The Role of Acidity in the Synthesis of Novel Uranyl Selenate and Selenite Compounds and Their Structures
Abstract
:1. Introduction
2. Experimental
2.1. Synthesis
2.2. Single Crystal X-Ray Diffraction
2.3. Bond Valence Sums
3. Results and Discussion
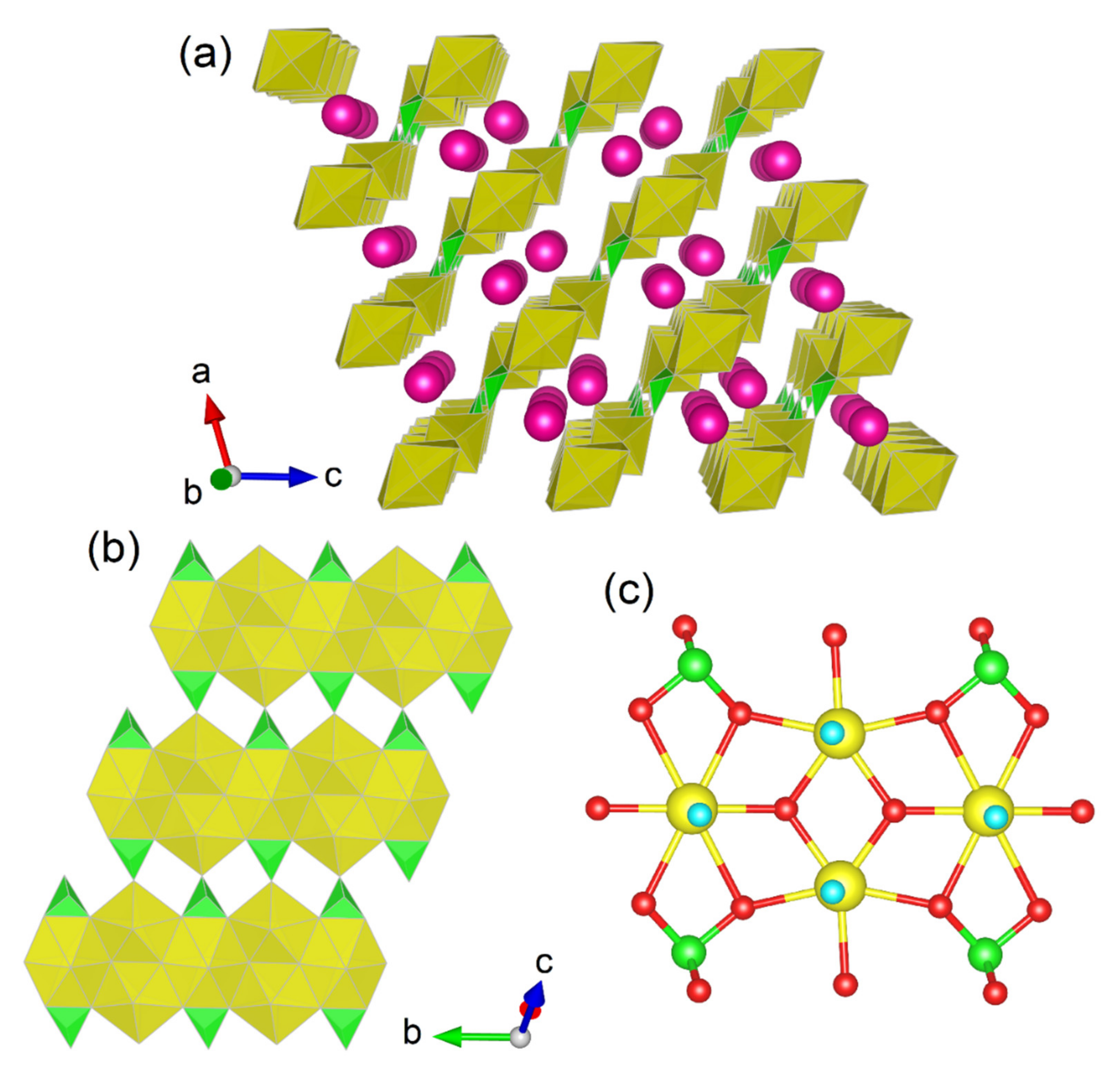
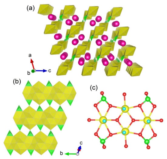
3.1. Structural Studies (a) Rb2[(UO2)2(SeO4)3]
3.2. Structural Studies (b) Rb2[(UO2)3(SeO3)2O2]
3.3. Structural Studies (c) Rb2[UO2(SeO4)2(H2O)]·2H2O
3.4. Structural Studies (d) (UO2)2(HSeO3)2(H2SeO3)2Se2O5
3.5. Synthesis and Structural Trends in Uranyl Selenites/Selenates
4. Conclusions
Author Contributions
Funding
Data Availability Statement
Conflicts of Interest
References
- Guo, S.-P.; Chi, Y.; Guo, G.-C. Recent achievements on middle and far-infrared second-order nonlinear optical materials. Coord. Chem. Rev. 2017, 335, 44–57. [Google Scholar] [CrossRef]
- Abudurusuli, A.; Li, J.; Pan, S. A review on the recently developed promising infrared nonlinear optical materials. Dalton Trans. 2021, 50, 3155–3160. [Google Scholar] [CrossRef]
- Dineva, P.; Gross, D.; Müller, R.; Rangelov, T. Piezoelectric materials. In Dynamic Fracture of Piezoelectric Materials; Springer: Berlin, Germany, 2014; pp. 7–32. [Google Scholar]
- Xu, Y. >Ferroelectric Materials and Their Applications; Elsevier: Amsterdam, The Netherlands, 2013. [Google Scholar]
- Lin, J.; Liu, Q.; Yue, Z.; Diefenbach, K.; Cheng, L.; Lin, Y.; Wang, J.-Q. Expansion of the structural diversity of f-element bearing molybdate iodates: Synthesis, structures, and optical properties. Dalton Trans. 2019, 48, 4823–4829. [Google Scholar] [CrossRef]
- Qie, M.; Lin, J.; Kong, F.; Silver, M.A.; Yue, Z.; Wang, X.; Zhang, L.; Bao, H.; Albrecht-Schmitt, T.E.; Wang, J.-Q. A Large Family of Centrosymmetric and Chiral f-Element-Bearing Iodate Selenates Exhibiting Coordination Number and Dimensional Reductions. Inorg. Chem. 2018, 57, 1676–1683. [Google Scholar] [CrossRef]
- Wang, Y.; Duan, T.; Weng, Z.; Ling, J.; Yin, X.; Chen, L.; Sheng, D.; Diwu, J.; Chai, Z.; Liu, N.; et al. Mild Periodic Acid Flux and Hydrothermal Methods for the Synthesis of Crystalline f-Element-Bearing Iodate Compounds. Inorg. Chem. 2017, 56, 13041–13050. [Google Scholar] [CrossRef]
- Wang, Y.; Yin, X.; Liu, W.; Xie, J.; Chen, J.; Silver, M.A.; Sheng, D.; Chen, L.; Diwu, J.; Liu, N.; et al. Emergence of Uranium as a Distinct Metal Center for Building Intrinsic X-ray Scintillators. Angew. Chem. Int. Ed. 2018, 57, 7883–7887. [Google Scholar] [CrossRef] [PubMed]
- Xu, X.; Hu, C.-L.; Li, B.-X.; Yang, B.-P.; Mao, J.-G. α-AgI3O8 and β-AgI3O8 with large SHG responses: Polymerization of IO3 groups into the I3O8 polyiodate anion. Chem. Mater. 2014, 26, 3219–3230. [Google Scholar] [CrossRef]
- Phanon, D.; Gautier-Luneau, I. Promising material for infrared nonlinear optics: NaI3O8 salt containing an octaoxotriiodate (V) anion formed from condensation of [IO3]− ions. Angew. Chem. Int. Ed. 2007, 46, 8488–8491. [Google Scholar] [CrossRef] [PubMed]
- Chen, J.; Hu, C.-L.; Mao, F.-F.; Yang, B.-P.; Zhang, X.-H.; Mao, J.-G. REI5O14 (RE=Y and Gd): Promising SHG Materials Featuring the Semicircle-Shaped I5O143− Polyiodate Anion. Angew. Chem. Int. Ed. 2019, 58, 11666–11669. [Google Scholar] [CrossRef] [PubMed]
- Trombe, J.; Gleizes, A.; Galy, J. Structure of a uranyl diselenite, UO2Se2O5. Acta Crystallogr. Sect. C Cryst. Struct. Commun. 1985, 41, 1571–1573. [Google Scholar] [CrossRef]
- Ok, K.M.; Halasyamani, P.S. New selenites: Syntheses, structures, and characterization of centrosymmetric Al2(Se2O5)3 and Ga2(Se2O5)3 and non-centrosymmetric In2(Se2O5)3. Chem. Mater. 2002, 14, 2360–2364. [Google Scholar] [CrossRef]
- Murphy, G.L.; Wang, Y.; Kegler, P.; Wang, Y.; Wang, S.; Alekseev, E.V. The first actinide polyiodate: A complex multifunctional compound with promising X-ray luminescence properties and proton conductivity. Chem. Commun. 2021, 57, 496–499. [Google Scholar] [CrossRef]
- Mao, F.-F.; Hu, C.-L.; Chen, J.; Wu, B.-L.; Mao, J.-G. HBa2. 5(IO3)6(I2O5) and HBa(IO3)(I4O11): Explorations of Second-Order Nonlinear Optical Materials in the Alkali-Earth Polyiodate System. Inorg. Chem. 2019, 58, 3982–3989. [Google Scholar] [CrossRef]
- Abudouwufu, T.; Zhang, M.; Cheng, S.; Zeng, H.; Yang, Z.; Pan, S. K2Na(IO3)2(I3O8) with Strong Second Harmonic Generation Response Activated by Two Types of Isolated Iodate Anions. Chem. Mater. 2020, 32, 3608–3614. [Google Scholar] [CrossRef]
- Murphy, G.L.; Langer, E.M.; Walter, O.; Wang, Y.; Wang, S.; Alekseev, E.V. Insights into the Structural Chemistry of Anhydrous and Hydrous Hexavalent Uranium and Neptunium Dinitrato, Trinitrato, and Tetranitrato Complexes. Inorg. Chem. 2020, 59, 7204–7215. [Google Scholar] [CrossRef]
- Gurzhiy, V.V.; Tyumentseva, O.S.; Kornyakov, I.V. Uranyl Nitrates: By-Products of the Synthetic Experiments or Key Indicators of the Reaction Progress? Crystals 2020, 10, 1122. [Google Scholar] [CrossRef]
- Siidra, O.I.; Nazarchuk, E.V.; Kayukov, R.A.; Bubnova, R.S.; Krivovichev, S.V. CrVI→ CrV Transition in Uranyl Chromium Compounds: Synthesis and High-temperature X-ray Diffraction Study of Cs2[(UO2)2(CrO4)3]. Z. Anorg. Allg. Chem. 2013, 639, 2302–2306. [Google Scholar] [CrossRef]
- Nazarchuk, E.V.; Siidra, O.I.; Charkin, D.O.; Kalmykov, S.N.; Kotova, E.L. Effect of solution acidity on the crystallization of polychromates in uranyl-bearing systems: Synthesis and crystal structures of Rb2[(UO2)(Cr2O7)(NO3)2] and two new polymorphs of Rb2Cr3O10. Z. Krist. Cryst. Mater. 2021, 236, 11–21. [Google Scholar] [CrossRef]
- Nazarchuk, E.V.; Ikhalaynen, Y.A.; Charkin, D.O.; Siidra, O.I.; Petrov, V.G.; Kalmykov, S.N.; Borisov, A.S. Effect of solution acidity on the structure of amino acid-bearing uranyl compounds. Radiochim. Acta 2019, 107, 311–325. [Google Scholar] [CrossRef]
- Nazarchuk, E.V.; Charkin, D.O.; Siidra, O.I. Successive crystallization of organically templated uranyl sulfates: Synthesis and crystal structures of [pyH](H3O)[(UO2)3(SO 4)4(H2O)2],[pyH]2[(UO2)6(SO4)7(H2O)], and [pyH] 2[(UO2)2(SO4)3]. ChemEngineering 2021, 5, 5. [Google Scholar] [CrossRef]
- Langer, E.M.; Walter, O.; Colle, J.-Y.; Bosbach, D.; Alekseev, E.V. Unexpected Behavior of Np in Oxo-selenate/Oxo-selenite Systems. Inorg. Chem. 2018, 57, 1604–1613. [Google Scholar] [CrossRef]
- Kleykamp, H. The Chemical State of the Fission-Products in Oxide Fuels. J. Nucl. Mater. 1985, 131, 221–246. [Google Scholar] [CrossRef]
- Kleykamp, H. The Chemical-State of Fission-Products in Oxide Fuels at different Stages of the Nuclear-Fuel Cycle. Nucl. Technol. 1988, 80, 412–422. [Google Scholar] [CrossRef]
- Murphy, G.; Kennedy, B.J.; Johannessen, B.; Kimpton, J.A.; Avdeev, M.; Griffith, C.S.; Thorogood, G.J.; Zhang, Z.M. Structural studies of the rhombohedral and orthorhombic monouranates: CaUO4, alpha-SrUO4, beta-SrUO4 and BaUO4. J. Solid State Chem. 2016, 237, 86–92. [Google Scholar] [CrossRef]
- Hao, Y.; Klepov, V.V.; Murphy, G.L.; Modolo, G.; Bosbach, D.; Albrecht-Schmitt, T.E.; Kennedy, B.J.; Wang, S.; Alekseev, E.V. Influence of Synthetic Conditions on Chemistry and Structural Properties of Alkaline Earth Uranyl Borates. Cryst. Growth Des. 2016, 16, 5923–5931. [Google Scholar] [CrossRef]
- Murphy, G.L.; Kennedy, B.J.; Kimpton, J.A.; Gu, Q.; Johannessen, B.; Beridze, G.; Kowalski, P.M.; Bosbach, D.; Avdeev, M.; Zhang, Z. Nonstoichiometry in Strontium Uranium Oxide: Understanding the Rhombohedral–Orthorhombic Transition in SrUO4. Inorg. Chem. 2016, 55, 9329–9334. [Google Scholar] [CrossRef]
- Hao, Y.; Murphy, G.L.; Bosbach, D.; Modolo, G.; Albrecht-Schmitt, T.E.; Alekseev, E.V. Porous Uranyl Borophosphates with Unique Three-Dimensional Open-Framework Structures. Inorg. Chem. 2017, 56, 9311–9320. [Google Scholar] [CrossRef] [PubMed]
- Murphy, G.L.; Kegler, P.; Klinkenberg, M.; Wang, S.; Alekseev, E.V. Extreme condition high temperature and high pressure studies of the K–U–Mo–O system. Dalton Trans. 2020, 49, 15843–15853. [Google Scholar] [CrossRef]
- Murphy, G.L.; Zhang, Z.; Tesch, R.; Kowalski, P.M.; Avdeev, M.; Kuo, E.Y.; Gregg, D.J.; Kegler, P.; Alekseev, E.V.; Kennedy, B.J. Tilting and Distortion in Rutile-Related Mixed Metal Ternary Uranium Oxides: A Structural, Spectroscopic, and Theoretical Investigation. Inorg. Chem. 2021, 60, 2246–2260. [Google Scholar] [CrossRef]
- Bean, A.C.; Campana, C.F.; Kwon, O.; Albrecht-Schmitt, T.E. A New Oxoanion: [IO4]3- Containing I(V) with a Stereochemically Active Lone-Pair in the Silver Uranyl Iodate Tetraoxoiodate(V), Ag4(UO2)4(IO3)2(IO4)2O2. J. Am. Chem. Soc. 2001, 123, 8806–8810. [Google Scholar] [CrossRef]
- Bean, A.C.; Peper, S.M.; Albrecht-Schmitt, T.E. Structural Relationships, Interconversion, and Optical Properties of the Uranyl Iodates, UO2(IO3)2 and UO2(IO3)2(H2O): A Comparison of Reactions under Mild and Supercritical Conditions. Chem. Mater. 2001, 13, 1266–1272. [Google Scholar] [CrossRef]
- Liu, H.; Qin, H.; Shen, N.; Yan, S.; Wang, Y.; Yin, X.; Chen, X.; Zhang, C.; Dai, X.; Zhou, R.; et al. Emergence of a Radical-Stabilizing Metal–Organic Framework as a Radio-photoluminescence Dosimeter. Angew. Chem. Int. Ed. 2020, 57. [Google Scholar] [CrossRef]
- Gui, D.; Duan, W.; Shu, J.; Zhai, F.; Wang, N.; Wang, X.; Xie, J.; Li, H.; Chen, L.; Diwu, J.; et al. Persistent Superprotonic Conductivity in the Order of 10−1 S·cm−1 Achieved Through Thermally Induced Structural Transformation of a Uranyl Coordination Polymer. CCS Chem. 2019, 1, 197–206. [Google Scholar] [CrossRef] [Green Version]
- Wang, Y.; Yin, X.; Chen, J.; Wang, Y.; Chai, Z.; Wang, S. Gleaming Uranium: An Emerging Emitter for Building X-ray Scintillators. Chem. Eur. J. 2020, 26, 1900–1905. [Google Scholar] [CrossRef]
- Murphy, G.L.; Kegler, P.; Zhang, Y.; Zhang, Z.; Alekseev, E.V.; de Jonge, M.D.; Kennedy, B.J. High-pressure synthesis, structural, and spectroscopic studies of the Ni–U–O system. Inorg. Chem. 2018, 57, 13847–13858. [Google Scholar] [CrossRef]
- Murphy, G.L.; Wang, C.H.; Zhang, Z.M.; Kowalski, P.M.; Beridze, G.; Avdeev, M.; Muransky, O.; Brand, H.E.A.; Gu, Q.F.; Kennedy, B.J. Controlling Oxygen Defect Formation and Its Effect on Reversible Symmetry Lowering and Disorder-to-Order Phase Transformations in Nonstoichiometric Ternary Uranium Oxides. Inorg. Chem. 2019, 58, 6143–6154. [Google Scholar] [CrossRef]
- Sheldrick, G. A short history of SHELX. Acta Crystallogr. Sect. A 2008, 64, 112–122. [Google Scholar] [CrossRef] [Green Version]
- Spek, A. Single-crystal structure validation with the program PLATON. J. Appl. Crystallogr. 2003, 36, 7–13. [Google Scholar] [CrossRef] [Green Version]
- Burns, P.C.; Ewing, R.C.; Hawthorne, F.C. The crystal chemistry of hexavalent uranium: Polyhedron geometries, bond-valence parameters, and polymerization of polyhedra. Can. Mineral. 1997, 35, 1551–1570. [Google Scholar]
- Brese, N.E.; O’Keeffe, M. Bond-valence parameters for solids. Acta Crystallogr. Sect. B 1991, 47, 192–197. [Google Scholar] [CrossRef]
- Murphy, G.L.; Zhang, Z.; Kennedy, B.J. The Solid-State Uranium Chemistry of Ternary AUO4 Oxides: A Review. In Complex Oxides: An Introduction; World Scientific: Singapore, 2019; pp. 103–130. [Google Scholar]
- Xiao, B.; Kegler, P.; Gesing, T.M.; Robben, L.; Blanca-Romero, A.; Kowalski, P.M.; Li, Y.; Klepov, V.; Bosbach, D.; Alekseev, E.V. Giant Volume Change and Topological Gaps in Temperature- and Pressure-Induced Phase Transitions: Experimental and Computational Study of ThMo2O8. Chem. Eur. J. 2016, 22, 946–958. [Google Scholar] [CrossRef] [PubMed]
- Ghazisaeed, S.; Kiefer, B.; Plášil, J. Revealing hydrogen atoms in a highly-absorbing material: An X-ray diffraction study and Torque method calculations for lead-uranyl-oxide mineral curite. RSC Adv. 2019, 9, 10058–10063. [Google Scholar] [CrossRef] [Green Version]
- Plášil, J.; Veselovský, F.; Hloušek, J.; Škoda, R.; Novák, M.; Sejkora, J.; Čejka, J.; Škácha, P.; Kasatkin, A.V. Mathesiusite, K5(UO2)4(SO4)4(VO5)(H2O)4, a new uranyl vanadate-sulfate from Jáchymov, Czech Republic. Am. Miner. 2014, 99, 625–632. [Google Scholar] [CrossRef]
- Ross, M.; Evans, H.T. The crystal structure of cesium biuranyl trisulphate, Cs2(UO2)2(SO4)3. J. Inorg. Nucl. Chem. 1960, 15, 338–351. [Google Scholar] [CrossRef]
- Krivovichev, S.V.; Cahill, C.L.; Burns, P.C. Syntheses and Crystal Structures of Two Topologically Related Modifications of Cs2[(UO2)2(MoO4)3]. Inorg. Chem. 2002, 41, 34–39. [Google Scholar] [CrossRef]
- Almond, P.M.; Albrecht-Schmitt, T.E. Hydrothermal synthesis and crystal chemistry of the new strontium uranyl selenites, Sr[(UO2)3(SeO3)2O2]⋅4H2O and Sr[UO2(SeO3)2]. Am. Miner. 2004, 89, 976–980. [Google Scholar] [CrossRef]
- Wylie, E.M.; Burns, P.C. Crystal structures of six new uranyl selenate and selenite compounds and their relationship with uranyl mineral structures. Can. Miner. 2012, 50, 147–157. [Google Scholar] [CrossRef]
- Cooper, M.A.; Hawthorne, F.C. The crystal structure of guilleminite, a hydrated Ba-U-Se sheet structure. Can. Miner. 1995, 33, 1103–1109. [Google Scholar]
- Gurzhiy, V.V.; Kuporev, I.V.; Kovrugin, V.M.; Murashko, M.N.; Kasatkin, A.V.; Plášil, J. Crystal Chemistry and Structural Complexity of Natural and Synthetic Uranyl Selenites. Crystals 2019, 9, 639. [Google Scholar] [CrossRef] [Green Version]
- Cooper, M.A.; Hawthorne, F.C. Structure topology and hydrogen bonding in marthozite, Cu2+ [(UO2)3(SeO3)2O2](H2O)8, a comparison with guilleminite, Ba[(UO2)3(SeO3)2O2](H2O)3. Can. Miner. 2001, 39, 797–807. [Google Scholar] [CrossRef]
- Krivovichev, S.V.; Kahlenberg, V. Structural Diversity of Sheets in Rubidium Uranyl Oxoselenates: Synthesis and Crystal Structures of Rb2[(UO2)(SeO4)2(H2O)](H2O), Rb2[(UO2)2(SeO4)3(H2O)2](H2O)4, and Rb4[(UO2)3(SeO4)5(H2O)]. Z. Anorg. Allg. Chem. 2005, 631, 739–744. [Google Scholar] [CrossRef]
- Serezhkin, V.N.; Verevkin, A.V.; Smirnov, O.; PlakhtjÐ, V. Neutron diffraction study of Rb2UO2(SeO4)2·2D2O. Russ. J. Inorg. Chem. 2010, 55, 1600–1606. [Google Scholar] [CrossRef]
- Jin, G.B.; Ling, J.; Estes, S.L.; Skanthakumar, S.; Soderholm, L. Influence of Countercation Hydration Enthalpies on the Formation of Molecular Complexes: A Thorium-Nitrate Example. J. Am. Chem. Soc. 2017, 139, 18003–18008. [Google Scholar] [CrossRef] [PubMed]
- Kampf, A.R.; Plášil, J.; Kasatkin, A.V.; Marty, J. Bobcookite, NaAl(UO2)2(SO4)4·18H2O and wetherillite, Na2Mg(UO2)2(SO4)4·18H2O, two new uranyl sulfate minerals from the Blue Lizard mine, San Juan County, Utah, USA. Mineral. Mag. 2015, 79, 695–714. [Google Scholar] [CrossRef]
- Plasil, J.; Hlousek, J.; Kasatkin, A.V.; Novak, M.; Cejka, J.; Lapcak, L. Svornostite, K2Mg[(UO2)(SO4)2]2∙8H2O, a new uranyl sulfate mineral from Jachymov, Czech Republic. J. Geosci. 2015, 60, 113–121. [Google Scholar] [CrossRef] [Green Version]
- Gurzhiy, V.V.; Kovrugin, V.M.; Tyumentseva, O.S.; Mikhaylenko, P.A.; Krivovichev, S.V.; Tananaev, I.G. Topologically and geometrically flexible structural units in seven new organically templated uranyl selenates and selenite–selenates. J. Solid State Chem. 2015, 229, 32–40. [Google Scholar] [CrossRef]
- Chung, J.Y.; Jo, H.; Yeon, S.; Byun, H.R.; You, T.-S.; Jang, J.I.; Ok, K.M. Bi3(SeO3)3(Se2O5)F: A Polar Bismuth Selenite Fluoride with Polyhedra of Highly Distortive Lone Pair Cations and Strong Second-Harmonic Generation Response. Chem. Mater. 2020, 32, 7318–7326. [Google Scholar] [CrossRef]
- Valkonen, J. Crystal structures, infrared-spectra, and thermal behavior of calcium hydrogenselenite monohydrate, Ca(HSeO3)2·H2O, and dicalcium diselenite bis(hydrogenselenite), Ca2(HSeO3)2(Se2O5). J. Solid State Chem. 1986, 65, 363–369. [Google Scholar] [CrossRef]
- Frost, R.; Weier, M.; Bostrom, T.; Cejka, J.; Martens, W. Molecular structure of the uranyl mineral zippeite-An XRD, SEM and Raman spectroscopic study. Neues Jahrb. Mineral. Abh. 2005, 181, 271–279. [Google Scholar] [CrossRef]




| Compound | Rb2[(UO2)2(SeO4)3] | Rb2[(UO2)3(SeO3)2O2] | Rb2[UO2(SeO4)2(H2O)]·2H2O | (UO2)2(HSeO3)2(H2SeO3)2Se2O5 |
|---|---|---|---|---|
| Formula weight | 2279.76 | 1210.88 | 1549.78 | 1285.82 |
| Crystal system | Tetragonal | Triclinic | Orthorhombic | Orthorhombic |
| Space group | P42/ncm | P | Pmn21 | Cmc21 |
| a (Å) | 9.8312(4) | 7.0116(6) | 13.041(3) | 28.4752(12) |
| b (Å) | 9.8312(4) | 7.0646(6) | 8.579(2) | 6.3410(3) |
| c (Å) | 15.4924(9) | 8.1793(7) | 11.583(2) | 10.8575(6) |
| α (°) | 90 | 103.318(7) | 90 | 90 |
| β (°) | 90 | 105.968(7) | 90 | 90 |
| γ (°) | 90 | 100.642(7) | 90 | 90 |
| Volume (Å3) | 1497.38(15) | 365.48(6) | 1295.9(5) | 1960.45(16) |
| Flack Parameter | 0 | 0 | -0.009(12) | −0.005(14) |
| Z/μ (mm−1) | 2/35.435 | 1/42.639 | 2/25.663 | 4/27.737 |
| F(000) | 1952.0 | 505.7 | 1352.0 | 2224.0 |
| dcalcd (g cm−3) | 5.056 | 5.502 | 3.972 | 4.357 |
| GOF | 1.023 | 1.018 | 0.956 | 0.859 |
| Final R1 a [I > 2σ(I)] | 0.0459 | 0.0643 | 0.0481 | 0.0377 |
| Final wR2 b [I > 2σ(I)] | 0.1374 | 0.1751 | 0.1045 | 0.1097 |
| S | 1.023 | 1.018 | 0.956 | 0.859 |
| U | Se(1) | Se(2) | Rb(1) | Rb(2) | Σ | |
|---|---|---|---|---|---|---|
| O1 | 1.717 | 0.116 x2↓ | 1.83 | |||
| O2 | 0.543 | 1.55 | 2.09 | |||
| O3 | 1.800 | 0.121 x2↓ | 1.92 | |||
| O4 | 0.498 x2↓ | 1.430 x2↓ | 0.053 x4↓ | 0.058 x4↓ | 2.04 | |
| O5 | 0.526 x2↓ | 1.540 x4↓ | 0.087 x4↓ | 2.15 | ||
| O6 | 1.68 | 0.073 x4↓ | 0.052 x4↓ | 1.81 | ||
| Σ | 6.11 | 6.16 | 6.09 | 0.96 | 0.79 |
| U(1) | U(2) | Se(1) | Rb(1) | Σ | |
|---|---|---|---|---|---|
| O1 | 0.361 x2↓ | 0.473 | 1.418 | 2.30 | |
| O2 | 1.570 x2↓ | 0.196 + 0.151 ↓ | 1.91 | ||
| O3 | 1.59 | 0.206 + 0.184 ↓ | 1.98 | ||
| O4 | 1.70 | 0.198 | 1.90 | ||
| O5 | 0.529 | 1.421 | 0.204 | 2.154 | |
| O6 | 0.274 x2↓ | 0.510 | 1.415 | 0.0390 | 2.24 |
| O7 | 0.665 x2↓ | 0.675 x2↓ | 0.105 | 1.44 | |
| Σ | 5.74 | 6.12 | 4.26 | 1.28 |
| U | Se(1) | Se(2) | Rb(1) | Rb(2) | Rb(3) | Rb(4) | Σ | ||
|---|---|---|---|---|---|---|---|---|---|
| O1 | 0.533 | 1.404 | 1.94 | ||||||
| O2 | 0.466 | 0.138 | 0.60 | ||||||
| O3 | 0.557 | 1.480 | 0.138 | 2.175 | |||||
| O4 | 1.762^ | 0.090 x2↓ | 0.115 x2↓ | 1.957 | |||||
| O5 | 0.094 | 0.135 | 0.229 | ||||||
| O6 | 0.582 | 1.429 | 2.011 | ||||||
| O7 | 1.732 | 0.088 x2↓ | 0.070 x2↓ | 1.89 | |||||
| O8 | 1.598 | 0.160 x2↓ | 0.065 x2↓ | 0.074 x2↓ | 1.897 | ||||
| O9 | 1.581 | 0.148 x2↓ | 0.101 x2↓ | 1.83 | |||||
| O10 | 1.627 | 0.150 x2↓ | 0.109 x2↓ | 1.886 | |||||
| O11 | 0.553 | 1.563 | 0.050 x2↓ | 2.011 | |||||
| O12 | 1.590 | 0.080 x2↓ | 1.67 | ||||||
| O13 | 0.095 | 0.050 | 0.145 | ||||||
| O14 | 0.010 | 0.185 | 0.20 | ||||||
| O15 | 0.105 | 0.114 | 0.219 | ||||||
| Σ | 6.19 | 6.17 | 6.09 | 1.00 | 0.80 | 0.97 | 0.99 |
| U | Se(1) | Se(2) | Se(3) | Se(4) | Σ | |
|---|---|---|---|---|---|---|
| O1 | 1.688 | 1.70 | ||||
| O2 | 1.066 | 1.07 | ||||
| O3 | 1.167 | 1.18 | ||||
| O4 | 0.455 | 1.560 | 2.02 | |||
| O5 | 0.550 | 1.453 | 2.00 | |||
| O6 | 1.705 | 1.71 | ||||
| O7 | 1.230 | 1.23 | ||||
| O8 | 1.03 | 0.994 | 2.02 | |||
| O9 | 0.557 | 1.547 x2↓ | 2.10 | |||
| O10 | 0.537 | 1.53 x2↓ | 2.07 | |||
| O11 | 0.561 | 1.527 | 2.09 | |||
| Σ | 6.05 | 3.96 | 4.08 | 4.05 | 4.09 |
Publisher’s Note: MDPI stays neutral with regard to jurisdictional claims in published maps and institutional affiliations. |
© 2021 by the authors. Licensee MDPI, Basel, Switzerland. This article is an open access article distributed under the terms and conditions of the Creative Commons Attribution (CC BY) license (https://creativecommons.org/licenses/by/4.0/).
Share and Cite
Murphy, G.L.; Kegler, P.; Langer, E.M.; Alekseev, E.V. The Role of Acidity in the Synthesis of Novel Uranyl Selenate and Selenite Compounds and Their Structures. Crystals 2021, 11, 965. https://doi.org/10.3390/cryst11080965
Murphy GL, Kegler P, Langer EM, Alekseev EV. The Role of Acidity in the Synthesis of Novel Uranyl Selenate and Selenite Compounds and Their Structures. Crystals. 2021; 11(8):965. https://doi.org/10.3390/cryst11080965
Chicago/Turabian StyleMurphy, Gabriel L., Philip Kegler, Eike M. Langer, and Evgeny V. Alekseev. 2021. "The Role of Acidity in the Synthesis of Novel Uranyl Selenate and Selenite Compounds and Their Structures" Crystals 11, no. 8: 965. https://doi.org/10.3390/cryst11080965
APA StyleMurphy, G. L., Kegler, P., Langer, E. M., & Alekseev, E. V. (2021). The Role of Acidity in the Synthesis of Novel Uranyl Selenate and Selenite Compounds and Their Structures. Crystals, 11(8), 965. https://doi.org/10.3390/cryst11080965

