SrNi(VO4)(OH): The High-Temperature Hydrothermal Synthesis and Magnetic Properties of an Adelite-Descloizite-Type Structure
Abstract
1. Introduction
2. Experimental Section
2.1. Hydrothermal Crystal Growth of SrNi(VO4)(OH)
2.2. Characterization
2.3. Magnetization and Heat Capacity Measurements
3. Results and Discussion
3.1. Synthesis and Structure of SrNi(VO4)(OH)
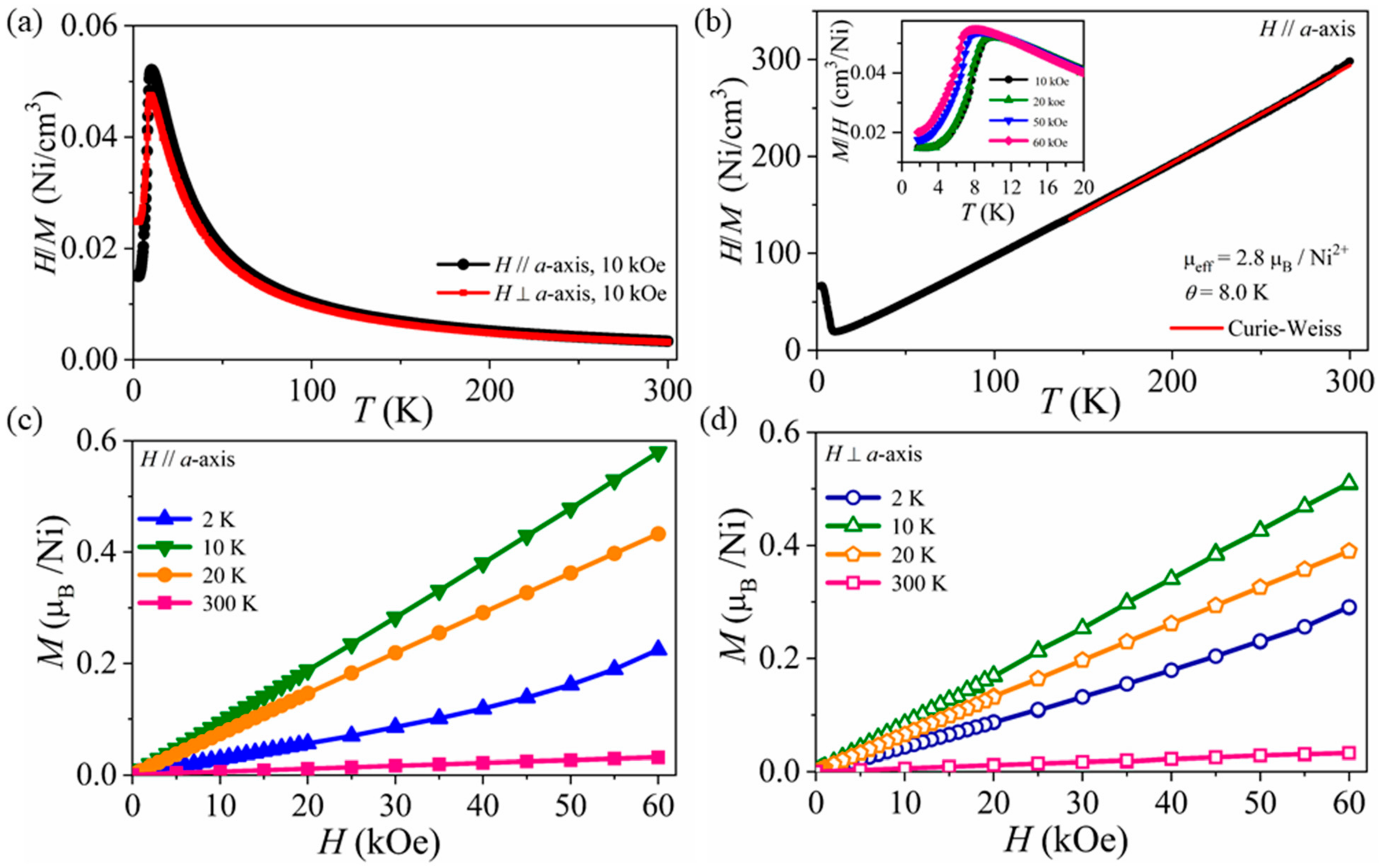
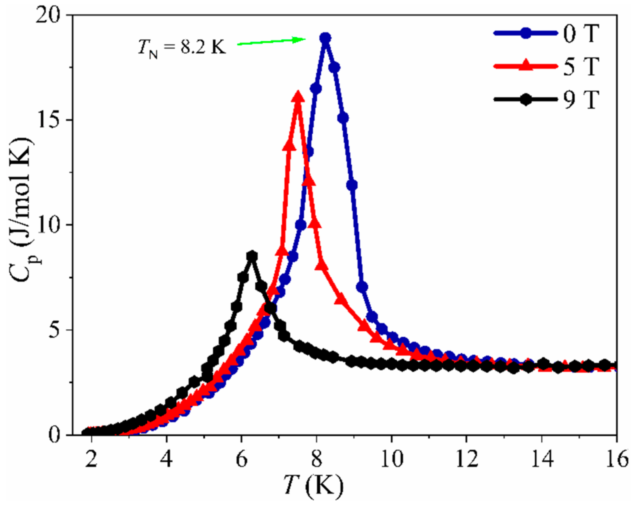
3.2. Magnetic Properties of SrNi(VO4)(OH)
4. Summary and Conclusions
Author Contributions
Funding
Data Availability Statement
Acknowledgments
Conflicts of Interest
References
- Chirayil, T.; Zavalij, P.Y.; Whittingham, M.S. Hydrothermal synthesis of vanadium oxides. Chem. Mater. 1998, 10, 2629–2640. [Google Scholar] [CrossRef]
- Schindler, M.; Hawthorne, F.C.; Baur, W.H. A crystal-chemical approach to the composition and occurrence of vanadium minerals. Can. Mineral. 2000, 38, 1443–1456. [Google Scholar] [CrossRef]
- Zavalij, P.Y.; Whittingham, M.S. Structural chemistry of vanadium oxides with open frameworks. Acta Crystallogr. Sect. B Struct. Sci. 1999, 55, 627–663. [Google Scholar] [CrossRef]
- Amuneke, N.E.; Tapp, J.; de la Cruz, C.R.; Möller, A. Experimental realization of a unique class of compounds: XY-antiferromagnetic triangular lattices, KAg2Fe[VO4]2 and RbAg2Fe[VO4]2, with ferroelectric ground states. Chem. Mater. 2014, 26, 5930–5935. [Google Scholar] [CrossRef]
- Reuss, A.; Ksenofontov, V.; Tapp, J.; Wulferding, D.; Lemmens, P.; Panthöfer, M.; Möller, A. Screw-type motion and its impact on cooperativity in BaNa2Fe[VO4]2. Inorg. Chem. 2018, 57, 6300–6308. [Google Scholar] [CrossRef]
- Yahia, H.B.; Gaudin, E.; Boulahya, K.; Darriet, J.; Son, W.-J.; Whangbo, M.H. Synthesis and characterization of the crystal structure and magnetic properties of the ternary manganese vanadate NaMnVO4. Inorg. Chem. 2010, 49, 8578–8852. [Google Scholar] [CrossRef]
- Koo, H.-J.; Whangbo, M.H.; Lee, K.-S. Investigation of the spin exchange interactions and magnetic structures of the CrVO4-type transition metal phosphates, sulfates, and vanadates by spin dimer analysis. Inorg. Chem. 2003, 42, 5932–5937. [Google Scholar] [CrossRef]
- Lawes, G.; Harris, A.B.; Kimura, T.; Rogado, N.; Cava, R.J.; Aharony, A.; Entin-Wohlman, O.; Yildirim, T.; Kenzelmann, M.; Broholm, C.; et al. Magnetically driven ferroelectric order in Ni3V2O8. Phys. Rev. Lett. 2005, 19, 087205. [Google Scholar]
- Sun, K.; Litvinchuk, A.P.; Tapp, J.; Lorenz, B.; Möller, A. BaMn9[VO4]6(OH)2: A unique canted antiferromagnet with a chiral “paddle-wheel” structural feature. Inorg. Chem. 2015, 54, 898–904. [Google Scholar] [CrossRef]
- Chen, Y.; Lynn, J.W.; Huang, Q.; Woodward, F.M.; Yildirim, T.; Lawes, G.; Ramirez, A.P.; Rogado, N.; Cava, R.J.; Aharony, A.; et al. Complex magnetic order in the Kagomé staircase compound Co3V2O8. Phys. Rev. B 2006, 74, 014430. [Google Scholar]
- Clemens, O.; Rohrer, J.; Nénert, G. Magnetic structures of the low temperature phase of Mn3(VO4)2—Towards understanding magnetic ordering between adjacent Kagomé layers. Dalton Trans. 2016, 45, 156–171. [Google Scholar] [CrossRef] [PubMed]
- McMillen, C.D.; Kolis, J.W. Hydrothermal synthesis as a route to mineralogically-inspired structures. Dalton Trans. 2016, 45, 2772–2784. [Google Scholar] [PubMed]
- Sanjeewa, L.D.; McGuire, M.A.; Garlea, V.O.; Hu, L.; Chumanov, G.; McMillen, C.D.; Kolis, J.W. Hydrothermal synthesis and characterization of novel brackebuschite-type transition metal vanadates: Ba2M(VO4)2(OH), M = V3+, Mn3+, and Fe3+, with interesting Jahn−Teller and spin-liquid behavior. Inorg. Chem. 2015, 54, 7014–7020. [Google Scholar] [CrossRef] [PubMed]
- Sanjeewa, L.D.; Garlea, O.V.; McGuire, M.A.; McMillen, C.D.; Cao, H.; Kolis, J.W. Structural and magnetic characterization of the one-dimensional S = 5/2 antiferromagnetic chain system SrMn(VO4)(OH). Phys. Rev. B 2016, 93, 224407. [Google Scholar] [CrossRef]
- Sanjeewa, L.D.; Garlea, V.O.; McGuire, M.A.; Xing, J.; Cao, H.; Kolis, J.W.; Sefat, A.S. Observation of large magnetic anisotropy and field-induced magnetic state in SrCo(VO4)(OH): A structure with quasi one-dimensional magnetic chain. Inorg. Chem. 2020, 59, 1029–1037. [Google Scholar] [CrossRef]
- Garlea, V.O.; Sanjeewa, L.D.; McGuire, M.A.; Batista, C.D.; Samarakoon, A.M.; Graf, D.; Winn, B.; Ye, F.; Hoffmann, C.; Kolis, J.W. Exotic magnetic field-induced spin-superstructures in a mixed honeycomb-triangular lattice system. Phys. Rev. X 2019, 9, 011038. [Google Scholar] [CrossRef]
- Sanjeewa, L.D.; McMillen, C.D.; Willett, D.; Chumanov, G.; Kolis, J.W. Hydrothermal synthesis of single crystals of transition metal vanadates in the glaserite phase. J. Solid State Chem. 2016, 236, 61–68. [Google Scholar] [CrossRef]
- Sanjeewa, L.D.; McMillen, C.D.; McGuire, M.A.; Kolis, J.W. Manganese vanadate chemistry in hydrothermal BaF2 brines: Ba3Mn2(V2O7)F2 and Ba7Mn8O2(VO4)2F23. Inorg. Chem. 2016, 55, 12512–12515. [Google Scholar] [CrossRef]
- Sanjeewa, L.D.; McGuire, M.A.; McMillen, C.D.; Willett, D.; Chumanov, G.; Kolis, J.W. Honeycomb-like S = 5/2 spin lattices in new manganese(II) vanadates. Inorg. Chem. 2016, 55, 9240–9249. [Google Scholar] [CrossRef]
- Yahne, D.R.; Sanjeewa, L.D.; Sefat, A.S.; Stadleman, B.; Kolis, J.W.; Calder, S.; Ross, K.A. Pseudo-spin versus magnetic dipole moment ordering in the isosceles triangular lattice material K3Er(VO4)2. Phy. Rev. B 2020, 102, 104423. [Google Scholar] [CrossRef]
- Pellizzeri, T.M.S.; Sanjeewa, L.D.; McMillen, C.D.; Garlea, V.O.; Ye, F.; Sefat, A.S.; Kolis, J.W. Single crystal neutron and magnetic measurements of Rb2Mn3(VO4)2CO3 and K2Co3(VO4)2CO3 with mixed honeycomb and triangular magnetic lattices. Dalton Trans. 2020, 49, 4323–4335. [Google Scholar] [CrossRef]
- Sanjeewa, L.D.; McGuire, M.A.; McMillen, C.D.; Garlea, V.O.; Kolis, J.W. Polar materials with isolated V4+ S = ½ triangles: NaSr2V3O3(Ge4O13)Cl and KSr2V3O3(Ge4O13)Cl. Chem. Mater. 2017, 29, 1404–1412. [Google Scholar] [CrossRef]
- Taddei, K.M.; Sanjeewa, L.D.; Xing, J.; Parker, D.; Podleznyak, A.; dela Cruz, C.; Sefat, A. Tunable Magnetic Order in Low-Symmetry SeO3 Ligand Linked TM3(SeO3) 3H2O (TM = Mn, Co and Ni) Compounds. Phy. Rev. M 2020, 4, 024410. [Google Scholar] [CrossRef]
- Erdei, S. Growth of oxygen deficiency-free YVO4 single crystal by top-seeded solution growth technique. J. Cryst. Growth. 1993, 134, 1–13. [Google Scholar] [CrossRef]
- Erdei, S.; Johnson, G.G.; Ainger, F.W. Growth studies of YVO4 crystals (II). Changes in Y-V-O-stoichiometry. Cryst. Res. Technol. 1994, 29, 815–828. [Google Scholar] [CrossRef]
- Sleight, A.W.; Ramirez, A.P. Disappearance of the metal-insulator transition in iridate pyrochlores on approaching the ideal R2Ir2O7 stoichiometry. Solid State Commun. 2018, 275, 12–15. [Google Scholar] [CrossRef]
- Sanjeewa, L.D.; Garlea, V.O.; McGuire, M.A.; McMillen, C.D.; Kolis, J.W. Magnetic ground state crossover in a series of glaserite systems with triangular magnetic lattices. Inorg. Chem. 2019, 58, 2813–2821. [Google Scholar] [CrossRef] [PubMed]
- Sanjeewa, L.D.; Garlea, V.O.; McGuire, M.A.; Frontzek, M.; McMillen, C.D.; Fulle, K.; Kolis, J.W. Investigation of a structural phase transition and magnetic structure of Na2BaFe(VO4)2: A triangular magnetic lattice with a ferromagnetic ground state. Inorg. Chem. 2017, 56, 14842–14849. [Google Scholar] [CrossRef]
- Bera, A.K.; Lake, B.; Islam, A.T.M.N.; Klemke, B.; Faulhaber, E.; Law, J.M. Field-induced magnetic ordering and single-ion anisotropy in the quasi-one-dimensional Haldane chain compound SrNi2V2O8: A single-crystal investigation. Phys. Rev. B 2013, 87, 224423. [Google Scholar] [CrossRef]
- He, Z.; Fu, D.; Kyômen, T.; Taniyama, T.; Itoh, M. Crystal growth and magnetic properties of BaCo2V2O8. Chem. Mater. 2005, 17, 2924–2926. [Google Scholar] [CrossRef]
- Hong, S.; Burkhow, S.J.; Doughty, R.M.; Cheng, Y.; Ryan, B.J.; Mantravadi, A.; Roling, L.T.; Panthani, M.G.; Osterloh, F.E.; Smith, E.A.; et al. Local structural disorder in metavanadates MV2O6 (M = Zn and Cu) synthesized by the deep eutectic solvent route: Photoactive oxides with oxygen vacancies. Chem. Mater. 2021, 33, 1667–1682. [Google Scholar] [CrossRef]
- Niesen, S.K.; Kolland, G.; Seher, M.; Breunig, O.; Valldor, M.; Braden, M.; Grenier, B.; Lorenz, T. Magnetic phase diagrams, domain switching, and quantum phase transition of the quasi-one-dimensional ising-like antiferromagnet BaCo2V2O8. Phys. Rev. B 2013, 87, 224413. [Google Scholar] [CrossRef]
- Ma, J.; Dela Cruz, C.D.; Hong, T.; Tian, W.; Aczel, A.A.; Chi, S.; Yan, J.-Q.; Dun, Z.L.; Zhou, H.D.; Matsuda, M. Magnetic phase transition in the low-dimensional compound BaMn2Si2O7. Phys. Rev. B 2013, 88, 144405. [Google Scholar] [CrossRef]
- Tsukada, I.; Sasago, Y.; Uchinokura, K.; Zheludev, A.; Maslov, S.; Shirane, G.; Kakurai, K.; Ressouche, E. BaCu2Si2O7: A quasi-one-dimensional S = 1/2 antiferromagnetic chain system. Phys. Rev. B 1999, 60, 6601. [Google Scholar] [CrossRef]
- Streltsov, S.V.; Khomskii, D.I. Electronic structure and magnetic properties of pyroxenes (Li, Na)TM(Si, Ge)2O6: Lowdimensional magnets with 90° bonds. Phys. Rev. B Condens. Matter Mater. Phys. 2008, 77, 064405. [Google Scholar] [CrossRef]
- Millet, P.; Mila, F.; Zhang, F.C.; Mambrini, M.; Van Oosten, A.B.; Pashchenko, V.A.; Sulpice, A.; Stepanov, A. Biquadratic interactions and spin-peierls transition in the spin-1 chain LiVGe2O6. Phys. Rev. Lett. 1999, 83, 4176. [Google Scholar] [CrossRef]
- Foley, J.; Hughes, A.; Lange, D. The atomic arrangement of brackbuschite redefined as Pb2(Mn3+,Fe3+)(VO4)2(OH) and comments on Mn+ octahedra. Can. Mineral. 1997, 35, 1027–1033. [Google Scholar]
- Apex3; Bruker AXS Inc.: Madison, WI, USA, 2015; Available online: https://www.brukersupport.com/ProductDetail/3177 (accessed on 25 August 2022).
- Sheldrick, G.M. A short history of SHELX. Acta Crystallogr. Sect. A Found. Crystallogr. 2008, 64, 112–122. [Google Scholar] [CrossRef]
- Effenberger, H.; Krause, W.; Bernhardt, H.J. Structural investigations of adelite and cobaltaustinite, two members of the adelite-descloizite group Experimental Mineralogy. In Proceedings of the Ninth International Symposium on Experimental Mineralogy, Petrology and Geochemistry, Zurich, Switzerland, 24–27 March 2002; Volume 9, p. 30. [Google Scholar]
- Hawthorne, F.C.; Faggiani, R. Refinement of the structure of descloizite. Acta Cryst. 1979, B35, 717–720. [Google Scholar] [CrossRef]
- Smit, J.P.; Stair, P.C.; Poeppelmeier, K.R. The adaptable lyonsite structure. Chem. Eur. J. 2006, 12, 5944–5953. [Google Scholar] [CrossRef]
- Smart, J.S. Effective Field Theories of Magnetism; W.B. Saunders: Philadelphia, PA, USA, 1966. [Google Scholar]
- He, Z.; Guo, W.; Cui, M.; Tang, Y. Synthesis and magnetic properties of new tellurate compounds Na4MTeO6 (M = Co and Ni) with a ferromagnetic spin-chain structure. Dalton Trans. 2017, 46, 5076. [Google Scholar] [CrossRef]
- Jiang, H.; Xie, Z.; Mao, J. Ni3(Mo2O8)(XO3) (X = Se, Te): The first nickel selenite- and tellurite-containing Mo4 clusters. Inorg. Chem. 2007, 46, 6495–6501. [Google Scholar] [CrossRef]
- Carlin, R.L. Magnetism and magnetic transitions of transition-metal compounds at low temperatures. Acc. Chem. Res. 1976, 9, 67–74. [Google Scholar] [CrossRef]



| Empirical Formula | SrNi(VO4)(OH) |
|---|---|
| formula weight (g/mol) | 278.28 |
| crystal system | orthorhombic |
| space group, Z | P212121 (No. 19), 4 |
| Crystal dimensions, mm | 0.12 × 0.12 × 0.08 |
| T, K | 298 |
| a, Å | 5.9952(4) |
| b, Å | 7.5844(4) |
| c, Å | 9.2240(5) |
| volume, Å3 | 419.42(4) |
| D(calc), g/cm3) | 4.407 |
| µ (Mo Kα), mm−1 | 19.201 |
| F(000) | 520 |
| Tmax, Tmin | 1.0000, 0.7547 |
| 2θ range | 2.27–30.52 |
| reflections collected | 16478 |
| data/restraints/parameters | 1284/1/79 |
| final R [I > 2σ(I)] R1, Rw2 | 0.0109, 0.0274 |
| final R (all data) R1, Rw2 | 0.0109, 0.0274 |
| GoF | 1.095 |
| largest diff. peak/hole, e/Å3 | 0.0416/−0.700 |
| Ni(1)O6 | |
| Ni(1)–O(1) | 1.9659(1) |
| Ni(1)–O(1) | 1.9763(2) |
| Ni(1)–O(2) | 2.1226(2) |
| Ni(1)–O(2) | 2.1678(1) |
| Ni(1)–O(3) | 2.1422(2) |
| Ni(1)–O(4) | 2.1353(2) |
| V(1)O4 | |
| V(1)–O(2) | 1.7461(1) |
| V(1)–O(3) | 1.7263(1) |
| V(1)–O(4) | 1.7224(2) |
| V(1)–O(5) | 1.6921(2) |
| O(2)–V(1)–O(3) | 111.34(7) |
| O(2)–V(1)–O(4) | 114.70(7) |
| O(2)–V(1)–O(5) | 103.53(7) |
| O(3)–V(1)–O(4) | 112.41(7) |
| O(3)–V(1)–O(5) | 110.23(7) |
| O(4)–V(1)–O(5) | 103.92(7) |
| Ni(1)–O(1)–Ni(1) | 99.08(6) |
| Ni(1)–O(2)–Ni(1) | 88.71(5) |
| Ni∙∙∙Ni | 2.9994(4) |
| Atom | Wyckoff pos. | x | y | z | Ueq |
|---|---|---|---|---|---|
| Sr(1) | 4a | −0.02329(3) | 0.13583(2) | 0.16864(2) | 0.00545(7) |
| Ni(1) | 4a | 0.24566(4) | −0.24437(4) | −0.00328(3) | 0.00392(7) |
| V(1) | 4a | −0.48981(6) | 0.38778(4) | 0.18885(3) | 0.00274(7) |
| O(1) | 4a | 0.5019(2) | −0.1029(2) | −0.06759(1) | 0.0049(3) |
| H(1) | 4a | 0.521(6) | 0.001(4) | −0.017(3) | 0.054(2) |
| O(2) | 4a | −0.5077(3) | 0.5668(2) | 0.07041(1) | 0.0058(3) |
| O(3) | 4a | −0.7343(2) | 0.3601(2) | 0.28502(2) | 0.0063(3) |
| O(4) | 4a | −0.2581(2) | 0.3883(2) | 0.29928(2) | 0.0065(3) |
| O(5) | 4a | −0.4474(3) | 0.2140(2) | 0.07717(2) | 0.0097(3) |
Publisher’s Note: MDPI stays neutral with regard to jurisdictional claims in published maps and institutional affiliations. |
© 2022 by the authors. Licensee MDPI, Basel, Switzerland. This article is an open access article distributed under the terms and conditions of the Creative Commons Attribution (CC BY) license (https://creativecommons.org/licenses/by/4.0/).
Share and Cite
Sanjeewa, L.D.; Pellizzeri, T.M.S.; McMillen, C.D.; Taddei, K.; Heitmann, T.; Kaiser, H.; Kolis, J.W. SrNi(VO4)(OH): The High-Temperature Hydrothermal Synthesis and Magnetic Properties of an Adelite-Descloizite-Type Structure. Crystals 2022, 12, 1360. https://doi.org/10.3390/cryst12101360
Sanjeewa LD, Pellizzeri TMS, McMillen CD, Taddei K, Heitmann T, Kaiser H, Kolis JW. SrNi(VO4)(OH): The High-Temperature Hydrothermal Synthesis and Magnetic Properties of an Adelite-Descloizite-Type Structure. Crystals. 2022; 12(10):1360. https://doi.org/10.3390/cryst12101360
Chicago/Turabian StyleSanjeewa, Liurukara D., Tiffany M. Smith Pellizzeri, Colin D. McMillen, Keith Taddei, Thomas Heitmann, Helmut Kaiser, and Joseph W. Kolis. 2022. "SrNi(VO4)(OH): The High-Temperature Hydrothermal Synthesis and Magnetic Properties of an Adelite-Descloizite-Type Structure" Crystals 12, no. 10: 1360. https://doi.org/10.3390/cryst12101360
APA StyleSanjeewa, L. D., Pellizzeri, T. M. S., McMillen, C. D., Taddei, K., Heitmann, T., Kaiser, H., & Kolis, J. W. (2022). SrNi(VO4)(OH): The High-Temperature Hydrothermal Synthesis and Magnetic Properties of an Adelite-Descloizite-Type Structure. Crystals, 12(10), 1360. https://doi.org/10.3390/cryst12101360

