Abstract
The ZrSiS-type materials have gained intensive attentions. The magnetic version of the ZrSiS-type materials, LnSbTe (Ln = Lanthanide), offers great opportunities to explore new quantum states owing to the interplay between magnetism and electronic band topology. Here, we report the growth and characterization of the non-magnetic LaSbSe of this material family. We found the metallic transport, low magnetoresistance and non-compensated charge carriers with relatively low carrier density in LaSbSe. The specific heat measurement has revealed distinct Sommerfeld coefficient and Debye temperature in comparison to LaSbTe. Such addition of a new LnSbSe selenide compound could provide the alternative material choices in addition to LnSbTe telluride materials.
1. Introduction
The discoveries of topological semimetals (TSMs) have created promising material platforms to study fundamental physics and develop novel device applications [1,2,3,4,5,6,7,8]. These materials host relativistic fermions with linear energy-momentum dispersions that are analogous to Dirac and Weyl fermions in the field of high energy physics [1,9]. Such Dirac and Weyl states are protected by certain symmetries, and display various exotic properties, such as large magnetoresistance [8], high mobility [8], chiral anomaly [10,11,12,13], and surface Fermi arcs [14,15,16,17,18]. Unlike Dirac semimetals (DSMs) and Weyl semimetals (WSMs) where the linearly dispersed bands cross at discrete points in the momentum space, the nodal semimetals (NLSMs) exhibit interesting linear band crossings along one-dimensional loops or lines. Among various NLSMs, the ZrSiS-family compounds have gained intensive attention. It is a large materials family represented by a chemical formula WHM (W= Zr/Hf/lanthanides; H = Si/Ge/Sn/Sb, M = O, S, Se,Te) [19,20,21,22,23,24,25,26,27,28,29,30,31,32]. Those compounds crystallize in a layered crystal structure, formed by the stacking of sandwich layers in which the two dimensional (2D) square net of H-atoms are sandwiched by W m layers. Many WHM materials possess tetragonal structures with a space group P4/nmm, while some exhibit orthorhombic distortions. Two types of Dirac states have been discovered in lots of WHM compounds, including the gapless Dirac point states protected by non-symmorphic symmetry, and the slightly gapped Dirac nodal-line states generated by the glide mirror symmetry [19,20,22,31,33]. Those electronic states lead to several interesting properties in WHMs such as the surface floating bands [34,35], enhanced electronic correlations [31,32,36], and pressure-induced topological phase transitions [37,38].
The LnSbTe materials represents magnetic version of WHM materials [27,28,39,40,41,42,43,44,45,46,47,48,49,50]. In those compounds, the spin degree of freedom is activated when Ln is a magnetic rare earth element such as Ce [28,39,40], Gd [27,41,42], Nd [46,47], Sm [44,45], Ho [48,49], and Dy [50]. Various antiferromagnetic (AFM) ground states have been observed in those LnSbTe compounds [27,28,44,46,48,50]. Non-trivial topology has been demonstrated in several LnSbTe compounds [27,28,44,49,50,51], which is predicted to be tunable by magnetism when metamagnetic transitions occurs [28]. In addition to magnetism, rich quantum phenomena such as Kondo effects [39,44,46,52], charge density waves (CDW) [40,42,43], enhanced electronic correlations [44,46,49], and possible magnetic frustration [44] have been observed in various LnSbTe compounds. Such abundance of exotic quantum phenomena makes LnSbTe a model platform to investigate topological physics.
In topological materials, spin-orbit coupling (SOC) is a known parameter that affects electronic states, which is relatively easily tunable by elementary substitutions. In LnSbTe, replacing Te with other chalcogen elements is one possible route to vary SOC. Thus far, CeSb(Te1−xSex) [40,53] has been reported to show a complex magnetic ordering that results in a possible devil’s staircase in magnetization measurements. In addition, features suggesting a Kondo lattice with a small charge carrier density has been observed in CeSbSe [53]. Extending from tellurides to selenides, those LnSbSe compounds provide additional opportunities to investigate the topological materials and topological physics in WHM family. This motivated us to study the previously unexplored non-magnetic WHM compound LaSbSe in this work. We found that LaSbSe exhibits metallic behavior in electron transport, with small magnetoresistance and non-compensated charge carriers, which is distinct from the telluride compound LaSbTe.
2. Materials and Methods
The LaSbSe single crystals were synthesized by a two-step chemical vapor transport (CVT) method. First, a polycrystalline precursor was prepared by heating the stoichiometric mixture of La (99.88%, Alfa Assar), Sb (99.5%, Alfa Assar) and Se (99.999%, Alfa Assar) at 750 °C at a rate of 50 °C per hour, stayed for 2 days, and followed by cooling down to room temperature. The precursor was then used as the source material for the subsequent CVT growth with selenium tetrachloride as a transport agent. Millimeter-size rectangular crystals with metallic luster were obtained after two weeks’ growth with a temperature gradient from 1000 to 850 °C, as shown in the inset of Figure 1b. Lowering temperature or shorter duration only yielded powders rather than crystals. The obtained single crystals for LaSbSe are found to be relatively softer and easy to cleave than LnSbTe compounds, which is in line with the lower Debye temperature in comparison to the LnSbTe compounds [39,41,44,46] as will be discussed below. The elemental composition was checked by using energy-dispersive X-ray spectroscopy (EDS). Within the resolution limit of EDS, stoichiometric composition of LaSbSe was obtained without any traces of other elements. Furthermore, the crystal structure was determined by both powder and single crystal X-ray diffraction (XRD) performed at room temperature by using Rigaku XtaLAB Synergy-S diffractometers. The powder diffraction was performed by using Cu Kα radiation on power sample obtained from grounding single crystals, and the single crystal XRD spectrum was collected by using Mo Kα radiation. The refinements of powder and single crystal XRD data were performed by JANA2006 [54]. Electronic transport and heat capacity measurements were performed by using a physical properties measurement system (PPMS).
Figure 1.
(a) Crystal structure of LaSbSe. (b) Powder XRD pattern and refinement for LaSbSe. Powder sample was obtained by grounding single crystals. Inset: image of a LaSbSe single crystal. (c) Scanning electronic microscopy (SEM) image of a LaSbSe single crystal. (d) Energy dispersive spectroscopy (EDS) spectrum of the LaSbSe single crystal shown in (c). The obtained composition is La0.992Sb1.000Te1.003.
3. Results and Discussions
Stoichiometric LnSbTe compounds crystallize in the tetragonal lattice with nonsymmorphic space group P4/nmm, in which the Sb square nets are sandwiched between the Ln-Te layers [28,43,45,48,50]. This Sb plane can be substituted by Te, resulting in nonstoichiometric compositions LnSb1−xTe1+x which is accompanied by orthorhombic distortions [41,52]. In addition, vacancies in the Sb layer have also been observed in those nonstoichiometric compounds [43,45]. To resolve the crystal structure of LaSbSe, we performed both powder and single crystal XRD. The crystal structure was solved and refined from single crystal XRD, which was then used as the model structure for a Rietveld refinement with the powder diffraction pattern. The obtained crystal structure is shown in Figure 1a and the refined lattice atomic parameters are listed in Table 1 and Table 2. Figure 1b shows the powder XRD spectrum and refinement. The refined crystal structure of LaSbSe is a distorted variant of the P4/nmm structure of LnSbTe. It is pseudo-tetragonal but the Sb square net is distorted, rendering from which a monoclinic structure with a space group of P21/c can be determined for our LaSbSe. The structure parameters are summarized in Table 1. Compared to a previous report on LaSbSe [55], our refined structure is consistent in space group and atomic positions but evidently different in lattice parameters. A stoichiometric composition, LaSbSe, was also obtained from the structure refinement, which is consistent with the composition analysis using EDS. The scanning electron microscopy (SEM) image of a LaSbSe single crystal and the corresponding EDS spectrum are shown in Figure 1c,d. To further confirm the structure of LaSbSe, we have also resolved the structure using single crystal XRD, from which a consistent crystal structure was obtained as shown in Table 2.
Table 1.
Room temperature crystal structure determined by powder XRD. Space group: P21/c. a = 4.24437 (17) Å, b = 18.4271 (4) Å, c = 6.0175 (4) Å. β = 134.971 (4)º. Rp = 0.023, Rwp = 0.032, Rexp = 0.349, R(F) = 0.060, χ2 = 0.008.
Table 2.
Room temperature crystal structure determined by single crystal XRD. Space group: P21/c. a = 4.2512 (1) Å, b = 18.4342 (2) Å, 6.0153 (1) Å. β = 134.978 (3)º.
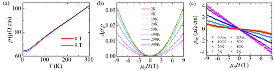
In LnSbTe compounds, both metallic and non-metallic electronic transport behaviors have been observed in temperature dependent resistivity measurements. For example, NdSbTe [46], CeSbTe [39], and SmSbTe [44] exhibit nonmetallic transport (i.e., increase of resistivity upon cooling) with Kondo-like features, whereas the ZrSiS metallic transport (i.e., resistivity decreases with reducing temperature) has been reported in LaSbTe [56], GdSbTe [41,57], HoSbTe [48], and DySbTe [50]. For selenide LnSbSe compounds, metallic transport has also been observed in CeSbSe [53]. It is not clear why various transport behaviors has been observed. For example, SmSbTe show non-metallic transport but its electronic band structure probed by ARPES and first principles calculations implies that it is a metal [44]. Possible reason could be magnetic scattering and possible charge density wave due to Sb deficiency [44]. As shown in Figure 2a, the overall temperature dependence of resistivity for LaSbSe display metallic behavior with decreasing resistivity upon cooling. Despite of the metallic temperature dependence, the residual resistivity ratio RRR, i.e., ρxx(300 K)/ρxx(2 K), is only 1.6, which is comparable to the non-rare earth WHM compound ZrSnTe [58] but significantly lower than ZrSiS [21,59,60], HfSiS [61], and LaSbTe [56], implying bad metallicity for LaSbSe. In addition, resistivity for LaSbSe shows a nearly linear temperature dependence above 80 K, which is independent of the applied magnetic field [Figure 2a]. Similar near-linear resistivity has also been reported in isostructural compound CeSbSe, which is ascribed to anomalous scattering mechanism in bosonic mode [53]. Linear resistivity has also been probed in heavy fermion compounds, Fe-based superconducting metals, cuprates, and twisted bilayer graphene [62,63,64,65,66,67], which has been attributed to the presence of zero temperature instability.
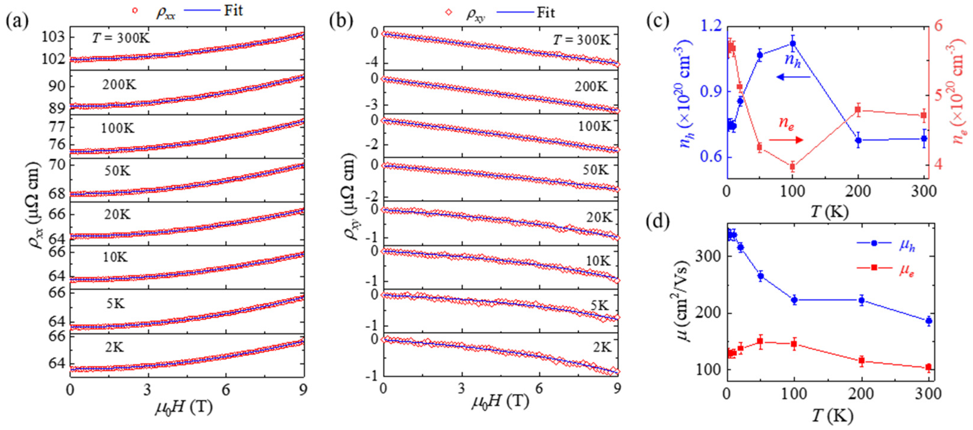
Figure 2.
(a) Temperature dependent resistivity for LaSbSe, measured with and without applying a magnetic field of 9 T. (b) Normalized magnetoresistance at various temperatures for LaSbSe. (c) magnetic field dependent Hall resistivity at various temperatures for LaSbSe.
Many TSMs exhibit large positive magnetoresistance (MR) when magnetic field is applied perpendicular to the current direction [68], including the tetragonal non-rare earth WHM [21,59,60,61,69] and the orthorhombic LaSbTe (space group Pmcn) [56] which is structurally related to the LaSbSe studied in this work. However, our LaSbSe show very small MR. Figure 2b presents the normalized MR define as [ρ(H) − ρ(0)]/ρ(0), where ρ(0) and ρ(H) are the resistivity at zero and μ0H applied field, respectively [68]. LaSbSe shows weak positive MR only up to 3.3% at T = 2 K and μ0H = 9 T, with a nearly quadratic field dependence. The classical transport theory [70] predicts that in the small field limit, orbital MR due to Lorentz effect exhibits a parabolic field dependence and scales with the square of mobility, i.e., MR ∝ (μH)2 where μ is mobility of charge carriers. The electron-hole compensation prevents MR from saturating, which is also an important factor for large MR. To extract carrier densities and mobilities, we have performed Hall effect experiments. As shown in Figure 2c, Hall resistivity ρxy shows linear field dependence at 300 K, but deviations from linearity can be observed with decreasing temperature. Such non-linearity indicates that both electron- and hole-type carriers contribute to electronic transport in LaSbSe, which has also been observed in non-magnetic ZrSiS-type compounds [21,56,71] but is different from the linear ρxy(H) seen for a few LnSbTe compounds [39,44,46]. For such a multiband system, carrier densities and mobilities can be obtained by simultaneously fitting both the longitudinal resistivity ρxx(H) and Hall resistivity ρxy(H) to a two-band model [68]:
Figure 3.
(a,b) Simultaneous fits for (a) longitudinal resistivity ρxx and (b) transverse resistivity ρxy using the two-band model. (c) Temperature dependent electron and hole carrier densities obtained from the fits. (d) Temperature dependent electron and hole carrier mobilities obtained from the fits.
As shown in Figure 3c, ne and nh are in the order of ~1020 cm−3. Such values are comparable to WHM-type topological nodal-line semimetals such as ZrSiM (M = S, Si, Te). In those materials, carrier densities are lower than conventional metals but much higher than many Dirac nodal-point semimetals, which has been attributed to the nodal-line band structures that possess band crossings along a line near the Fermi level [21,71]. Nevertheless, unlike ZrSiM which exhibit nearly perfect electron-hole carrier compensation [21,71], ne and nh in LaSbSe differs a lot, by nearly an order of magnitude at T = 2 K (5.66 × 1020 and 7.45 × 1019 cm−3 for ne and nh, respectively). Similarly, the electron and hole mobilities are also quite different in the entire temperature range from 2 to 300 K. For example, 129 cm2/V s for electrons and 339 cm2/V s for holes at T = 2 K. Such values are significantly lower than LaSbTe [56] and ZrSiS [71], which is in line with the bad metallicity and small magnetoresistance for LaSbSe as stated above. As a comparison, in NdSbTe which show even lower mobility, the metallicity is fully suppressed and the material exhibits non-metallic transport behavior [46]. A comparison of different electronic properties of LaSbSe to other ZrSiS compounds are tabulated in Table 3.
Table 3.
A comparison of electronic properties of LaSbSe with other ZrSiS-family compounds.
Magnetic LnSbTe compounds provide excellent platforms to investigate the new phenomena brought in by magnetic rare earth element Ln, such as engineering topological electronic states [28] and electron correlation enhancement [44]. For those telluride materials, non-magnetic LaSbTe provides a good reference to evaluate the effects of magnetism in those magnetic LnSbTe. For example, specific heat measurement is a useful bulk measurement tool to extract information of magnetism and electronic correlations. Magnetic LnSbTe compounds [39,41,44,46,48,50] display clear specific-heat anomalies around the magnetic phase transition temperatures. A few LnSbTe compounds such as NdSbTe [46], SmSbTe [44] and HoSbTe [48] exhibit possible enhanced electronic correlations characterized by large Sommerfeld coefficient γ. In previous specific heat studies, LaSbTe has been used as a reference material to precisely evaluate the electronic specific heat for magnetic LnSbTe because of the absence of magnetic specific heat in non-magnetic LaSbTe [44,45,46]. Similarly, for magnetic selenide materials LnSbSe such as CeSbSe which displays interesting electronic properties such as magnetic Devil’s staircase [40,53] and Kondo lattice behavior [53], the non-magnetic LaSbSe can also act as a good reference for specific heat study. In Figure 4 we present the temperature dependence of specific heat divided by temperature C(T)/T for LaSbSe. Data for LaSbTe is also provided for comparison. No anomaly is seen in both compounds from 1.8 K to 30 K, consistent with their non-magnetic nature. Therefore, the total specific heat can be expressed by Ctot = Cel + Cph, where Cel = γT is the electronic specific heat and Cph = βT3 represents the phonon contribution in the low temperature limit. This is clearly reflected by the linear dependence when plotting the low temperature C/T data against T2, as shown in the inset of Figure 4. The linear fits yield Sommerfeld coefficients γ of 2.19 and 0.51 mJ mol/K2 for LaSbSe and LaSbTe, respectively. Such γ values are much lower than magnetic LnSbTe compounds [28,39,44,46], in which large γ above 100 mJ mol/K2 has been observed and ascribed to the effective mass enhancement due to the presence of flat 4f bands near the Fermi level in the magnetically ordered state [44]. The phonon specific heat for LaSbSe and LaSbTe is very different. The fits yield β to be 2.78 and 0.39 mJ/mol K4 for LaSbSe and LaSbTe, respectively. This leads to a Debye temperature θD = (12π4NR/5β)1/3 = 127.93 K for LaSbSe with an atom number per formula N = 3 and a gas constant R = 8.31 J/mol K, which is almost half of 244.53 K for LaSbTe. The suppression of θD for LaSbSe implies weaker interatomic interactions. Indeed, single crystals of LaSbSe are relatively softer than LaSbTe. Modification of θD with chalcogen substitutions Se and Te has been in seen in other materials such as Fe(Se,Te) [72,73,74] and ZrSi(Se,Te) [75,76], but the reported trends are not consistent. Fe(Se,Te) [72,73,74] shares a similar doping dependence with LaSb(Se,Te) with enhanced θD up on replacing Se by Te, whereas ZrSi(Se,Te) [75,76] displays an opposite trend.
Figure 4.
Temperature dependent specific heat divided by temperature C/T for LaSbSe and LaSbTe. Inset: linear fit for C/T vs. T2 at low temperatures for LaSbSe and LaSbTe.
4. Conclusions
In conclusion, we have successfully synthesized single crystals of a new non-magnetic rare-earth compound LaSbSe. We characterized the structural, electronic transport, and thermodynamic properties. Our study reveals the metallic transport, small magnetoresistance and non-compensated charge carriers. Relatively small RRR and low carrier mobilities shows the bad metallicity of this compound. In addition, different Sommerfeld coefficient and Debye temperature than that of LaSbTe have been obtained through the specific heat measurement. The significantly small Sommerfeld coefficient indicates the absence of electronic correlation. Furthermore, these structural, electronic and thermodynamic properties of this compound can be tuned by studying substitution or doping study. Our results demonstrate that LaSbSe could be a non-magnetic reference material to study other magnetic compounds in the relatively under-explored LnSbSe family.
Author Contributions
Single crystal growth, electronic and thermal property measurements, K.P.; Analysis, K.P. and J.H.; Powder XRD, R.B., J.S.; Single crystal XRD, L.S. and F.W.; Manuscript, K.P. and J.H. Supervision, J.H. All authors have read and agreed to the published version of the manuscript.
Funding
This work was mainly supported by the U.S. Department of Energy Office of Science under Award No. DE-SC0022006 (crystal growth and electronic, magnetic, and thermal property measurements). F. W acknowledges the support from NSF under award MRI 2117129 for single crystal XRD and structure refinements. J. S acknowledges the support from NIH under award P20GM103429 for powder XRD.
Data Availability Statement
The data presented in this study are available on request from the corresponding author.
Conflicts of Interest
The authors declare no conflict of interest.
References
- Hasan, M.Z.; Kane, C.L. Colloquium: Topological insulators. Rev. Mod. Phys. 2010, 82, 3045. [Google Scholar] [CrossRef]
- Qi, X.L.; Zhang, S.C. Topological Insulators and Superconductors. Rev. Mod. Phys. 2011, 83, 1057. [Google Scholar] [CrossRef]
- Yan, B.; Felser, C. Topological Materials: Weyl Semimetals. Annu. Rev. Condens. Matter Phys. 2017, 8, 337. [Google Scholar] [CrossRef]
- Armitage, N.P.; Mele, E.J.; Vishwanath, A. Weyl and Dirac semimetals in three-dimensional solids. Rev. Mod. Phys. 2018, 90, 015001. [Google Scholar] [CrossRef]
- Bernevig, A.; Weng, H.; Fang, Z.; Dai, X. Recent Progress in the Study of Topological Semimetals. J. Phys. Soc. Jpn. 2018, 87, 041001. [Google Scholar] [CrossRef]
- Nagaosa, N.; Morimoto, T.; Tokura, Y. Transport, magnetic and optical properties of Weyl materials. Nat. Rev. Mater. 2020, 5, 621–636. [Google Scholar] [CrossRef]
- Fang, C.; Weng, H.; Dai, X.; Fang, Z. Topological nodal line semimetals. Chin. Phys. B 2016, 25, 117106. [Google Scholar] [CrossRef]
- Liang, T.; Gibson, Q.; Ali, M.N.; Liu, M.; Cava, R.J.; Ong, N.P. Ultrahigh mobility and giant magnetoresistance in the Dirac semimetal Cd3As2. Nat. Mater. 2015, 14, 280. [Google Scholar] [CrossRef]
- Fu, L. Topological Crystalline Insulators. Phys. Rev. Lett. 2011, 106, 106802. [Google Scholar] [CrossRef]
- Li, Q.; Kharzeev, D.E.; Zhang, C.; Huang, Y.; Pletikosić, I.; Fedorov, A.V.; Zhong, R.D.; Schneeloch, J.A.; Gu, G.D.; Valla, T. Chiral Magnetic Effect in ZrTe5. Nat. Phys. 2016, 12, 6. [Google Scholar] [CrossRef]
- Jho, Y.S.; Kim, K.S. Interplay between Interaction and Chiral Anomaly: Anisotropy in the Electrical Resistivity of Interacting Weyl Metals. Phys. Rev. B 2013, 87, 205133. [Google Scholar] [CrossRef]
- Son, D.T.; Spivak, B.Z. Chiral anomaly and classical negative magnetoresistance of Weyl metals. Phys. Rev. B 2013, 88, 104412. [Google Scholar] [CrossRef]
- Roy, R.; Kallin, C. Collective modes and electromagnetic response of a chiral superconductor. Phys. Rev. B 2008, 77, 174513. [Google Scholar] [CrossRef]
- Xu, S.-Y.; Liu, C.; Kushwaha, S.K.; Sankar, R.; Krizan, J.W.; Belopolski, I.; Neupane, M.; Bian, G.; Alidoust, N.; Chang, T.-R.; et al. Observation of Fermi arc surface states in a topological metal. Science 2015, 347, 294. [Google Scholar] [CrossRef] [PubMed]
- Xu, S.-Y.; Alidoust, N.; Belopolski, I.; Yuan, Z.; Bian, G.; Chang, T.-R.; Zheng, H.; Strocov, V.N.; Sanchez, D.S.; Chang, G.; et al. Discovery of a Weyl fermion state with Fermi arcs in niobium arsenide. Nat. Phys. 2015, 11, 748–754. [Google Scholar] [CrossRef]
- Lv, B.Q.; Weng, H.M.; Fu, B.B.; Wang, X.P.; Miao, H.; Ma, J.; Richard, P.; Huang, X.C.; Zhao, L.X.; Chen, G.F.; et al. Experimental Discovery of Weyl Semimetal TaAs. Phys. Rev. X 2015, 5, 031013. [Google Scholar] [CrossRef]
- Huang, S.-M.; Xu, S.-Y.; Belopolski, I.; Lee, C.-C.; Chang, G.; Wang, B.; Alidoust, N.; Bian, G.; Neupane, M.; Zhang, C.; et al. A Weyl Fermion semimetal with surface Fermi arcs in the transition metal monopnictide TaAs class. Nat. Commun. 2015, 6, 7373. [Google Scholar] [CrossRef]
- Wan, X.; Turner, A.M.; Vishwanath, A.; Savrasov, S.Y. Topological Semimetal and Fermi-Arc Surface States in the Electronic Structure of pyrochlore iridates. Phys. Rev. B 2011, 83, 205101. [Google Scholar] [CrossRef]
- Xu, Q.; Song, Z.; Nie, S.; Weng, H.; Fang, Z.; Dai, X. Two-Dimensional Oxide Topological Insulator with Iron-Pnictide Superconductor LiFeAs Structure. Phys. Rev. B 2015, 92, 205310. [Google Scholar] [CrossRef]
- Schoop, L.M.; Ali, M.N.; Straßer, C.; Topp, A.; Varykhalov, A.; Marchenko, D.; Duppel, V.; Parkin, S.S.; Lotsch, B.V.; Ast, C.R. Dirac Cone Protected by Non-Symmorphic Symmetry and Three-Dimensional Dirac Line Node in ZrSiS. Nat. Commun. 2016, 7, 11696. [Google Scholar] [CrossRef]
- Hu, J.; Tang, Z.; Liu, J.; Liu, X.; Zhu, Y.; Graf, D.; Myhro, K.; Tran, S.; Lau, C.N.; Wei, J.; et al. Evidence of Topological Nodal-Line Fermions in ZrSiSe and ZrSiTe. Phys. Rev. Lett. 2016, 117, 016602. [Google Scholar] [CrossRef] [PubMed]
- Lou, R.; Ma, J.-Z.; Xu, Q.-N.; Fu, B.-B.; Kong, L.-Y.; Shi, Y.-G.; Richard, P.; Weng, H.-M.; Fang, Z.; Sun, S.-S.; et al. Emergence of topological bands on the surface of ZrSnTe crystal. Phys. Rev. B 2016, 93, 241104. [Google Scholar] [CrossRef]
- Neupane, M.; Belopolski, I.; Hosen, M.M.; Sanchez, D.S.; Sankar, R.; Szlawska, M.; Xu, S.-Y.; Dimitri, K.; Dhakal, N.; Maldonado, P.; et al. Observation of topological nodal fermion semimetal phase in ZrSiS. Phys. Rev. B 2016, 93, 201104. [Google Scholar] [CrossRef]
- Takane, D.; Wang, Z.; Souma, S.; Nakayama, K.; Trang, C.X.; Sato, T.; Takahashi, T.; Ando, Y. Dirac-Node Arc in the Topological Line-Node Semimetal HfSiS. Phys. Rev. B 2016, 94, 121108. [Google Scholar] [CrossRef]
- Hosen, M.M.; Dimitri, K.; Belopolski, I.; Maldonado, P.; Sankar, R.; Dhakal, N.; Dhakal, G.; Cole, T.; Oppeneer, P.M.; Kaczorowski, D.; et al. Tunability of the Topological Nodal-Line Semimetal Phase in ZrSiX-type materials (X = S, Se, Te). Phys. Rev. B 2017, 95, 161101. [Google Scholar] [CrossRef]
- Chen, C.; Xu, X.; Jiang, J.; Wu, S.C.; Qi, Y.P.; Yang, L.X.; Wang, M.X.; Sun, Y.; Schröter, N.B.M.; Yang, H.F.; et al. Dirac Line Nodes and Effect of Spin-Orbit Coupling in the Nonsymmorphic Critical Semimetals. Phys. Rev. B 2017, 95, 125126. [Google Scholar] [CrossRef]
- Hosen, M.; Dhakal, G.; Dimitri, K.; Maldonado, P.; Aperis, A.; Kabir, F.; Sims, C.; Riseborough, P.; Oppeneer, P.M.; Kaczorowski, D.; et al. Discovery of topological nodal-line fermionic phase in a magnetic material GdSbTe. Sci. Rep. 2018, 8, 13283. [Google Scholar] [CrossRef]
- LSchoop, L.M.; Topp, A.; Lippmann, J.; Orlandi, F.; Müchler, L.; Vergniory, M.G.; Sun, Y.; Rost, A.W.; Duppel, V.; Krivenkov, M.; et al. Tunable Weyl and Dirac states in the nonsymmorphic compound CeSbTe. Sci. Adv. 2018, 4, eaar2317. [Google Scholar] [CrossRef]
- Fu, B.-B.; Yi, C.-J.; Zhang, T.-T.; Caputo, M.; Ma, J.-Z.; Gao, X.; Lv, B.Q.; Kong, L.-Y.; Huang, Y.-B.; Richard, P.; et al. Dirac nodal surfaces and nodal lines in ZrSiS. Sci. Adv. 2019, 5, eaau6459. [Google Scholar] [CrossRef]
- Topp, A.; Lippmann, J.M.; Varykhalov, A.; Duppel, V.; Lotsch, B.V.; Ast, C.R.; Schoop, L.M. Non-Symmorphic Band Degeneracy at the Fermi Level in ZrSiTe. New J. Phys. 2016, 18, 125014. [Google Scholar] [CrossRef]
- Pezzini, S.; van Delft, M.R.; Schoop, L.M.; Lotsch, B.V.; Carrington, A.; Katsnelson, M.I.; Hussey, N.E.; Wiedmann, S. Unconventional mass enhancement around the Dirac nodal loop in ZrSiS. Nat. Phys. 2017, 14, 178. [Google Scholar] [CrossRef]
- Shao, Y.; Rudenko, A.N.; Hu, J.; Sun, Z.; Zhu, Y.; Moon, S.; Millis, A.J.; Yuan, S.; Lichtenstein, A.I.; Smirnov, D.; et al. Electronic correlations in nodal-line semimetals. Nat. Phys. 2020, 16, 636. [Google Scholar] [CrossRef]
- Hosen, M.M.; Dimitri, K.; Aperis, A.; Maldonado, P.; Belopolski, I.; Dhakal, G.; Kabir, F.; Sims, C.; Hasan, M.Z.; Kaczorowski, D.; et al. Observation of gapless Dirac surface states in ZrGeTe. Phys. Rev. B 2018, 97, 121103. [Google Scholar] [CrossRef]
- Topp, A.; Queiroz, R.; Grüneis, A.; Müchler, L.; Rost, A.W.; Varykhalov, A.; Marchenko, D.; Krivenkov, M.; Rodolakis, F.; McChesney, J.L.; et al. Surface Floating 2D Bands in Layered Nonsymmorphic Semimetals: ZrSiS and Related Compounds. Phys. Rev. X 2017, 7, 041073. [Google Scholar] [CrossRef]
- Liu, X.; Yue, C.; Erohin, S.V.; Zhu, Y.; Joshy, A.; Liu, J.; Sanchez, A.M.; Graf, D.; Sorokin, P.B.; Mao, Z.; et al. Quantum Transport of the 2D Surface State in a Nonsymmorphic Semimetal. Nano Lett. 2021, 21, 4887. [Google Scholar] [CrossRef]
- Gatti, G.; Crepaldi, A.; Puppin, M.; Tancogne-Dejean, N.; Xian, L.; De Giovannini, U.; Roth, S.; Polishchuk, S.; Bugnon, P.; Magrez, A.; et al. Light-Induced Renormalization of the Dirac Quasiparticles in the Nodal-Line Semimetal ZrSiSe. Phys. Rev. Lett. 2020, 125, 076401. [Google Scholar] [CrossRef]
- VanGennep, D.; Paul, T.A.; Yerger, C.W.; Weir, S.T.; Vohra, Y.K.; Hamlin, J.J. Possible pressure-induced topological quantum phase transition in the nodal line semimetal ZrSiS. Phys. Rev. B 2019, 99, 085204. [Google Scholar] [CrossRef]
- Gu, C.C.; Hu, J.; Chen, X.L.; Guo, Z.P.; Fu, B.T.; Zhou, Y.H.; An, C.; Zhang, R.R.; Xi, C.Y.; Gu, Q.Y.; et al. Experimental evidence of crystal symmetry protection for the topological nodal line semimetal state in ZrSiS. Phys. Rev. B 2019, 100, 205124. [Google Scholar] [CrossRef]
- Lv, B.; Chen, J.; Qiao, L.; Ma, J.; Yang, X.; Li, M.; Wang, M.; Tao, Q.; Xu, Z.-A. Magnetic and transport properties of low-carrier-density Kondo semimetal CeSbTe. J. Phys. Condens. Matter 2019, 31, 355601. [Google Scholar] [CrossRef]
- Singha, R.; Salters, T.H.; Teicher, S.M.; Lei, S.; Khoury, J.F.; Ong, N.P.; Schoop, L.M. Evolving Devil’s Staircase Magnetization from Tunable Charge Density Waves in Nonsymmorphic Dirac Semimetals. Adv. Mater. 2021, 33, 2103476. [Google Scholar] [CrossRef]
- Sankar, R.; Muthuselvam, I.P.; Babu, K.R.; Murugan, G.S.; Rajagopal, K.; Kumar, R.; Wu, T.-C.; Wen, C.-Y.; Lee, W.-L.; Guo, G.-Y.; et al. Crystal Growth and Magnetic Properties of Topological Nodal-Line Semimetal GdSbTe with Antiferromagnetic Spin Ordering. Inorg. Chem. 2019, 58, 11730. [Google Scholar] [CrossRef] [PubMed]
- Lei, S.; Saltzman, A.; Schoop, L.M. Complex Magnetic Phases Enriched by Charge Density Waves in the Topological Semimetals GdSbxTe2-x-d. Phys. Rev. B 2021, 103, 134418. [Google Scholar] [CrossRef]
- Lei, S.; Duppel, V.; Lippmann, J.M.; Nuss, J.; Lotsch, B.V.; Schoop, L.M. Charge Density Waves and Magnetism in Topological Semimetal Candidates GdSbxTe2−x−δ. Adv. Quantum Technol. 2019, 2, 1900045. [Google Scholar] [CrossRef]
- Pandey, K.; Mondal, D.; Villanova, J.W.; Roll, J.; Basnet, R.; Wegner, A.; Acharya, G.; Nabi, M.R.U.; Ghosh, B.; Fujii, J.; et al. Magnetic Topological Semimetal Phase with Electronic Correlation Enhancement in SmSbTe. Adv. Quantum Technol. 2021, 4, 2100063. [Google Scholar] [CrossRef]
- Pandey, K.; Basnet, R.; Wang, J.; Da, B.; Hu, J. Evolution of Electronic and Magnetic Properties in the Topological Semimetal SmSbxTe2-x. Phys. Rev. B 2022, 105, 155139. [Google Scholar] [CrossRef]
- Pandey, K.; Basnet, R.; Wegner, A.; Acharya, G.; Nabi, R.U.; Liu, J.; Wang, J.; Takahashi, Y.K.; Da, B.; Hu, J. Electronic and magnetic properties of the topological semimetal candidate NdSbTe. Phys. Rev. B 2020, 101, 235161. [Google Scholar] [CrossRef]
- Sankar, R.; Muthuselvam, I.P.; Rajagopal, K.; Babu, K.R.; Murugan, G.S.; Bayikadi, K.S.; Moovendaran, K.; Wu, C.T.; Guo, G.-Y. The anisotropic magnetic properties of nonsymmorphic semi-metallic single crystal NdSbTe. Cryst. Growth Des. 2020, 20, 6585. [Google Scholar] [CrossRef]
- Yang, M.; Qian, Y.; Yan, D.; Li, Y.; Song, Y.; Wang, Z.; Yi, C.; Feng, H.L.; Weng, H.; Shi, Y. Magnetic and electronic properties of a topological nodal line semimetal candidate: HoSbTe. Phys. Rev. Mater. 2020, 4, 094203. [Google Scholar] [CrossRef]
- Yue, S.; Qian, Y.; Yang, M.; Geng, D.; Yi, C.; Kumar, S.; Shimada, K.; Cheng, P.; Chen, L.; Wang, Z.; et al. Topological electronic structure in the antiferromagnet HoSbTe. Phys. Rev. B 2020, 102, 155109. [Google Scholar] [CrossRef]
- Gao, F.; Huang, J.; Ren, W.; Li, M.; Wang, H.; Yang, T.; Li, B.; Zhang, Z. Magnetic and transport properties of the topological compound DySbTe. Phys. Rev. B 2022, 105, 214434. [Google Scholar] [CrossRef]
- Regmi, S.; Smith, R.; Sakhya, A.P.; Sprague, M.; Mondal, M.I.; Elius, I.B.; Valadez, N.; Ptok, A.; Kaczorowski, D.; Neupane, M. Observation of Gapless Nodal-Line States in NdSbTe. arXiv 2022, arXiv:2210.00163. [Google Scholar]
- Li, P.; Lv, B.; Fang, Y.; Guo, W.; Wu, Z.; Wu, Y.; Shen, D.; Nie, Y.; Petaccia, L.; Cao, C.; et al. Charge density wave and weak Kondo effect in a Dirac semimetal CeSbTe. Sci. China Ser. G Phys. Mech. Astron. 2021, 64, 237412. [Google Scholar] [CrossRef]
- Chen, K.-W.; Lai, Y.; Chiu, Y.-C.; Steven, S.; Besara, T.; Graf, D.; Siegrist, T.; Albrecht-Schmitt, T.E.; Balicas, L.; Baumbach, R.E. Possible devil’s staircase in the Kondo lattice CeSbSe. Phys. Rev. B 2017, 96, 014421. [Google Scholar] [CrossRef]
- Petříček, V.; Dušek, M.; Palatinus, L. Crystallographic Computing System JANA2006: General features. Z. Für Krist.-Cryst. Mater. 2014, 229, 345–352. [Google Scholar] [CrossRef]
- Ibragimova, S.G.; Aliev, F.G.; Aliev, O.M.; Mamedov, V.N.; Ibragimov, Z.A. Synthesis and properties of rare earth chalcopnictides. Zhurnal Neorg. Khimii 1994, 39, 206–207. [Google Scholar]
- Singha, R.; Pariari, A.; Satpati, B.; Mandal, P. Magnetotransport properties and evidence of a topological insulating state in LaSbTe. Phys. Rev. B 2017, 96, 245138. [Google Scholar] [CrossRef]
- Lei, S.; Teicher, S.M.L.; Topp, A.; Cai, K.; Lin, J.; Cheng, G.; Salters, T.H.; Rodolakis, F.; McChesney, J.L.; Lapidus, S.; et al. Band Engineering of Dirac Semimetals Using Charge Density Waves. Adv. Mater. 2021, 33, 2101591. [Google Scholar] [CrossRef]
- Hu, J.; Zhu, Y.; Gui, X.; Graf, D.; Tang, Z.; Xie, W.; Mao, Z. Quantum oscillation evidence for a topological semimetal phase in ZrSnTe. Phys. Rev. B 2018, 97, 155101. [Google Scholar] [CrossRef]
- Singha, R.; Pariari, A.K.; Satpati, B.; Mandal, P. Large nonsaturating magnetoresistance and signature of nondegenerate Dirac nodes in ZrSiS. Proc. Natl. Acad. Sci. USA 2017, 114, 2468. [Google Scholar] [CrossRef]
- Ali, M.N.; Schoop, L.M.; Garg, C.; Lippmann, J.M.; Lara, E.; Lotsch, B.; Parkin, S.S.P. Butterfly magnetoresistance, quasi-2D Dirac Fermi surface and topological phase transition in ZrSiS. Sci. Adv. 2016, 2, e1601742. [Google Scholar] [CrossRef]
- Yang, Y.; Zhu, P.; Yang, L.; Liu, J.; Li, Y.; Wang, Z. Crystal Growth and Characterization of ZrSiS-Type Topological Dirac Semimetals. Crystals 2022, 12, 728. [Google Scholar] [CrossRef]
- Qian, B.; Tang, F.; Ruan, Y.R.; Fang, Y.; Han, Z.D.; Jiang, X.F.; Zhang, J.-M.; Chen, S.Y.; Wang, D.H. Extremely large magnetoresistance in the nonmagnetic semimetal YBi. J. Mater. Chem. C 2018, 6, 10020. [Google Scholar] [CrossRef]
- Cha, P.; Wentzell, N.; Parcollet, O.; Georges, A.; Kim, E.A. Linear Resistivity and Sachdev-Ye-Kitaev (SYK) Spin Liquid Behavior in a Quantum Critical Metal with Spin-1/2 Fermions. Proc. Natl. Acad. Sci. USA 2020, 117, 18341. [Google Scholar] [CrossRef] [PubMed]
- Bruin, J.A.N.; Sakai, H.; Perry, R.S.; Mackenzie, A.P. Similarity of Scattering Rates in Metals Showing T-Linear Resistivity. Science 2013, 339, 804. [Google Scholar] [CrossRef]
- Paglione, J.; Sayles, T.A.; Ho, P.-C.; Jeffries, J.R.; Maple, M.B. Incoherent non-Fermi-liquid scattering in a Kondo lattice. Nat. Phys. 2007, 3, 703–706. [Google Scholar] [CrossRef]
- Varma, C.M. Colloquium: Linear in Temperature Resistivity and Associated Mysteries Including High Temperature Superconductivity. Rev. Mod. Phys. 2020, 92, 031001. [Google Scholar] [CrossRef]
- Taillefer, L. Scattering and Pairing in Cuprate Superconductors. Annu. Rev. Condens. Matter Phys. 2010, 1, 51–70. [Google Scholar] [CrossRef]
- Hu, J.; Xu, S.-Y.; Ni, N.; Mao, Z. Transport of Topological Semimetals. Annu. Rev. Mater. Res. 2019, 49, 207. [Google Scholar] [CrossRef]
- Kumar, N.; Manna, K.; Qi, Y.; Wu, S.C.; Wang, L.; Yan, B.; Felser, C.; Shekhar, C. Unusual Magnetotransport from Si-Square Nets in Topological Semimetal HfSiS. Phys. Rev. B 2017, 95, 121109. [Google Scholar] [CrossRef]
- Pippard, A.B. Magnetoresistance in Metals; Cambridge University Press: Cambridge, UK, 1989. [Google Scholar]
- Hu, J.; Tang, Z.; Liu, J.; Zhu, Y.; Wei, J.; Mao, Z. Nearly Massless Dirac Fermions and Strong Zeeman Splitting in the Nodal-Line Semimetal ZrSiS Probed by de Haas—Van Alphen Quantum Oscillations. Phys. Rev. B 2017, 96, 045127. [Google Scholar] [CrossRef]
- Lin, J.Y.; Hsieh, Y.S.; Chareev, D.A.; Vasiliev, A.N.; Parsons, Y.; Yang, H.D. Coexistence of Isotropic and Extended S-Wave Order Parameters in FeSe as Revealed by Low-Temperature Specific Heat. Phys. Rev. B 2011, 84, 220507. [Google Scholar] [CrossRef]
- Maheshwari, P.K.; Reddy, V.R.; Awana, V.P.S. Heat Capacity and Mössbauer Study of Self-Flux Grown FeTe Single Crystal. J. Supercond. Nov. Magn. 2018, 31, 1659. [Google Scholar] [CrossRef]
- Chen, G.Y.; Zhu, X.; Yang, H.; Wen, H.H. Highly Anisotropic Superconducting Gaps and Possible Evidence of Antiferromagnetic Order in FeSe Single Crystals. Phys. Rev. B 2017, 96, 064524. [Google Scholar] [CrossRef]
- Song, J.; Song, M.; Li, Z.; Wang, J.; Wang, Y.; Zhang, L.; Han, Y.; Cao, L.; Xiong, Y.; Liu, D. Signatures of Fermi Surface Topology Change in the Nodal-Line Semimetal ZrSiSe1-xTex. Phys. Rev. B 2021, 103, 165141. [Google Scholar] [CrossRef]
- Sankar, R.; Peramaiyan, G.; Muthuselvam, I.P.; Butler, C.; Dimitri, K.; Neupane, M.; Rao, G.N.; Lin, M.-T.; Chou, F.C. Crystal growth of Dirac semimetal ZrSiS with high magnetoresistance and mobility. Sci. Rep. 2017, 7, 40603. [Google Scholar] [CrossRef] [PubMed]
Publisher’s Note: MDPI stays neutral with regard to jurisdictional claims in published maps and institutional affiliations. |
© 2022 by the authors. Licensee MDPI, Basel, Switzerland. This article is an open access article distributed under the terms and conditions of the Creative Commons Attribution (CC BY) license (https://creativecommons.org/licenses/by/4.0/).



