Enhanced Li+ Ionic Conduction and Relaxation Properties of Li5+2xLa3Ta2-xGaxO12 Garnets
Abstract
:1. Introduction
2. Materials and Methods
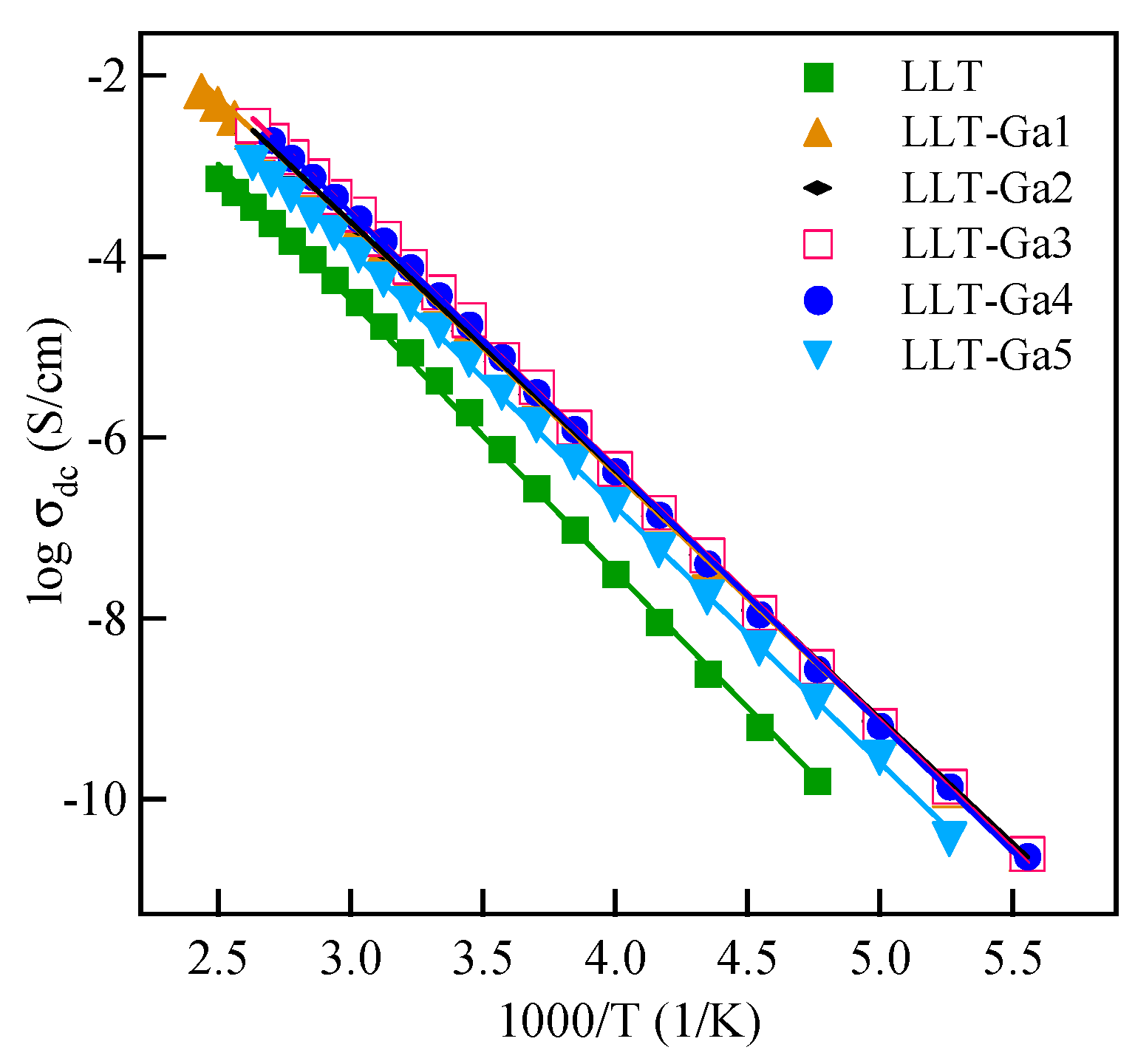
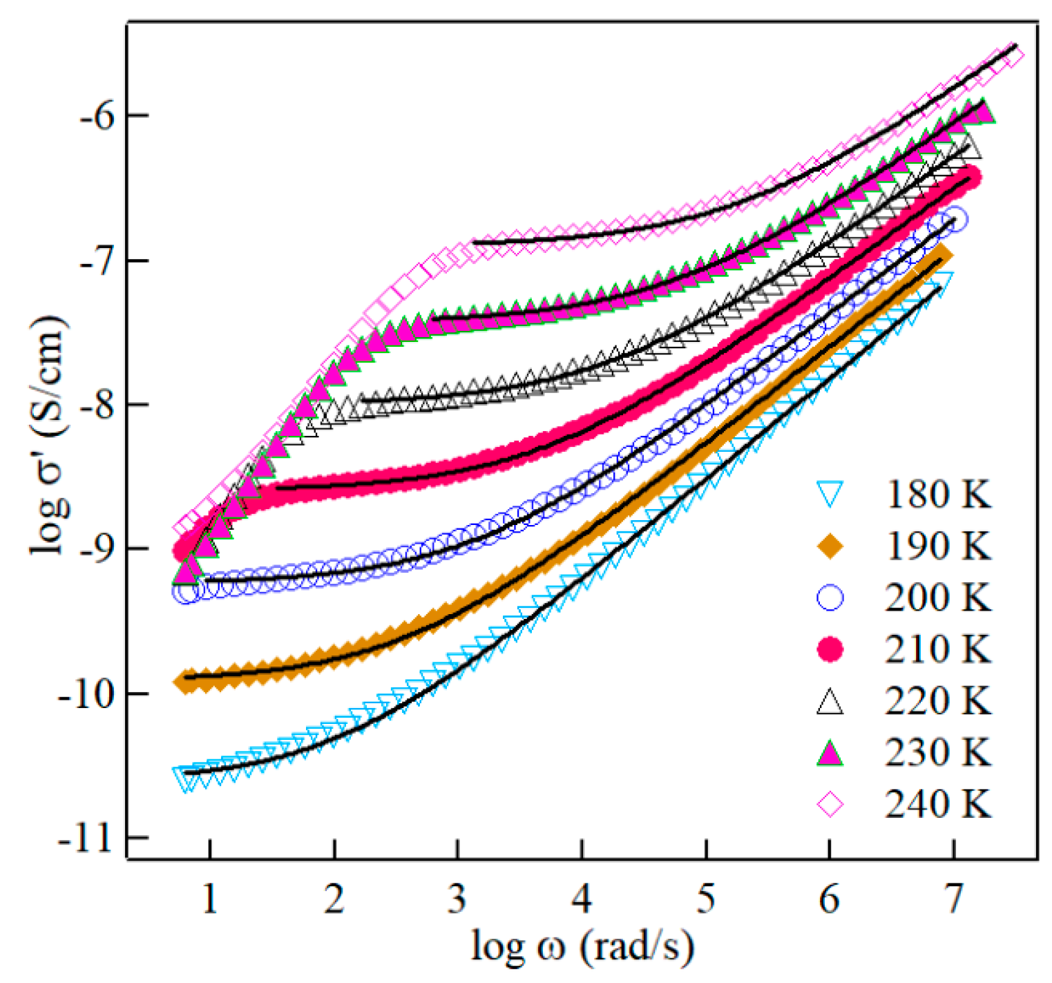
3. Results and Discussion
4. Conclusions
Author Contributions
Funding
Institutional Review Board Statement
Informed Consent Statement
Data Availability Statement
Acknowledgments
Conflicts of Interest
References
- Armand, M.; Tarascon, J.-M. Building better batteries. Nature 2008, 451, 652–657. [Google Scholar] [CrossRef] [PubMed]
- Hasoun, J.; Panero, S.; Reale, P.; Scrosati, B. A new, safe, high-rate and high-energy polymer lithium-ion battery. Adv. Mater. 2009, 21, 4807–4810. [Google Scholar] [CrossRef] [PubMed]
- Chen, C.H.; Xie, S.; Sperling, E.; Yang, A.S.; Henriksen, G.; Amine, K. Stable lithium-ion conducting perovskite lithium-stronsium-tantalum-zirconium-oxide system. Solid State Ion. 2004, 167, 263–272. [Google Scholar] [CrossRef]
- Thangadurai, V.; Weppner, W. Li6ALa2Ta2O12 (A = Sr, Ba): Novel garnet-like oxides for fast lithium ion conduction. Adv. Funct. Mater. 2005, 15, 107–112. [Google Scholar] [CrossRef]
- Thangadurai, V.; Kaack, H.; Weppner, W. Novel fast lithium ion conduction in garnet-type Li5La3M2O12 (M. = Nb, Ta). J. Am. Ceram. Soc. 2003, 86, 437–440. [Google Scholar] [CrossRef]
- Thangadurai, V.; Weppner, W. Investigations on electrical conductivity and chemical compatibility between fast lithium ion conducting garnet-like Li6BaLa2Ta2O12 and lithium battery cathodes. J. Power Sources 2005, 142, 339–344. [Google Scholar] [CrossRef]
- Murugan, R.; Thangadurai, V.; Weppner, W. Effect of lithium ion content on the lithium ion conductivity of the garnet-like structure Li5+xBaLa2Ta2O11.5+0.5x (x = 0 − 2). Appl. Phys. A 2008, 91, 615–620. [Google Scholar] [CrossRef]
- Murugan, R.; Thangaduraiand, V.; Weppner, W. Lithium ion conductivity of Li5+xBaxLa3-xTa2O12 (x = 0 − 2) with garnet-related structure in dependence of the barium content. Ionics 2007, 13, 195–203. [Google Scholar] [CrossRef]
- Murugan, R.; Thangaduraiand, V.; Weppner, W. Lattice parameter and sintering temperature dependence of bulk and grain-boundary conduction of garnet-like solid Li-electrolytes. J. Electrochem. Soc. 2008, 155, A90–A101. [Google Scholar] [CrossRef]
- Awaka, J.; Kijima, N.; Takahashi, Y.; Hayakawa, H.; Akimoto, J. Synthesis and crystallographic studies of garnet-related lithium-ion conductors Li6CaLa2Ta2O12 and Li6BaLa2Ta2O12. Solid State Ion. 2009, 180, 602–606. [Google Scholar] [CrossRef]
- Zhong, Y.; Zhou, Q.; Guo, Y.; Li, Z.; Qiang, Y. The ionic conductivity of Li6BaLa2M2O12 with coexisting Nb and Ta on the M sites. Ionics 2013, 19, 697–700. [Google Scholar] [CrossRef]
- Kokal, I.; Ramanujachary, K.V.; Notten, P.H.L.; Hintzen, H.T. Sol-gel synthesis and lithium ion conduction properties of garnet-type Li6BaLa2Ta2O12. Mater. Res. Bull. 2012, 47, 1932–1935. [Google Scholar] [CrossRef]
- Baral, A.K.; Narayanan, S.; Ramezanipour, F.; Thangadurai, V. Evaluation of fundamental transport properties of Li-excess garnet-type Li5+2xLa3Ta2-xYxO12 (x = 0.25, 0.5 and 0.75) electrolytes using ac impedance and dielectric spectroscopy. Phys. Chem. Chem. Phys. 2014, 16, 11356–11365. [Google Scholar] [CrossRef] [PubMed]
- Gao, Y.X.; Wang, X.P.; Wang, W.G.; Fang, Q.F. Sol-gel synthesis and electrical properties Li5La3Ta2O12 lithium ionic conductors. Solid State Ion. 2010, 181, 33–36. [Google Scholar] [CrossRef]
- Cussen, E.J. The structure of lithium garnets: Cation disorder and clustering in a new family of fast Li+ ion conductors. Chem. Commun. 2006, 4, 412–413. [Google Scholar] [CrossRef] [Green Version]
- O’Challaghan, M.P.; Cussen, E.J. Lithium dimer formation in the Li-conducting garnets Li5+xBaxLa3-xTa2O12 (0 < x ≤ 1.6). Chem. Commun. 2007, 20, 2048–2050. [Google Scholar]
- Xu, M.; Park, M.S.; Lee, J.M.; Kim, T.Y.; Park, Y.S.; Ma, E. Mechanisms of Li+ transport in garnet-type cubic Li3+xLa3M2O12 (M. = Te, Nb, Zr). Phys. Rev. B 2012, 85, 052301. [Google Scholar] [CrossRef]
- Murugan, R.; Thangadurai, V.; Weppner, W. Fast Lithium ion conduction in garnet-type Li7La3Zr2O12. Angew. Chem. Int. Ed. 2007, 46, 7778. [Google Scholar] [CrossRef]
- Bernstein, N.; Johannes, M.D.; Hoang, K. Origin of the structural phase transition in Li7La3Zr2O12. Phys. Rev. Lett. 2012, 109, 205702. [Google Scholar] [CrossRef] [Green Version]
- Rangasamy, E.; Wolfenstine, J.; Sakamoto, J. The role of Al and Li concentration on the formation of cubic garnet solid electrolyte of nominal composition Li7La3Zr2O12. Solid State Ion. 2012, 206, 28. [Google Scholar] [CrossRef]
- Buannic, L.; Orayech, B.; López Del Amo, J.-M.; Carrasco, J.; Katcho, N.A.; Aguesse, F.; Manalastas, W.; Zhang, W.; Kilner, J.; Llordes, A. Dual substitution strategy to enhance Li+ ionic conductivity in Li7La3Zr2O12 solid electrolyte. Chem. Mater. 2017, 29, 1769. [Google Scholar] [CrossRef] [Green Version]
- Rettenwander, D.; Redhammer, G.; Preishuber-Pflugl, F.; Cheng, L.; Miyara, L.; Wagner, R.; Welzl, A.; Suard, E.; Doeff, M.M.; Wilkening, M.; et al. Structural and electrochemical consequences of Al and Ga cosubstitution in Li7La3Zr2O12 solid electrolytes. Chem. Mater. 2016, 28, 2384. [Google Scholar] [CrossRef] [PubMed] [Green Version]
- Deviannapoorani, C.; Dhivya, L.; Ramakumar, S.; Murugan, R. Lithium ion transport properties of high conductive tellurium substituted Li7La3Zr2O12 cubic lithium garnets. J. Power Sources 2013, 240, 18. [Google Scholar] [CrossRef]
- Luo, Y.; Li, X.; Chen, H.; Guo, L. Influence of sintering aid on the microstructure and conductivity of the garnettype W-doped Li7La3Zr2O12 ceramic electrolyte. J. Mater. Sci. Mater. Electron. 2019, 30, 17195. [Google Scholar] [CrossRef]
- Wang, C.; Lin, P.P.; Gong, Y.; Liu, Z.G.; Lin, T.S.; He, P. Co-doping effects of Ba2+ and Ta5+ on the microstructure and ionic conductivity of garnet-type solid state electrolytes. J. Alloys Compd. 2021, 854, 157143. [Google Scholar] [CrossRef]
- Han, J.; Zhu, J.; Li, Y.; Yu, X.; Wang, S.; Wu, G.; Xie, H.; Vogel, S.C.; Izumi, F.; Momma, K.; et al. Experimental visualization of of lithium conduction pathways in garnet-type Li7La3Zr2O12. Chem. Commun. 2012, 48, 9840. [Google Scholar] [CrossRef]
- Wang, D.; Zhong, G.; Dolotko, O.; Li, Y.; McDonald, M.J.; Mi, J.; Fu, R.; Yang, Y. The synergistic effects of Al and Te on the structure and Li+-mobility of garnet-type solid electrolytes. J. Mater. Chem. A 2014, 2, 20271. [Google Scholar] [CrossRef]
- Izumi, F.; Ikeda, T. A Rietveld-Analysis Programm RIETAN-98 and Its Applications to Zeolites. Mater. Sci. Forum. 2000, 321–324, 198–205. [Google Scholar] [CrossRef]
- Almond, D.P.; Ducan, G.K.; West, A.R. The determination of hopping rates and carrier concentrations in ionic conductors by a new analysis of ac conductivity. Solid State Ion. 1983, 8, 159–164. [Google Scholar] [CrossRef]
- Ahmad, M.M.; Yamada, K. Hopping rates and concentration of mobile fluoride ions in Pb1-xSnxF2 solid solutions. J. Chem. Phys. 2007, 127, 124507. [Google Scholar] [CrossRef]
- Hairetdinov, E.F.; Uvarov, N.F.; Patel, H.K.; Martin, S.W. Estimation of the free-charge-carrier concentration in fast-ion conducting Na2S-B2S3 glasses from as analysis of the frequency-dependent conductivity. Phys. Rev. B 1994, 50, 13259–13266. [Google Scholar] [CrossRef] [PubMed] [Green Version]
- Ghosh, A.; Pan, A. Scaling of the conductivity spectra in ionic glasses: Dependence on the structure. Phys. Rev. Lett. 2000, 84, 2188. [Google Scholar] [CrossRef] [PubMed]
- Adams, S.; Rao, R.P. Ion transport and phase transition in Li7-xLa3(Zr2-xMx)O12 (M = Ta5+, Nb5+, x = 0, 0.25). J. Mater. Chem. 2012, 22, 1426–1434. [Google Scholar] [CrossRef]
- Ramirez, A.P.; Subramanian, M.A.; Gardel, M.; Blumberg, G.; Li, D.; Vogt, T.; Shapiro, S.M. Giant dielectric constant response in a copper-titanate. Solid State Commun. 2000, 115, 217–220. [Google Scholar] [CrossRef]
- Li, M.; Sinclair, D.C.; West, A.R. Extrinsic origins of the apparent relaxorlike behavior in CaCu3Ti4O12 ceramics at high temperatures: A cautionary tale. J. Appl. Phys. 2011, 109, 084106. [Google Scholar] [CrossRef]
- Ahmad, M.M.; Kotb, H.M.; Joseph, C.; Kumar, S.; Alshoaibi, A. Transport and dielectric properties of mechanosynthesized La2/3Cu3Ti4O12 ceramics. Crystals 2021, 11, 313. [Google Scholar] [CrossRef]
- Garcia-Martin, S.; Morata-Orrantia, A.; Alario-Franco, M.A. Influence of the crystal microstructure on the dielectric response of the La0.67Li0.2Ti0.8Al0.2O3. J. Appl. Phys. 2006, 100, 054101. [Google Scholar] [CrossRef]
- Ahmad, M.M. Giant dielectric properties of nanocrystalline Pb1-xSnxF2 solid solutions. J. Mater. Sci. Mater. Electron. 2014, 25, 4398–4403. [Google Scholar] [CrossRef]








| x | σdc at 300 K (S/cm) | ΔE (e.V) | Eσ (e.V) | EH (e.V) | Etanδ (e.V) | nc (cm−3) |
|---|---|---|---|---|---|---|
| 0.00 | 4.26 × 10−6 | 0.62 | 0.62 | 0.55 | 0.51 | 9.10 × 1020 |
| 0.10 | 3.21 × 10−5 | 0.55 | 0.53 | 0.47 | 0.55 | 1.23 × 1021 |
| 0.20 | 3.13 × 10−5 | 0.55 | 0.52 | 0.46 | 0.54 | 1.31 × 1021 |
| 0.30 | 4.00 × 10−5 | 0.56 | 0.53 | 0.47 | 0.57 | 1.21 × 1021 |
| 0.40 | 3.68 × 10−5 | 056 | 0.53 | 0.47 | 0.57 | 1.62 × 1021 |
| 0.50 | 1.50 × 10−5 | 0.56 | 0.55 | 0.52 | 0.56 | 9.92 × 1020 |
Publisher’s Note: MDPI stays neutral with regard to jurisdictional claims in published maps and institutional affiliations. |
© 2022 by the authors. Licensee MDPI, Basel, Switzerland. This article is an open access article distributed under the terms and conditions of the Creative Commons Attribution (CC BY) license (https://creativecommons.org/licenses/by/4.0/).
Share and Cite
Ahmad, M.M.; Al-Ghareeb, F.R.; Kotb, H.M.; Ansari, S.A.; Kayed, T.S.; Khater, H.A.; Kumar, S.; Yamada, K. Enhanced Li+ Ionic Conduction and Relaxation Properties of Li5+2xLa3Ta2-xGaxO12 Garnets. Crystals 2022, 12, 770. https://doi.org/10.3390/cryst12060770
Ahmad MM, Al-Ghareeb FR, Kotb HM, Ansari SA, Kayed TS, Khater HA, Kumar S, Yamada K. Enhanced Li+ Ionic Conduction and Relaxation Properties of Li5+2xLa3Ta2-xGaxO12 Garnets. Crystals. 2022; 12(6):770. https://doi.org/10.3390/cryst12060770
Chicago/Turabian StyleAhmad, Mohamad M., Fatimah R. Al-Ghareeb, Hicham Mahfoz Kotb, Sajid Ali Ansari, Tarek S. Kayed, Hassan A. Khater, Shalendra Kumar, and Koji Yamada. 2022. "Enhanced Li+ Ionic Conduction and Relaxation Properties of Li5+2xLa3Ta2-xGaxO12 Garnets" Crystals 12, no. 6: 770. https://doi.org/10.3390/cryst12060770
APA StyleAhmad, M. M., Al-Ghareeb, F. R., Kotb, H. M., Ansari, S. A., Kayed, T. S., Khater, H. A., Kumar, S., & Yamada, K. (2022). Enhanced Li+ Ionic Conduction and Relaxation Properties of Li5+2xLa3Ta2-xGaxO12 Garnets. Crystals, 12(6), 770. https://doi.org/10.3390/cryst12060770

