Abstract
Metamaterials are artificial materials with properties that can be designed by man-made structures. Pentamode metamaterials only support compressional stresses at specific frequency ranges, and a band gap is a frequency range where no stresses are supported. In this paper, an elastic metamaterial with hexagonal unit cells is studied where pentamode bands or band gaps at low frequencies are obtained by varying the inner structures. The effects of structural and geometric parameters on the band width of pentamode bands or band gaps are analyzed. Simulations of materials composed of primitive cells with pentamode or band gap properties are conducted with harmonic stimulation based on the finite element method. The metamaterials can be applied as pentamode metamaterials or vibration isolation materials.
1. Introduction
Metamaterials are artificial materials with properties that are not possible in conventional materials. Metamaterials can be classified as electromagnetic, optical, acoustic and elastic metamaterials due to their physical field. Acoustic metamaterials and elastic metamaterials are important branches of metamaterials and they do not have clear boundaries. Pentamode metamaterials and band gaps have been hot topics in recent years and they both have high potential in applications.
Pentamode metamaterials were proposed by Milton and Cherkaev [1] in 1995. They are composed of stiff arms in Face-Centered Cubic (FCC) unit cells. Five of the six eigenvalues of their stiffness matrix are zero, leading to the fact that they can only support compressional stresses, and no shear stress exists. They have water-like properties, but anisotropy can be realized by varying the structures. Thus, they have wide applications, such as pentamode cloaks [2] and unfeelability cloaks [3]. Practical models were introduced with a finite shear modulus because ideal pentamode metamaterials do not exist due to their unstable structures [4]. Phononic band structures [5] of the primitive cells reveal that they have a frequency band where only compressional modes exist. The band width and effective properties depend on the structural parameters, and high anisotropy can be derived [6,7]. Materials with other types of unit cells [8,9,10], different cross-sections [11], or asymmetric arms [12,13] also have pentamode properties. Composite structures [14,15,16], multiphase materials [17] and layered materials with alternating pentamode lattices and confinement plates [18,19,20] were used to tailor the effective properties of the pentamode metamaterials. Bimode metamaterials [1] in 2D are equivalent to pentamode metamaterials and have similar properties [21,22,23,24]. They are sometimes called 2D pentamode metamaterials.
There are total band gaps when studying the pentamode band structures [7,11,12,13,15]. A material with band gaps means that no waves can be transmitted in these frequencies, which can be used to reduce noise and vibration [25]. However, the band gaps in pentamode metamaterials are usually at higher frequencies beyond their pentamode bands. For 2D pentamode metamaterials with rectangular unit cells, pentamode bands and band gaps can be transformed by varying their inner structures [26].
In this paper, elastic metamaterials with hexagonal unit cells were studied by varying the inner structures. There are also band gaps at higher frequencies than the pentamode bands similar to the models of FCC unit cell. However, band gaps at low frequencies were obtained by breaking the symmetry of the unit cell. The properties at low frequencies have high potential in applications; thus, pentamode bands and band gaps at low frequencies are focused on. The effects of the structural and geometric parameters on their pentamode bands or band gaps were analyzed. By tuning the parameters, the band widths of the pentamode bands or band gaps can be varied, and the bands can also be transformed from one to another. To verify the existence of the bands, simulations with finite element analysis software were conducted with materials composed of the hexagonal unit cells. Harmonic boundary loads were applied to check the transmission of the compressional and shear stresses.
The paper is structured as follows: Section 2 deals with the standard primitive cell, which will be varied in the following sections. Section 3 deals with different ways of varying the primitive cell. They are classified into four groups according to the variation in the inner structures. Section 4 deals with the simulations of two specific models, one with pentamode band and another with band gap. Section 5 is the discussion about the primitive cells. Section 6 is the conclusion that is drawn from the study.
2. Geometric Models
The metamaterials of hexagonal unit cells with arms of equal length have been studied for their pentamode properties in previous studies [11]. With the full study of these kinds of metamaterials, more properties are found by varying the inner structures.
The standard primitive cell of the metamaterials is shown in Figure 1a. Aluminum with Young’s modulus of 76 GPa, density of 2700 kg/m3, and Poisson’s ratio of 0.33 is used for all the cells in this paper. The structures are composed of double-cone arms with a thin end of d and bottom of D. The length of the bottom rhombus is l and the height of the cell is h. The connection points P1 and P2 are located at the center of the tetrahedron determined by the four arms at the connection point for the standard model, where
Figure 1.
Elastic metamaterials with hexagonal unit cells: (a) primitive cell; (b) Brillouin zone; (c) band structures around the boundaries of the irreducible Brillouin zone.
In this paper, the height of the primitive cell remains unchanged. Only the effects of the structural and geometric parameters within the primitive cell are studied.
The Brillouin zone of the primitive cell is shown in Figure 1b, and the irreducible Brillouin zone is denoted. The band structures of the primitive cell are calculated around the irreducible Brillouin zone to show its properties. Finite element analysis software COMSOL Multiphysics is used in the calculation. The three groups of counterpart boundaries of the primitive cell are set as Floquet periodic conditions, and the free tetrahedral method is used in the meshing. The Cauchy Momentum Equation is used to solve the eigenfrequencies of the cells, which is
where is density, u is the displacement vector, and σ is the stress tensor.
The band structures of the standard model with d = 0.02l and D = 0.1l are shown in Figure 1c. Since the properties of the metamaterials are sizable, the multiplication of l and frequency is used in the band structures. It can be seen from the results that there is both a pentamode band and a band gap within the same primitive cell, such as pentamode metamaterials with FCC unit cells. The band gap is wide and can be applied in specific cases. However, the band gap is located at higher frequencies, and it restricts its applications. This is because low frequency wave attenuation in a subwavelength space is a challenging task since the absorbers and the diffusers have to be thick enough to absorb or perturb the wavefronts due to the relatively long wavelength [27]. It would be better if the frequencies of the band gap were lowered, which can be realized by varying the inner structures of primitive cells. In this paper, only low-frequency bands are studied.
3. Band Properties of Varied Primitive Cells
The properties of the metamaterials depend on the structural and geometric parameters of the primitive cells. The positions of the connection points P1 and P2 are important factors affecting the structures of the primitive cells. The effects of P1 and P2 are studied in four groups where they move in vertical or horizontal directions. The geometric parameters d and D are also studied for specific cases where the primitive cell has prominent pentamode bands or band gaps.
3.1. Pentamode Properties by Moving P1 and P2 in Opposite Directions Vertically
The structures of the primitive cell are greatly changed by moving the connection points P1 and P2 vertically. A parameter ηv is defined to show the movement where the height of P1 and P2 to the bottom of the tetrahedron determined by the four arms at the connection point is
When ηv = 0, the three originally oblique arms lie in the horizontal plane, and when ηv < 0, the connection point goes out of the tetrahedron determined by the four arms at the connection point. The structures of the primitive cells with ηv < 0, ηv = 0 and ηv > 0 are shown in Figure 2.
Figure 2.
The variation in the primitive cell by moving P1 and P2 vertically with (a) ηv < 0 (b) ηv = 0 (c) ηv > 0.
The variation in the structures of the primitive cell affects the pentamode bands. The relationship of the pentamode bands with ηv is shown in Figure 3, where the other parameters are d = 0.02l and D = 0.1l. It can be seen from the figure that there are pentamode bands no matter whether ηv < 0 or ηv > 0, but the band widths are much larger when ηv > 0. The largest band width appears around ηv = 1.25. It can also be seen that there is no pentamode band around ηv = 0. That means the pentamode band disappears when three arms of one connection point are almost at one plane. The band structures of the cell with ηv = 0 are shown in Figure 4a, where it can be seen that there is no frequency range where only compressional modes exist. Four specific modes along the ΓM direction are shown in Figure 4b. The compressional mode is accompanied with shear modes at all frequencies.
Figure 3.
The relationship of pentamode bands with ηv.
Figure 4.
The band structures (a) and specific modes (b) of the primitive cell with ηv = 0.
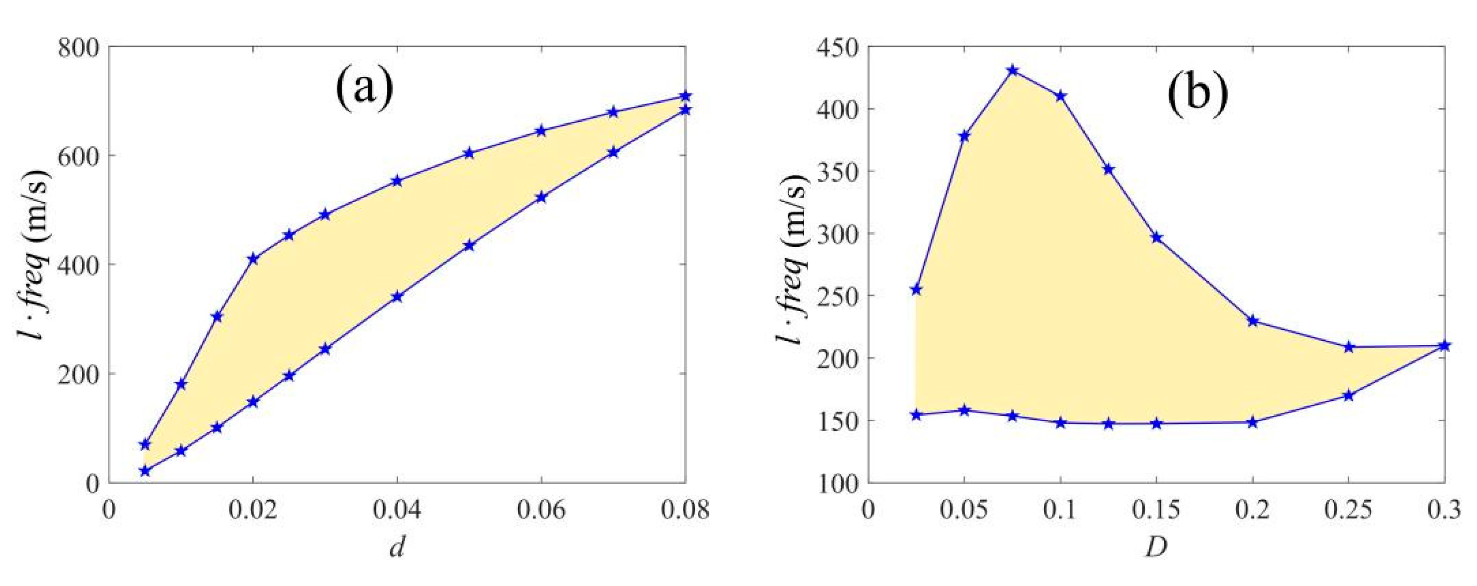
The effects of geometric parameters on pentamode bands are also studied. The effects of d on the pentamode bands are shown in Figure 5a with ηv = 1.25 and D = 0.1l. It is known that a larger d value increases the stiffness. Thus, the lower limit and the upper limit of the pentamode band both increase with d. In contrast, too large and too small d values both narrow the pentamode band width. The effects of D on the pentamode bands are shown in Figure 5b with ηv = 1.25 and d = 0.02l. The parameter D mainly affects the effective mass, so the band width increases with the decrease in D. However, too small D also weakens the stiffness, which narrows the pentamode band width. Therefore, proper geometric parameters are required if a wide band width of pentamode bands is desired.
Figure 5.
The effects of the dimensions (a) d (b) D on the pentamode bands.
3.2. Pentamode Properties by Moving P1 and P2 in the Same Direction Horizontally
The connection points P1 and P2 can move in horizontal directions in addition to the vertical direction. If the two connection points move in the same direction, the primitive cell is mirror symmetric in the vertical direction. The primitive cell is shown in Figure 6. The movement of P1 and P2 can be determined by ηh and θ, where the displacement of the movement is r = ηh l.
Figure 6.
The primitive cell with connection points P1 and P2 moving in the same horizontal direction (a) primitive cell (b) positions of the connection points.
The varied cell by moving P1 and P2 in the same horizontal direction also has a pentamode band. The effects of ηh and θ on the pentamode band are studied for specific cases. Figure 7a shows the effects of ηh on the pentamode band with d = 0.02 l, D = 0.1l, and θ = 0. The pentamode band width decreases when P1 and P2 move away from their original positions. Particularly, there is no pentamode band around ηh = 0.29. In that case, five arms within the primitive cell locate in one plane, which is similar to the case of Figure 4. Figure 7b shows the effects of θ on the pentamode band with d = 0.02l, D = 0.1l, and ηh = 0.15. It can be seen from the figure that the pentamode band is not sensitive to θ.
Figure 7.
The relationship of (a) ηh and (b) θ on pentamode bands.
The band structures of the primitive cell with ηh = 0.3 are shown in Figure 8a. There is no frequency range where only compressional mode exists. The modes at four specific points in the direction of LM are shown in Figure 8b. It can be seen that they are all shear modes. Since shear modes cover all of the low frequency range, there is no pentamode band where no shear mode exists.
Figure 8.
The band structures (a) and specific modes (b) of the varied cell with ηh = 0.3.
In sum, pentamode bands still exist when moving P1 and P2 in the same horizontal direction, but the band width decreases. If a wide band width is desired, the connection points P1 and P2 should be close to their standard positions.
3.3. Band Gap Properties by Moving P1 in Horizontal Directions
An asymmetric model is obtained when P1 moves in horizontal directions while P2 remains unchanged, as Figure 9a shows. A parameter ηc is defined to indicate the movement of P1 in horizontal directions where the displacement of the movement r = ηc l and the angle is θ. The band structures of the primitive cell with d = 0.02l, D = 0.1l and ηc = 0.5 are shown in Figure 9b. Different from the previous models, there is no pentamode band in the band structures. However there is a low frequency band gap, as marked in grey. The breaking of the mirror symmetry of the primitive cell leads to a total band gap in the band structures. The band gap means no waves can be transmitted in these frequencies. Two specific modes adjacent to the band gap are shown in Figure 9c.
Figure 9.
Primitive cell with P1 moving in horizontal directions: (a) primitive cell (b) band structures with a band gap in grey (c) specific modes.
The effects of structural parameters ηc and θ on band gaps are studied for the primitive cell with d = 0.02l, D = 0.1l. The relationship of a band gap with ηc when θ = 0 is shown in Figure 10a. The band gap only appears in the range of 0.35 to 0.8. There is no band gap with smaller or larger ηc. The widest band width locates around 0.5. The relationship of a band gap with θ when ηc = 0.4 is shown in Figure 10b. The band gap fluctuates with θ. Since the primitive cell is asymmetric, θ also has a great impact on the band gap.
Figure 10.
The effects of parameters (a) ηc (b) θ on the band gaps of the primitive cell by moving P1 in horizontal directions.
3.4. Band Gap Properties by Moving P1 and P2 in Opposite Directions Horizontally
A band gap is obtained when P1 moves in the horizontal directions while P2 remains unchanged. When P1 and P2 move in opposite directions horizontally, the primitive cell is also asymmetric, as shown in Figure 11. In this section, the displacements of P1 and P2 are the same for simplicity, and noted with ηc and θ.
Figure 11.
The primitive cell with P1 and P2 moving in opposite directions horizontally.
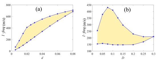
The structural and geometric parameters also affect the band gaps, as shown in Figure 12. The effects of ηc on the band gap are shown in Figure 12a with d = 0.02l, D = 0.1l, and θ = 0. Compared with Figure 10a, smaller ηc can lead to band gaps and the average band width is larger. The performance of the primitive cell with P1 and P2 moving in opposite directions is much better than only moving one of them. By exploring the band gaps with θ when ηc = 0.4, the band gaps change little with θ, as shown in Figure 12b. The relationships of band gaps with d and D are shown in Figure 12c,d, which are similar to the pentamode band in Figure 4. The parameter ηc = 0.35 for both cases, D = 0.1l for Figure 12c, and d = 0.02l for Figure 12d. Too large and too small d or D values both narrow the band width of the gap. Proper values of d and D need to be explored if a wide band gap is desired.
Figure 12.
The relationship of different parameters (a) ηc (b) θ (c) d (d) D on band gaps of the primitive cell by moving P1 and P2 in opposite directions horizontally.
4. Simulations with Harmonic Loads
The metamaterials with hexagonal unit cells composed of double-cone arms have exhibited pentamode or band gap properties in the analysis of the above sections. Simulations of the metamaterials are conducted to verify their pentamode or band gap properties. Finite element analysis software COMSOL Multiphysics is used in the simulation. The material is made up of three layers of primitive cells in a hexagonal outline. The harmonic loads are applied on the top and the bottom of the material is constrained. The vertical boundaries are continuous periodic conditions.
4.1. Simulation of Primitive Cells with Pentamode Band
The material with pentamode primitive cells of d = 0.02l, D = 0.1l and ηv = 1.25 is adopted for simulation. Harmonic loads are applied in horizontal and vertical directions separately with a frequency of 200 (m/s)/l, which lies in the pentamode band of the primitive cell. The results of von Mises stresses are shown in Figure 13. The results with horizontal loads are shown in Figure 13a, and the results with vertical loads are shown in Figure 13b. It can be seen from Figure 13a that horizontal stresses only exist in the upper part of the materials and no shear stresses transmit to the lower part. Figure 13b shows that compressional stresses transmit through the material.
Figure 13.
The von Mises stresses of pentamode metamaterials on harmonic loads in (a) horizontal direction (b) vertical direction.
It is known that pentamode materials only support compressional stress. The simulation results verify that compressional stress can be transmitted through the material with pentamode cells, and shear stress only exists at the adjacent part of the loading. This is in accordance with theoretical studies.
4.2. Simulation of Primitive Cells with Band Gap
The material made up of primitive cells with band gaps is also simulated. The parameters of the primitive cell are d = 0.02l, D = 0.1l and ηc = 0.35 for P1 and P2 moving in opposite directions. The loads are applied in the horizontal and vertical directions separately with a frequency of 200 (m/s)/l, which lies in its band gap. The results of von Mises stresses are shown in Figure 14. The results show that no stresses can be transmitted in the band gap of the unit cells consisting of the material.
Figure 14.
The von Mises stresses of band gap metamaterials on harmonic loads in (a) horizontal direction (b) vertical direction.
It is known that no stress can be supported in a band gap. The simulation results verify that the stresses in the horizontal direction and the vertical direction do not transmit in the material composed of the primitive cells. This is in accordance with theoretical studies.
5. Discussion
The elastic metamaterials with hexagonal unit cells can be of pentamode metamaterials or with band gaps depending on the configuration of the inner connection points. It is drawn from Section 3 that the mirror-symmetric primitive cells have pentamode bands at low frequency ranges and the primitive cells that are not mirror symmetric have band gaps at low frequency ranges.
Pentamode metamaterials have water-like properties, but the properties can be anisotropic. They have wide applications in acoustic field where the sound velocity is restricted or the transmission is required to be anisotropic. In Section 4.1, the primitive cell with mirror symmetry has been verified to be made from pentamode metamaterials that only allow the transmission of compressional waves.
The primitive cells with band gaps prohibit the transmission of any stresses in the band gap of frequencies. They can be used in vibration isolation with band gaps targeting desired frequencies. In Section 4.2, the primitive cell that is not mirror symmetric has been verified to have band gaps that prohibit the transmission of any stresses in the band gap.
The difference between the primitive cells in Section 4.1 and Section 4.2 is the positions of the connection points within the primitive cells, and there is a common frequency range between the pentamode band and the band gap. Thus, the primitive cells can be used as switches if active materials are used to build the double-cone arms in the primitive cell. In specific cases, the primitive cell can be transformed from pentamode to band gap or vice versa.
6. Conclusions
In this work, elastic metamaterials with hexagonal unit cells are studied by varying the inner structures. The primitive cells have pentamode bands or band gaps at low frequencies depending on the structures of the cells. The mirror-symmetric primitive cells have pentamode bands and the primitive cells that are not mirror symmetric have band gaps.
The pentamode bands are affected greatly by the structural and geometric parameters. The structural parameters of the primitive cells with a maximum band width of pentamode bands are similar to the standard model, and when three of the four arms at one connection point approach one plane, the pentamode band disappears. Proper geometric parameters are required if a wide band width of pentamode bands is desired because small or large thin end radius and bottom radius of the double-cone arm all narrow the band width.
The effects of the structural and geometric parameters on band gaps are also great. A band gap appears when the mirror symmetry is broken by moving the connection points away from their original places. Too large and too small displacements do not lead to band gaps. The properties of the primitive cells by moving both inner connection points are better than those by moving one point only. In addition, proper geometric parameters are required if a wide band width of band gaps is desired.
Simulations with finite element analysis software verify the existence of the pentamode band and band gaps. The metamaterials have wide potential applications. Pentamode metamaterials have tailored and fluid-like properties, which can be used to control the propagation of acoustic waves, such as focusing, diverging or curving the acoustic waves as desired. The band gap metamaterials can be used in vibration isolation since no wave can be transmitted within the band gaps. The structures of metamaterials can be varied according to the applications.
Author Contributions
Conceptualization, Q.L.; Data curation, Q.L.; Formal analysis, Q.L.; Funding acquisition, Q.L.; Methodology, Q.L.; Software, M.Z.; Supervision, Q.L.; Writing—original draft, Q.L.; Writing—revision, Q.L. All authors have read and agreed to the published version of the manuscript.
Funding
The research was funded by National Natural Science Foundation of China, grant number 52001046 and the Fundamental Research Funds for the Central Universities, grant number, DMU: 3132021112, 3132019308.
Data Availability Statement
The data that support the findings of this study are available from the corresponding author upon reasonable request.
Acknowledgments
We acknowledge the support given by the Naval Architecture and Ocean Engineering College, Dalian Maritime University.
Conflicts of Interest
The authors declare no conflict of interest.
References
- Milton, G.W.; Cherkaev, A.V. Which elasticity tensors are realizable? J. Eng. Mater. Technol. 1995, 117, 483–493. [Google Scholar] [CrossRef]
- Norris, A.N. Acoustic cloaking theory. Proc. R. Soc. A 2008, 464, 2411–2434. [Google Scholar] [CrossRef]
- Bückmann, T.; Thiel, M.; Kadic, M.; Schittny, R.; Wegener, M. An elasto-mechanical unfeelability cloak made of pentamode metamaterials. Nat. Commun. 2014, 5, 4130. [Google Scholar] [CrossRef] [PubMed] [Green Version]
- Kadic, M.; Bückmann, T.; Stenger, N.; Thiel, M.; Wegener, M. On the practicability of pentamode mechanical metamaterials. Appl. Phys. Lett. 2012, 100, 191901. [Google Scholar] [CrossRef] [Green Version]
- Martin, A.; Kadic, M.; Schittny, R.; Bückmann, T.; Wegener, M. Phonon band structures of three-dimensional pentamode metamaterials. Phys. Rev. B 2012, 86, 155116. [Google Scholar] [CrossRef] [Green Version]
- Kadic, M.; Bückmann, T.; Schittny, R.; Wegener, M. On anisotropic versions of three-dimensional pentamode metamaterials. New J. Phys. 2013, 15, 023029. [Google Scholar] [CrossRef]
- Cai, C.; Guo, R.; Wang, X.; Sun, F.; Wang, Z.; Xu, Z. Effect of anisotropy on phononic band structure and figure of merit of pentamode metamaterials. J. Appl. Phys. 2020, 127, 124903. [Google Scholar] [CrossRef]
- Huang, Y.; Lu, X.; Liang, G.; Xu, Z. Comparative study of the pentamodal property of four potential pentamode microstructures. J. Appl. Phys. 2017, 121, 125110. [Google Scholar] [CrossRef]
- Wang, G.; Jin, L.; Zhang, L.; Xu, Z. Phonon band structures of the three dimensional latticed pentamode metamaterials. AIP Adv. 2017, 7, 025309. [Google Scholar] [CrossRef]
- Li, Q.; Vipperman, J. Three-dimensional pentamode acoustic metamaterials with hexagonal unit cells. J. Acoust. Soc. Am. 2019, 145, 1372–1377. [Google Scholar] [CrossRef]
- Huang, Y.; Lu, X.; Liang, G.; Xu, Z. Pentamodal property and acoustic band gaps of pentamode metamaterials with different cross-section shapes. Phys. Lett. A 2016, 380, 1334–1338. [Google Scholar] [CrossRef]
- Cai, C.; Wang, Z.; Li, Q.; Xu, Z.; Tian, X. Pentamode metamaterials with asymmetric double-cone elements. J. Phys. D Appl. Phys. 2015, 48, 175103. [Google Scholar] [CrossRef]
- Wang, Z.; Cai, C.; Li, Q.; Li, J.; Xu, Z. Pentamode metamaterials with tunable acoustics band gaps and large figures of merit. J. Appl. Phys. 2016, 120, 024903. [Google Scholar] [CrossRef]
- Kadic, M.; Bückmann, T.; Schittny, R.; Gumbsch, P.; Wegener, M. Pentamode metamaterials with independently tailored bulk modulus and mass density. Phys. Rev. Appl. 2014, 2, 054007. [Google Scholar] [CrossRef] [Green Version]
- Wang, Z.; Chu, Y.; Cai, C.; Liu, G.; Wang, M.R. Composite pentamode metamaterials with low frequency locally resonant Characteristics. J. Appl. Phys. 2017, 122, 025114. [Google Scholar] [CrossRef]
- Li, Q.; Zhang, M. Composite hexagonal pentamode acoustic metamaterials with tailored properties. J. Phys.-Condes. Matter 2020, 32, 475701. [Google Scholar] [CrossRef]
- Zhao, A.; Zhang, X.; Yu, W.; Zhao, Z.; Cai, X.; Chen, H. Design and simulation of broadband multiphase pentamode metamaterials. Appl. Phys. Lett. 2021, 118, 224103. [Google Scholar] [CrossRef]
- Amendola, A.; Carpentieri, G.; Feo, L.; Fraternali, F. Bending dominated response of layered mechanical metamaterials alternating pentamode lattices and confinement plates. Compos. Struct. 2016, 157, 71–77. [Google Scholar] [CrossRef] [Green Version]
- Krushynska, A.O.; Galich, P.; Bosia, F.; Pugno, N.M.; Rudykh, S. Hybrid metamaterials combining pentamode lattices and phononic plates. Appl. Phys. Lett. 2018, 113, 201901. [Google Scholar] [CrossRef] [Green Version]
- Amendola, A.; Smith, C.J.; Goodall, R.; Auricchio, F.; Feo, L.; Benzoni, G.; Fraternali, F. Experimental response of additively manufactured metallic pentamode materials confined between stiffening plates. Compos. Struct. 2016, 142, 254–262. [Google Scholar] [CrossRef]
- Cai, X.; Wang, L.; Zhao, Z.; Zhao, A.; Zhang, X.; Wu, T.; Chen, H. The mechanical and acoustic properties of two-dimensional pentamode metamaterials with different structural parameters. Appl. Phys. Lett. 2016, 109, 131904. [Google Scholar] [CrossRef]
- Zhang, L.; Song, B.; Zhao, A.; Liu, R.; Yang, L.; Shi, Y. Study on mechanical properties of honeycomb pentamode structures fabricated by laser additive manufacturing: Numerical simulation and experimental verification. Compos. Struct. 2019, 226, 111199. [Google Scholar] [CrossRef]
- Zhao, A.; Zhao, Z.; Zhang, X.; Cai, X.; Wang, L.; Wu, T.; Chen, H. Design and experimental verification of a water-like pentamode material. Appl. Phys. Lett. 2017, 110, 011907. [Google Scholar] [CrossRef]
- Layman, C.N.; Naify, C.J.; Martin, T.P.; Calvo, D.C.; Orris, G.J. Highly anisotropic elements for acoustic pentamode applications. Phys. Rev. Lett. 2013, 111, 024302. [Google Scholar] [CrossRef]
- Martínez-Sala, R.; Sancho, J.; Sánchez, J.V.; Gómez, V.; Llinares, J.; Meseguer, F. Sound attenuation by sculpture. Nature 1995, 378, 241. [Google Scholar] [CrossRef]
- Li, Q.; Wu, K.; Zhang, M. Two-dimensional composite acoustic metamaterials of rectangular unit cell from pentamode to band gap. Crystals 2021, 11, 1457. [Google Scholar] [CrossRef]
- Mei, J.; Ma, G.; Yang, M.; Wen, W.; Sheng, P. Dark acoustic metamaterials as super absorbers for low-frequency sound. Nat. Commun. 2012, 3, 756. [Google Scholar] [CrossRef] [Green Version]
Publisher’s Note: MDPI stays neutral with regard to jurisdictional claims in published maps and institutional affiliations. |
© 2022 by the authors. Licensee MDPI, Basel, Switzerland. This article is an open access article distributed under the terms and conditions of the Creative Commons Attribution (CC BY) license (https://creativecommons.org/licenses/by/4.0/).













