Cl-Doped CdTe Crystal Growth for Medical Imaging Applications
Abstract
1. Introduction
2. Experimental Procedures
2.1. Crystal Growth
2.2. Characterizations
3. Results and Discussion
3.1. Crystal Quality
3.2. IR Spectroscopy
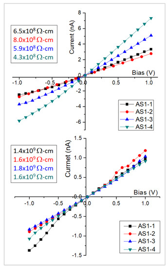
3.3. Electrical Characterizations
3.4. Detector Performance
3.5. High Flux Measurements
4. Conclusions
Author Contributions
Funding
Data Availability Statement
Acknowledgments
Conflicts of Interest
References
- Laura Wood, S.P.M. Global Medical Imaging Market Forecast to 2024 with Siemens, GE Healthcare, Philips, Toshiba Medical, Hitachi Medical & Fujifilm Holdings Dominating; Research and Markets: Dublin, Ireland, 2019. [Google Scholar]
- Hruskaa, C.B.; O’Connora, M.K. Nuclear imaging of the breast: Translating achievements in instrumentation into clinical use. Med Phys. 2013, 40, 050901. [Google Scholar] [CrossRef] [PubMed]
- Loferski, J.J. Theoretical Considerations Governing the Choice of the Optimum Semiconductor for Photovoltaic Solar Energy Conversion. J. Appl. Phys. 1956, 27, 777–784. [Google Scholar] [CrossRef]
- Green, M.A. Third generation photovoltaics: Ultra-high conversion efficiency at low cost. Prog. Photovolt. Res. Appl. 2001, 9, 123–135. [Google Scholar] [CrossRef]
- Bosio, A.; Rosa, G.; Romeo, N. Past, present and future of the thin film CdTe/CdS solar cells. Sol. Energy 2018, 175, 31–43. [Google Scholar] [CrossRef]
- Chander, S.; Dhaka, M. CdCl 2 treatment concentration evolution of physical properties correlation with surface morphology of CdTe thin films for solar cells. Mater. Res. Bull. 2018, 97, 128–135. [Google Scholar] [CrossRef]
- Szeles, C. CdZnTe and CdTe materials for X-ray and gamma ray radiation detector applications. Phys. Status Solidi B 2004, 241, 783–790. [Google Scholar] [CrossRef]
- Richter, M.; Siffert, P. High resolution gamma ray spectroscopy with CdTe detector systems. Nucl. Instrum. Methods Phys. Res. A 1992, 322, 529–537. [Google Scholar] [CrossRef]
- Schlesinger, T.; Toney, J.; Yoon, H.; Lee, E.; Brunett, B.; Franks, L.; James, R. Cadmium zinc telluride and its use as a nuclear radiation detector material. Mater. Sci. Eng. R: Rep. 2001, 32, 103–189. [Google Scholar] [CrossRef]
- Scheiber, C.; Giakosb, G.C. Medical applications of CdTe and CdZnTe detectors. Nucl. Instrum. Methods Phys. Res. A 2001, 458, 12–25. [Google Scholar] [CrossRef]
- Sordo, S.D. Progress in the development of CdTe and CdZnTe semiconductor radiation detectors for astrophysical and medical applications. Sensors 2009, 9, 3491–3526. [Google Scholar] [CrossRef] [PubMed]
- Thomas, B.; Veale, M.; Wilson, M.; Seller, P.; Schneider, A.; Iniewski, K. Characterisation of Redlen high-flux CdZnTe. J. Instrum. 2017, 12, C12045. [Google Scholar] [CrossRef]
- Prokesch, M.; Soldner, S.A.; Sundaram, A.G. CdZnTe detectors for gamma spectroscopy and x-ray photon counting at 250 × 106 photons/(mm2 s). J. Appl. Phys. 2018, 124, 044503. [Google Scholar] [CrossRef]
- Rudolph, P.; Mühlberg, M. Basic problems of vertical Bridgman growth of CdTe. Mater. Sci. Eng. B 1993, 16, 8–16. [Google Scholar] [CrossRef]
- Feigelson, R.S.; Route, R.R. Improved Techniques for the Growth of High Quality Cadmium Telluride Crystals; Center for Materials Research, Stanford University: Singapore, 1985. [Google Scholar]
- Carcelén, V. New approaches in order to enlarge the grain size of bulk CdZnTe (CZT) crystals. J. Optoelectron. Adv. Mater. 2008, 10, 3135–3140. [Google Scholar]
- Hossain, A.; Bolotnikov, A.; Camarda, G.; Cui, Y.; Gul, R.; Roy, U.; Yang, G.; James, R. Direct observation of influence of secondary-phase defects on CZT detector response. J. Cryst. Growth 2017, 470, 99–103. [Google Scholar] [CrossRef][Green Version]
- Schulz-DuBois, E.O.; Scheel, H.J. Flux growth of large crystals by the accelerated crucible rotation technique. J. Cryst. Growth 1971, 8, 304–306. [Google Scholar]
- Schulz-Dubois, E. Accelerated crucible rotation: Hydrodynamics and stirring effect. J. Cryst. Growth 1972, 12, 81–87. [Google Scholar] [CrossRef]
- Scheel, H. Accelerated crucible rotation: A novel stirring technique in high-temperature solution growth. J. Cryst. Growth 1972, 13–14, 560–565. [Google Scholar] [CrossRef]
- Datta, A.; Swain, S.; Cui, Y.; Burger, A.; Lynn, K. Correlations of Bridgman-Grown Cd0.9Zn0.1Te Properties with Different Ampoule Rotation Schemes. J. Electron. Mater. 2013, 42, 3041–3053. [Google Scholar] [CrossRef]
- Roy, U.N.; Weiller, S.; Stein, J.; Gueorguiev, A. Unseeded growth of CdZnTe:In by THM technique. Proc. SPIE 2009, 7449, 74490U. [Google Scholar]
- Bolotnikov, A.E.; Abdul-Jabbar, N.M.; Babalola, O.S.; Camarda, G.S.; Cui, Y.; Hossain, A.M.; Jackson, E.M.; Jackson, H.C.; James, J.A.; Kohman, K.T.; et al. Effects of Te Inclusions on the Performance of CdZnTe Radiation Detectors. IEEE Trans. Nucl. Sci. 2008, 55, 2757–2764. [Google Scholar] [CrossRef]
- Rudolph, P.; Koh, H.; Schäfer, N.; Fukuda, T. The crystal perfection depends on the superheating of the mother phase too—Experimental facts and speculations on the “melt structure” of semiconductor compounds. J. Cryst. Growth 1996, 166, 578–582. [Google Scholar] [CrossRef]
- Chu, M.; Terterian, S.; Ting, D.; Wang, C.C.; Benson, J.D.; Dinan, J.H.; James, R.B.; Burger, A. Effects of excess tellurium on the properties of CdZnTe radiation detectors. J. Electron. Mater. 2003, 32, 778–782. [Google Scholar] [CrossRef]
- Chu, M.; T, S.; Ting, D.; James, R.B.; Szawlowski, M.; Visserc, G.J. Effects of p/n Inhomogeneity on CdZnTe Radiation Detectors. In Proceedings of the SPIE Photonics West, San Jose, CA, USA, 25–31 January 2003. [Google Scholar]
- Zhang, X.; Zhao, Z.; Zhang, P.; Ji, R.; Li, Q. Comparison of CdZnTe crystals grown by the Bridgman method under Te-rich and Te-stoichiometric conditions and the annealing effects. J. Cryst. Growth 2009, 311, 286–291. [Google Scholar] [CrossRef]
- Suzuki, K.; Seto, S.; Sawada, T.; Imai, K. Carrier transport properties of HPB CdZnTe and THM CdTe:Cl. IEEE Trans. Nucl. Sci. 2002, 49, 1287–1291. [Google Scholar] [CrossRef]
- Stadler, W.; Hofmann, D.M.; Alt, H.C.; Muschik, T.; Meyer, B.K.; Weigel, E.; Müller-Vogt, G.; Salk, M.; Rupp, E.; Benz, K.W. Optical investigations of defects in Cd1-xZnxTe. Phys. Rev. B 1995, 51, 10619. [Google Scholar] [CrossRef]
- Gul, R.; Bolotnikov, A.; Kim, H.K.; Rodriguez, R.; Keeter, K.; Li, Z.; Gu, G.; James, R.B. Point Defects in CdZnTe Crystals Grown by Different Techniques. J. Electron. Mater. 2011, 40, 274–279. [Google Scholar] [CrossRef]
- Rudolph, P. Non-stoichiometry related defects at the melt growth of semiconductor compound crystals—A review. Cryst. Res. Technol. 2003, 38, 542–554. [Google Scholar] [CrossRef]
- Greenberg, J.H. Thermodynamic Basis of Crystal Growth: PTX Phase Equilibrium and Non-Stoichiometry; Springer Science & Business Media: New York, NY, USA, 2013; Volume 44. [Google Scholar]
- McCoy, J.J.; Kakkireni, S.; Gélinas, G.; Garaffa, J.F.; Swain, S.K.; Lynn, K.G. Effects of excess Te on flux inclusion formation in the growth of cadmium zinc telluride when forced melt convection is applied. J. Cryst. Growth 2020, 535, 125542. [Google Scholar] [CrossRef]
- Bolotnikov, A.E.; Camarda, G.S.; Carini, G.A.; Cui, Y.; Li, L.; James, R.B. Modeling the geometrical effects of Te precipitates on electron transport in CdZnTe. Nucl. Instrum. Methods Phys. Res. A 2007, 571, 125. [Google Scholar] [CrossRef]
- Bolotnikov, A.E.; Camarda, G.S.; Carini, G.A.; Cui, Y.; Kohman, K.T.; Li, L.; Salomon, M.B.; James, R.B. Performance-limiting de-fects in CdZnTe detectors. IEEE Trans. Nucl. Sci. 2007, 54, 821–827. [Google Scholar] [CrossRef]
- Carini, G.A.; Bolotnikov, A.E.; Camarda, G.S.; Wright, G.W.; Li, L.; James, R.B. Effect of Te precipitates on the performance of CdZnTe detectors. Appl. Phys. Lett. 2006, 88, 143515. [Google Scholar] [CrossRef]
- Kim, K.H.; Bolotinikov, A.E.; Camarda, G.S.; Hossain, A.; Gul, R.; Yang, G.; Cui, Y.; Prochazka, J.; Franc, J.; Hong, J.; et al. Defect levels of semi-insulating CdMnTe:In crystals. J. Appl. Phys. 2011, 109, 113715–113720. [Google Scholar] [CrossRef]
- Grill, R.; Franc, J.; Belas, E.; Hoschl, P.; Nahlovskyy, B.; Moravec, P.; Fochuk, P.; Verzhak, Y.; Panchuk, O. Dynamics of Point Defects in Tellurium-Rich CdTe. IEEE Trans. Nucl. Sci. 2007, 54, 792–797. [Google Scholar] [CrossRef]
- Lindström, A.; Klintenberg, M.; Sanyal, B.; Mirbt, S. Cl-doping of Te-rich CdTe: Complex formation, self-compensation and self-purification from first principles. AIP Adv. 2015, 5, 087101. [Google Scholar] [CrossRef]
- Yu, P.; Jie, W. Effects of post-growth annealing on the performance of CdZnTe:In radiation detectors with different thickness. Nucl. Instrum. Methods Phys. Res. A 2014, 737, 29–32. [Google Scholar] [CrossRef]
- Yang, G.; Bolotnikov, A.E.; Fochuk, P.M.; Cui, Y.; Camarda, G.S.; Hossain, A.; Kim, K.H.; Horace, J.; McCall, B.; Gul, R.; et al. Effects of thermal annealing on the structural properties of CdZnTe crystals. In Proceedings of the Hard X-Ray, Gamma-Ray, and Neutron Detector Physics XIII, San Diego, CA, USA, 21 August 2011; Volume 8142, p. 814217. [Google Scholar] [CrossRef]
- Fochuk, P.; Grill, R.; Nakonechnyi, I.; Kopach, O.; Panchuk, O.; Verzhak, Y.; Belas, A.E.B.E.; Yang, G.; James, R.B. Effect of Cd0.9Zn0.1Te:In Crystals Annealing on Their High-Temperature Electrical Properties. IEEE Trans. Nucl. Sci. 2011, 58, 2346–2351. [Google Scholar] [CrossRef]
- Bugar, M.; Belas, E.; Grill, R.; Prochazka, J. Inclusions Elimination and Resistivity Restoration of CdTe:Cl Crystals by Two-Step Annealing. IEEE Trans. Nucl. Sci. 2011, 58, 1942–1948. [Google Scholar] [CrossRef]
- Yu, P.; Jie, W.; Wang, T. Detector-grade CdZnTe:In crystals obtained by annealing. J. Electron. Mater. 2011, 46, 3749–3752. [Google Scholar] [CrossRef]
- Yang, G.; Bolotnikov, A.; Fochuk, P.; Kopach, O.; Franc, J.; Belas, E.; Kim, K.; Camarda, G.; Hossain, A.; Cui, Y.; et al. Post-growth thermal annealing study of CdZnTe for developing room-temperature X-ray and gamma-ray detectors. J. Cryst. Growth 2012, 379, 16–20. [Google Scholar] [CrossRef]
- Hofmann, D.M.; Stadler, W.; Christmann, P.; Meyer, B.K. Defects in CdTe and Cd1-xZnxTe. Nucl. Instr. and Meth. Phys. Res. 1996, A380, 117–120. [Google Scholar] [CrossRef]
- Höschl, P.; Grill, R.; Franc, J.; Moravec, P.; Belas, E. Native defect equilibrium in semi-insulating CdTe(Cl). Mater. Sci. Eng. B 1993, 16, 215. [Google Scholar] [CrossRef]
- Popovych, V.; Virt, I.; Sizov, F.; Tetyorkin, V.; Tsybrii, Z.T.; Darchuk, L.; Parfenjuk, O.; Ilashchuk, M. The effect of chlorine doping concentration on the quality of CdTe single crystals grown by the modified physical vapor transport method. J. Cryst. Growth 2007, 308, 63–70. [Google Scholar] [CrossRef]
- Malm, H.L.; Martini, M. Polarization Phenomena in CdTe Nuclear Radiation Detectors. IEEE Trans. Nucl. Sci. 1974, 21, 322–330. [Google Scholar] [CrossRef]




















| No | Crystal Growth | Dopant (cm−3) | Teex (wt.%) | Teex (cm−3) | pBN | ACRT |
|---|---|---|---|---|---|---|
| 1 | CG224 (CRY-1) | In: 8.8 × 1016 | 3.5 | 9.2 × 1020 | Y | Y |
| 2 | CG241 (CRY-2) | Cl: 4.4 × 1019 | 3.5 | 9.2 × 1020 | Y | Y |
| 3 | CG235 (CRY-3) | 7.5 | 2.2 × 1021 | Y | Y | |
| 4 | CG247 (CRY-4) | 15.0 | 4.8 × 1021 | N | Y |
| Quality Parameters | CRY-1 3.5% Te-Excess | CRY-2 3.5% Te-Excess | CRY-3 7.5% Te-Excess | CRY-4 15% Te-Excess |
|---|---|---|---|---|
| Crystal Quality— Te inclusion Size/Density | Prismatic defects and Big inclusions | Nt: (1.1–8.0) × 105 cm−3 OD: 1.2–4.0 mm Big inclusions | Nt: (3.3–7.2) × 105 cm−3 OD: 0.01–1.6 mm Medium inclusions | Nt: (2.5–5.5) × 105 cm−3 OD: 0.01–0.02 mm Small inclusions |
| Resistivity: (Ω-cm) | (4–8) × 108 | ~1.6 × 109 | (0.6–2) × 109 | (1–5) × 109 |
| μτe-product (cm2/V) | (0.09–0.1) × 10−4 | (0.2–0.4) × 10−3 | (0.3–1.1) × 10−3 | (0.5–1.8) × 10−3 |
| μτh-product (cm2/V) Average value | (1.04–1.80) × 10−4 | (1.04–1.80) × 10−4 | (0.25–1.3) × 10−3 | |
| ~0 | ~1.33 × 10−4 | ~2.2 × 10−4 | ~5.12 × 10−4 |
Publisher’s Note: MDPI stays neutral with regard to jurisdictional claims in published maps and institutional affiliations. |
© 2022 by the authors. Licensee MDPI, Basel, Switzerland. This article is an open access article distributed under the terms and conditions of the Creative Commons Attribution (CC BY) license (https://creativecommons.org/licenses/by/4.0/).
Share and Cite
Gul, R.; McCloy, J.S.; Murugesan, M.; Montag, B.; Singh, J. Cl-Doped CdTe Crystal Growth for Medical Imaging Applications. Crystals 2022, 12, 1365. https://doi.org/10.3390/cryst12101365
Gul R, McCloy JS, Murugesan M, Montag B, Singh J. Cl-Doped CdTe Crystal Growth for Medical Imaging Applications. Crystals. 2022; 12(10):1365. https://doi.org/10.3390/cryst12101365
Chicago/Turabian StyleGul, Rubi, John Stuart McCloy, Magesh Murugesan, Benjamin Montag, and Jasdeep Singh. 2022. "Cl-Doped CdTe Crystal Growth for Medical Imaging Applications" Crystals 12, no. 10: 1365. https://doi.org/10.3390/cryst12101365
APA StyleGul, R., McCloy, J. S., Murugesan, M., Montag, B., & Singh, J. (2022). Cl-Doped CdTe Crystal Growth for Medical Imaging Applications. Crystals, 12(10), 1365. https://doi.org/10.3390/cryst12101365

