Electroextraction of Ytterbium on the Liquid Lead Cathode in LiCl-KCl Eutectic
Abstract
1. Introduction
2. Experimental
3. Results and Discussion
3.1. Electrode Reaction of Yb(III) on the W Electrode
3.2. Electrochemical Properties of YbCl3 on a Pb Film Electrode
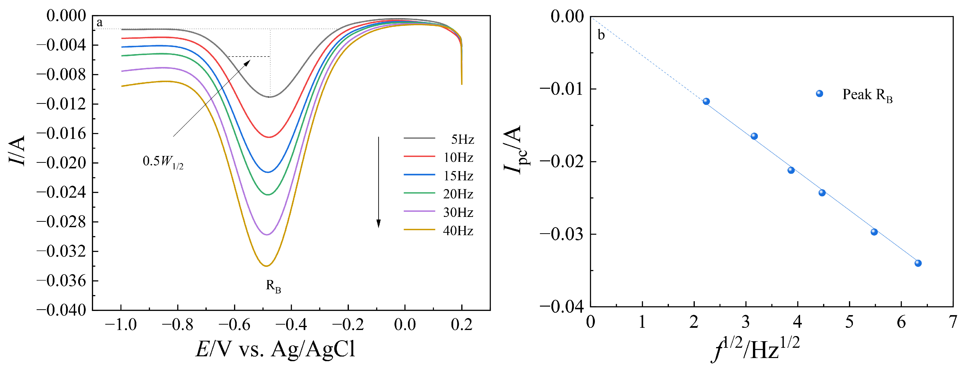
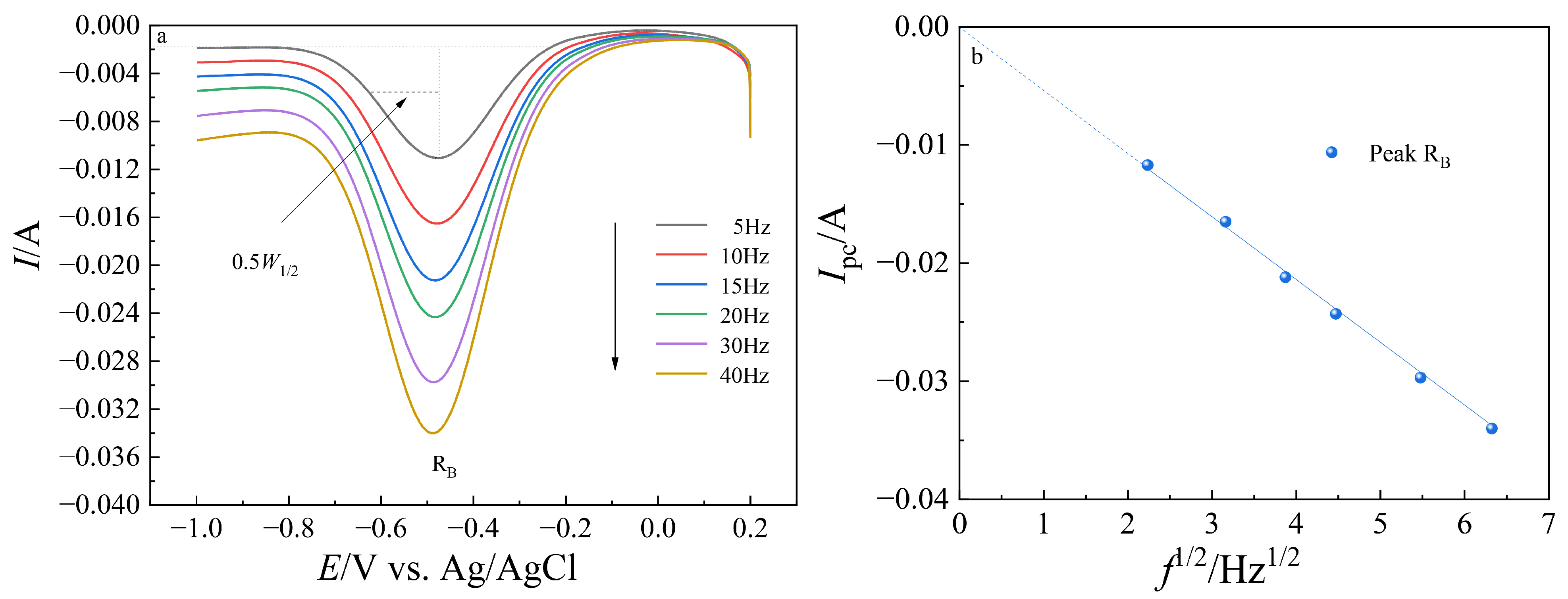
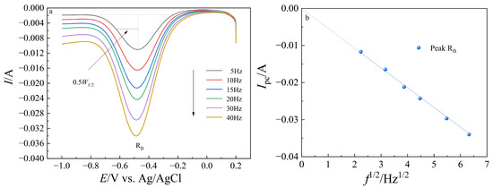
3.3. Electrochemical Property of Yb(III) Ions on the Liquid Pb Electrode
4. Conclusions
Author Contributions
Funding
Conflicts of Interest
References
- Karley, D.; Shukla, S.K.; Rao, T.S. Microbiological assessment of spent nuclear fuel pools: An in-perspective review. J. Environ. Chem. Eng. 2022, 10, 108050. [Google Scholar] [CrossRef]
- Grebennikova, T.; Jones, A.N.; Sharrad, C.A. Electrochemical decontamination of irradiated nuclear graphite from corrosion and fission products using molten salt. Energ. Environ. Sci. 2021, 14, 5501–5512. [Google Scholar] [CrossRef]
- Du, Y.; Tang, H.; Zhang, D.; Shao, L.; Li, Y.; Gao, R.; Yang, Z.; Li, B.; Chu, M.; Liao, J. Electro-reduction processes of U3O8 to metallic U bulk in LiCl molten salt. J. Nucl. Mater. 2021, 543, 152627. [Google Scholar] [CrossRef]
- Lichtenstein, T.; Nigl, T.P.; Smith, N.D.; Kim, H. Electrochemical deposition of alkaline-earth elements (Sr and Ba) from LiCl-KCl-SrCl2-BaCl2 solution using a liquid bismuth electrode. Electrochim. Acta 2018, 281, 810–815. [Google Scholar] [CrossRef]
- Kurniawan, T.A.; Othman, M.H.D.; Singh, D.; Avtar, R.; Hwang, G.H.; Setiadi, T.; Lo, W.H. Technological solutions for long-term storage of partially used nuclear waste: A critical review. Ann. Nucl. Energy 2022, 166, 108736. [Google Scholar] [CrossRef]
- Zohuri, B. Nuclear Fuel Cycle and Decommissioning. In Nuclear Reactor Technology Development and Utilization; Elsevier: Amsterdam, The Netherlands, 2020; pp. 61–120. [Google Scholar]
- Taylor, R.; Bodel, W.; Stamford, L.; Butler, G. A Review of Environmental and Economic Implications of Closing the Nuclear Fuel Cycle—Part One: Wastes and Environmental Impacts. Energies 2022, 15, 1433. [Google Scholar] [CrossRef]
- Burek, J.; Nutter, D. Life cycle assessment of grocery, perishable, and general merchandise multi-facility distribution center networks. Energy Build. 2018, 174, 388–401. [Google Scholar] [CrossRef]
- Zhong, Y.K.; Liu, Y.L.; Liu, K.; Wang, L.; Mei, L.; Gibson, J.K.; Chen, J.Z.; Jiang, S.L.; Liu, Y.C.; Yuan, L.Y. In-situ anodic precipitation process for highly efficient separation of aluminum alloys. Nat. Commun. 2021, 12, 1–6. [Google Scholar] [CrossRef]
- Zhang, Y.; Song, J.; Li, X.; Yan, L.; Shi, S.; Jiang, T.; Peng, S. First principles calculation of redox potential for tetravalent actinides in molten LiCl–KCl eutectic based on vertical substitution and relaxation. Electrochim. Acta 2019, 293, 466–475. [Google Scholar] [CrossRef]
- Wang, Y.; Quan, M.; Zhang, S.; Liu, Y.; Wang, Y.; Dai, Y.; Dong, Z.; Cheng, Z.; Zhang, Z.; Liu, Y. Electrochemical extraction of gadolinium on Sn electrode and preparation of Sn-Gd intermetallic compounds in LiCl-KCl melts. J. Alloy. Compd. 2022, 907, 164220. [Google Scholar] [CrossRef]
- Han, W.; Li, Z.; Li, M.; Li, W.; Zhang, M.; Yang, X.; Sun, Y. Reductive extraction of lanthanides (Ce, Sm) and its monitoring in LiCl-KCl/Bi-Li system. J. Nucl. Mater. 2019, 514, 311–320. [Google Scholar] [CrossRef]
- Im, S.; Smith, N.D.; Baldivieso, S.C.; Gesualdi, J.; Liu, Z.K.; Kim, H. Electrochemical recovery of Nd using liquid metals (Bi and Sn) in LiCl-KCl-NdCl3. Electrochim. Acta 2022, 425, 140655. [Google Scholar] [CrossRef]
- Williamson, M.; Willit, J. Pyroprocessing flowsheets for recycling used nuclear fuel. Nucl. Eng. Technol. 2011, 43, 329–334. [Google Scholar] [CrossRef]
- Liu, K.; Chai, Z.F.; Shi, W.Q. Liquid Electrodes for An/Ln Separation in Pyroprocessing. J. Electrochem. Soc. 2021, 168, 032507. [Google Scholar] [CrossRef]
- Solbrig, C.; Westphal, B.; Johnson, T.; Li, S.; Marsden, K.; Goff, K. Pyroprocessing Progress at Idaho National Laboratory; Idaho National Lab. (INL): Idaho Falls, ID, USA, 2007. [Google Scholar]
- Wang, D.D.; Liu, Y.L.; Yang, D.W.; Zhong, Y.K.; Han, W.; Wang, L.; Chai, Z.F.; Shi, W.Q. Separation of uranium from lanthanides (La, Sm) with sacrificial Li anode in LiCl-KCl eutectic salt. Sep. Purif. Technol. 2022, 292, 121025. [Google Scholar] [CrossRef]
- Han, W.; Li, Z.; Li, M.; Li, W.; Zhang, X.; Yang, X.; Zhang, M.; Sun, Y. Electrochemical extraction of holmium and thermodynamic properties of Ho-Bi alloys in LiCl-KCl eutectic. J. Electrochem. Soc. 2017, 164, E62. [Google Scholar] [CrossRef]
- Han, W.; Li, Z.; Li, M.; Hu, X.; Yang, X.; Zhang, M.; Sun, Y. Electrochemical behavior and extraction of holmium on Cu electrode in LiCl-KCl molten salt. J. Electrochem. Soc. 2017, 164, D934. [Google Scholar] [CrossRef]
- Jiang, S.; Lan, J.; Wang, L.; Liu, Y.; Zhong, Y.; Liu, Y.; Yuan, L.L.Y.; Zheng, L.; Chai, Z.; Shi, W. Competitive Coordination of Chloride and Fluoride Anions Towards Trivalent Lanthanide Cations (La3+ and Nd3+) in Molten Salts. Chem. Eur. J. 2021, 27, 11721–11729. [Google Scholar] [CrossRef] [PubMed]
- Jiang, S.; Liu, Y.; Wang, L.; Chai, Z.; Shi, W.Q. The Coordination Chemistry of f-Block Elements in Molten Salts. Chem. Eur. J. 2022, e202201145. [Google Scholar] [CrossRef] [PubMed]
- Liu, Y.; Liu, Y.; Wang, L.; Jiang, S.; Zhong, Y.; Wu, Y.; Li, M.; Shi, W. Chemical Species Transformation during the Dissolution Process of U3O8 and UO3 in the LiCl–KCl–AlCl3 Molten Salt. Inorg. Chem. 2022, 61, 6519–6529. [Google Scholar] [CrossRef]
- Liu, Y.C.; Liu, Y.L.; Zhao, Y.; Liu, Z.; Zhou, T.; Zou, Q.; Zeng, X.; Zhong, Y.K.; Li, M.; Sun, Z.X. A simple and effective separation of UO2 and Ln2O3 assisted by NH4Cl in LiCl–KCl eutectic. J. Nucl. Mater. 2020, 532, 152049. [Google Scholar] [CrossRef]
- Jiao, S.Q.; Jiao, H.D.; Song, W.L.; Wang, M.Y.; Tu, J.G. A review on liquid metals as cathodes for molten salt/oxide electrolysis. Int. J. Min. Met. Mater. 2020, 27, 1588–1598. [Google Scholar] [CrossRef]
- Yang, D.W.; Jiang, S.L.; Liu, Y.L.; Geng, J.S.; Li, M.; Wang, L.; Chai, Z.F.; Shi, W.Q. Electrochemical extraction kinetics of Nd on reactive electrodes. Sep. Purif. Technol. 2022, 281, 119853. [Google Scholar] [CrossRef]
- Yin, T.; Liu, Y.; Yang, D.; Yan, Y.; Wang, G.; Chai, Z.; Shi, W. Thermodynamics and kinetics properties of lanthanides (La, Ce, Pr, Nd) on liquid bismuth electrode in LiCl-KCl molten salt. J. Electrochem. Soc. 2020, 167, 122507. [Google Scholar] [CrossRef]
- Yin, T.; Liu, Y.; Jiang, S.; Yan, Y.; Wang, G.; Chai, Z.; Shi, W. Kinetic Properties and Electrochemical Separation of Uranium on Liquid Bismuth Electrode in LiCl–KCl Melt. J. Electrochem. Soc. 2021, 168, 032503. [Google Scholar] [CrossRef]
- Jiang, S.; Liu, K.; Liu, Y.; Yin, T.; Chai, Z.; Shi, W. Electrochemical behavior of Th (IV) on the bismuth electrode in LiCl–KCl eutectic. J. Nucl. Mater. 2019, 523, 268–275. [Google Scholar] [CrossRef]
- Han, W.; Li, W.; Chen, J.; Li, M.; Li, Z.; Dong, Y.; Zhang, M. Electrochemical properties of yttrium on W and Pb electrodes in LiCl–KCl eutectic melts. RSC Adv. 2019, 9, 26718–26728. [Google Scholar] [CrossRef] [PubMed]
- Li, M.; Sun, Z.; Guo, D.; Han, W.; Sun, Y.; Yang, X.; Zhang, M. Electrode reaction of Pr (III) and coreduction of Pr (III) and Pb (II) on W electrode in eutectic LiCl-KCl. Ionics 2020, 26, 3901–3909. [Google Scholar] [CrossRef]
- Han, W.; Wang, W.; Li, M.; Wang, D.; Li, H.; Chen, J.; Sun, Y. Electrochemical separation of La from LiCl-KCl fused salt by forming La-Pb alloys. Sep. Purif. Technol. 2021, 275, 119188. [Google Scholar] [CrossRef]
- Han, W.; Wang, W.; Li, M.; Meng, Y.; Ji, W.; Sun, Y. Electrochemical coreduction of Gd (III) with Pb (II) and recovery of Gd from LiCl-KCl eutectic assisted by Pb metal. J. Electrochem. Soc. 2020, 167, 142505. [Google Scholar] [CrossRef]
- Han, W.; Wang, W.; Li, M.; Wang, J.; Sun, Y.; Yang, X.; Zhang, M. Electrochemical behavior and extraction of zirconium on Sn-coated W electrode in LiCl-KCl melts. Sep. Purif. Technol. 2020, 232, 115965. [Google Scholar] [CrossRef]
- Sun, C.; Xu, Q.; Yang, Y.; Zou, X.; Cheng, H.; Lu, X. Effect of the Li Reduction to Electrodeposition of Nd-Sn Compounds in Liquid Sn Electrode in LiCl-KCl-NdCl3 Melt. J. Electrochem. Soc. 2021, 168, 102505. [Google Scholar] [CrossRef]
- Han, W.; Wang, W.; Zhang, Y.; Wang, Y.; Li, M.; Sun, Y. Electrode reaction of Pr on Sn electrode and its electrochemical recovery from LiCl-KCl molten salt. Int. J. Energ. Res. 2021, 45, 8577–8592. [Google Scholar] [CrossRef]
- Li, M.; Sun, Z.; Han, W.; Sun, Y.; Yang, X.; Wang, W. Electrochemical reaction of Sm (III) on liquid Sn electrode. J. Electrochem. Soc. 2020, 167, 022502. [Google Scholar] [CrossRef]
- Liu, K.; Liu, Y.L.; Chai, Z.F.; Shi, W.Q. Evaluation of the electroextractions of Ce and Nd from LiCl-KCl molten salt using liquid Ga electrode. J. Electrochem. Soc. 2017, 164, D169. [Google Scholar] [CrossRef]
- Yang, D.W.; Jiang, S.L.; Liu, Y.L.; Yin, T.Q.; Li, M.; Wang, L.; Luo, W.; Chai, Z.F.; Shi, W.Q. Electrodeposition Mechanism of La3+ on Al, Ga and Al-Ga Alloy Cathodes in LiCl-KCl Eutectic Salt. J. Electrochem. Soc. 2021, 168, 062511. [Google Scholar] [CrossRef]
- Yang, D.W.; Liu, Y.L.; Yin, T.Q.; Li, M.; Han, W.; Chang, K.-K.; Chai, Z.-F.; Shi, W.Q. Co-reduction behaviors of Ce (III), Al (III) and Ga (III) on a W electrode: An exploration for liquid binary Al-Ga cathode. Electrochim. Acta 2019, 319, 869–877. [Google Scholar] [CrossRef]
- Yang, D.W.; Liu, Y.L.; Yin, T.Q.; Jiang, S.L.; Zhong, Y.K.; Wang, L.; Li, M.; Chai, Z.F.; Shi, W.Q. Application of binary Ga–Al alloy cathode in U separation from Ce: The possibility in pyroprocessing of spent nuclear fuel. Electrochim. Acta 2020, 353, 136449. [Google Scholar] [CrossRef]
- Li, Z.; Liu, Z.; Li, W.; Han, W.; Li, M.; Zhang, M. Electrochemical recovery of dysprosium from LiCl-KCl melt aided by liquid Pb metal. Sep. Purif. Technol. 2020, 250, 117124. [Google Scholar] [CrossRef]
- Li, Z.; Tang, D.; Meng, S.; Gu, L.; Dai, Y.; Liu, Z. Electrolytic separation of Dy from Sm in molten LiCl-KCl using Pb-Bi eutectic alloy cathode. Sep. Purif. Technol. 2021, 276, 119045. [Google Scholar] [CrossRef]
- Wang, P.; Han, W. Electrochemical and thermodynamic properties of ytterbium and formation of Zn–Yb alloy on liquid Zn electrode. J. Nucl. Mater. 2019, 517, 157–164. [Google Scholar] [CrossRef]
- Li, M.; Liu, B.; Ji, N.; Sun, Y.; Han, W.; Jiang, T.; Peng, S.; Yan, Y.; Zhang, M. Electrochemical extracting variable valence ytterbium from LiCl–KCl–YbCl3 melt on Cu electrode. Electrochim. Acta 2016, 193, 54–62. [Google Scholar] [CrossRef]
- Zheng, J.; Yin, T.; Wang, P.; Yan, Y.; Smolenski, V.; Novoselova, A.; Zhang, M.; Ma, F.; Xue, Y. Electrochemical extraction of ytterbium from LiCl–KCl-YbCl3-ZnCl2 melt by forming Zn–Yb alloys. J. Solid State Electrochem. 2022, 26, 1067–1074. [Google Scholar] [CrossRef]
- Smolenski, V.; Novoselova, A.; Osipenko, A.; Caravaca, C.; De Córdoba, G. Electrochemistry of ytterbium (III) in molten alkali metal chlorides. Electrochim. Acta 2008, 54, 382–387. [Google Scholar] [CrossRef]
- Palenzona, A.; Cirafici, S. The Pb-Yb (Lead-Ytterbium) system. J. Phase Equilib. Diff. 1991, 12, 479–481. [Google Scholar] [CrossRef]












| f/Hz | W1/2/V | n |
|---|---|---|
| 5 | 0.259 | 0.907 |
| 10 | 0.251 | 0.934 |
| 15 | 0.251 | 0.934 |
| 20 | 0.243 | 0.963 |
| 30 | 0.243 | 0.963 |
| 40 | 0.243 | 0.963 |
| Electrochemical Techniques | Reduction of Peak/Plateau Potentials | |||
|---|---|---|---|---|
| IV | III | II | I | |
| CV (V) | −2.15 | −2.10 | −1.95 | −1.79 |
| SWV (V) | −2.13 | −2.09 | −1.96 | −1.80 |
| OCP (V) | −2.12 | −2.09 | −1.92 | −1.77 |
Publisher’s Note: MDPI stays neutral with regard to jurisdictional claims in published maps and institutional affiliations. |
© 2022 by the authors. Licensee MDPI, Basel, Switzerland. This article is an open access article distributed under the terms and conditions of the Creative Commons Attribution (CC BY) license (https://creativecommons.org/licenses/by/4.0/).
Share and Cite
Li, Z.; Zhu, L.; Tang, D.; Dai, Y.; He, F.; Gao, Z.; Liu, C.; Liu, H.; Zhou, L.; Liu, Z.; et al. Electroextraction of Ytterbium on the Liquid Lead Cathode in LiCl-KCl Eutectic. Crystals 2022, 12, 1453. https://doi.org/10.3390/cryst12101453
Li Z, Zhu L, Tang D, Dai Y, He F, Gao Z, Liu C, Liu H, Zhou L, Liu Z, et al. Electroextraction of Ytterbium on the Liquid Lead Cathode in LiCl-KCl Eutectic. Crystals. 2022; 12(10):1453. https://doi.org/10.3390/cryst12101453
Chicago/Turabian StyleLi, Zhuyao, Liandi Zhu, Dandan Tang, Ying Dai, Feiqiang He, Zhi Gao, Cheng Liu, Hui Liu, Limin Zhou, Zhirong Liu, and et al. 2022. "Electroextraction of Ytterbium on the Liquid Lead Cathode in LiCl-KCl Eutectic" Crystals 12, no. 10: 1453. https://doi.org/10.3390/cryst12101453
APA StyleLi, Z., Zhu, L., Tang, D., Dai, Y., He, F., Gao, Z., Liu, C., Liu, H., Zhou, L., Liu, Z., & Ouyang, J. (2022). Electroextraction of Ytterbium on the Liquid Lead Cathode in LiCl-KCl Eutectic. Crystals, 12(10), 1453. https://doi.org/10.3390/cryst12101453

