Fluorescent Azobenzene-Containing Compounds: From Structure to Mechanism
Abstract
:1. Introduction
- Substituent effect;
- Inhibition of the electron transfer;
- Induced aggregation;
- Other mechanism.
2. Effect of Substituents on Azobenzene Isomerization
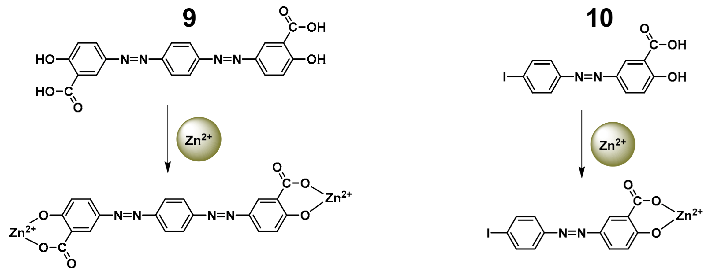
3. Inhibition the PET and ICT
4. Fluorescence from Aggregation
4.1. Fluorescence from Aggregated Azobenzenes without Photo Irradiation
4.2. Light-Driven Self-Assembly and Fluorescence Enhancement
5. Enhanced Fluorescence in Special Cases
6. Conclusions and Outlook
Author Contributions
Funding
Institutional Review Board Statement
Informed Consent Statement
Data Availability Statement
Conflicts of Interest
References
- Hartley, G.S. The cis-form of azobenzene. Nature 1937, 140, 281. [Google Scholar] [CrossRef]
- Wang, M.; Sayed, S.M.; Guo, L.-X.; Lin, B.-P.; Zhang, X.-Q.; Sun, Y.; Yang, H. Multi-stimuli responsive carbon nanotube incorporated polysiloxane azobenzene liquid crystalline elastomer composites. Macromolecules 2016, 49, 663–671. [Google Scholar] [CrossRef]
- Yang, R.; Zhao, D.; Dong, G.; Liu, Y.; Wang, D. Synthesis and characterization of photo-responsive thermotropic liquid crystals based on azobenzene. Crystals 2018, 8, 147. [Google Scholar] [CrossRef] [Green Version]
- Wei, Z.; Deng, Y.; Yu, M.; Yu, H. Sunlight helps self-healing of liquid-crystalline gels of lignin-graft pmma doped with go and azobenzene. Liq. Cryst. 2020, 47, 1170–1179. [Google Scholar] [CrossRef]
- Lu, X.; Guo, S.; Tong, X.; Xia, H.; Zhao, Y. Tunable photocontrolled motions using stored strain energy in malleable azobenzene liquid crystalline polymer actuators. Adv. Mater. 2017, 29, 1606467. [Google Scholar] [CrossRef]
- Bugakov, M.; Boiko, N.; Abramchuk, S.; Zhu, X.; Shibaev, V. Azobenzene-containing liquid crystalline block copolymer supramolecular complexes as a platform for photopatternable colorless materials. J. Mater. Chem. C 2020, 8, 1225–1230. [Google Scholar] [CrossRef]
- Alaasar, M.; Schmidt, J.-C.; Darweesh, A.F.; Tschierske, C. Azobenzene-based supramolecular liquid crystals: The role of core fluorination. J. Mol. Liq. 2020, 310, 113252. [Google Scholar] [CrossRef]
- Zhang, X.-X.; Zhang, J.-H.; Cong, Y.-H.; Wang, Q.-L.; Jia, Y.-G. Synthesis, mesomorphic and photo-switching behaviours of novel azobenzene chiral liquid crystals containing (-)-menthyl. Liq. Cryst. 2020, 47, 1345–1353. [Google Scholar] [CrossRef]
- Gunnlaugsson, T.; Leonard, J.P.; Murray, N.S. Highly selective colorimetric naked-eye Cu(II) detection using an azobenzene chemosensor. Org. Lett. 2004, 6, 1557–1560. [Google Scholar] [CrossRef]
- Poutanen, M.; Ahmed, Z.; Rautkari, L.; Ikkala, O.; Priimagi, A. Thermal isomerization of hydroxyazobenzenes as a platform for vapor sensing. ACS Macro Lett. 2018, 7, 381–386. [Google Scholar] [CrossRef] [Green Version]
- Lee, K.E.; Lee, J.U.; Seong, D.G.; Um, M.-K.; Lee, W. Highly sensitive ultraviolet light sensor based on photoactive organic gate dielectrics with an azobenzene derivative. J. Phys. Chem. C 2016, 120, 23172–23179. [Google Scholar] [CrossRef]
- Moniruzzaman, M.; Rock, J. Azobenzene-based gel coated fibre bragg grating sensor for moisture measurement. Int. J. Polym. Sci. 2016, 2016, 8471903. [Google Scholar] [CrossRef] [Green Version]
- Ansari, M.; Bera, R.; Mondal, S.; Das, N. Triptycene-derived photoresponsive fluorescent azo-polymer as chemosensor for picric acid detection. ACS Omega 2019, 4, 9383–9392. [Google Scholar] [CrossRef] [PubMed] [Green Version]
- Jochum, F.D.; Borg, L.Z.; Roth, P.J.; Theato, P. Thermo- and light-responsive polymers containing photoswitchable azobenzene end groups. Macromolecules 2009, 42, 7854–7862. [Google Scholar] [CrossRef] [Green Version]
- Appiah, C.; Siefermann, K.R.; Jorewitz, M.; Barqawi, H.; Binder, W.H. Synthesis and characterization of new photoswitchable azobenzene-containing poly(ε-caprolactones). RSC Adv. 2016, 6, 6358–6367. [Google Scholar] [CrossRef] [Green Version]
- Zhu, M.; Zhou, H. Azobenzene-based small molecular photoswitches for protein modulation. Org. Biomol. Chem. 2018, 16, 8434–8445. [Google Scholar] [CrossRef] [PubMed]
- Samanta, D.; Gemen, J.; Chu, Z.; Diskin-Posner, Y.; Shimon, L.J.W.; Klajn, R. Reversible photoswitching of encapsulated azobenzenes in water. Proc. Natl. Acad. Sci. USA 2018, 115, 9379–9384. [Google Scholar] [CrossRef] [PubMed] [Green Version]
- Nealon, G.L.; Brown, D.H.; Jones, F.; Parkinson, G.; Ogden, M.I. An azobenzene-based photoswitchable crystal growth modifier. CrystEngComm 2017, 19, 1286–1293. [Google Scholar] [CrossRef] [Green Version]
- Liu, Z.F.; Hashimoto, K.; Fujishima, A. Photoelectrochemical information storage using an azobenzene derivative. Nature 1990, 347, 658–660. [Google Scholar] [CrossRef]
- Zarins, E.; Balodis, K.; Ruduss, A.; Kokars, V.; Ozols, A.; Augustovs, P.; Saharovs, D. Molecular glasses of azobenzene for holographic data storage applications. Opt. Mater. 2018, 79, 45–52. [Google Scholar] [CrossRef]
- Cao, L.; Jiang, Y.; Dai, X.; Zhang, X.; Peng, Y.; Liu, X. Using azo-compounds to endow biobased thermosetting coatings with potential application for reversible information storage. ACS Appl. Polym. Mater. 2020, 2, 4551–4558. [Google Scholar] [CrossRef]
- Cembran, A.; Bernardi, F.; Garavelli, M.; Gagliardi, L.; Orlandi, G. On the mechanism of the cis-trans isomerization in the lowest electronic states of azobenzene: S0, S1, and T1. J. Am. Chem. Soc. 2004, 126, 3234–3243. [Google Scholar] [CrossRef] [Green Version]
- Rau, H. Spectroscopic properties of organic azo compounds. Angew. Chem. Int. Ed. Engl. 1973, 12, 224–235. [Google Scholar] [CrossRef]
- Simomura, M.; Kunitake, T. Fluorescence and photoisomerization of azobenzene-containing bilayer membranes. J. Am. Chem. Soc. 1987, 109, 5175–5183. [Google Scholar] [CrossRef]
- Lu, J.; Jiang, G.; Zhang, Z.; Zhang, W.; Yang, Y.; Wang, Y.; Zhou, N.; Zhu, X. A cyclic azobenzenophane-based smart polymer for chiroptical switches. Polym. Chem. 2015, 6, 8144–8149. [Google Scholar] [CrossRef]
- Moreno, J.; Grubert, L.; Schwarz, J.; Bleger, D.; Hecht, S. Efficient sensitized Z→E photoisomerization of an iridium(iii)-azobenzene complex over a wide concentration range. Chem. Eur. J. 2017, 23, 14090–14095. [Google Scholar] [CrossRef] [PubMed]
- Isokuortti, J.; Kuntze, K.; Virkki, M.; Ahmed, Z.; Vuorimaa-Laukkanen, E.; Filatov, M.A.; Turshatov, A.; Laaksonen, T.; Priimagi, A.; Durandin, N.A. Expanding excitation wavelengths for azobenzene photoswitching into the near-infrared range via endothermic triplet energy transfer. Chem. Sci. 2021, 12, 7504–7509. [Google Scholar] [CrossRef]
- Kim, D.-Y.; Shin, S.; Yoon, W.-J.; Choi, Y.-J.; Hwang, J.-K.; Kim, J.-S.; Lee, C.-R.; Choi, T.-L.; Jeong, K.-U. Light switches: From smart denpols to remote-controllable actuators: Hierarchical superstructures of azobenzene-based polynorbornenes. Adv. Funct. Mater. 2017, 27, 1606294. [Google Scholar] [CrossRef]
- Geng, W.-C.; Sun, H.; Guo, D.-S. Macrocycles containing azo groups: Recognition, assembly and application. J. Incl. Phenom. Macrocycl. Chem. 2018, 92, 1–79. [Google Scholar] [CrossRef]
- Xu, Y.; Cao, J.; Li, Q.; Li, J.; He, K.; Shen, T.; Liu, X.; Yuan, C.; Zeng, B.; Dai, L. Novel azobenzene-based amphiphilic copolymers: Synthesis, self-assembly behavior and multiple-stimuli-responsive properties. RSC Adv. 2018, 8, 16103–16113. [Google Scholar] [CrossRef] [Green Version]
- Zhang, Y.; Gao, P.; Yue, Q.; Trefonas, P.; Deng, Y. Rational construction of self-assembly azobenzene derivative monolayers with photoswitchable surface properties. Chin. Chem. Lett. 2018, 29, 1661–1665. [Google Scholar] [CrossRef]
- Han, M.; Hashizume, D.; Hara, M. Self-assembly of long-lived cis-azobenzenes into crystalline nanoparticles. New J. Chem. 2007, 31, 1746–1750. [Google Scholar] [CrossRef]
- Wang, H.; Han, Y.; Yuan, W.; Wu, M.; Chen, Y. Self-assembly of azobenzene derivatives into organogels and photoresponsive liquid crystals. Chem. Asian. J. 2018, 13, 1173–1179. [Google Scholar] [CrossRef] [PubMed]
- Marcos, M.; Alcala, R.; Barbers, J.; Romero, P.; Ssnchez, C.; Serrano, J.L. Photosensitive ionic nematic liquid crystalline complexes based on dendrimers and hyperbranched polymers and a cyanoazobenzene carboxylic acid. Chem. Mater. 2008, 20, 5209–5217. [Google Scholar] [CrossRef]
- Zhong, H.-Y.; Chen, L.; Yang, R.; Meng, Z.-Y.; Ding, X.-M.; Liu, X.-F.; Wang, Y.-Z. Azobenzene-containing liquid crystalline polyester with π–π interactions: Diverse thermo- and photo-responsive behaviours. J. Mater. Chem. C 2017, 5, 3306–3314. [Google Scholar] [CrossRef]
- Kulikovska, O.; Goldenberg, L.M.; Kulikovsky, L.; Stumpe, J. Smart ionic sol-gel-based azobenzene materials for optical generation of microstructures. Chem. Mater. 2008, 20, 3528–3534. [Google Scholar] [CrossRef]
- Wang, C.; Hashimoto, K.; Tamate, R.; Kokubo, H.; Watanabe, M. Controlled sol-gel transitions of a thermoresponsive polymer in a photoswitchable azobenzene ionic liquid as a molecular trigger. Angew. Chem. Int. Ed. 2018, 57, 227–230. [Google Scholar] [CrossRef]
- Shao, K.; Lv, Z.; Xiong, Y.; Li, G.; Wang, D.; Zhang, H.; Qing, G. Circularly polarized light modulated supramolecular self-assembly for an azobenzene-based chiral gel. RSC Adv. 2019, 9, 10360–10363. [Google Scholar] [CrossRef] [Green Version]
- Choi, Y.; Kim, J.; Yoon, W.; Kang, D.; Park, M.; Kim, D.; Lee, M.; Ahn, S.; Jeong, K. Azobenzene molecular machine: Light-induced wringing gel fabricated from asymmetric macrogelator. ACS Macro Lett. 2018, 7, 576–581. [Google Scholar] [CrossRef]
- Curtin, D.Y.; Grubbs, E.J.; McCarty, C.G. Uncatalyzed syn-anti isomerization of imines, oxime ethers, and haloimines. J. Am. Chem. Soc. 1966, 88, 2775–2786. [Google Scholar] [CrossRef]
- Magee, J.L.; Shand, W.; Eyring, H. Non-adiabatic reactions. Rotation about the double bond. J. Am. Chem. Soc. 1941, 63, 677–688. [Google Scholar] [CrossRef]
- Fujino, T.; Arzhantsev, S.Y.; Tahara, T. Femtosecond time-resolved fluorescence study of photoisomerization of trans-azobenzene. J. Phys. Chem. A 2001, 105, 8123–8129. [Google Scholar] [CrossRef]
- Chang, C.-W.; Lu, Y.-C.; Wang, T.-T.; Diau, E.W.-G. Photoisomerization dynamics of azobenzene in solution with S1 excitation: A femtosecond fluorescence anisotropy study. J. Am. Chem. Soc. 2004, 126, 10109–10118. [Google Scholar] [CrossRef] [PubMed]
- Wang, L.; Xu, W.; Yi, C.; Wang, X. Isomerization and electronic relaxation of azobenzene after being excited to higher electronic states. J. Mol. Graph. Model. 2009, 27, 792–796. [Google Scholar] [CrossRef] [PubMed]
- Bortolus, P.; Monti, S. Cis-trans photoisomerization of azobenzene. Solvent and triplet donors effects. J. Phys. Chem. 1979, 83, 648–652. [Google Scholar] [CrossRef]
- Angelini, G.; Canilho, N.; Emo, M.; Kingsley, M.; Gasbarri, C. Role of solvent and effect of substituent on azobenzene isomerization by using room-temperature ionic liquids as reaction media. J. Org. Chem. 2015, 80, 7430–7434. [Google Scholar] [CrossRef] [PubMed]
- Angelini, G.; Scotti, L.; Aceto, A.; Gasbarri, C. Silver nanoparticles as interactive media for the azobenzenes isomerization in aqueous solution: From linear to stretched kinetics. J. Mol. Liq. 2019, 284, 592–598. [Google Scholar] [CrossRef]
- Siampiringue, N.; Guyot, G.; Monti, S.; Bortolus, P. Temperature dependence of photoisomerization. VI. Viscosity effect. J. Photochem. 1987, 37, 185–188. [Google Scholar] [CrossRef]
- Rau, H.; Lueddecke, E. On the rotation-inversion controversy on photoisomerization of azobenzenes. Experimental proof of inversion. J. Am. Chem. Soc. 1982, 104, 1616–1620. [Google Scholar] [CrossRef]
- Han, M.; Hirayama, Y.; Hara, M. Fluorescence enhancement from self-assembled aggregates: Substituent effects on self-assembly of azobenzenes. Chem. Mater. 2006, 18, 2784–2786. [Google Scholar] [CrossRef]
- Bisle, H.; Rau, H. Fluorescence of noncyclic azo compounds with a low-lying 1(n,π*) state. Chem. Phys. Lett. 1975, 31, 264–266. [Google Scholar] [CrossRef]
- Bunce, N.J.; Ferguson, G.; Forber, C.L.; Stachnyk, G.J. Sterically hindered azobenzenes: Isolation of cis isomers and kinetics of thermal cis-trans isomerization. J. Org. Chem. 1987, 52, 394–398. [Google Scholar] [CrossRef]
- Rau, H.; Shen, Y.-Q. Photoisomerization of sterically hindered azobenzenes. J. Photochem. Photobiol. A Chem. 1988, 42, 321–327. [Google Scholar] [CrossRef]
- Han, M.; Ishikawa, D.; Muto, E.; Hara, M. Isomerization and fluorescence characteristics of sterically hindered azobenzene derivatives. J. Lumin. 2009, 129, 1163–1168. [Google Scholar] [CrossRef]
- Han, M.; Norikane, Y.; Onda, K.; Matsuzawa, Y.; Yoshid, M.; Hara, M. Light-driven modulation of fluorescence color from azobenzene derivatives containing electron-donating and electron-withdrawing groups. New J. Chem. 2010, 34, 2892–2896. [Google Scholar] [CrossRef]
- Bandara, H.M.D.; Burdette, S.C. Photoisomerization in different classes of azobenzene. Chem. Soc. Rev. 2012, 41, 1809–1825. [Google Scholar] [CrossRef] [PubMed]
- Yoshino, J.; Kano, N.; Kawashima, T. Fluorescent azobenzenes and aromatic aldimines featuring an N-B interaction. Dalton Trans. 2013, 42, 15826–15834. [Google Scholar] [CrossRef] [Green Version]
- Blevins, A.A.; Blanchard, G.J. Effect of positional substitution on the optical response of symmetrically disubstituted azobenzene derivatives. J. Phys. Chem. B 2004, 108, 4962–4968. [Google Scholar] [CrossRef]
- Zacharias, P.S.; Ameerunisha, S.; Korupoju, S.R. Photoinduced fluorescence changes on E–Z isomerisation in azobenzene derivatives. J. Chem. Soc. Perkin Trans. 1998, 2, 2055–2060. [Google Scholar] [CrossRef]
- Smitha, P.; Asha, S.K. Structure control for fine tuning fluorescence emission from side-chain azobenzene polymers. J. Phys. Chem. B 2007, 111, 6364–6373. [Google Scholar] [CrossRef] [PubMed]
- Mariyappan, M.; Malini, N.; Sivamani, J.; Sivaraman, G.; Harikrishnan, M.; Murugesan, S.; Siva, A. Turn-on fluorescence chemosensor for Zn2+ ion using salicylate based azo derivatives and their application in cell-bioimaging. J. Fluoresc. 2019, 29, 737–749. [Google Scholar] [CrossRef] [PubMed]
- Bo, Q.; Zhao, Y. Fluorescence from an azobenzene-containing diblock copolymer micelle in solution. Langmuir 2007, 23, 5746–5751. [Google Scholar] [CrossRef] [PubMed]
- Hosseini, A.G.; Bagheri, M.; Mohammad-Rezaei, R. Synthesis and fluorescence studies of dual-responsive nanoparticles based on amphiphilic azobenzene-contained poly(monomethyl itaconate). J. Polym. Res. 2016, 23, 161. [Google Scholar] [CrossRef]
- Li, Q.-W.; Su, Y.-X.; Zou, H.; Chen, Y.-Y.; Zhou, L.; Hou, X.-H.; Liu, N.; Wu, Z.-Q. Self-assembly and fluorescence emission of UV-responsive azobenzene-containing helical poly(phenyl isocyanide) copolymers. Polym. Chem. 2020, 11, 6029–6036. [Google Scholar] [CrossRef]
- Xiang, Y.; Xue, X.; Zhu, J.; Zhang, Z.; Zhang, W.; Zhou, N.; Zhu, X. Fluorescence behavior of an azobenzene-containing amphiphilic diblock copolymer. Polym. Chem. 2010, 1, 1453–1458. [Google Scholar] [CrossRef]
- Xu, J.; Zhang, W.; Zhou, N.; Zhu, J.; Cheng, Z.; Xu, Y.; Zhu, X. Synthesis of azobenzene-containing polymers via RAFT polymerization and investigation on intense fluorescence from aggregates of azobenzene-containing amphiphilic diblock copolymers. J. Polym. Sci. Part A Polym. Chem. 2008, 46, 5652–5662. [Google Scholar] [CrossRef]
- Huang, P.-C.; Mata, J.; Wu, C.-M.; Lo, C.-T. Morphology-mediated photoresponsive and fluorescence behaviors of azobenzene-containing block copolymers. Langmuir 2018, 34, 7416–7427. [Google Scholar] [CrossRef] [PubMed]
- Lee, T.-L.; Lo, C.-T. Photoresponsive and fluorescence behaviors of azobenzene-containing amphiphilic block copolymers. J. Polym. Sci. Part B Polym. Phys. 2017, 55, 793–803. [Google Scholar] [CrossRef]
- Ren, H.; Chen, D.; Shi, Y.; Yu, H.; Fu, Z. A carboxylic azo monomer and its homopolymer: Synthesis, self-organization and fluorescence behaviour in solution. Polym. Chem. 2015, 6, 270–277. [Google Scholar] [CrossRef]
- Ren, H.; Chen, D.; Shi, Y.; Yu, H.; Fu, Z. Multi-responsive fluorescence of amphiphilic diblock copolymer containing carboxylate azobenzene and n-isopropylacrylamide. Polymer 2016, 97, 533–542. [Google Scholar] [CrossRef]
- Tsuda, K.; Christian Dol, G.; Gensch, T.; Hofkens, J.; Latterini, L.; Weener, J.W.; Meijer, E.W.; De Schryver, F.C. Fluorescence from azobenzene functionalized poly(propylene imine) dendrimers in self-assembled supramolecular structures. J. Am. Chem. Soc. 2000, 122, 3445–3452. [Google Scholar] [CrossRef]
- Dong, R.; Zhu, B.; Zhou, Y.; Yan, D.; Zhu, X. Reversible photoisomerization of azobenzene-containing polymeric systems driven by visible light. Polym. Chem. 2013, 4, 912–915. [Google Scholar] [CrossRef]
- Dong, R.; Zhu, B.; Zhou, Y.; Yan, D.; Zhu, X. “Breathing” vesicles with jellyfish-like on-off switchable fluorescence behavior. Angew. Chem. Int. Ed. 2012, 51, 11633–11637. [Google Scholar] [CrossRef] [PubMed]
- Luo, J.; Xie, Z.; Lam, J.; Cheng, L.; Tang, B.Z.; Chen, H.; Qiu, C.; Kwok, H.S.; Zhan, X.; Liu, Y. Aggregation-induced emission of 1-methyl-1,2,3,4,5-pentaphenylsilole. Chem. Commun. 2001, 18, 1740–1741. [Google Scholar] [CrossRef]
- Mei, J.; Leung, N.L.; Kwok, R.T.; Lam, J.W.; Tang, B.Z. Aggregation-induced emission: Together we shine, united we soar! Chem. Rev. 2015, 115, 11718–11940. [Google Scholar] [CrossRef] [PubMed]
- Han, M.; Norikane, Y. Photoisomerization and light-driven fluorescence enhancement of azobenzene derivatives. In Aggregation-Induced Emission: Fundamentals and Applications; John Wiley & Sons: Hoboken, NJ, USA, 2013; Volume 1–2, pp. 185–204. [Google Scholar]
- Paitandi, R.P.; Singh, R.S.; Dwivedi, B.K.; Singh, V.D.; Pandey, D.S. Time dependent aggregation induced emission enhancement and the study of molecular packing in closely related azo-phenol BODIPY species. Dalton Trans. 2018, 47, 3785–3795. [Google Scholar] [CrossRef]
- Han, M.; Cho, S.J.; Norikane, Y.; Shimizu, M.; Kimura, A.; Tamagawa, T.; Seki, T. Multistimuli-responsive azobenzene nanofibers with aggregation-induced emission enhancement characteristics. Chem. Commun. 2014, 50, 15815–15818. [Google Scholar] [CrossRef] [PubMed]
- Han, M.; Takeoka, Y.; Seki, T. Facile morphological control of fluorescent nano/microstructures via self-assembly and phase separation of trigonal azobenzenes showing aggregation-induced emission enhancement in polymer matrices. J. Mater. Chem. C 2015, 3, 4093–4098. [Google Scholar] [CrossRef]
- Loudet, A.; Burgess, K. Bodipy dyes and their derivatives: Syntheses and spectroscopic properties. Chem. Rev. 2007, 107, 4891–4932. [Google Scholar] [CrossRef] [PubMed]
- Ziessel, R.; Ulrich, G.; Harriman, A. The chemistry of Bodipy: A new el dorado for fluorescence tools. New J. Chem. 2007, 31, 496–501. [Google Scholar] [CrossRef]
- Ulrich, G.; Ziessel, R.; Harriman, A. The chemistry of fluorescent Bodipy dyes: Versatility unsurpassed. Angew. Chem. Int. Ed. Engl. 2008, 47, 1184–1201. [Google Scholar] [CrossRef] [PubMed]
- Boens, N.; Leen, V.; Dehaen, W. Fluorescent indicators based on Bodipy. Chem. Soc. Rev. 2012, 41, 1130–1172. [Google Scholar] [CrossRef] [PubMed]
- Feng, L.; Chen, Z. Synthesis and photoluminescent properties of polymer containing perylene and fluorene units. Polymer 2005, 46, 3952–3956. [Google Scholar] [CrossRef]
- Chen, Y.; Feng, X.; Sun, Z.; Wang, D.; Yang, T.; Zhao, Z.; Li, L.; Wang, X.; Yu, H. Azopyridine-containing three-arm star compounds with aggregation-induced fluorescence. Chem. Asian J. 2018, 13, 2781–2785. [Google Scholar] [CrossRef] [PubMed]
- Wu, J.; Xu, B.; Liu, Z.; Yao, Y.; Zhuang, Q.; Lin, S. The synthesis, self-assembly and pH-responsive fluorescence enhancement of an alternating amphiphilic copolymer with azobenzene pendants. Polym. Chem. 2019, 10, 4025–4030. [Google Scholar] [CrossRef]
- Li, Y.; Zhou, N.; Zhang, W.; Zhang, F.; Zhu, J.; Zhang, Z.; Cheng, Z.; Tu, Y.; Zhu, X. Light-driven and aggregation-induced emission from side-chain azoindazole polymers. J. Polym. Sci. Part A Polym. Chem. 2011, 49, 4911–4920. [Google Scholar] [CrossRef]
- Harbron, E.J.; Vicente, D.A.; Hadley, D.H.; Imm, M.R. Phototriggered fluorescence color changes in azobenzene-functionalized conjugated polymers. J. Phys. Chem. A 2005, 109, 10846–10853. [Google Scholar] [CrossRef]
- Chen, B.; Wang, Z.; Lu, J.; Yang, X.; Wang, Y.; Zhang, Z.; Zhu, J.; Zhou, N.; Li, Y.; Zhu, X. Cyclic azobenzene-containing amphiphilic diblock copolymers: Solution self-assembly and unusual photo-responsive behaviors. Polym. Chem. 2015, 6, 3009–3013. [Google Scholar] [CrossRef]
- Han, M.; Hara, M. Chain length-dependent photoinduced formation of azobenzene aggregates. New J. Chem. 2006, 30, 223–227. [Google Scholar] [CrossRef]
- Han, M.; Hara, M. Intense fluorescence from light-driven self-assembled aggregates of nonionic azobenzene derivative. J. Am. Chem. Soc. 2005, 127, 10951–10955. [Google Scholar] [CrossRef] [PubMed]
- Ran, X.; Wang, H.; Shi, L.; Lou, J.; Liu, B.; Li, M.; Guo, L. Light-driven fluorescence enhancement and self-assembled structural evolution of an azobenzene derivative. J. Mater. Chem. C 2014, 2, 9866–9873. [Google Scholar] [CrossRef]
- Aslan, K.; Gryczynski, I.; Malicka, J.; Matveeva, E.; Lakowicz, J.R.; Geddes, C.D. Metal-enhanced fluorescence: An emerging tool in biotechnology. Curr. Opin. Biotechnol. 2005, 16, 55–62. [Google Scholar] [CrossRef] [PubMed]
- Chen, Y.; Li, L.; Yang, Y.; Bisoyi, H.K.; Jia, Y.; Ju, J.; Huang, S.; Yu, H.; Yang, H.; Li, Q. Organic-inorganic hybrid liquid crystals of azopyridine-enabled halogen-bonding towards sensing in aquatic environment. RSC Adv. 2020, 10, 35873–35877. [Google Scholar] [CrossRef]
- Yamauchi, M.; Yokoyama, K.; Aratani, N.; Yamada, H.; Masuo, S. Crystallization-induced emission of azobenzene derivatives. Angew. Chem. Int. Ed. Engl. 2019, 58, 14173–14178. [Google Scholar] [CrossRef] [PubMed]
- Bandara, H.M.; Friss, T.R.; Enriquez, M.M.; Isley, W.; Incarvito, C.; Frank, H.A.; Gascon, J.; Burdette, S.C. Proof for the concerted inversion mechanism in the trans→cis isomerization of azobenzene using hydrogen bonding to induce isomer locking. J. Org. Chem. 2010, 75, 4817–4827. [Google Scholar] [CrossRef]
- Siewertsen, R.; Neumann, H.; Buchheim-Stehn, B.; Herges, R.; Nather, C.; Renth, F.; Temps, F. Highly Efficient Reversible Z−E Photoisomerization of a Bridged Azobenzene with Visible Light through Resolved S1(nπ*) Absorption Bands. J. Am. Chem. Soc. 2009, 131, 15594–15595. [Google Scholar] [CrossRef]
- Hammerich, M.; Schütt, C.; Stähler, C.; Lentes, P.; Röhricht, F.; Höppner, R.; Herges, R. Heterodiazocines: Synthesis and Photochromic Properties, Trans to Cis Switching within the Bio-optical Window. J. Am. Chem. Soc. 2016, 138, 13111–13114. [Google Scholar] [CrossRef] [PubMed]
- Thomas, R.; Yoshida, Y.; Akasaka, T.; Tamaoki, N. Influence of a change in helical twisting power of photoresponsive chiral dopants on rotational manipulation of micro-objects on the surface of chiral nematic liquid crystalline films. Chem. Eur. J. 2012, 18, 12337–12348. [Google Scholar] [CrossRef]
- Saha, M.; Ghosh, S.; Bandyopadhyay, S. Strain, switching and fluorescence behavior of a nine-membered cyclic azobenzene. New J. Chem. 2018, 42, 10784–10790. [Google Scholar] [CrossRef]
- Zhu, Q.; Wang, S.; Chen, P. Diazocine derivatives: A family of azobenzenes for photochromism with highly enhanced turn-on fluorescence. Org. Lett. 2019, 21, 4025–4029. [Google Scholar] [CrossRef] [PubMed]
- Wakatsuki, Y.; Yamazaki, H.; Grutsch, P.A.; Santhanam, M.; Kutal, C. Study of intramolecular sensitization and other excited-state pathways in orthometalated azobenzene complexes of palladium(II). J. Am. Chem. Soc. 1985, 107, 8153–8159. [Google Scholar] [CrossRef]
- Ghedini, M.; Pucci, D.; Calogero, G.; Barigelletti, F. Luminescence of azobenzene derivatives induced by cyclopalladation. Chem. Phys. Lett. 1997, 267, 341–344. [Google Scholar] [CrossRef]
- Srivastava, K.; Chakraborty, T.; Singh, H.B.; Butcher, R.J. Intramolecularly coordinated azobenzene selenium derivatives: Effect of strength of the Se...N intramolecular interaction on luminescence. Dalton Trans. 2011, 40, 4489–4496. [Google Scholar] [CrossRef]
- Bartwal, G.; Aggarwal, K.; Khurana, J.M. An ampyrone based azo dye as ph-responsive and chemo-reversible colorimetric fluorescent probe for Al3+ in semi-aqueous medium: Implication towards logic gate analysis. New J. Chem. 2018, 42, 2224–2231. [Google Scholar] [CrossRef]
- Yoshino, J.; Kano, N.; Kawashima, T. Synthesis of the most intensely fluorescent azobenzene by utilizing the B-N interaction. Chem. Commun. 2007, 6, 559–561. [Google Scholar] [CrossRef]
- Yoshino, J.; Kano, N.; Kawashima, T. Quenching and recovery of fluorescence of azobenzenes by acid-base reactions. Chem. Lett. 2008, 37, 960–961. [Google Scholar] [CrossRef]
- Yoshino, J.; Furuta, A.; Kambe, T.; Itoi, H.; Kano, N.; Kawashima, T.; Ito, Y.; Asashima, M. Intensely fluorescent azobenzenes: Synthesis, crystal structures, effects of substituents, and application to fluorescent vital stain. Chem. Eur. J. 2010, 16, 5026–5035. [Google Scholar] [CrossRef]
- Kano, N.; Yamamura, M.; Kawashima, T. 2,2′-disilylazobenzenes featuring double intramolecular nitrogensilicon coordination: A photoisomerizable fluorophore. Dalton Trans. 2015, 44, 16256–16265. [Google Scholar] [CrossRef] [Green Version]
- Gon, M.; Tanaka, K.; Chujo, Y. A highly efficient near-infrared-emissive copolymer with a N=N double-bond π-conjugated system based on a fused azobenzene-boron complex. Angew. Chem. Int. Ed. Engl. 2018, 57, 6546–6551. [Google Scholar] [CrossRef]




















Publisher’s Note: MDPI stays neutral with regard to jurisdictional claims in published maps and institutional affiliations. |
© 2021 by the authors. Licensee MDPI, Basel, Switzerland. This article is an open access article distributed under the terms and conditions of the Creative Commons Attribution (CC BY) license (https://creativecommons.org/licenses/by/4.0/).
Share and Cite
Xue, L.; Pan, Y.; Zhang, S.; Chen, Y.; Yu, H.; Yang, Y.; Mo, L.; Sun, Z.; Li, L.; Yang, H. Fluorescent Azobenzene-Containing Compounds: From Structure to Mechanism. Crystals 2021, 11, 840. https://doi.org/10.3390/cryst11070840
Xue L, Pan Y, Zhang S, Chen Y, Yu H, Yang Y, Mo L, Sun Z, Li L, Yang H. Fluorescent Azobenzene-Containing Compounds: From Structure to Mechanism. Crystals. 2021; 11(7):840. https://doi.org/10.3390/cryst11070840
Chicago/Turabian StyleXue, Lulu, Ying Pan, Shaohai Zhang, Yinjie Chen, Haifeng Yu, Yonggang Yang, Lixin Mo, Zhicheng Sun, Luhai Li, and Huai Yang. 2021. "Fluorescent Azobenzene-Containing Compounds: From Structure to Mechanism" Crystals 11, no. 7: 840. https://doi.org/10.3390/cryst11070840
APA StyleXue, L., Pan, Y., Zhang, S., Chen, Y., Yu, H., Yang, Y., Mo, L., Sun, Z., Li, L., & Yang, H. (2021). Fluorescent Azobenzene-Containing Compounds: From Structure to Mechanism. Crystals, 11(7), 840. https://doi.org/10.3390/cryst11070840

