Carrier Dynamics in InGaN/GaN-Based Green LED under Different Excitation Sources
Abstract
:1. Introduction
2. Materials and Methods
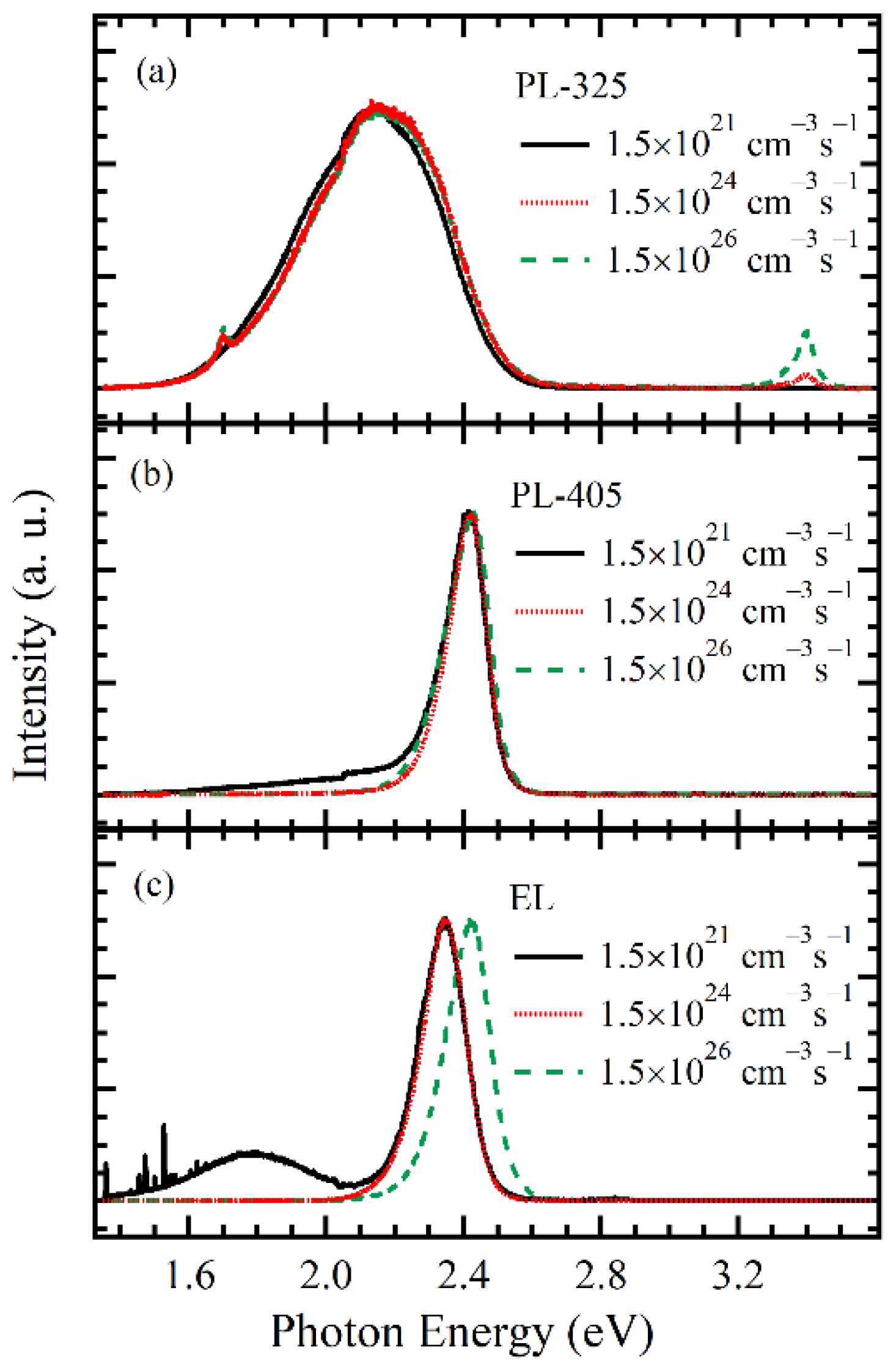
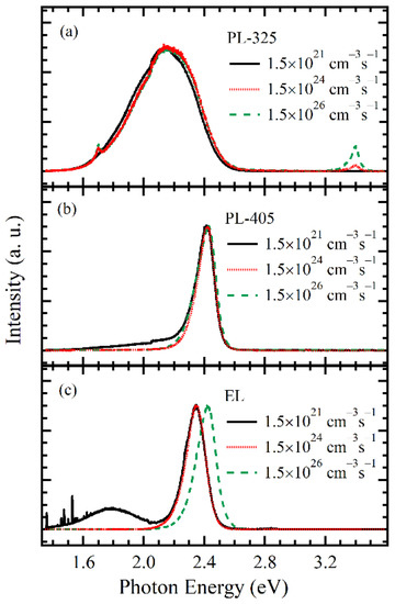
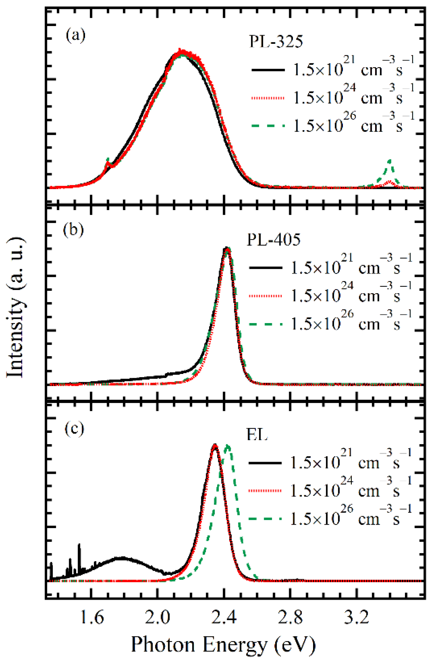
3. Results and Discussion
4. Conclusions
Author Contributions
Funding
Data Availability Statement
Conflicts of Interest
References
- Crawford, M.H. LEDs for solid-state lighting: Performance challenges and recent advances. IEEE J. Sel. Top. Quantum Electron. 2009, 15, 1028–1040. [Google Scholar] [CrossRef]
- Shen, C.; Ng, T.K.; Lee, C.; Nakamura, S.; Speck, J.S.; DenBaars, S.P.; Alyamani, A.Y.; El-Desouki, M.M.; Ooi, B.S. Semipolar InGaN quantum-well laser diode with integrated amplifier for visible light communications. Opt. Express 2018, 26, A219–A226. [Google Scholar] [CrossRef] [Green Version]
- Jain, B.; Velpula, R.T.; Bui, H.Q.T.; Nguyen, H.D.; Lenka, T.R.; Nguyen, T.K.; Nguyen, H.P.T. High performance electron blocking layer-free InGaN/GaN nanowire white-light-emitting diodes. Opt. Express 2020, 28, 665–675. [Google Scholar] [CrossRef]
- Liu, M.; Zhao, J.; Zhou, S.; Gao, Y.; Hu, J.; Liu, X.; Ding, X. An InGaN/GaN superlattice to enhance the performance of green LEDs: Exploring the role of V-Pits. Nanomaterials 2018, 8, 450. [Google Scholar] [CrossRef] [PubMed] [Green Version]
- Zhou, Q.; Wang, H.; Xu, M.; Zhang, X. Quantum efficiency enhancement of a GaN-Based green Light-Emitting diode by a graded indium composition p-Type InGaN layer. Nanomaterials 2018, 8, 512. [Google Scholar] [CrossRef] [PubMed] [Green Version]
- Pieniak, K.; Chlipala, M.; Turski, H.; Trzeciakowski, W.; Muziol, G.; Staszczak, G.; Kafar, A.; Makarowa, I.; Grzanka, E.; Grzanka, S.; et al. Quantum-confined Stark effect and mechanisms of its screening in InGaN/GaN light-emitting diodes with a tunnel junction. Opt. Express 2021, 29, 1824–1837. [Google Scholar] [CrossRef]
- Li, L.; Li, P.; Wen, Y.; Wen, J.; Zhu, Y. Temperature dependences of photoluminescence and electroluminescence spectra in light-emitting diodes. Appl. Phys. Lett. 2009, 94, 261103. [Google Scholar] [CrossRef]
- Shan, Q.; Cho, Y.S.; Lin, G.B.; Meyaard, D.S.; Cho, J.; Schubert, E.F.; Son, J.K.; Cheolsoo, S. Analysis of parasitic cyan luminescence occurring in GaInN blue light-emitting diodes. J. Appl. Phys. 2012, 112, 253506. [Google Scholar] [CrossRef] [Green Version]
- Lin, G.B.; Schubert, E.F.; Cho, J.; Park, J.H.; Kim, J.K. Onset of the Efficiency Droop in GaInN Quantum Well Light-Emitting Diodes under Photoluminescence and Electroluminescence Excitation. ACS Photonics 2015, 2, 1013–1018. [Google Scholar] [CrossRef]
- El-Ghoroury, H.S.; Yeh, M.; Chen, J.C.; Li, X.; Chuang, C.L. Growth of monolithic full-color GaN-based LED with intermediate carrier blocking layers. Aip Adv. 2016, 6, 3976. [Google Scholar] [CrossRef] [Green Version]
- Schubert, E.F. Light-Emitting Diodes, 2nd ed.; Cambridge University Press: Cambridge, UK, 2006. [Google Scholar]
- Song, J.H.; Kim, H.J.; Ahn, B.J.; Dong, Y.; Hong, S.; Song, J.H.; Moon, Y.; Yuh, H.K.; Choi, S.C.; Shee, S. Internal quantum efficiency and nonradiative recombination coefficient of GaInN/GaN multiple quantum wells with different dislocation densities. Appl. Phys. Lett. 2009, 95, 263503. [Google Scholar] [CrossRef]
- Kubota, M.; Onuma, T.; Ishihara, Y.; Usui, A.; Uedono, A.; Chichibu, S.F. Thermal stability of semi-insulating property of Fe-doped GaN bulk films studied by photoluminescence and monoenergetic positron annihilation techniques. J. Appl. Phys. 2009, 105, 5393. [Google Scholar] [CrossRef]
- Dumcenco, D.O.; Levcenco, S.; Huang, Y.S.; Reynolds, C.L., Jr.; Reynolds, J.G.; Tiong, K.K.; Paskova, T.; Evans, K.R. Characterization of freestanding semi-insulating Fe-doped GaN by photoluminescence and electromodulation spectroscopy. J. Appl. Phys. 2011, 109, 123508. [Google Scholar] [CrossRef]
- Arifin, P.; Sugianto; Subagio, A.; Sutanto, H.; Dwiputra, D.; Florena, F.F.; Keintjem, A.C.; Khaeroni, R. Room-temperature photoluminescence of Mg-doped GaN thin films grown by plasma-assisted MOCVD. AIP Adv. 2020, 10, 045123. [Google Scholar] [CrossRef]
- Bergman, J.P.; Lundström, T.; Monemar, B.; Amano, H.; Akasaki, I. Photoluminescence related to the twodimensional electron gas at a GaN/AlGaN heterointerface. Appl. Phys. Lett. 1996, 69, 3456–3458. [Google Scholar] [CrossRef]
- Reshchikov, M.A.; Morkoç, H. Luminescence properties of defects in GaN. J. Appl. Phys. 2005, 97, 061301. [Google Scholar] [CrossRef]
- Medvedev, O.; Albrecht, M.; Vyvenko, O. Temperature dependence of the cathodoluminescence spectra of irradiated light-emitting-diode structures with multiple InGaN/GaN quantum wells. Phys. Status Solidi A 2019, 216, 1900305. [Google Scholar] [CrossRef]
- Wang, G.; Tao, X.; Liu, J.; Jiang, F. Temperature-dependent electroluminescence from InGaN/GaN green light-emitting diodes on silicon with different quantum-well structures. Semicond. Sci. Technol. 2015, 30, 015018. [Google Scholar]
- Li, J.; Li, C.; Xu, M.; Ji, Z.; Shi, K.; Xu, X.; Li, H.; Xu, X. “W-shaped” injection current dependence of electroluminescence linewidth in green InGaN/GaN-based LED grown on silicon substrate. Opt. Express 2018, 25, A871–A879. [Google Scholar] [CrossRef]
- Li, C.; Ji, Z.; Li, J.; Xu, M.; Xiao, H.; Xu, X. Electroluminescence properties of InGaN/GaN multiple quantum well-based LEDs with different indium contents and different well widths. Sci. Rep. 2017, 7, 15301. [Google Scholar] [CrossRef] [Green Version]
- Liu, J.P.; Ryou, J.H.; Dupuis, R.D.; Han, J.; Shen, G.D.; Wang, H.B. Barrier effect on hole transport and carrier distribution in InGaN/GaN multiple quantum well visible light-emitting diodes. Appl. Phys. Lett. 2008, 93, 021102. [Google Scholar] [CrossRef]
- Mao, A.; Cho, J.; Dai, Q.; Schubert, E.F.; Son, J.K.; Park, Y. Characteristics of dotlike green satellite emission in GaInN light emitting diodes. Appl. Phys. Lett. 2011, 98, 23503. [Google Scholar] [CrossRef] [Green Version]
- Lei, Y.; Liu, Z.; He, M.; Li, Z.; Kang, J.; Yi, X.; Wang, J.; Li, J. Performance enhancement of blue light-emitting diodes by adjusting the p-type doped last barrier. Appl. Phys. A 2014, 115, 1115–1119. [Google Scholar] [CrossRef]
- Hwang, S.; Ha, W.J.; Kim, J.K.; Xu, J.; Cho, J.; Schubert, E.F. Promotion of hole injection enabled by GaInN/GaN light-emitting triodes and its effect on the efficiency droop. Appl. Phys. Lett. 2011, 99, 181115. [Google Scholar] [CrossRef] [Green Version]
- Reshchikov, M.A.; Demchenko, D.O.; McNamara, J.D.; Fernandez-Garrido, S.; Calarco, R. Green luminescence in Mg-doped GaN. Phys. Rev. B 2014, 90, 035207. [Google Scholar] [CrossRef] [Green Version]
- Chichibu, S.F.; Shima, K.; Kojima, K.; Takashima, S.Y.; Ueno, K.; Edo, M.; Iguchi, H.; Narita, T.; Kataoka, K.; Ishibashi, S. Room temperature photoluminescence lifetime for the near-band-edge emission of epitaxial and ion-implanted GaN on GaN structures. Jpn. J. Appl. Phys. 2019, 58, SC0802. [Google Scholar] [CrossRef]
- Cho, Y.H.; Gainer, G.H.; Fischer, A.J.; Song, J.J.; Keller, S.; Mishra, U.K.; DenBaars, S.P. Influence of excitation power and temperature on photoluminescence in InGaN/GaN multiple quantum wells. Appl. Phys. Lett. 1998, 73, 1370. [Google Scholar] [CrossRef]
- Cao, X.A.; LeBoeuf, S.F.; Rowland, L.B.; Liu, H. Temperature-dependent electroluminescence in InGaN/GaN multiple-quantum-well light-emitting diodes. J. Electron. Mater. 2003, 32, 316–321. [Google Scholar] [CrossRef]
- Cao, X.A.; LeBoeuf, S.F.; Rowland, L.B.; Yan, C.H.; Liu, H. Temperature-dependent emission intensity and energy shift in InGaN/GaN multiplequantum-well light-emitting diodes. Appl. Phys. Lett. 2003, 82, 3614. [Google Scholar] [CrossRef]
- Wang, H.; Ji, Z.; Xiao, H.; Wang, M.; Qu, S.; Shen, Y.; Xu, X. Influence of injection current and temperature on electroluminescence in InGaN/GaN multiple quantum wells. Phys. E 2014, 59, 56–59. [Google Scholar] [CrossRef]





Publisher’s Note: MDPI stays neutral with regard to jurisdictional claims in published maps and institutional affiliations. |
© 2021 by the authors. Licensee MDPI, Basel, Switzerland. This article is an open access article distributed under the terms and conditions of the Creative Commons Attribution (CC BY) license (https://creativecommons.org/licenses/by/4.0/).
Share and Cite
Li, J.; Chen, D.; Li, K.; Wang, Q.; Shi, M.; Cheng, C.; Leng, J. Carrier Dynamics in InGaN/GaN-Based Green LED under Different Excitation Sources. Crystals 2021, 11, 1061. https://doi.org/10.3390/cryst11091061
Li J, Chen D, Li K, Wang Q, Shi M, Cheng C, Leng J. Carrier Dynamics in InGaN/GaN-Based Green LED under Different Excitation Sources. Crystals. 2021; 11(9):1061. https://doi.org/10.3390/cryst11091061
Chicago/Turabian StyleLi, Jianfei, Duo Chen, Kuilong Li, Qiang Wang, Mengyao Shi, Chen Cheng, and Jiancai Leng. 2021. "Carrier Dynamics in InGaN/GaN-Based Green LED under Different Excitation Sources" Crystals 11, no. 9: 1061. https://doi.org/10.3390/cryst11091061
APA StyleLi, J., Chen, D., Li, K., Wang, Q., Shi, M., Cheng, C., & Leng, J. (2021). Carrier Dynamics in InGaN/GaN-Based Green LED under Different Excitation Sources. Crystals, 11(9), 1061. https://doi.org/10.3390/cryst11091061
