Receding Contact Problem of Multi-Layered Elastic Structures Involving Functionally Graded Materials
Abstract
1. Introduction
2. Materials and Methods
3. Solution to Dual Singular Integral Equations
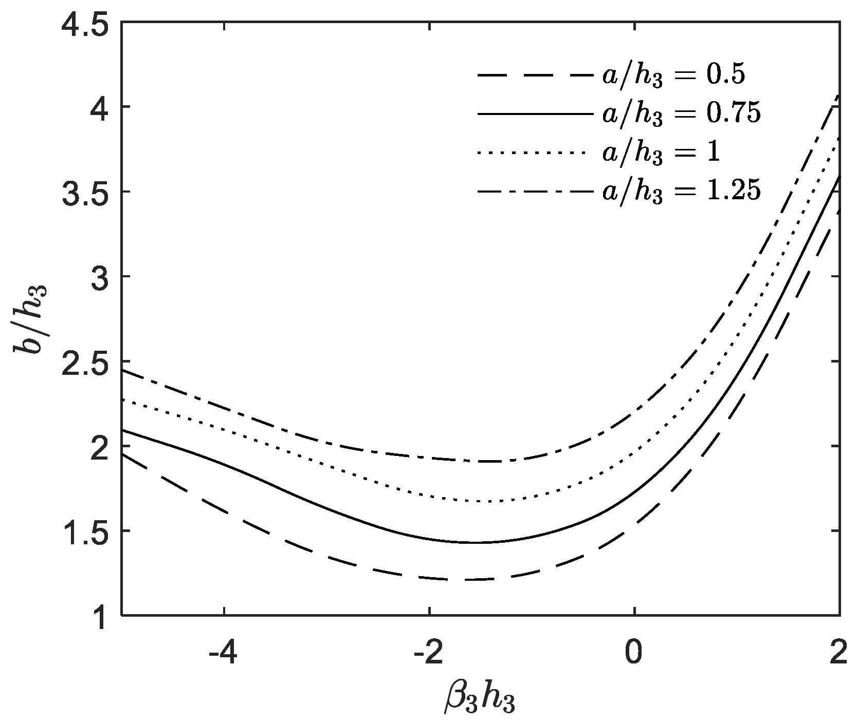
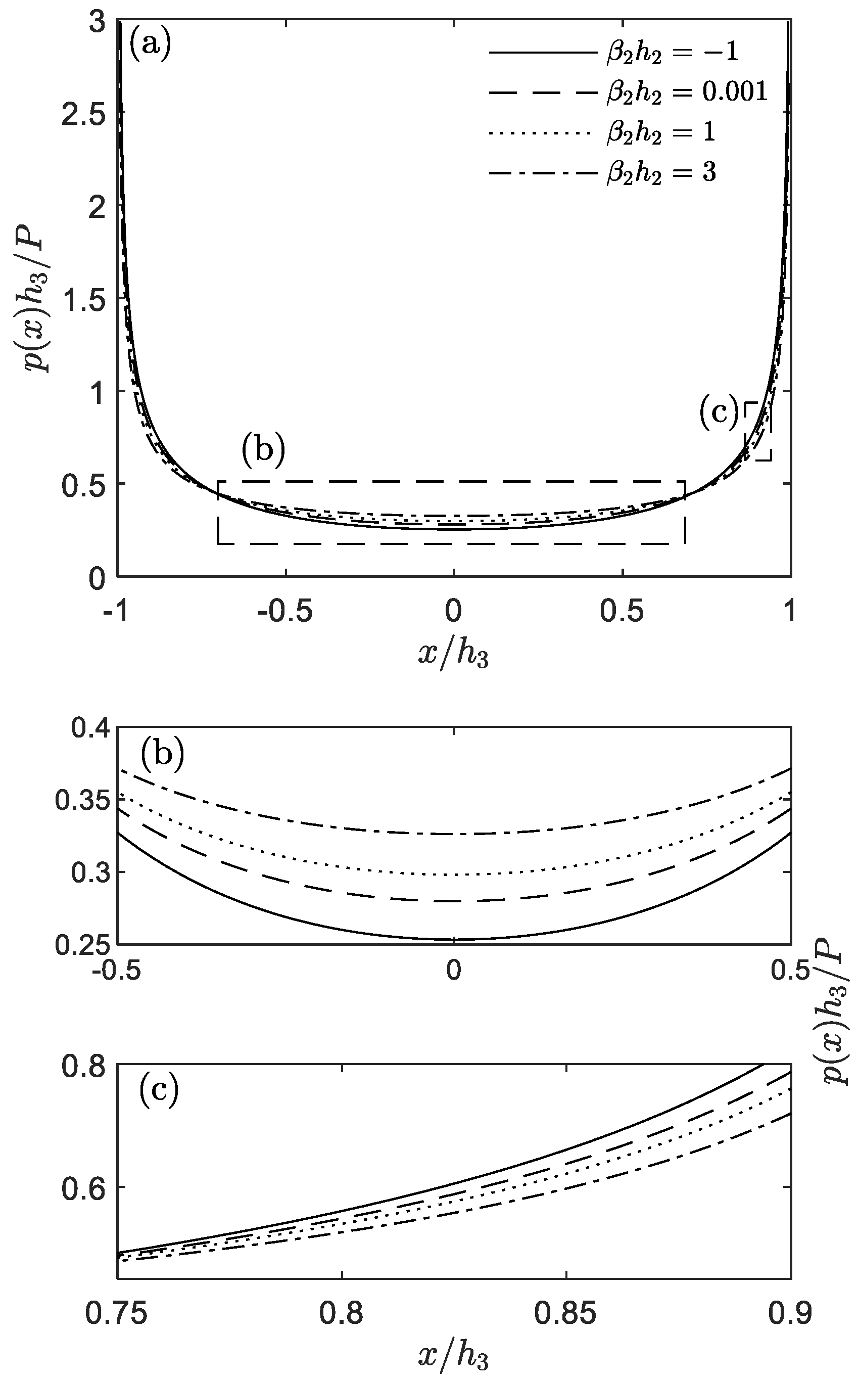
4. Numerical Results and Discussion
5. Conclusions
Author Contributions
Funding
Institutional Review Board Statement
Informed Consent Statement
Data Availability Statement
Conflicts of Interest
Appendix A
References
- Comez, I.; Birinci, A.; Erdol, R. Double receding contact problem for a rigid stamp and two elastic layers. Eur. J. Mech. A Solids 2004, 23, 301–309. [Google Scholar] [CrossRef]
- Cakiroglu, E.; Coemez, I.; Erdoel, R. Application of artificial neural networks to a double receding contact problem with a rigid stamp. Struct. Eng. Mech. 2005, 21, 205–220. [Google Scholar] [CrossRef]
- Adibelli, H.; Comez, I.E. Receding contact problem for a coated layer and a half-plane loaded by a rigid cylindrical stamp. Arch. Mech. 2013, 65, 219–236. [Google Scholar]
- Yaylaci, M.; Birinci, A. The receding contact problem of two elastic layers supported by two elastic quarter planes. Struct. Eng. Mech. 2013, 48, 241–255. [Google Scholar] [CrossRef]
- Yaylac, M.; Öner, E.; Birinci, A. Comparison between Analytical and ANSYS Calculations for a Receding Contact Problem. J. Eng. Mech. 2014, 140, 04014070. [Google Scholar] [CrossRef]
- Yaylaci, E.U.; Yaylaci, M.; Olmez, H.; Birinci, A. Artificial neural network calculations for a receding contact problem. Comput. Concr. 2020, 25, 551–563. [Google Scholar]
- Ke, L.L.; Wang, Y.S. Two-dimensional contact mechanics of functionally graded materials with arbitrary spatial variations of material properties. Int. J. Solids Struct. 2006, 43, 5779–5798. [Google Scholar] [CrossRef]
- Liu, T.J.; Zhang, C.; Wang, Y.S.; Xing, M.-G. The axisymmetric stress analysis of double contact problem for functionally graded ma-terials layer with arbitrary graded materials properties. Int. J. Solids Struct. 2016, 96, 229–239. [Google Scholar] [CrossRef]
- Comez, I.; Kahya, V.; Erdol, R. Plane receding contact problem for a functionally graded layer supported by two quarter-planes. Arch. Mech. 2018, 70, 485–504. [Google Scholar]
- Adıyaman, G.; Birinci, A.; Öner, E.; Adıyaman, G.; Birinci, A.; Öner, E.; Yaylacı, M. A receding contact problem between a functionally graded layer and two homogeneous quarter planes. Acta Mech. 2016, 227, 1753–1766. [Google Scholar] [CrossRef]
- Chen, S.; Cong, Y.; Soh, A. Adhesive behavior of two-dimensional power-law graded materials. Int. J. Solids Struct. 2009, 46, 3398–3404. [Google Scholar] [CrossRef]
- Fan, J.; Xu, G.; Gao, H. Adhesive contact on power-law graded elastic solids: The JKR–DMT transition using a double-Hertz model. J. Mech. Phys. Solids 2013, 61, 2473–2492. [Google Scholar]
- Erdogan, F. Fracture mechanics of functionally graded materials. Compos. Eng. 1995, 5, 753–770. [Google Scholar] [CrossRef]
- Boussoula, A.; Boucham, B.; Bourada, M.; Bourada, F.; Tounsi, A.; Bousahla, A.A.; Tounsi, A. A simple nth-order shear deformation theory for thermomechanical bending analysis of different configurations of FG sandwich plates. Smart Struct. Syst. 2020, 25, 197–218. [Google Scholar]
- Kaddari, M.; Kaci, A.; Bousahla, A.A.; Tounsi, A.; Bourada, F.; Tounsi, A.; Adda Bedia, E.A.; Al-Ostra, L.A. A study on the structural behaviour of functionally graded porous plates on elas-tic foundation using a new quasi-3D model: Bending and free vibration analysis. Comput. Concr. 2020, 25, 37–57. [Google Scholar]
- Kieback, B.; Neubrand, A.; Riedel, H. Processing techniques for functionally graded materials. Mater. Sci. Eng. A 2003, 362, 81–106. [Google Scholar] [CrossRef]
- Luo, Y.W.; Ma, T.; Shao, W.W.; Zhang, G.B.; Zhang, B. Effects of heat treatment on microstructures and mechanical properties of gh4169/k418 functionally graded material fabricated by laser melting deposition. Mater. Sci. Eng. 2021, 821, 141601. [Google Scholar] [CrossRef]
- Namigata, S.; Tsukamoto, H. Fabrication of carbon nanotube/aluminum matrix functionally graded materials using centrif-ugal slurry methods. Key Eng. Mater. 2021, 878, 31–40. [Google Scholar] [CrossRef]
- Krumova, M.; Klingshirn, C.; Haupert, F.; Friedrich, K. Microhardness studies on functionally graded polymer composites. Compos. Sci. Technol. 2001, 61, 557–563. [Google Scholar] [CrossRef]
- Chen, D.Q.; Sun, D.L.; Li, X.F. Surface effects on resonance frequencies of axially functionally graded Timoshenko nanocanti-levers with attached nanoparticle. Compos. Struct. 2017, 173, 116–126. [Google Scholar] [CrossRef]
- Rk, A.; Sk, A.; Dkp, A.; Gupta, S. Green’s function and surface waves in a viscoelastic orthotropic FGM enforced by an impulsive point source. Appl. Math. Comput. 2020, 382, 125325. [Google Scholar]
- Hong, Y.; Neu, R.W.; Berto, F.; Endo, M. Fatigue & fracture of engineering materials & structures. Fatig. Fract. Eng. Mat. Struct. 2018, 41, 247. [Google Scholar]
- Ammendolea, D.; Greco, F.; Lonetti, P.; Luciano, R.; Pacuzza, R. Crack propagation modeling in functionally graded materials using moving mesh technique and interaction integral approach. Compos. Struct. 2021, 269, 114005. [Google Scholar] [CrossRef]
- Singh, S.K.; Singh, I.V. Extended isogeometric analysis for fracture in functionally graded magneto-electro-elastic material. Eng. Fract. Mech. 2021, 247, 107640. [Google Scholar] [CrossRef]
- Perkowski, D.M.; Kulchytsky-Zhyhailo, R.; Kolodziejczyk, W. On axisymmetric heat conduction problem for multilayer graded coated half-space. J. Teoret. Appl. Mech. 2018, 56, 147–156. [Google Scholar] [CrossRef]
- Martínez-Pañeda, E. On the Finite Element Implementation of Functionally Graded Materials. Materials 2019, 12, 287. [Google Scholar] [CrossRef]
- Ebrahimijahan, A.; Dehghan, M.; Abbaszadeh, M. Simulation of plane elastostatic equations of anisotropic functionally graded materials by integrated radial basis function based on finite difference approach. Eng. Anal. Bound. Elem. 2022, 134, 553–570. [Google Scholar] [CrossRef]
- Choi, H.J.; Paulino, G.H. Thermoelastic contact mechanics for a flat punch sliding over a graded coating/substrate system with frictional heat generation. J. Mech. Phys. Solids 2008, 56, 1673–1692. [Google Scholar] [CrossRef]
- Ke, L.-L.; Yang, J.; Kitipornchai, S.; Wang, Y.-S. Frictionless contact analysis of a functionally graded piezoelectric layered half-plane. Smart Mater. Struct. 2008, 17, 025003. [Google Scholar] [CrossRef]
- Chen, P.; Chen, S. Partial slip contact between a rigid punch with an arbitrary tip-shape and an elastic graded solid with a finite thickness. Mech. Mater. 2013, 59, 24–35. [Google Scholar] [CrossRef]
- Mez, İ.; El-Borgi, S.; Kahya, V.; Erdol, R. Receding contact problem for two-layer functionally graded media indented by a rigid punch. Acta Mech. 2016, 227, 2493–2504. [Google Scholar]
- Yilmaz, K.B.; Comez, I.; Yildirim, B.; Guler, M.A.; El-Borgi, S. Frictional Receding Contact Problem for a Graded Bilayer System Indented by a Rig-id Punch. Int. J. Mech. Sci. 2018, 141, 127–142. [Google Scholar] [CrossRef]
- Yan, J.; Mi, C. On the receding contact between an inhomogeneously coated elastic layer and a homogeneous half-plane. Mech. Mater. 2017, 112, 18–27. [Google Scholar] [CrossRef]
- Yan, J.; Mi, C. Double contact analysis of multilayered elastic structures involving functionally graded materials. Arch. Mech. 2017, 69, 199–221. [Google Scholar]
- Liu, Z.; Yan, J.; Mi, C. On the receding contact between a two-layer inhomogeneous laminate and a half-plane. Struct. Eng. Mech. 2018, 66, 329–341. [Google Scholar]
- Yan, J.; Mi, C. A receding contact analysis for an elastic layer reinforced with a functionally graded coating and pressed against a half-plane. J. Mech. Sci. Technol. 2019, 33, 4331–4344. [Google Scholar] [CrossRef]
- Mez, I.; El-Borgi, S.; Yildirim, B. Frictional receding contact problem of a functionally graded layer resting on a homogeneous coated half-plane. Arch. Appl. Mech. 2020, 90, 2113–2131. [Google Scholar]
- Yaylac, M.; Eyübolu, A.; Adyaman, G.; Yaylaci, E.U.; Oner, E.; Birinci, A. Assessment of different solution methods for receding contact problems in func-tionally graded layered mediums. Mech. Mater. 2021, 154, 103730. [Google Scholar] [CrossRef]
- Oner, E.; Şengül, B.Ş.; Yaylacı, E.U.; Adyiaman, G.; Yaylaci, M.; Birinci, A. On the plane receding contact between two functionally graded layers using com-putational, finite element and artificial neural network methods. J. Appl. Math. Mech. 2022, 102, e202100287. [Google Scholar]
- Karabulut, P.M.; Adiyaman, G.; Birinci, A. A receding contact problem of a layer resting on a half plane. Struct. Eng. Mech. 2017, 64, 505–513. [Google Scholar]
- Ozsahin, T.S.; Taskiner, O. Contact Problem for an Elastic Layer on an Elastic Half Plane Loaded by Means of Three Rigid Flat Punches. Math. Probl. Eng. 2013, 4, 112–128. [Google Scholar] [CrossRef][Green Version]
- Cao, R.; Li, L.; Li, X.; Mi, C. On the frictional receding contact between a graded layer and an orthotropic substrate indented by a rigid flat-ended stamp. Mech. Mater. 2021, 158, 103847. [Google Scholar] [CrossRef]
- Cao, R.; Mi, C. On the receding contact between a graded and a homogeneous layer due to a flat-ended indenter. Math. Mech. Solids 2021. [Google Scholar] [CrossRef]
- Ke, L.L.; Wang, Y.-L. Two-dimensional contact mechanics and fretting analysis of functionally graded materials. Eur. J. Mech. 2007, 26, 171–188. [Google Scholar] [CrossRef]
- Yan, J.; Mi, C. On the Receding Contact Between a Homogeneous Elastic Layer and a Half-plane Substrate Coated with Func-tionally Graded Materials. Int. J. Comput. Method. 2020, 17, 89–94. [Google Scholar] [CrossRef]
- Erdogan, F.; Gupta, G.D. On the numerical solution of singular integral equations. Q. Appl. Math. 1972, 29, 525–534. [Google Scholar] [CrossRef]
- Erdogan, F.; Gupta, G.D.; Cook, T.S. Numerical Solution of Singular Integral Equations; Springer: Berlin/Heidelberg, Germany, 1973. [Google Scholar]
- Keer, L.M.; Dundurs, J.; Tsai, K.C. Problems Involving a Receding Contact Between a Layer and a Half Space. J. Appl. Mech. 1972, 39, 1115–1120. [Google Scholar] [CrossRef]
- El-Borgi, S.; Abdelmoula, R.; Keer, L. A receding contact plane problem between a functionally graded layer and a homogene-ous substrate. Int. J. Solids Struct. 2006, 43, 658–674. [Google Scholar] [CrossRef]










Publisher’s Note: MDPI stays neutral with regard to jurisdictional claims in published maps and institutional affiliations. |
© 2022 by the authors. Licensee MDPI, Basel, Switzerland. This article is an open access article distributed under the terms and conditions of the Creative Commons Attribution (CC BY) license (https://creativecommons.org/licenses/by/4.0/).
Share and Cite
Yan, J.; Wang, C. Receding Contact Problem of Multi-Layered Elastic Structures Involving Functionally Graded Materials. Crystals 2022, 12, 354. https://doi.org/10.3390/cryst12030354
Yan J, Wang C. Receding Contact Problem of Multi-Layered Elastic Structures Involving Functionally Graded Materials. Crystals. 2022; 12(3):354. https://doi.org/10.3390/cryst12030354
Chicago/Turabian StyleYan, Jie, and Cong Wang. 2022. "Receding Contact Problem of Multi-Layered Elastic Structures Involving Functionally Graded Materials" Crystals 12, no. 3: 354. https://doi.org/10.3390/cryst12030354
APA StyleYan, J., & Wang, C. (2022). Receding Contact Problem of Multi-Layered Elastic Structures Involving Functionally Graded Materials. Crystals, 12(3), 354. https://doi.org/10.3390/cryst12030354
