| GGBF | FA | CC | W | OPC | GGBF | FA | CC | Sand | G | |||||
| 1 | Plain | 0 | 0 | 0 | 0.32 | 155 | 484 | 0 | 0 | 0 | 820 | 860 | 1.6 | 0.005 |
| 2 | G60F10C10 | 60 | 10 | 10 | 0.32 | 155 | 97 | 291 | 48 | 48 | 796 | 835 | 1.2 | |
| 3 | G50F10C20 | 50 | 10 | 20 | 0.32 | 155 | 97 | 242 | 48 | 97 | 793 | 832 | 1.2 | |
| 4 | G40F10C30 | 40 | 10 | 30 | 0.32 | 155 | 97 | 194 | 48 | 145 | 789 | 828 | 1.4 | |
| 5 | G50F20C10 | 50 | 20 | 10 | 0.32 | 155 | 97 | 242 | 97 | 78 | 789 | 828 | 1.4 | |
| 6 | G40F20C20 | 40 | 20 | 20 | 0.32 | 155 | 97 | 194 | 97 | 94 | 786 | 824 | 1.5 | |
| 7 | G30F20C30 | 30 | 20 | 30 | 0.32 | 155 | 97 | 145 | 97 | 145 | 782 | 821 | 1.6 | |
| 8 | G40F30C10 | 40 | 30 | 10 | 0.32 | 155 | 97 | 194 | 145 | 48 | 782 | 820 | 1.5 | |
| 9 | G30F30C20 | 30 | 30 | 20 | 0.32 | 155 | 97 | 145 | 145 | 97 | 779 | 817 | 1.5 | |
| 10 | G20F30C30 | 20 | 30 | 30 | 0.32 | 155 | 97 | 97 | 145 | 145 | 775 | 813 | 1.7 | |
| Items | Target Range | |
|---|---|---|
| Construction condition | Minimum gap between reinforcement (mm) Amount of reinforcement (kg/m3) | 60–200 100–350 |
| Flowability Segregation resistance ability U-box test (mm) | Slump flow (mm) Time it takes to go through the V-funnel (s) Time it takes for the slump flow to reach 500 mm (s) | 600–700 7–13 3–15 ≥300 |
Publisher’s Note: MDPI stays neutral with regard to jurisdictional claims in published maps and institutional affiliations. |
© 2022 by the author. Licensee MDPI, Basel, Switzerland. This article is an open access article distributed under the terms and conditions of the Creative Commons Attribution (CC BY) license (https://creativecommons.org/licenses/by/4.0/).
Share and Cite
Kim, Y.J. Properties of Self-Compacting Concrete Using Multi-Component Blend Binders for CO2 Reduction. Crystals 2022, 12, 864. https://doi.org/10.3390/cryst12060864
Kim YJ. Properties of Self-Compacting Concrete Using Multi-Component Blend Binders for CO2 Reduction. Crystals. 2022; 12(6):864. https://doi.org/10.3390/cryst12060864
Chicago/Turabian StyleKim, Yong Jic. 2022. "Properties of Self-Compacting Concrete Using Multi-Component Blend Binders for CO2 Reduction" Crystals 12, no. 6: 864. https://doi.org/10.3390/cryst12060864
APA StyleKim, Y. J. (2022). Properties of Self-Compacting Concrete Using Multi-Component Blend Binders for CO2 Reduction. Crystals, 12(6), 864. https://doi.org/10.3390/cryst12060864

