Preparation of NbAs Single Crystal by the Seed Growth Process
Abstract
:1. Introduction
2. Materials and Methods
2.1. Synthesis of NbAs Crystal
2.2. Device Fabrication
3. Results and Discussion
3.1. Structure Analysis
3.2. Material Characterization
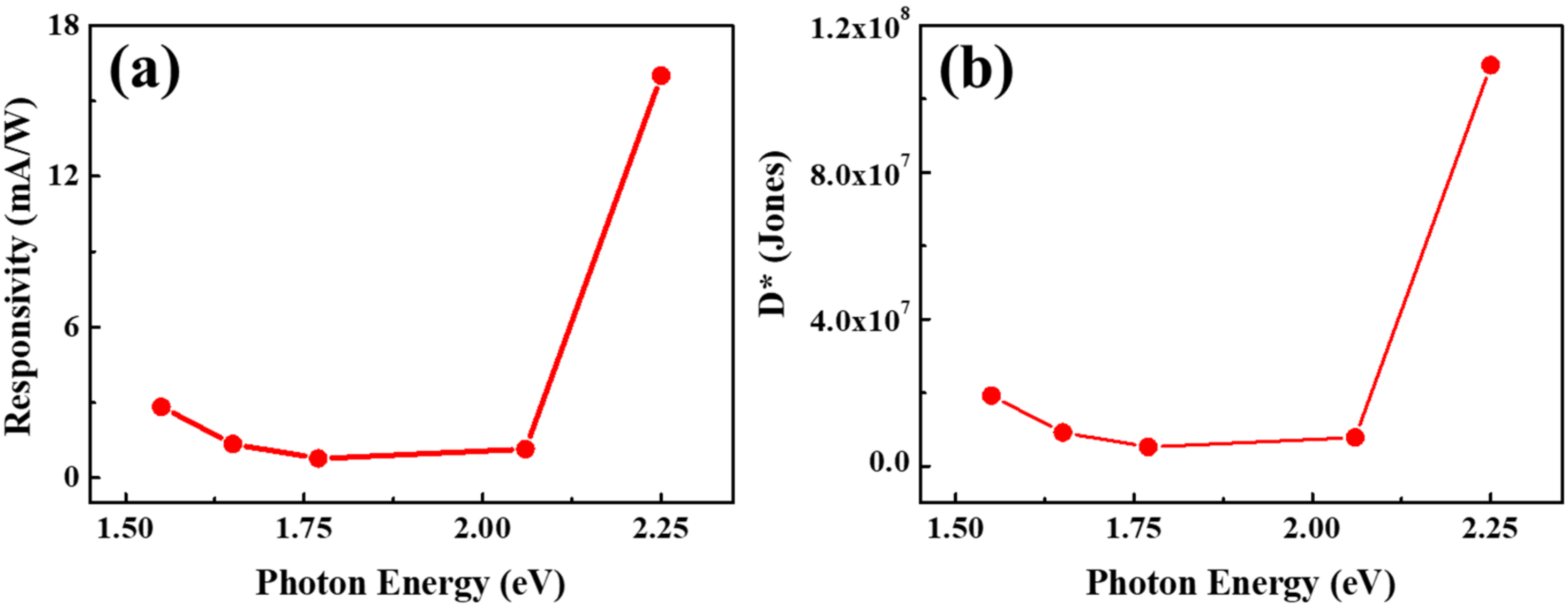
3.3. Photoelectric Response Detection of NbAs Crystal
4. Conclusions
Author Contributions
Funding
Institutional Review Board Statement
Informed Consent Statement
Data Availability Statement
Acknowledgments
Conflicts of Interest
References
- Xu, S.-Y.; Alidoust, N.; Belopolski, I.; Yuan, Z.; Bian, G.; Chang, T.-R.; Zheng, H.; Strocov, V.N.; Sanchez, D.S.; Chang, G.; et al. Discovery of a Weyl fermion state with Fermi arcs in niobium arsenide. Nat. Phys. 2015, 11, 748–754. [Google Scholar] [CrossRef] [Green Version]
- Huang, S.M.; Xu, S.Y.; Belopolski, I.; Lee, C.C.; Chang, G.; Chang, T.R.; Wang, B.; Alidoust, N.; Bian, G.; Neupane, M.; et al. New type of Weyl semimetal with quadratic double Weyl fermions. Proc. Natl. Acad. Sci. USA 2016, 113, 1180–1185. [Google Scholar] [CrossRef] [PubMed] [Green Version]
- Yuan, X.; Zhang, C.; Zhang, Y.; Yan, Z.; Lyu, T.; Zhang, M.; Li, Z.; Song, C.; Zhao, M.; Leng, P.; et al. The discovery of dynamic chiral anomaly in a Weyl semimetal NbAs. Nat. Commun. 2020, 11, 1259. [Google Scholar] [CrossRef] [PubMed]
- Xu, Q.; Zhang, Y.; Koepernik, K.; Shi, W.; Van den Brink, J.; Felser, C.; Sun, Y. Comprehensive scan for nonmagnetic Weyl semimetals with nonlinear optical response. Npj Comput. Mater. 2020, 6, 1–7. [Google Scholar] [CrossRef] [Green Version]
- Ji, Z.; Liu, G.; Addison, Z.; Liu, W.; Yu, P.; Gao, H.; Liu, Z.; Rappe, A.M.; Kane, C.L.; Mele, E.J.; et al. Spatially dispersive circular photogalvanic effect in a Weyl semimetal. Nat. Mater. 2019, 18, 955–962. [Google Scholar] [CrossRef] [Green Version]
- Chi, S.; Li, Z.; Xie, Y.; Zhao, Y.; Wang, Z.; Li, L.; Yu, H.; Wang, G.; Weng, H.; Zhang, H.; et al. A Wide-Range Photosensitive Weyl Semimetal Single Crystal-TaAs. Adv. Mater. 2018, 30, 1801372. [Google Scholar] [CrossRef]
- Shekhar, C.; Nayak, A.K.; Sun, Y.; Schmidt, M.; Nicklas, M.; Leermakers, I.; Zeitler, U.; Skourski, Y.; Wosnitza, J.; Liu, Z.; et al. Extremely large magnetoresistance and ultrahigh mobility in the topological Weyl semimetal candidate NbP. Nat. Phys. 2015, 11, 645–649. [Google Scholar] [CrossRef]
- Yuan, X.; Yan, Z.; Song, C.; Zhang, M.; Li, Z.; Zhang, C.; Liu, Y.; Wang, W.; Zhao, M.; Lin, Z.; et al. Chiral Landau levels in Weyl semimetal NbAs with multiple topological carriers. Nat. Commun. 2018, 9, 1854. [Google Scholar] [CrossRef]
- Osterhoudt, G.B.; Diebel, L.K.; Gray, M.J.; Yang, X.; Stanco, J.; Huang, X.; Shen, B.; Ni, N.; Moll, P.J.W.; Ran, Y.; et al. Colossal mid-infrared bulk photovoltaic effect in a type-I Weyl semimetal. Nat. Mater. 2019, 18, 471–475. [Google Scholar] [CrossRef]
- Guo, C.; Tian, H.F.; Yang, H.X.; Sun, K.; Wei, L.L.; Chen, G.F.; Li, J.Q. Hexagonal Phase Intergrown with the Tetragonal Weyl Semimetal TaAs. Cryst. Growth Des. 2017, 17, 1747–1751. [Google Scholar] [CrossRef]
- Boller, H.; Parthe, E. The Transposition Structure of NbAs and of Similar Monophosphides. Acta Cryst. 1963, 1963. 16, 1095. [Google Scholar] [CrossRef]
- Li, Z.; Chen, H.; Jin, S.; Gan, D.; Wang, W.; Guo, L. Chen, X. Weyl Semimetal TaAs: Crystal Growth, Morphology, and Thermodynamics. Cryst. Growth Des. 2016, 16, 1172–1175. [Google Scholar] [CrossRef]
- Sapkota, D.; Mukherjee, R.; Mandrus, D. Single Crystal Growth, Resistivity, and Electronic Structure of the Weyl Semimetals NbP and TaP. Crystals 2016, 6, 160. [Google Scholar] [CrossRef] [Green Version]
- Lin, D.Y.; Guo, B.C.; Dai, Z.Y.; Lin, C.F.; Hsu, H.P. PbI2 Single Crystal Growth and Its Optical Property Study. Crystals 2019, 9, 589. [Google Scholar] [CrossRef] [Green Version]
- Zhu, P.; Li, Y.; Yang, X.; Yang, Y.; Zhang, X.; Lin, X.; Yang, F.; Li, X.; Wang, Z. Synthesis of Superconducting InxSn1−xTe (0.04 < x < 0.1) Large Single Crystal by Liquid Transport Method. Crystals 2021, 11, 474. [Google Scholar]
- Panella, J.R.; Trump, B.A.; Marcus, G.G.; McQueen, T.M. Seeded Chemical Vapor Transport Growth of Cu2OSeO3. Cryst. Growth Des. 2017, 17, 4944–4948. [Google Scholar] [CrossRef] [Green Version]
- Selter, S.; Shemerliuk, Y.; Büchner, B.; Aswartham, S. Crystal Growth of the Quasi-2D Quarternary Compound AgCrP2S6 by Chemical Vapor Transport. Crystals 2021, 11, 500. [Google Scholar] [CrossRef]
- Sun, Z.; Liufu, S.; Chen, X.; Chen, L. Enhanced thermoelectric properties of Bi0.5Sb1.5Te3 films by chemical vapor transport process. ACS Appl Mater Interfaces 2011, 3, 1390–1393. [Google Scholar] [CrossRef]
- Saini, G.S.; Calvert, L.D.; Taylor, J.B. Preparation and Characterization of Crystals of MX- and MX2 -Type of Niobium and Tantalum. Can. J. Chem. 1964, 42, 630–634. [Google Scholar] [CrossRef] [Green Version]
- Zhang, M.D.; Hou, X.Y.; Wang, Q.; Wang, Y.Y.; Zhao, L.X.; Wang, Z.; Gu, Y.D.; Zhang, F.; Xia, T.L.; Ren, Z.A.; et al. Tip-induced superconductivity on the topological semimetals TaAs2 and NbAs2. Phys. Rev. B 2020, 102, 085139. [Google Scholar] [CrossRef]
- Wang, Y.Y.; Yu, Q.H.; Guo, P.J.; Liu, K.; Xia, T.L. Resistivity plateau and extremely large magnetoresistance in NbAs2 and TaAs2. Phys. Rev. B 2016, 94, 041103(R). [Google Scholar] [CrossRef] [Green Version]
- Peramaiyan, G.; Sankar, R.; Muthuselvam, I.P.; Lee, W.L. Anisotropic magnetotransport and extremely large magnetoresistance in NbAs2 single crystals. Sci. Rep. 2018, 8, 6414. [Google Scholar] [CrossRef] [PubMed] [Green Version]
- Greco, S.; Dal Zilio, S.; Bek, A.; Lazzarino, M.; Naumenko, D. Frequency Modulated Raman Spectroscopy. ACS Photonics 2017, 5, 312–317. [Google Scholar] [CrossRef]
- Liu, H.W.; Richard, P.; Song, Z.D.; Zhao, L.X.; Chen, G.F.; Ding, H. Raman study of lattice dynamics in the Weyl semimetal TaAs. Phys. Rev. B 2015, 92, 064302. [Google Scholar] [CrossRef] [Green Version]
- Chiarello, G.; Hofmann, J.; Li, Z.; Fabio, V.; Guo, L.; Chen, X.; Das Sarma, S.; Politano, A. Tunable surface plasmons in Weyl semimetals TaAs and NbAs. Phys. Rev. B 2019, 99, 121401. [Google Scholar] [CrossRef] [Green Version]
- Liu, H.W.; Zhang, G.H.; Richard, P.; Zhao, L.X.; Chen, G.G.; Ding, H. Spatially Resolved X-ray Photoemission Electron Microscopy of Weyl Semimetal NbAs. Cryst. Growth Des. 2018, 18, 5210–5213. [Google Scholar] [CrossRef]
- Bedoya-Pinto, A.; Pandeya, A.K.; Liu, D.; Deniz, H.; Chang, K.; Tan, H.; Han, H.; Jena, J.; Kostanovskiy, I.; Parkin, S.S.P. Realization of Epitaxial NbP and TaP Weyl Semimetal Thin Films. ACS Nano 2020, 14, 4405–4413. [Google Scholar] [CrossRef]
- Fedotov, A.; Shendyukov, V.; Tsybulskaya, L.; Perevoznikov, S.; Dong, M.; Xue, X.; Feng, X.; Sayyed, M.I.; Zubar, T.; Trukhanov, A.; et al. Electrodeposition conditions–dependent crystal structure, morphology and electronic properties of Bi films. J. Alloy. Compd. 2021, 887, 161451. [Google Scholar] [CrossRef]
- Ross, J.S.; Klement, P.; Jones, A.M.; Ghimire, N.J.; Yan, J.; Mandrus, D.G.; Taniguchi, T.; Watanabe, K.; Kitamura, K.; Yao, W.; et al. Electrically tunable excitonic light-emitting diodes based on monolayer WSe2 p–n junctions. Nat. Nanotechnol. 2014, 9, 268–272. [Google Scholar] [CrossRef]
- Pezeshki, A.; Shokouh, S.H.; Nazari, T.; Oh, K.; Im, S. Electric and Photovoltaic Behavior of a Few-Layer α-MoTe2/MoS2 Dichalcogenide Heterojunction. Adv. Mater. 2016, 28, 3216–3222. [Google Scholar] [CrossRef]
- Zhang, S.; Guo, S.; Huang, Y.; Zhu, Z.; Cai, B.; Xie, M.; Zhou, W.; Zeng, H. Two-dimensional SiP: An unexplored direct bandgap semiconductor. 2D Mater. 2016, 4, 015030. [Google Scholar] [CrossRef]
- Jing, Y.; Ma, Y.; Li, Y.; Heine, T. GeP3: A Small Indirect Band Gap 2D Crystal with High Carrier Mobility and Strong Interlayer Quantum Confinement. Nano Lett. 2017, 17, 1833–1838. [Google Scholar] [CrossRef] [Green Version]






Publisher’s Note: MDPI stays neutral with regard to jurisdictional claims in published maps and institutional affiliations. |
© 2022 by the authors. Licensee MDPI, Basel, Switzerland. This article is an open access article distributed under the terms and conditions of the Creative Commons Attribution (CC BY) license (https://creativecommons.org/licenses/by/4.0/).
Share and Cite
Sun, Y.; Zhao, B.; Huo, Z.; Liu, H.; Xu, Y.; Hu, Z.; Qiu, H. Preparation of NbAs Single Crystal by the Seed Growth Process. Crystals 2022, 12, 249. https://doi.org/10.3390/cryst12020249
Sun Y, Zhao B, Huo Z, Liu H, Xu Y, Hu Z, Qiu H. Preparation of NbAs Single Crystal by the Seed Growth Process. Crystals. 2022; 12(2):249. https://doi.org/10.3390/cryst12020249
Chicago/Turabian StyleSun, Yinchang, Bojin Zhao, Zongju Huo, Hongjun Liu, Yongkuan Xu, Zhanggui Hu, and Hailong Qiu. 2022. "Preparation of NbAs Single Crystal by the Seed Growth Process" Crystals 12, no. 2: 249. https://doi.org/10.3390/cryst12020249
APA StyleSun, Y., Zhao, B., Huo, Z., Liu, H., Xu, Y., Hu, Z., & Qiu, H. (2022). Preparation of NbAs Single Crystal by the Seed Growth Process. Crystals, 12(2), 249. https://doi.org/10.3390/cryst12020249

