Electronic Properties and Chemical Bonding in V2FeSi and Fe2VSi Heusler Alloys
Abstract
1. Introduction
2. Materials and Methods
3. Results
3.1. Structure Stability
3.2. Electronic Structure: Density of States
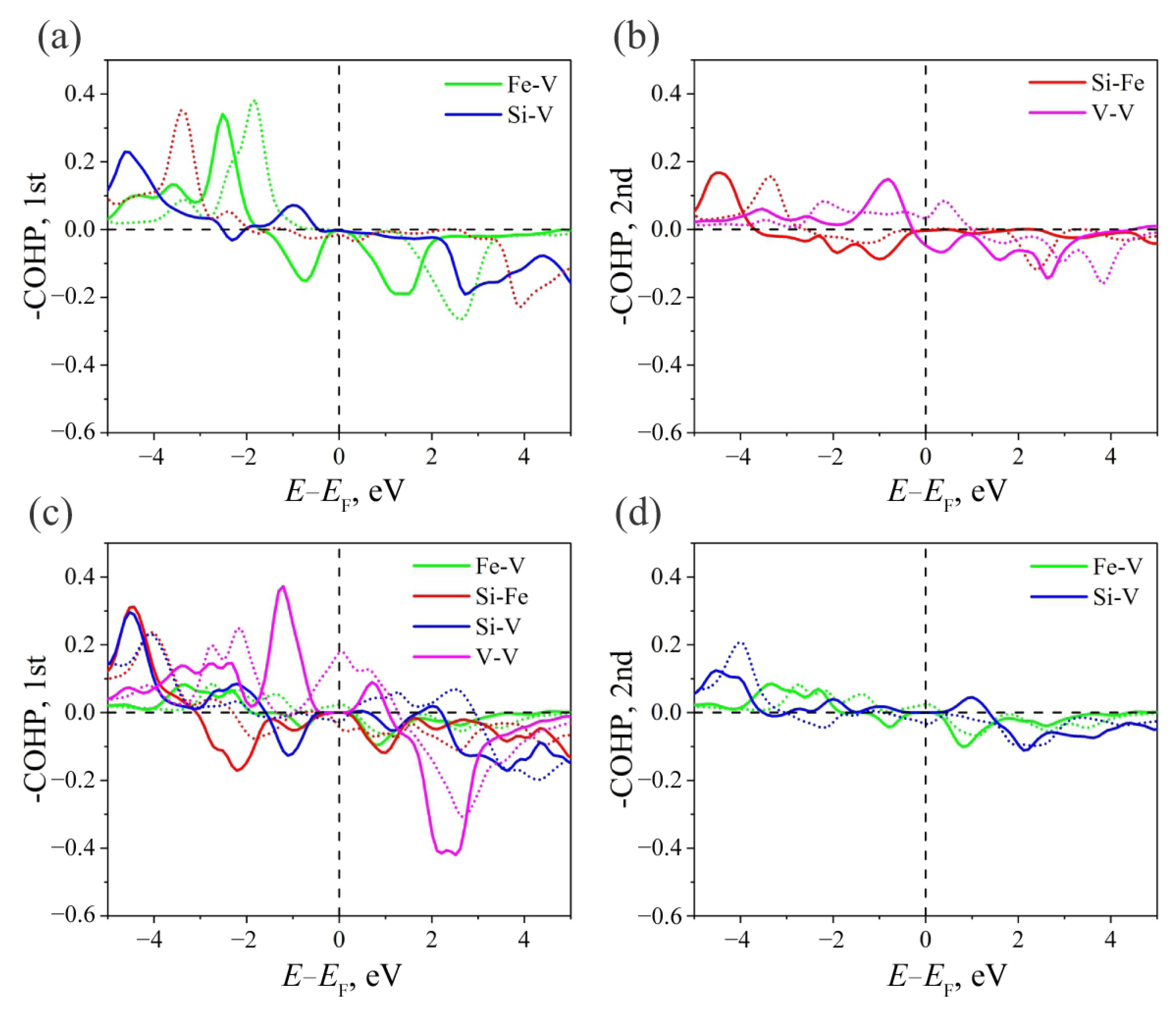
3.3. Electronic Structure: Chemical Bonding
3.4. Magnetic Properties
4. Conclusions
Author Contributions
Funding
Data Availability Statement
Acknowledgments
Conflicts of Interest
References
- Bakkar, S.A. New Inverse-Heusler Materials with Potential Spintronics Applications; Southern Illinois University at Carbondale: Carbondale, IL, USA, 2017. [Google Scholar]
- Granovskii, A.; Soboleva, E.; Fadeev, E.; Dubenko, I.; Aryal, A.; Samassekou, H.; Pandey, S.; Stadler, S.; Mazumdar, D.; Ali, N.; et al. Martensitic Phase Transition in Magnetic Thin Films Based on Inverse Mn2FeSi Heusler Alloys. J. Exp. Theor. Phys. 2020, 130, 117–122. [Google Scholar] [CrossRef]
- Miki, H.; Ohoyama, K.; Funahashi, S.; Tomiyoshi, S.; Yamaguchi, Y. Crystallographic and magnetic structure of the itinerant-electron antiferromagnets Mn3−xTxSi (T = Cr, Fe). Phys. B Condens. Matter 1995, 213, 360–362. [Google Scholar] [CrossRef]
- Nishino, Y.; Inoue, S.Y.; Asano, S.; Kawamiya, N. Anomalous temperature dependence of the electrical resistivity in binary and pseudobinary alloys based on Fe3Si. Phys. Rev. B 1993, 48, 13607. [Google Scholar] [CrossRef] [PubMed]
- Endo, K.; Tokiyama, M.; Matsuda, H.; Ooiwa, K.; Goto, T.; Arai, J. Anomalous Transport and Magnetic Properties in Fe2+xV1−xSi in Relation to the Origin of GMR. J. Phys. Soc. Jpn. 2004, 73, 1944–1952. [Google Scholar] [CrossRef]
- Ito, M.; Kai, K.; Furuta, T.; Manaka, H.; Terada, N.; Hiroi, M.; Kondo, A.; Kindo, K. Thermodynamic properties of Heusler Fe2VSi. AIP Adv. 2018, 8, 055703. [Google Scholar] [CrossRef]
- Nagano, T.; Uwanuyu, S.; Kawakami, M. Magnetic properties of the Fe2MnSi- and Fe2VSi-based Heusler alloys. J. Magn. Magn. Mater. 1995, 140, 123–124. [Google Scholar] [CrossRef]
- Cui, Y.; Kimura, A.; Miyamoto, K.; Sakamoto, K.; Xie, T.; Qiao, S.; Nakatake, M.; Shimada, K.; Taniguchi, M.; Fujimori, S.I.; et al. Electronic structures of Fe3−xVxSi probed by photoemission spectroscopy. Phys. Status Solidi (A) 2006, 203, 2765–2768. [Google Scholar] [CrossRef]
- Nishino, Y.; Kato, M.; Asano, S.; Soda, K.; Hayasaki, M.; Mizutani, U. Semiconductorlike behavior of electrical resistivity in Heusler-type Fe2VAl compound. Phys. Rev. Lett. 1997, 79, 1909. [Google Scholar] [CrossRef]
- Ullakko, K.; Huang, J.K.; Kantner, C.; O’Handley, R.C.; Kokorin, V.V. Large magnetic-field-induced strains in Ni2MnGa single crystals. Appl. Phys. Lett. 1996, 69, 1966–1968. [Google Scholar] [CrossRef]
- Ullakko, K.; Huang, J.; Kokorin, V.; O’Handley, R. Magnetically controlled shape memory effect in Ni2MnGa intermetallics. Scr. Mater. 1997, 36, 1133–1138. [Google Scholar] [CrossRef]
- Rasul, M.N.; Javed, A.; Khan, M.A.; Hussain, A. Structural stability, mechanical, electronic and magnetic behaviour of quaternary ScNiCrX (X = Al, Ga) Heusler alloys under pressure. Mater. Chem. Phys. 2019, 222, 321–332. [Google Scholar] [CrossRef]
- Abada, A.; Amara, K.; Hiadsi, S.; Amrani, B. First principles study of a new half-metallic ferrimagnets Mn2-based full Heusler compounds: Mn2ZrSi and Mn2ZrGe. J. Magn. Magn. Mater. 2015, 388, 59–67. [Google Scholar] [CrossRef]
- Ze-Jin, Y.; Qing-He, G.; Heng-Na, X.; Ju-Xiang, S.; Xian-Wei, W.; Zhi-Jun, X. Pressure-induced magnetic moment abnormal increase in Mn2FeAl and non-continuing decrease in Fe2MnAl via first principles. Sci. Rep. 2017, 7, 16522. [Google Scholar] [CrossRef]
- Qi, S.; Zhang, C.H.; Chen, B.; Shen, J.; Chen, N. First-principles study on the ferrimagnetic half-metallic Mn2FeAs alloy. J. Solid State Chem. 2015, 225, 8–12. [Google Scholar] [CrossRef]
- Khandy, S.A.; Chai, J.D. Novel half-metallic L21 structured full-Heusler compound for promising spintronic applications: A DFT-based computer simulation. J. Magn. Magn. Mater. 2019, 487, 165289. [Google Scholar] [CrossRef]
- Abuova, F.; Inerbaev, T.; Abuova, A.; Merali, N.; Soltanbek, N.; Kaptagay, G.; Seredina, M.; Khovaylo, V. Structural, Electronic and Magnetic Properties of Mn2Co1−xVxZ (Z = Ga, Al) Heusler Alloys: An Insight from DFT Study. Magnetochemistry 2021, 7, 159. [Google Scholar] [CrossRef]
- Skaftouros, S.; Özdoğan, K.; Şaşıoğlu, E.; Galanakis, I. Generalized Slater-Pauling rule for the inverse Heusler compounds. Phys. Rev. B 2013, 87, 024420. [Google Scholar] [CrossRef]
- Lue, C.S.; Ross, J.H., Jr.; Chang, C.; Yang, H. Field-dependent specific heat in Fe2VAl and the question of possible 3d Heavy Fermion behavior. Phys. Rev. B 1999, 60, R13941. [Google Scholar] [CrossRef]
- Endo, K.; Matsuda, H.; Ooiwa, K.; Itoh, K. Antiferromagnetism in a Heusler alloy Fe2VSi. J. Phys. Soc. Jpn. 1995, 64, 2329–2332. [Google Scholar] [CrossRef]
- Joshi, P.K.; Kumar, K.; Arora, G.; Mali, D.; Jangid, P.K.; Ahuja, B.L. First-principles investigations of electronic and magnetic properties of Fe2V1−xCrxSi Heusler alloys. J. Phys. Conf. Ser. 2021, 1849, 012030. [Google Scholar] [CrossRef]
- Fujii, S.; Ishida, S.; Asano, S. Antiferromagnetism and atomic disorder in Fe2VSi. J. Phys. Soc. Jpn. 2004, 73, 459–463. [Google Scholar] [CrossRef]
- Hirohata, A.; Yamada, K.; Nakatani, Y.; Prejbeanu, I.L.; Dieny, B.; Pirro, P.; Hillebrands, B. Review on spintronics: Principles and device applications. J. Magn. Magn. Mater. 2020, 509, 166711. [Google Scholar] [CrossRef]
- Elphick, K.; Frost, W.; Samiepour, M.; Kubota, T.; Takanashi, K.; Sukegawa, H.; Mitani, S.; Hirohata, A. Heusler alloys for spintronic devices: Review on recent development and future perspectives. Sci. Technol. Adv. Mater. 2021, 22, 235–271. [Google Scholar] [CrossRef]
- Kim, S.K.; Beach, G.S.D.; Lee, K.J.; Ono, T.; Rasing, T.; Yang, H. Ferrimagnetic spintronics. Nat. Mater. 2022, 21, 24–34. [Google Scholar] [CrossRef] [PubMed]
- Niculescu, V.; Burch, T.; Budnick, J. A local environment description of hyperfine fields and atomic moments in Fe3−xTxSi alloys. J. Magn. Magn. Mater. 1983, 39, 223–267. [Google Scholar] [CrossRef]
- Kresse, G.; Furthmüller, J. Efficiency of ab-initio total energy calculations for metals and semiconductors using a plane-wave basis set. Comput. Mater. Sci. 1996, 6, 15–50. [Google Scholar] [CrossRef]
- Kresse, G.; Furthmüller, J. Efficient iterative schemes for ab initio total-energy calculations using a plane-wave basis set. Phys. Rev. B 1996, 54, 11169. [Google Scholar] [CrossRef]
- Kresse, G.; Joubert, D. From ultrasoft pseudopotentials to the projector augmented-wave method. Phys. Rev. B 1999, 59, 1758. [Google Scholar] [CrossRef]
- Blöchl, P.E. Projector augmented-wave method. Phys. Rev. B 1994, 50, 17953. [Google Scholar] [CrossRef]
- Sun, J.; Remsing, R.C.; Zhang, Y.; Sun, Z.; Ruzsinszky, A.; Peng, H.; Yang, Z.; Paul, A.; Waghmare, U.; Wu, X.; et al. Accurate first-principles structures and energies of diversely bonded systems from an efficient density functional. Nat. Chem. 2016, 8, 831–836. [Google Scholar] [CrossRef]
- Monkhorst, H.J.; Pack, J.D. Special points for Brillouin-zone integrations. Phys. Rev. B 1976, 13, 5188. [Google Scholar] [CrossRef]
- Zhang, Y.; Kitchaev, D.A.; Yang, J.; Chen, T.; Dacek, S.T.; Sarmiento-Perez, R.A.; Marques, M.A.L.; Peng, H.; Ceder, G.; Perdew, J.P.; et al. Efficient first-principles prediction of solid stability: Towards chemical accuracy. Npj Comput. Mater. 2018, 4, 9. [Google Scholar] [CrossRef]
- Deringer, V.L.; Tchougréeff, A.L.; Dronskowski, R. Crystal orbital Hamilton population (COHP) analysis as projected from plane-wave basis sets. J. Phys. Chem. A 2011, 115, 5461–5466. [Google Scholar] [CrossRef] [PubMed]
- Dronskowski, R.; Bloechl, P.E. Crystal orbital Hamilton populations (COHP): Energy-resolved visualization of chemical bonding in solids based on density-functional calculations. J. Phys. Chem. 1993, 97, 8617–8624. [Google Scholar] [CrossRef]
- Maintz, S.; Deringer, V.L.; Tchougréeff, A.L.; Dronskowski, R. LOBSTER: A tool to extract chemical bonding from plane-wave based DFT. J. Comput. Chem. 2016, 37, 1030–1035. [Google Scholar] [CrossRef]
- Momma, K.; Izumi, F. VESTA: A Three-Dimens. Vis. Syst. Electron. Struct. Anal. J. Appl. Crystallogr. 2008, 41, 653–658. [Google Scholar] [CrossRef]
- Wang, V.; Xu, N.; Liu, J.C.; Tang, G.; Geng, W.T. VASPKIT: A user-friendly interface facilitating high-throughput computing and analysis using VASP code. Comput. Phys. Commun. 2021, 267, 108033. [Google Scholar] [CrossRef]
- Nishihara, H.; Ono, K.; Neumann, K.U.; Ziebeck, K.; Kanomata, T. Complex magnetism in Fe2VSi. Phys. B Condens. Matter 2003, 329, 1107–1108. [Google Scholar] [CrossRef]
- Bertotti, G.; Ferchmin, A.; Fiorillo, E.; Fukamichi, K.; Kobe, K.; Roth, S. Magnetic alloys for technical applications. Soft magnetic alloys, Invar and Elinvar alloys. Landolt Bornstein New Ser. 1994, 3, 33–142. [Google Scholar]
- Zamkova, N.; Zhandun, V.; Ovchinnikov, S.; Sandalov, I. Effect of local environment on moment formation in iron silicides. J. Alloys Compd. 2017, 695, 1213–1222. [Google Scholar] [CrossRef]
- Draganyuk, O.N.; Zhandun, V.S.; Zamkova, N.G. Effect of the local environment on the magnetic properties of Mn3Si: Hybrid ab initio and model study. Phys. Status Solidi (B) 2019, 256, 1900228. [Google Scholar] [CrossRef]
- Draganyuk, O.N.; Zhandun, V.S.; Zamkova, N.G. Half-metallicity in Fe2MnSi and Mn2FeSi heusler compounds: A comparative ab initio study. Mater. Chem. Phys. 2021, 271, 124897. [Google Scholar] [CrossRef]
- Aryal, A.; Bakkar, S.; Samassekou, H.; Pandey, S.; Dubenko, I.; Stadler, S.; Ali, N.; Mazumdar, D. Mn2FeSi: An antiferromagnetic inverse-Heusler alloy. J. Alloys Compd. 2020, 823, 153770. [Google Scholar] [CrossRef]
- Faleev, S.V.; Ferrante, Y.; Jeong, J.; Samant, M.G.; Jones, B.; Parkin, S.S. Origin of the tetragonal ground state of Heusler compounds. Phys. Rev. Appl. 2017, 7, 034022. [Google Scholar] [CrossRef]







| Compounds | (eV/f.u.) | Stable Structure | |
|---|---|---|---|
| V2FeSi | −1.118 | −1.420 | |
| Fe2VSi | −1.632 | −1.256 | |
| Comp. | Str. | Method | Lattice Param. | A-Site Atom | B-Site Atom | C-Site Atom | D-Site Atom | Total | |||||
|---|---|---|---|---|---|---|---|---|---|---|---|---|---|
| V2FeSi | SCAN | 5.748 | [this work] | V1 | 1.730 | V2 | −0.707 | Fe | 1.070 | Si | −0.056 | 2.00 | |
| SCAN | 5.805 | [this work] | V | 1.541 | Fe | 1.170 | V | 1.541 | Si | 0.025 | 4.02 | ||
| GGA | 5.80 | Ref. [18] | V | −1.55 | Fe | −0.930 | V | −1.55 | Si | 0.05 | −1.99 | ||
| Fe2VSi | SCAN | 5.727 | [this work] | Fe1 | 1.765 | Fe2 | 2.646 | V | −1.869 | Si | 0.007 | 2.48 | |
| SCAN | 5.556 | [this work] | Fe | 0.629 | V | −0.255 | Fe | 0.622 | Si | −0.024 | 0.92 | ||
| GGA | 5.670 | Ref. [21] | Fe | 0.59 | V | −0.10 | Fe | 0.59 | Si | −0.01 | 0.99 | ||
| exp. | 5.675 | Ref. [20] | Fe | 0.22 | Fe | 0.22 | |||||||
| exp. | – | Ref. [39] | Fe | 0.9 | Fe | 0.9 | |||||||
| exp. | 5.670 | Ref. [6] | |||||||||||
| Fe2VSi | V2FeSi | ||||||||||
|---|---|---|---|---|---|---|---|---|---|---|---|
| Shell | Bond | (Å) | −ICOHP (eV/bond) | Shell | Bond | (Å) | −ICOHP (eV/bond) | ||||
| Total | Total | ||||||||||
| 1 | Fe–V | 2.406 | 0.593 | 0.546 | 1.139 | 1 | Fe–V | 2.514 | 0.499 | 0.413 | 0.912 |
| Fe–Si | 2.406 | 0.714 | 0.7 | 1.414 | V–Si | 2.514 | 0.845 | 0.825 | 1.67 | ||
| Average | 2.406 | 0.653 | 0.623 | 1.276 | Average | 2.514 | 0.672 | 0.619 | 1.291 | ||
| 2 | V–Si | 2.778 | 0.46 | 0.473 | 0.933 | 2 | Fe–Si | 2.903 | 0.294 | 0.212 | 0.506 |
| Fe–Fe | 2.778 | 0.19 | 0.108 | 0.298 | V–V | 2.903 | 0.255 | 0.306 | 0.561 | ||
| Average | 2.778 | 0.325 | 0.29 | 0.615 | Average | 2.903 | 0.275 | 0.259 | 0.534 | ||
| 3 | Average | 3.929 | 0.023 | 0.022 | 0.045 | 3 | Average | 4.105 | 0.013 | 0.02 | 0.033 |
| ∑ | 1.936 | ∑ | 1.858 | ||||||||
| Fe2VSi | V2FeSi | ||||||||||
| Shell | Bond | (Å) | −ICOHP (eV/bond) | Shell | Bond | (Å) | −ICOHP (eV/bond) | ||||
| Total | Total | ||||||||||
| 1 | Fe1–Si | 2.48 | 0.669 | 0.68 | 1.349 | 1 | Fe–Si | 2.489 | 0.719 | 0.592 | 1.311 |
| V–Si | 2.48 | 0.83 | 0.86 | 1.69 | V2–Si | 2.489 | 0.795 | 0.821 | 1.616 | ||
| Fe1–Fe2 | 2.48 | 0.471 | 0.164 | 0.635 | V1–V2 | 2.489 | 0.542 | 0.672 | 1.214 | ||
| Fe2–V | 2.48 | 0.564 | 0.404 | 0.968 | Fe–V1 | 2.489 | 0.572 | 0.425 | 0.997 | ||
| Average | 2.48 | 0.635 | 0.526 | 1.161 | Average | 2.489 | 0.657 | 0.627 | 1.284 | ||
| 2 | Fe1–Si | 2.864 | 0.321 | 0.217 | 0.538 | 2 | V1–Si | 2.874 | 0.399 | 0.188 | 0.587 |
| V–Fe2 | 2.864 | 0.243 | 0.201 | 0.444 | V2–Fe | 2.874 | 0.222 | 0.408 | 0.63 | ||
| Average | 2.864 | 0.282 | 0.209 | 0.491 | Average | 2.874 | 0.311 | 0.298 | 0.609 | ||
| 3 | Average | 4.05 | 0.022 | 0.017 | 0.039 | 3 | Average | 4.065 | 0.016 | 0.035 | 0.051 |
| ∑ | 1.691 | ∑ | 1.944 | ||||||||
Publisher’s Note: MDPI stays neutral with regard to jurisdictional claims in published maps and institutional affiliations. |
© 2022 by the authors. Licensee MDPI, Basel, Switzerland. This article is an open access article distributed under the terms and conditions of the Creative Commons Attribution (CC BY) license (https://creativecommons.org/licenses/by/4.0/).
Share and Cite
Abuova, A.; Merali, N.; Abuova, F.; Khovaylo, V.; Sagatov, N.; Inerbaev, T. Electronic Properties and Chemical Bonding in V2FeSi and Fe2VSi Heusler Alloys. Crystals 2022, 12, 1546. https://doi.org/10.3390/cryst12111546
Abuova A, Merali N, Abuova F, Khovaylo V, Sagatov N, Inerbaev T. Electronic Properties and Chemical Bonding in V2FeSi and Fe2VSi Heusler Alloys. Crystals. 2022; 12(11):1546. https://doi.org/10.3390/cryst12111546
Chicago/Turabian StyleAbuova, Aisulu, Nurpeiis Merali, Fatima Abuova, Vladimir Khovaylo, Nursultan Sagatov, and Talgat Inerbaev. 2022. "Electronic Properties and Chemical Bonding in V2FeSi and Fe2VSi Heusler Alloys" Crystals 12, no. 11: 1546. https://doi.org/10.3390/cryst12111546
APA StyleAbuova, A., Merali, N., Abuova, F., Khovaylo, V., Sagatov, N., & Inerbaev, T. (2022). Electronic Properties and Chemical Bonding in V2FeSi and Fe2VSi Heusler Alloys. Crystals, 12(11), 1546. https://doi.org/10.3390/cryst12111546

