Thermodynamics of Point Defects in Solids and Relation with the Bulk Properties: Recent Results
Abstract
:1. Introduction
2. Materials and Methods
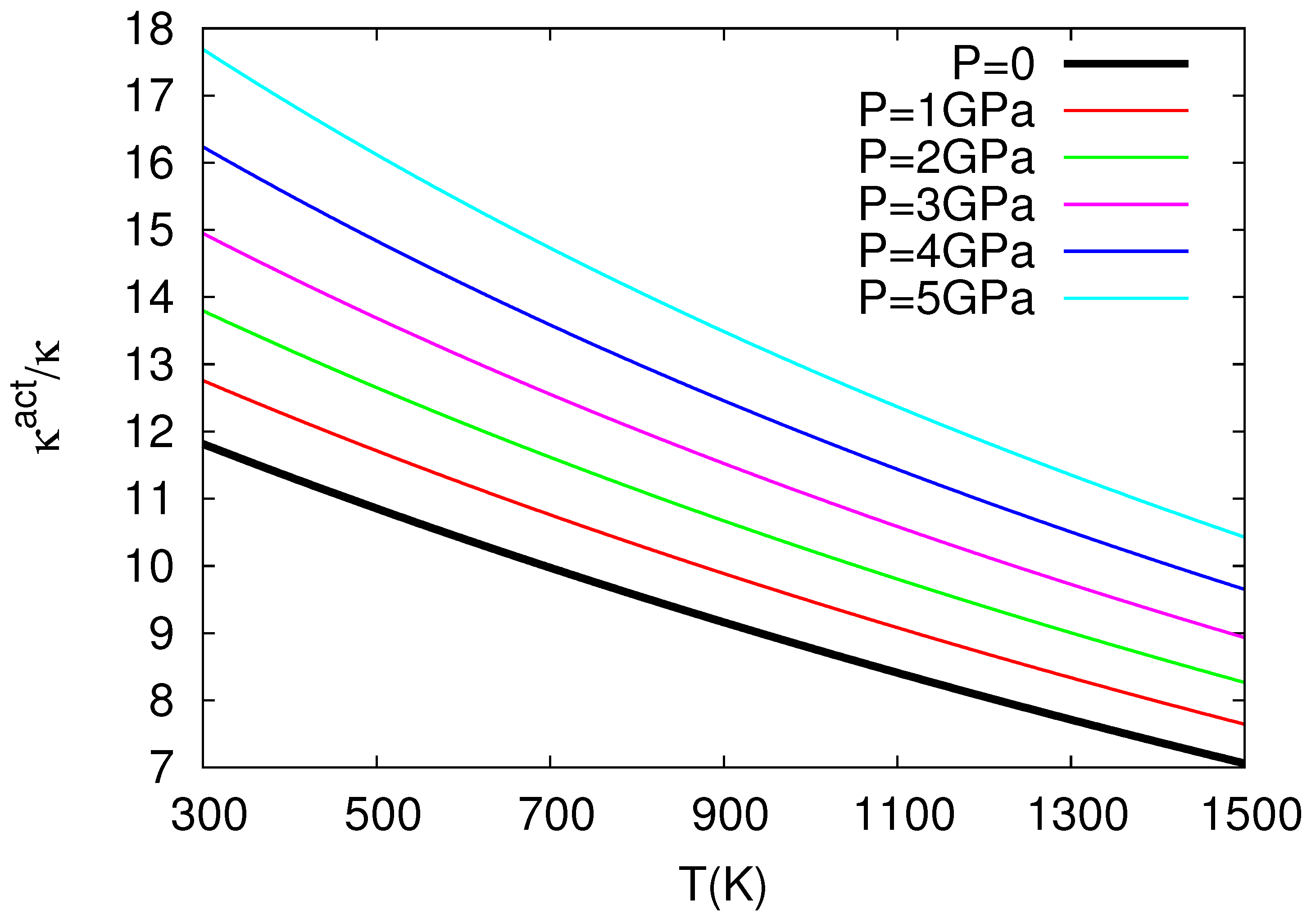
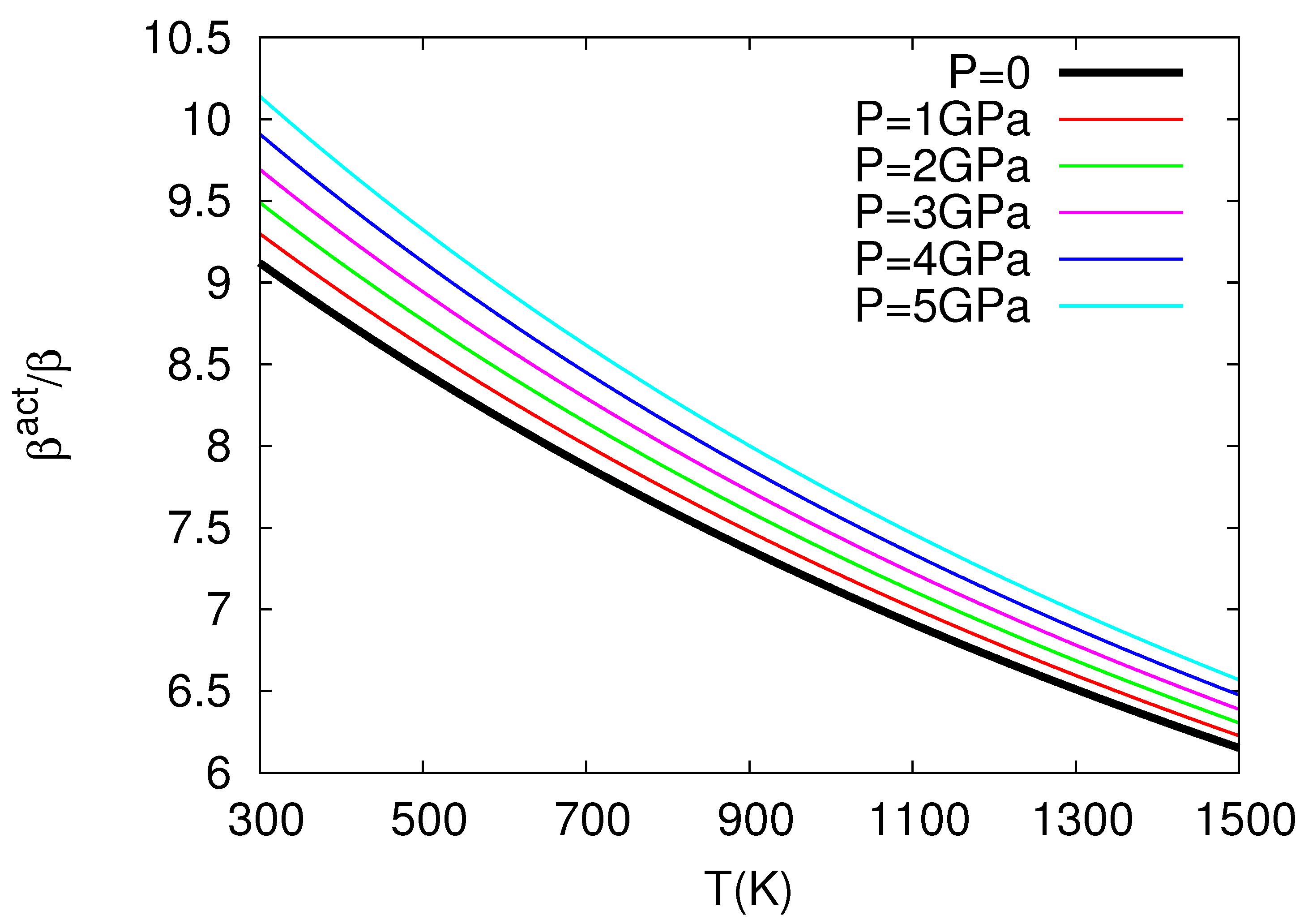
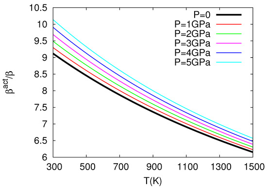
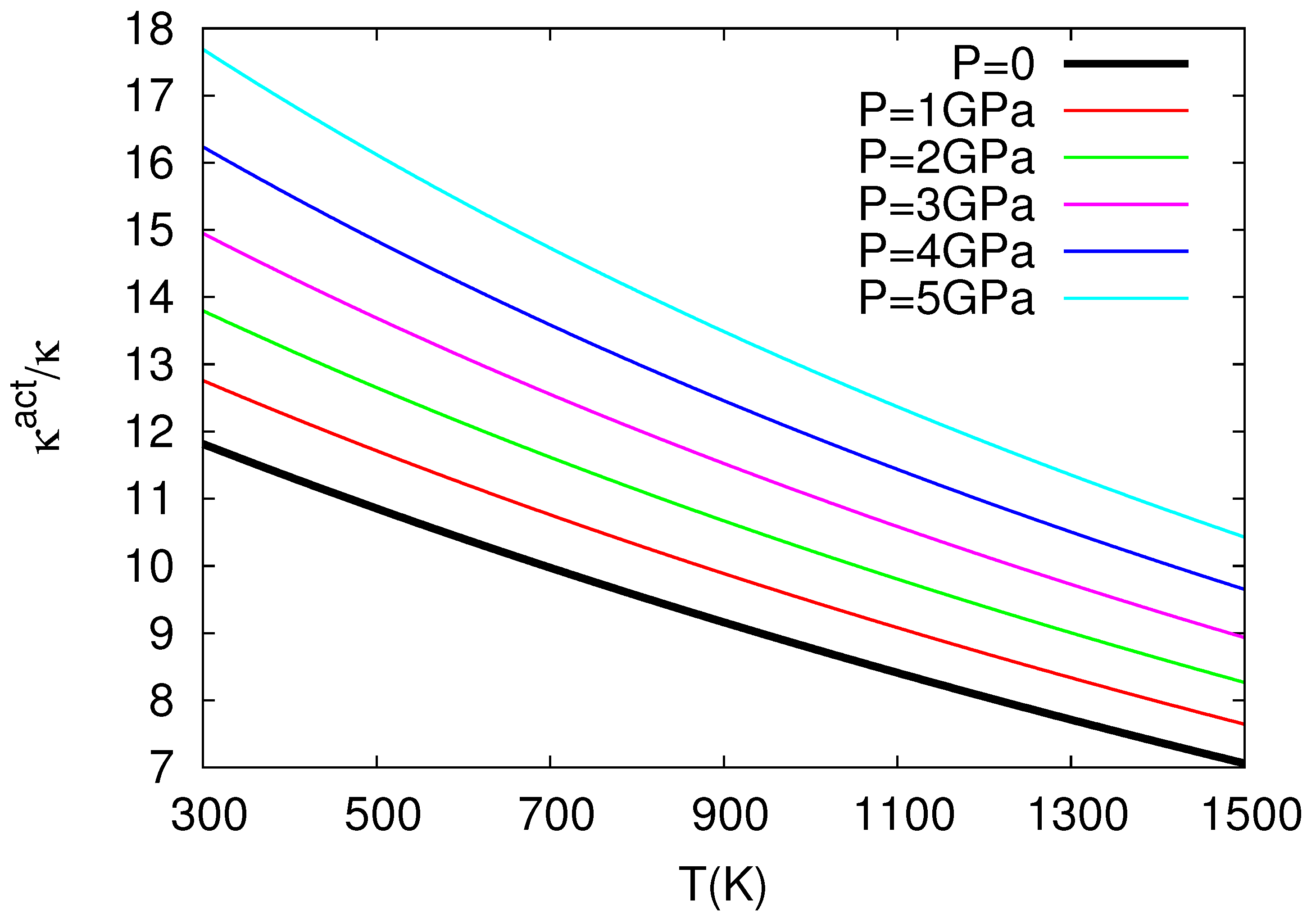
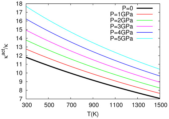
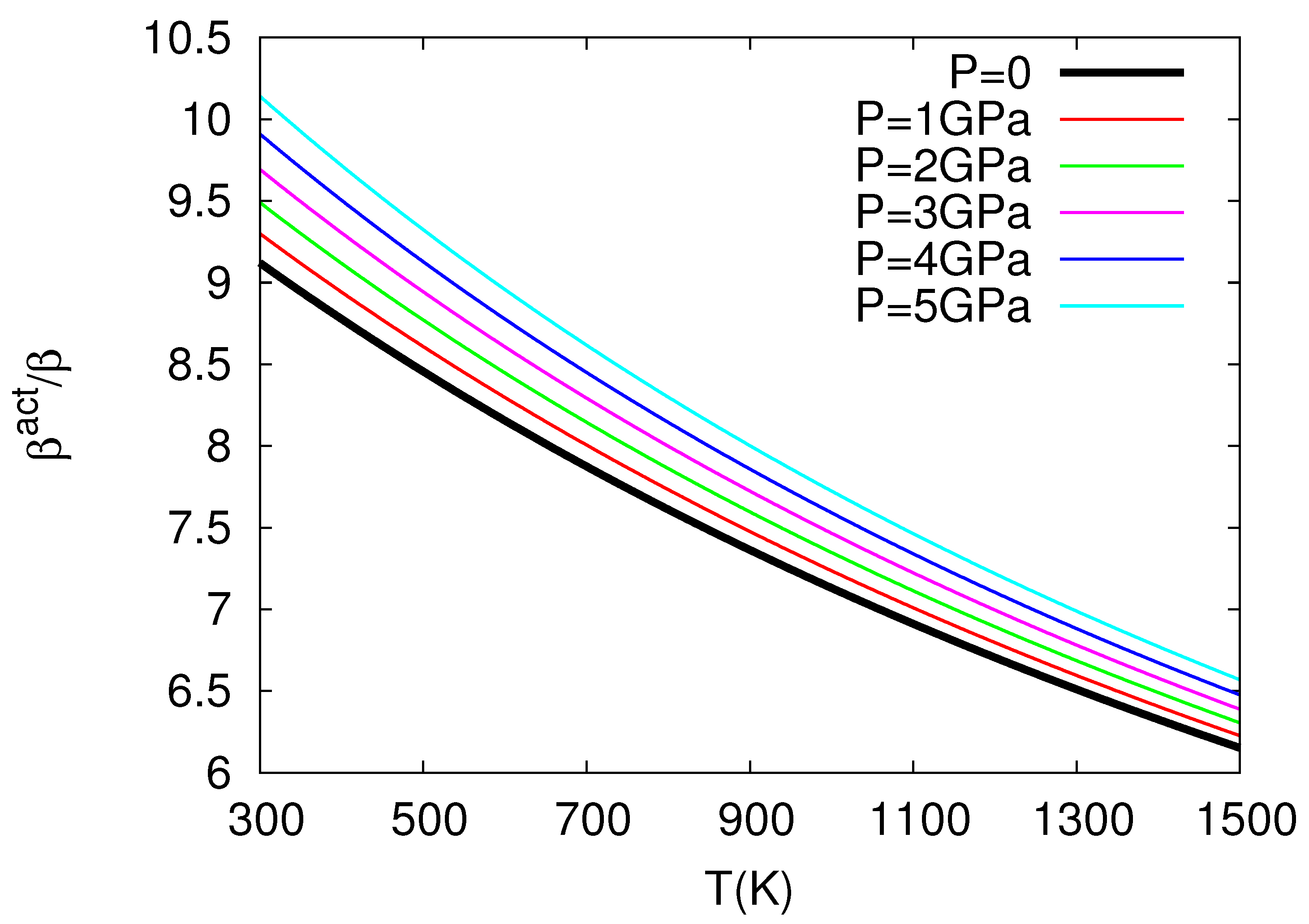
3. Applying cB Model to High Pressure Diamond Anvil Measurements
4. Applications of the cB Model to Nuclear Fuels and Materials for Microelectronic Devices
5. Application of the cB Model to High T Superconductors
6. Applications of Usefulness in Geophysics and Seismology
7. Application of the cB Model to a Problem of Major Technological Interest
8. Search for Composition of Better Target Properties in Cu-Co-Si Alloys via Machine Learning
9. Recent Studies on the Foundation of the Physical Origin of the cB Model
9.1. Foundation of cB Model Studying the Interfacial Mobility Gradient in Thin Polymer Films Using Molecular Dynamics Simulations on a Layer-by-Layer Basis
9.2. Analytical Method for the Foundation of the cB Model Using Mie–Lennard–Jones Interatomic Potential
10. Summary and Conclusions
Author Contributions
Funding
Institutional Review Board Statement
Informed Consent Statement
Data Availability Statement
Conflicts of Interest
References
- Varotsos, P. Comments on the formation entropy of a Frenkel defect in BaF2 and CaF2. Phys. Rev. B 1976, 13, 938. [Google Scholar] [CrossRef]
- Varotsos, P.; Alexopoulos, K. The curvature in conductivity plots of alkali halides as a consequence of anharmonicity. J. Phys. Chem. Solids 1977, 38, 997–1001. [Google Scholar] [CrossRef]
- Varotsos, P.; Alexopoulos, K. Estimation of the migration enthalpy and entropy for cation vacancy motion in alkali halides with the NaCl-type structure. Phys. Rev. B 1977, 15, 2348–2351. [Google Scholar] [CrossRef]
- Varotsos, P.; Alexopoulos, K. Calculation of the formation entropy of vacancies due to anharmonic effects. Phys. Rev. B 1977, 15, 4111–4114. [Google Scholar] [CrossRef]
- Varotsos, P.A. On the temperature and pressure dependence of the defect formation volume in ionic crystals. J. Phys. Lett. 1977, 38, L455–L458. [Google Scholar] [CrossRef]
- Varotsos, P.; Ludwig, W.; Alexopoulos, K. Calculation of the formation volume of vacancies in solids. Phys. Rev. B 1978, 18, 2683–2691. [Google Scholar] [CrossRef]
- Varotsos, P.; Alexopoulos, K. Calculation of the migration volume of vacancies in ionic solids from macroscopic parameters. Phys. Status Solidi 1978, 47, K133–K136. [Google Scholar] [CrossRef]
- Varotsos, P.; Alexopoulos, K. Calculation of diffusion coefficients at any temperature and pressure from a single measurement. I. Self diffusion. Phys. Rev. B 1980, 22, 3130–3134. [Google Scholar] [CrossRef]
- Varotsos, P.; Alexopoulos, K. Negative activation volumes of defects in solids. Phys. Rev. B 1980, 21, 4898. [Google Scholar] [CrossRef]
- Varotsos, P.; Alexopoulos, K. Decisive importance of the bulk modulus and the anharmonicity in the calculation of migration and formation volumes. Phys. Rev. B 1981, 24, 904–910. [Google Scholar] [CrossRef]
- Varotsos, P.; Alexopoulos, K. Connection between the formation volume and formation Gibbs energy in noble-gas solids. Phys. Rev. B 1984, 30, 7305–7306. [Google Scholar] [CrossRef]
- Varotsos, P.; Alexopoulos, K. Thermodynamics of Point Defects and Their Relation with Bulk Properties; Elsevier: Amsterdam, The Netherlands, 1986. [Google Scholar]
- Varotsos, P. Comparison of models that interconnect point defect parameters in solids with bulk properties. J. Appl. Phys. 2007, 101, 123503. [Google Scholar] [CrossRef]
- Zener, C. Theory of Do for Atomic Diffusion in Metals. J. Appl. Phys. 1951, 22, 372–375. [Google Scholar] [CrossRef]
- Wert, C.; Zener, C. Interstitial Atomic Diffusion Coefficients. Phys. Rev. 1949, 76, 1169–1175. [Google Scholar] [CrossRef]
- Zener, C. Imperfections in Nearly Perfect Crystals; Wiley: New York, NY, USA, 1952. [Google Scholar]
- Fratanduono, D.E.; Boehly, T.R.; Barrios, M.A.; Meyerhofer, D.D.; Eggert, J.H.; Smith, R.F.; Hicks, D.G.; Celliers, P.M.; Braun, D.G.; Collins, G.W. Refractive index of lithium fluoride ramp compressed to 800 GPa. J. Appl. Phys. 2011, 109, 123521. [Google Scholar] [CrossRef] [Green Version]
- Yagi, T. Experimental determination of thermal expansivity of several alkali halides at high pressures. J. Phys. Chem. Solids 1978, 39, 563–571. [Google Scholar] [CrossRef]
- Dong, H.; Dorfman, S.M.; Holl, C.M.; Meng, Y.; Prakapenka, V.B.; He, D.; Duffy, T.S. Compression of lithium fluoride to 92 GPa. High Press. Res. 2014, 34, 39–48. [Google Scholar] [CrossRef]
- Dewaele, A. Equations of State of Simple Solids (Including Pb, NaCl and LiF) Compressed in Helium or Neon in the Mbar Range. Minerals 2019, 9, 684. [Google Scholar] [CrossRef] [Green Version]
- McKeever, S.W.S.; Lilley, E. Thermally stimulated polarisation and depolarisation currents (TSPC and TSDC) in LiF:Mg2+(TLD-100). J. Phys. Solid State Phys. 1981, 14, 3547–3555. [Google Scholar] [CrossRef]
- Varotsos, P.; Alexopoulos, K. Migration entropy for the bound fluorine motion in alkaline earth fluorides. J. Phys. Chem. Solids 1980, 41, 443–446. [Google Scholar] [CrossRef]
- Dryden, J.S.; Heydon, R.G. Energy parameters of cation motion in alkali halides as determined by dielectric relaxation measurements. J. Phys. Solid State Phys. 1978, 11, 393–401. [Google Scholar] [CrossRef]
- Kittel, C. Introduction to Solid State Physics; Wiley: New York, NY, USA, 1971; p. 190. [Google Scholar]
- Lallemand, M. Étude de l’Influence d’une Pression Hydrostatique sur la Conductivité Électrique a Haute Température de Cristaux de Fluorure de Lithium et de Fluorures de Métaux Alcalinoterreux. Ph.D. Thesis, Université de Paris VI, Paris, France, 1972. [Google Scholar]
- Chroneos, A.; Vovk, R. Modeling self-diffusion in UO2 and ThO2 by connecting point defect parameters with bulk properties. Solid State Ion. 2015, 274, 1–3. [Google Scholar] [CrossRef]
- Cooper, M.; Grimes, R.; Fitzpatrick, M.; Chroneos, A. Modeling oxygen self-diffusion in UO2 under pressure. Solid State Ion. 2015, 282, 26–30. [Google Scholar] [CrossRef]
- Parfitt, D.C.; Cooper, M.W.D.; Rushton, M.J.D.; Christopoulos, S.R.G.; Fitzpatrick, M.E.; Chroneos, A. Thermodynamic calculations of oxygen self-diffusion in mixed-oxide nuclear fuels. RSC Adv. 2016, 6, 74018–74027. [Google Scholar] [CrossRef]
- Saltas, V.; Chroneos, A.; Vallianatos, F. A thermodynamic approach of self- and hetero-diffusion in GaAs: Connecting point defect parameters with bulk properties. RSC Adv. 2016, 6, 53324–53330. [Google Scholar] [CrossRef]
- Saltas, V.; Chroneos, A.; Vallianatos, F. A thermodynamic approach to self-diffusion in silicon: Evidence of a single diffusion mechanism? Mater. Chem. Phys. 2016, 181, 204–208. [Google Scholar] [CrossRef]
- Saltas, V.; Chroneos, A.; Vallianatos, F. Composition and temperature dependence of self-diffusion in Si1−xGex alloys. Sci. Rep. 2017, 7, 1374. [Google Scholar] [CrossRef] [Green Version]
- Sarlis, N.; Skordas, E. Pressure and temperature dependence of the oxygen self-diffusion activation volume in UO2 by a thermodynamical model. Solid State Ion. 2016, 290, 121–123. [Google Scholar] [CrossRef]
- Ita, J.; Cohen, R.E. Effects of Pressure on Diffusion and Vacancy Formation in MgO from Nonempirical Free-Energy Integrations. Phys. Rev. Lett. 1997, 79, 3198–3201. [Google Scholar] [CrossRef] [Green Version]
- Mills, D.R.; Parker, S.C.; Wall, A. The effect of pressure on Schottky pair formation in MgO: A lattice dynamical approach. Philos. Mag. A 1991, 64, 1133–1144. [Google Scholar] [CrossRef]
- Poirier, J.; Liebermann, R. On the activation volume for creep and its variation with depth in the Earth’s lower mantle. Phys. Earth Planet. Inter. 1984, 35, 283–293. [Google Scholar] [CrossRef]
- Karato, S. Rheology of the lower mantle. Phys. Earth Planet. Inter. 1981, 24, 1–14. [Google Scholar] [CrossRef]
- Kube, R.; Bracht, H.; Hüger, E.; Schmidt, H.; Hansen, J.L.; Larsen, A.N.; Ager, J.W.; Haller, E.E.; Geue, T.; Stahn, J. Contributions of vacancies and self-interstitials to self-diffusion in silicon under thermal equilibrium and nonequilibrium conditions. Phys. Rev. B 2013, 88, 085206. [Google Scholar] [CrossRef] [Green Version]
- Chroneos, A. Connecting point defect parameters with bulk properties to describe diffusion in solids. Appl. Phys. Rev. 2016, 3, 041304. [Google Scholar] [CrossRef]
- Varotsos, P.A. Calculation of point defect parameters in diamond. Phys. Rev. B 2007, 75, 172107. [Google Scholar] [CrossRef]
- Hilgenkamp, H.; Mannhart, J. Grain boundaries in high-Tc superconductors. Rev. Mod. Phys. 2002, 74, 485–549. [Google Scholar] [CrossRef] [Green Version]
- Su, H.; Welch, D.O.; Wong-Ng, W. Strain effects on point defects and chain-oxygen order-disorder transition in 123 cuprate compounds. Phys. Rev. B 2004, 70, 054517. [Google Scholar] [CrossRef] [Green Version]
- Alexopoulos, K.; Varotsos, P. Calculation of diffusion coefficients at any temperature and pressure from a single measurement. II. Heterodiffusion. Phys. Rev. B 1981, 24, 3606–3609. [Google Scholar] [CrossRef]
- Varotsos, P.; Miliotis, D. New aspects on the dielectric properties of the alkali halides with divalent impurities. J. Phys. Chem. Solids 1974, 35, 927–930. [Google Scholar] [CrossRef]
- Chroneos, A.; Khadzhai, G.Y.; Goulatis, I.L.; Mazepulin, A.V.; Korobkov, M.V.; Vovk, R.V. Effect of high pressure on temperature dependences of the resistivity in the ab-plane of Y0.77Pr0.23Ba2Cu3O7-δ single crystals. J. Mater. Sci. Mater. Electron. 2022, 33, 9875–9884. [Google Scholar] [CrossRef]
- Koga, K.T.; Walter, M.J.; Nakamura, E.; Kobayashi, K. Carbon self-diffusion in a natural diamond. Phys. Rev. B 2005, 72, 024108. [Google Scholar] [CrossRef]
- Koga, K.T.; Van Orman, J.A.; Walter, M.J. Diffusive relaxation of carbon and nitrogen isotope heterogeneity in diamond: A new thermochronometer. Phys. Earth Planet. Inter. 2003, 139, 35–43. [Google Scholar] [CrossRef]
- Zhang, B.; Wu, X. Calculation of self-diffusion coefficients in diamond. Appl. Phys. Lett. 2012, 100, 051901. [Google Scholar] [CrossRef]
- Birch, F. Elasticity and constitution of the Earth’s interior. J. Geophys. Res. 1952, 57, 227–286. [Google Scholar] [CrossRef]
- Zhang, B. Calculation of self-diffusion coefficients in iron. AIP Adv. 2014, 4, 017128. [Google Scholar] [CrossRef] [Green Version]
- Yunker, M.L.; Van Orman, J.A. Interdiffusion of solid iron and nickel at high pressure. Earth Planet. Sci. Lett. 2007, 254, 203–213. [Google Scholar] [CrossRef]
- Reaman, D.M.; Colijn, H.O.; Yang, F.; Hauser, A.J.; Panero, W.R. Interdiffusion of Earth’s core materials to 65 GPa and 2200 K. Earth Planet. Sci. Lett. 2012, 349–350, 8–14. [Google Scholar] [CrossRef]
- Zhang, B.; Xu, J. Thermodynamic estimation the compressibility of ferropericlase under high pressure. AIP Adv. 2016, 6, 115112. [Google Scholar] [CrossRef] [Green Version]
- Xu, J.; Zhang, B. Bridging the water solubility and ion diffusivity in the mantle silicates by a thermodynamic model. Mineral. Petrol. 2020, 114, 1–13. [Google Scholar] [CrossRef]
- Costa, F.; Chakraborty, S. The effect of water on Si and O diffusion rates in olivine and implications for transport properties and processes in the upper mantle. Phys. Earth Planet. Inter. 2008, 166, 11–29. [Google Scholar] [CrossRef] [Green Version]
- Demouchy, S.; Mackwell, S.; Kohlstedt, D. Influence of hydrogen on Fe–Mg interdiffusion in (Mg,Fe)O and implications for Earth’s lower mantle. Contrib. Mineral. Petrol. 2007, 154, 279–289. [Google Scholar] [CrossRef]
- Hier-Majumder, S.; Anderson, I.M.; Kohlstedt, D.L. Influence of protons on Fe-Mg interdiffusion in olivine. J. Geophys. Res. Solid Earth 2005, 110, B02202. [Google Scholar] [CrossRef] [Green Version]
- Wang, Z.; Hiraga, T.; Kohlstedt, D.L. Effect of H+ on Fe–Mg interdiffusion in olivine, (Fe,Mg)2SiO4. Appl. Phys. Lett. 2004, 85, 209–211. [Google Scholar] [CrossRef]
- Mei, S.; Kohlstedt, D.L. Influence of water on plastic deformation of olivine aggregates: 1. Diffusion creep regime. J. Geophys. Res. Solid Earth 2000, 105, 21457–21469. [Google Scholar] [CrossRef]
- Xu, L.; Mei, S.; Dixon, N.; Jin, Z.; Suzuki, A.; Kohlstedt, D. Effect of water on rheological properties of garnet at high temperatures and pressures. Earth Planet. Sci. Lett. 2013, 379, 158–165. [Google Scholar] [CrossRef]
- Wang, D.; Mookherjee, M.; Xu, Y.; Karato, S. The effect of water on the electrical conductivity of olivine. Nature 2006, 443, 977–980. [Google Scholar] [CrossRef]
- Yoshino, T.; Matsuzaki, T.; Yamashita, S.; Katsura, T. Hydrous olivine unable to account for conductivity anomaly at the top of the asthenosphere. Nature 2006, 443, 973–976. [Google Scholar] [CrossRef] [PubMed]
- Zhang, B.; Yoshino, T.; Wu, X.; Matsuzaki, T.; Shan, S.M.; Katsura, T. Electrical conductivity of enstatite as a function of water content: Implications for the electrical structure in the upper mantle. Earth Planet. Sci. Lett. 2012, 357–358, 11–20. [Google Scholar] [CrossRef]
- Griffin, J.M.; Berry, A.J.; Frost, D.J.; Wimperis, S.; Ashbrook, S.E. Water in the Earth’s mantle: A solid-state NMR study of hydrous wadsleyite. Chem. Sci. 2013, 4, 1523–1538. [Google Scholar] [CrossRef] [Green Version]
- Grüninger, H.; Armstrong, K.; Greim, D.; Boffa-Ballaran, T.; Frost, D.J.; Senker, J. Hidden Oceans? Unraveling the Structure of Hydrous Defects in the Earth’s Deep Interior. Earth Planet. Sci. Lett. 2017, 139, 10499–10505. [Google Scholar] [CrossRef]
- Rutter, E.H.; Karato, S.-I. Deformation of Earth Materials. An Introduction to the Rheology of Solid Earth. Geol. Mag. 2008, 147, 317–318. [Google Scholar] [CrossRef]
- Panero, W. First principles determination of the structure and elasticity of hydrous ringwoodite. J. Geophys. Res. 2010, 115, 3203. [Google Scholar] [CrossRef]
- Wright, K. Atomistic Models of OH Defects in Nominally Anhydrous Minerals. Rev. Mineral. Geochem. 2006, 62, 67–83. [Google Scholar] [CrossRef]
- Xue, X.; Kanzaki, M.; Turner, D.; Loroch, D. Hydrogen incorporation mechanisms in forsterite: New insights from 1H and 29Si NMR spectroscopy and first-principles calculation. Am. Mineral. 2017, 102, 519–536. [Google Scholar] [CrossRef]
- Vallianatos, F.; Saltas, V. Application of the cBΩ model to the calculation of diffusion parameters of He in olivine. Phys. Chem. Miner. 2014, 41, 181–188. [Google Scholar] [CrossRef]
- Zhang, B.; Wu, X.; Xu, J.; Zhou, R. Application of the cBΩ model for the calculation of oxygen self-diffusion coefficients in minerals. J. Appl. Phys. 2010, 108, 053505. [Google Scholar] [CrossRef]
- Zhang, B.; Shan, S. Application of the cBΩ model to the calculation of diffusion parameters of Si in silicates. Geochem. Geophys. Geosyst. 2015, 16, 705–718. [Google Scholar] [CrossRef]
- Saltas, V.; Vallianatos, F. Silicon Self-Diffusion in Stishovite: Calculations of Point Defect Parameters Based on the cBΩ Thermodynamic Model. Environ. Sci. Proc. 2021, 6, 6. [Google Scholar] [CrossRef]
- Park, C.M.; Kim, J.H.; Kim, H.; Sohn, H.J. Li-alloy based anode materials for Li secondary batteries. Chem. Soc. Rev. 2010, 39, 3115–3141. [Google Scholar] [CrossRef]
- Beaulieu, L.Y.; Eberman, K.W.; Turner, R.L.; Krause, L.J.; Dahn, J.R. Colossal Reversible Volume Changes in Lithium Alloys. Electrochem. Solid-State Lett. 2001, 4, A137. [Google Scholar] [CrossRef]
- Toyoura, K.; Koyama, Y.; Kuwabara, A.; Oba, F.; Tanaka, I. First-principles approach to chemical diffusion of lithium atoms in a graphite intercalation compound. Phys. Rev. B 2008, 78, 214303. [Google Scholar] [CrossRef] [Green Version]
- Di Stefano, D.; Mrovec, M.; Elsässer, C. First-principles investigation of quantum mechanical effects on the diffusion of hydrogen in iron and nickel. Phys. Rev. B 2015, 92, 224301. [Google Scholar] [CrossRef]
- Kumar, V.; Di Stefano, D.; Rignanese, G.M.; Gonze, X. Li diffusion in Si and LiSi: Nuclear quantum effects and anharmonicity. J. Chem. Phys. 2020, 152, 244101. [Google Scholar] [CrossRef] [PubMed]
- Flynn, C.P. Anharmonicity in Diffusion. Z. Naturforschung A 1971, 26, 99–106. [Google Scholar] [CrossRef]
- DeLorenzi, G.; Flynn, C.P.; Jacucci, G. Effect of anharmonicity on diffusion jump rates. Phys. Rev. B 1984, 30, 5430–5448. [Google Scholar] [CrossRef]
- Kim, D.S.; Smith, H.L.; Niedziela, J.L.; Li, C.W.; Abernathy, D.L.; Fultz, B. Phonon anharmonicity in silicon from 100 to 1500 K. Phys. Rev. B 2015, 91, 014307. [Google Scholar] [CrossRef] [Green Version]
- Saltas, V.; Chroneos, A.; Vallianatos, F. Mg diffusion in Si on a thermodynamic basis. J. Mater. Sci. Mater. Electron. 2018, 29, 12022–12027. [Google Scholar] [CrossRef] [Green Version]
- Wimmer, E.; Wolf, W.; Sticht, J.; Saxe, P.; Geller, C.B.; Najafabadi, R.; Young, G.A. Temperature-dependent diffusion coefficients from ab initio computations: Hydrogen, deuterium, and tritium in nickel. Phys. Rev. B 2008, 77, 134305. [Google Scholar] [CrossRef]
- Zhao, F.; Lei, C.; Zhao, Q.; Yang, H.; Ling, G.; Liu, J.; Zhou, H.; Wang, H. Predicting the property contour-map and optimum composition of Cu-Co-Si alloys via machine learning. Mater. Today Commun. 2022, 30, 103138. [Google Scholar] [CrossRef]
- Zhao, Z.; Zhang, Y.; Tian, B.; Jia, Y.; Liu, Y.; Song, K.; Volinsky, A.A. Co effects on Cu-Ni-Si alloys microstructure and physical properties. J. Alloys Compd. 2019, 797, 1327–1337. [Google Scholar] [CrossRef]
- Li, R.; Zhang, S.; Zou, C.; Kang, H.; Wang, T. The roles of Hf element in optimizing strength, ductility and electrical conductivity of copper alloys. Mater. Sci. Eng. A 2019, 758, 130–138. [Google Scholar] [CrossRef]
- Lei, C.; Yang, H.; Zhao, F.; Fang, X.; Fang, Y.; Meng, L.; Liu, J.; Wang, H. Effect of Co addition on hardness and electrical conductivity of Cu–Si alloys. J. Mater. Sci. 2021, 56, 14821–14831. [Google Scholar] [CrossRef]
- Soldi, L.; Laplace, A.; Roskosz, M.; Gossé, S. Phase diagram and thermodynamic model for the Cu-Si and the Cu-Fe-Si systems. J. Alloys Compd. 2019, 803, 61–70. [Google Scholar] [CrossRef]
- Geng, Y.; Li, X.; Zhou, H.; Zhang, Y.; Jia, Y.; Tian, B.; Liu, Y.; Volinsky, A.A.; Zhang, X.; Song, K.; et al. Effect of Ti addition on microstructure evolution and precipitation in Cu–Co–Si alloy during hot deformation. J. Alloys Compd. 2020, 821, 153518. [Google Scholar] [CrossRef]
- Zhang, W.; Starr, F.W.; Douglas, J.F. Activation free energy gradient controls interfacial mobility gradient in thin polymer films. J. Chem. Phys. 2021, 155, 174901. [Google Scholar] [CrossRef]
- Dyre, J.C.; Wang, W.H. The instantaneous shear modulus in the shoving model. J. Chem. Phys. 2012, 136, 224108. [Google Scholar] [CrossRef] [Green Version]
- Puosi, F.; Leporini, D. The kinetic fragility of liquids as manifestation of the elastic softening. Eur. Phys. J. E 2015, 38, 87. [Google Scholar] [CrossRef] [Green Version]
- Vargas-Lara, F.; Starr, F.W.; Douglas, J.F. Molecular rigidity and enthalpy–entropy compensation in DNA melting. Soft Matter 2017, 13, 8309–8330. [Google Scholar] [CrossRef]
- Magomedov, M. Dependencies of the parameters of vacancy formation and self-diffusion in a single-component crystal on temperature and pressure. J. Phys. Chem. Solids 2022, 165, 110653. [Google Scholar] [CrossRef]




Publisher’s Note: MDPI stays neutral with regard to jurisdictional claims in published maps and institutional affiliations. |
© 2022 by the authors. Licensee MDPI, Basel, Switzerland. This article is an open access article distributed under the terms and conditions of the Creative Commons Attribution (CC BY) license (https://creativecommons.org/licenses/by/4.0/).
Share and Cite
Varotsos, P.A.; Sarlis, N.V.; Skordas, E.S. Thermodynamics of Point Defects in Solids and Relation with the Bulk Properties: Recent Results. Crystals 2022, 12, 686. https://doi.org/10.3390/cryst12050686
Varotsos PA, Sarlis NV, Skordas ES. Thermodynamics of Point Defects in Solids and Relation with the Bulk Properties: Recent Results. Crystals. 2022; 12(5):686. https://doi.org/10.3390/cryst12050686
Chicago/Turabian StyleVarotsos, Panayiotis A., Nicholas V. Sarlis, and Efthimios S. Skordas. 2022. "Thermodynamics of Point Defects in Solids and Relation with the Bulk Properties: Recent Results" Crystals 12, no. 5: 686. https://doi.org/10.3390/cryst12050686
APA StyleVarotsos, P. A., Sarlis, N. V., & Skordas, E. S. (2022). Thermodynamics of Point Defects in Solids and Relation with the Bulk Properties: Recent Results. Crystals, 12(5), 686. https://doi.org/10.3390/cryst12050686

