Synthesis, Optical, Magnetic and Thermodynamic Properties of Rocksalt Li1.3Nb0.3Mn0.4O2 Cathode Material for Li-Ion Batteries
Abstract
:1. Introduction
2. Materials and Methods
2.1. Synthesis
2.2. Characterization
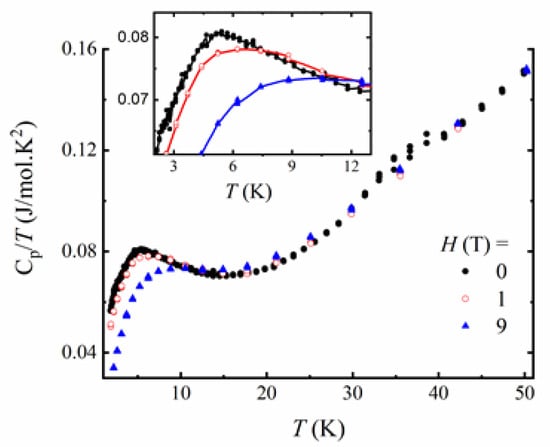
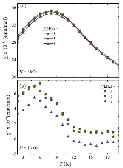
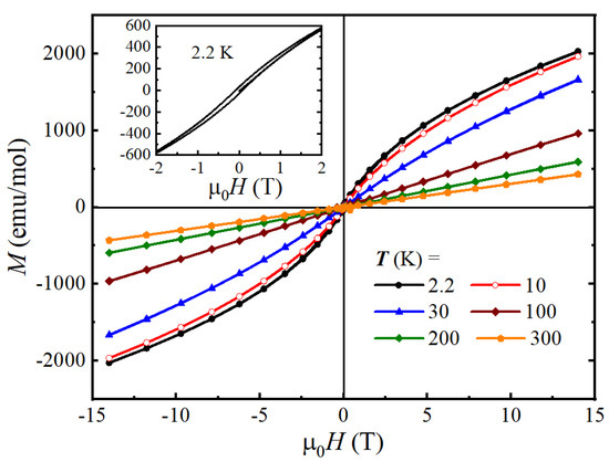
3. Results and Discussion
4. Conclusions
Supplementary Materials
Author Contributions
Funding
Conflicts of Interest
References
- Padhi, A.K.; NanjundaSwamy, K.S.; Goodenough, J.B. Phospho-olivines as Positive-Electrode Materials for Rechargeable Lithium Batteries. J. Electrochem. Soc. 1997, 144, 1188–1194. [Google Scholar] [CrossRef]
- Deng, D.; Kim, M.-G.; Lee, J.Y.; Cho, J. Green energy storage materials: Nanostructured TiO2 and Sn-based anodes for lithium-ion batteries. Energy Environ. Sci. 2009, 2, 818–837. [Google Scholar] [CrossRef]
- Yun, Q.; Li, L.; Hu, Z.; Lu, Q.; Chen, B.; Zhang, H. Layered Transition Metal Dichalcogenide-Based Nanomaterials for Electrochemical Energy Storage. Adv. Mater. 2020, 32, e1903826. [Google Scholar] [CrossRef]
- Goodenough, J.B.; Park, K.-S. The Li-Ion Rechargeable Battery: A Perspective. J. Am. Chem. Soc. 2013, 135, 1167–1176. [Google Scholar] [CrossRef]
- Gangaja, B.; Nair, S.; Santhanagopalan, D. Surface-Engineered Li4Ti5O12 Nanostructures for High-Power Li-Ion Batteries. Nano-Micro Lett. 2020, 12, 30. [Google Scholar] [CrossRef] [PubMed] [Green Version]
- Doeff, M.M.; Chen, G.; Cabana, J.; Richardson, T.J.; Mehta, A.; Shirpour, M.; Duncan, H.; Kim, C.; Kam, K.C.; Conry, T. Characterization of Electrode Materials for Lithium Ion and Sodium Ion Batteries Using Synchrotron Radiation Techniques. J. Vis. Exp. 2013, 10, e50594. [Google Scholar] [CrossRef] [PubMed] [Green Version]
- Ma, D.; Cao, Z.; Hu, A. Si-Based Anode Materials for Li-Ion Batteries: A Mini Review. Nano-Micro Lett. 2014, 6, 347–358. [Google Scholar] [CrossRef] [Green Version]
- Chu, Y.; Xiong, S. Mixed transition-metal oxides@carbon core-shell nanostructures derived from heterometallic clusters for enhanced lithium storage. Chin. Chem. Lett. 2021. [Google Scholar] [CrossRef]
- Zhao, E.; Yu, X.; Wang, F.; Li, H. High-capacity lithium-rich cathode oxides with multivalent cationic and anionic redox reactions for lithium ion batteries. Sci. China Ser. B Chem. 2017, 60, 1483–1493. [Google Scholar] [CrossRef]
- Hu, S.; Pillai, A.S.; Liang, G.; Pang, W.K.; Wang, H.; Li, Q.; Guo, Z. Li-Rich Layered Oxides and Their Practical Challenges: Recent Progress and Perspectives. Electrochem. Energy Rev. 2019, 2, 277–311. [Google Scholar] [CrossRef]
- Wang, R.; Li, X.; Liu, L.; Lee, J.; Seo, D.-H.; Bo, S.-H.; Urban, A.; Ceder, G. A disordered rock-salt Li-excess cathode material with high capacity and substantial oxygen redox activity: Li1.25Nb0.25Mn0.5O2. Electrochem. Commun. 2015, 60, 70–73. [Google Scholar] [CrossRef]
- Clément, R.J.; Lun, Z.; Ceder, G. Cation-disordered rocksalt transition metal oxides and oxyfluorides for high energy lithium-ion cathodes. Energy Environ. Sci. 2020, 13, 345–373. [Google Scholar] [CrossRef] [Green Version]
- Urban, A.; Lee, J.; Ceder, G. The Configurational Space of Rocksalt-Type Oxides for High-Capacity Lithium Battery Electrodes. Adv. Energy Mater. 2014, 4, 4. [Google Scholar] [CrossRef]
- Hewston, T.; Chamberland, B. A Survey of first-row ternary oxides LiMO2 (M = Sc-Cu). J. Phys. Chem. Solids 1987, 48, 97–108. [Google Scholar] [CrossRef]
- Yabuuchi, N.; Takeuchi, M.; Nakayama, M.; Shiiba, H.; Ogawa, M.; Nakayama, K.; Ohta, T.; Endo, D.; Ozaki, T.; Inamasu, T.; et al. High-capacity electrode materials for rechargeable lithium batteries: Li3NbO4-based system with cation-disordered rocksalt structure. Proc. Natl. Acad. Sci. USA 2015, 112, 7650–7655. [Google Scholar] [CrossRef] [PubMed] [Green Version]
- Inoue, N.; Zou, Y. Electronic structure and lithium ion migration of La4/3 − yLi3yTi2O6 using cluster model. Solid State Ionics 2005, 176, 2341–2344. [Google Scholar] [CrossRef]
- Zakharova, G.; Volkov, V.; Täschner, C.; Hellmann, I.; Klingeler, R.; Leonhardt, A.; Büchner, B. Synthesis, characterization and magnetic properties of hexagonal (VO)0.09V0.18Mo0.82O3·0.54H2O microrods. Mater. Lett. 2011, 65, 579–582. [Google Scholar] [CrossRef]
- Kang, K.; Ceder, G. Factors that affect Li mobility in layered lithium transition metal oxides. Phys. Rev. B 2006, 74, 74. [Google Scholar] [CrossRef] [Green Version]
- Yang, F.; Xia, Z.; Huang, S.; Zhang, X.; Song, Y.; Xiao, G.; Shao, G.; Liu, Y.; Deng, H.; Jiang, D.; et al. High field phase transition of cathode material Li2MnSiO4 for lithium-ion battery. Mater. Res. Express 2020, 7, 026104. [Google Scholar] [CrossRef]
- Yabuuchi, N.; Nakayama, M.; Takeuchi, M.; Komaba, S.; Hashimoto, Y.; Mukai, T.; Shiiba, H.; Sato, K.; Kobayashi, Y.; Nakao, A.; et al. Origin of stabilization and destabilization in solid-state redox reaction of oxide ions for lithium-ion batteries. Nat. Commun. 2016, 7, 13814. [Google Scholar] [CrossRef]
- Jones, M.A.; Reeves, P.J.; Seymour, I.D.; Cliffe, M.J.; Dutton, S.E.; Grey, C.P. Short-range ordering in a battery electrode, the ‘cation-disordered’ rocksalt Li1.25Nb0.25Mn0.5O2. Chem. Commun. 2019, 55, 9027–9030. [Google Scholar] [CrossRef] [PubMed]
- Kan, W.H.; Chen, D.; Papp, J.K.; Shukla, A.K.; Huq, A.; Brown, C.M.; McCloskey, B.D.; Chen, G. Unravelling Solid-State Redox Chemistry in Li1.3Nb0.3Mn0.4O2 Single-Crystal Cathode Material. Chem. Mater. 2018, 30, 1655–1666. [Google Scholar] [CrossRef] [Green Version]
- Sosnowska, I.; Przeniosło, R.; Schäfer, W.; Kockelmann, W.; Hempelmann, R.; Wysocki, K. Possible deuterium positions in the high-temperature deuterated proton conductor Ba3Ca1 + yNb2 − yO9 − δ studied by neutron and X-ray powder diffraction. J. Alloys Compd. 2001, 328, 226–230. [Google Scholar] [CrossRef]
- Fernández, S.; Mesa, J.L.; Pizarro, J.L.; Lezama, L.; Arriortua, A.M.I.; Rojo, T. Two New Three-Dimensional Vanadium(III) and Iron(III) Phosphites Templated by Ethylenediamine: (C2H10N2)0.5[M(HPO3)2]. Ab Initio Structure Determination, Spectroscopic, and Magnetic Properties. Chem. Mater. 2002, 14, 2300–2307. [Google Scholar] [CrossRef]
- Koyama, T.; Yoshimitsu, S.; Miyata, Y.; Shinohara, H.; Kishida, H.; Nakamura, A. Transient Absorption Kinetics Associated with Higher Exciton States in Semiconducting Single-Walled Carbon Nanotubes: Relaxation of Excitons and Phonons. J. Phys. Chem. C 2013, 117, 20289–20299. [Google Scholar] [CrossRef]
- Abdellah, M.; Zhang, S.; Wang, M.; Hammarström, L. Competitive Hole Transfer from CdSe Quantum Dots to Thiol Ligands in CdSe-Cobaloxime Sensitized NiO Films Used as Photocathodes for H2 Evolution. ACS Energy Lett. 2017, 2, 2576–2580. [Google Scholar] [CrossRef]
- Žídek, K.; Zheng, K.; Ponseca, C.S.; Messing, M.E.; Wallenberg, L.R.; Chábera, P.; Abdellah, M.; Sundström, V.; Pullerits, T. Electron Transfer in Quantum-Dot-Sensitized ZnO Nanowires: Ultrafast Time-Resolved Absorption and Terahertz Study. J. Am. Chem. Soc. 2012, 134, 12110–12117. [Google Scholar] [CrossRef]
- Zheng, K.; Žídek, K.; Abdellah, M.; Zhang, W.; Chábera, P.; Lenngren, N.; Yartsev, A.; Pullerits, T. Ultrafast Charge Transfer from CdSe Quantum Dots to p-Type NiO: Hole Injection vs Hole Trapping. J. Phys. Chem. C 2014, 118, 18462–18471. [Google Scholar] [CrossRef]
- Toby, B. R factors in Rietveld analysis: How good is good enough? Powder Diffr. 2006, 21, 67–70. [Google Scholar] [CrossRef] [Green Version]
- Teo, P.T.; Anasyida, A.S.; Basu, P.; Sharif, N.M.J.M.S.F. Chemical, Thermal and Phase Analysis of Malaysia’s Electric Arc Furnace (EAF) Slag Waste. Mater. Sci. Forum 2016, 840, 399–403. [Google Scholar] [CrossRef]
- Flash photolysis and spectroscopy. A new method for the study of free radical reactions. Proc. R. Soc. London. Ser. A Math. Phys. Sci. 1950, 200, 284–300. [Google Scholar] [CrossRef]
- Guo, B.; Sun, J.; Hua, Y.; Zhan, N.; Jia, J.; Chu, K. Femtosecond Laser Micro/Nano-manufacturing: Theories, Measurements, Methods, and Applications. Nanomanuf. Metrol. 2020, 3, 26–67. [Google Scholar] [CrossRef] [Green Version]
- Klimov, V.I. Spectral and Dynamical Properties of Multiexcitons in Semiconductor Nanocrystals. Annu. Rev. Phys. Chem. 2007, 58, 635–673. [Google Scholar] [CrossRef] [PubMed]
- Wang, H.; Zhang, C.; Rana, F. Ultrafast Dynamics of Defect-Assisted Electron–Hole Recombination in Monolayer MoS2. Nano Lett. 2015, 15, 339–345. [Google Scholar] [CrossRef] [Green Version]
- Chemla, D.S.; Miller, D.A.B. Room-temperature excitonic nonlinear-optical effects in semiconductor quantum-well structures. J. Opt. Soc. Am. B 1985, 2, 1155–1173. [Google Scholar] [CrossRef]
- Henry, C.H.; Lang, D.V. Nonradiative capture and recombination by multiphonon emission in GaAs and GaP. Phys. Rev. B 1977, 15, 989–1016. [Google Scholar] [CrossRef]
- Lax, M. Cascade Capture of Electrons in Solids. Phys. Rev. 1960, 119, 1502–1523. [Google Scholar] [CrossRef]
- Žídek, K.; Zheng, K.; Abdellah, M.; Lenngren, N.; Chábera, P.; Pullerits, T. Ultrafast Dynamics of Multiple Exciton Harvesting in the CdSe–ZnO System: Electron Injection versus Auger Recombination. Nano Lett. 2012, 12, 6393–6399. [Google Scholar] [CrossRef] [PubMed]
- N., S.B.; Němec, H.; Žídek, K.; Abdellah, M.; Al-Marri, M.J.; Chabera, P.; Ponseca, C.; Zheng, K.; Pullerits, T. Time-resolved terahertz spectroscopy reveals the influence of charged sensitizing quantum dots on the electron dynamics in ZnO. Phys. Chem. Chem. Phys. 2017, 19, 6006–6012. [Google Scholar] [CrossRef] [Green Version]
- Fălămaș, A.; Porav, S.A.; Tosa, V. Investigations of the Energy Transfer in the Phycobilisome Antenna of Arthrospira platensis Using Femtosecond Spectroscopy. Appl. Sci. 2020, 10, 4045. [Google Scholar] [CrossRef]
- Chernova, N.A.; Nolis, G.M.; Omenya, F.O.; Zhou, H.; Li, Z.; Whittingham, M.S. What can we learn about battery materials from their magnetic properties? J. Mater. Chem. 2011, 21, 9865–9875. [Google Scholar] [CrossRef]
- Kanamori, J. Theory of the Magnetic Properties of Ferrous and Cobaltous Oxides, I. Prog. Theor. Phys. 1957, 17, 177–196. [Google Scholar] [CrossRef] [Green Version]
- Goodenough, J.B. An interpretation of the magnetic properties of the perovskite-type mixes crystals. J. Phys. Chem. Solids 1958, 6, 287–297. [Google Scholar] [CrossRef]
- Rodriguez-Martinez, L.M.; Attfield, J.P. Cation disorder and size effects in magnetoresistive manganese oxide perovskites. Phys. Rev. B 1996, 54, R15622–R15625. [Google Scholar] [CrossRef] [PubMed]
- Demirel, S.; Oz, E.; Altin, S.; Bayri, A.; Altin, E.; Avci, S. Enhancement of battery performance of LiMn2O4: Correlations between electrochemical and magnetic properties. RSC Adv. 2016, 6, 43823–43831. [Google Scholar] [CrossRef]
- Fridrichová, J.; Bacik, P.; Ertl, A.; Wildner, M.; Dekan, J.; Miglierini, M. Jahn-Teller distortion of Mn3+-occupied octahedra in red beryl from Utah indicated by optical spectroscopy. J. Mol. Struct. 2018, 1152, 79–86. [Google Scholar] [CrossRef]
- Alonso, J.A.; Martínez-Lope, A.M.J.; Casais, M.T.; Fernández-Díaz, M.T. Evolution of the Jahn−Teller Distortion of MnO6 Octahedra in RMnO3 Perovskites (R = Pr, Nd, Dy, Tb, Ho, Er, Y): A Neutron Diffraction Study. Inorg. Chem. 2000, 39, 917–923. [Google Scholar] [CrossRef]
- Majumdar, A.; VanGennep, D.; Brisbois, J.; Chareev, D.; Sadakov, A.V.; Usoltsev, A.S.; Mito, M.; Silhanek, A.V.; Sarkar, T.; Hassan, A.; et al. Interplay of charge density wave and multiband superconductivity in layered quasi-two-dimensional materials: The case of 2H−NbS2 and 2H−NbSe2. Phys. Rev. Mater. 2020, 4, 084005. [Google Scholar] [CrossRef]
- Beck, P.A.; Claus, H. Density of states information from low temperature specific heat measurements. J. Res. Natl. Bur. Stand. Sect. A Phys. Chem. 1970, 74A, 449–454. [Google Scholar] [CrossRef]
- Subramani, T.; Navrotsky, A. Thermochemistry of cation disordered Li ion battery cathode materials, (M′ = Nb and Ta, M′′ = Mn and Fe). RSC Adv. 2020, 10, 6540–6546. [Google Scholar] [CrossRef] [Green Version]
- Thomas, D.; Abdel-Hafiez, M.; Gruber, T.; Hüttl, R.; Seidel, J.; Wolter, A.U.; Buchner, B.; Kortus, J.; Mertens, F. The heat capacity and entropy of lithium silicides over the temperature range from (2 to 873) K. J. Chem. Thermodyn. 2013, 64, 205–225. [Google Scholar] [CrossRef]
- Zybtsev, S.G.; Pokrovskii, V.Y.; Nasretdinova, V.; Zaitsev-Zotov, S.; Pavlovskiy, V.V.; Odobesco, A.B.; Pai, W.W.; Chu, M.-W.; Lin, Y.G.; Zupanič, E.; et al. NbS3: A unique quasi-one-dimensional conductor with three charge density wave transitions. Phys. Rev. B 2017, 95, 035110. [Google Scholar] [CrossRef] [Green Version]
- Tropper, P.; Troitzsch, U.; Dachs, E.; Benisek, A. Heat capacity measurements of CaAlSiO4F from 5 to 850 K and its standard entropy. Am. Miner. 2018, 103, 1165–1168. [Google Scholar] [CrossRef]






| Space Group | ||
|---|---|---|
| Wyckoff position 4a (0, 0, 0) | Li occupancy | 0.65 (1) |
| Nb occupancy | 0.15 (1) | |
| Mn occupancy | 0.20 (1) | |
| Wyckoff position 4b (0.5, 0.5, 0.5) | O occupancy | 1.00 |
| (%) | 3.10 | |
| (%) | 19.5 | |
| (%) | 1.93 | |
| 2.175 | ||
| Parameter | µ0H = 0.1 T | µ0H = 1 T | µ0H = 9 T |
|---|---|---|---|
| (K) | −52 | −48 | −56 |
| (emu K/mol) | 1.62 | 1.67 | 1.66 |
| 3.60 (0.4) | 3.65 (0.5) | 3.64 (0.5) |
Publisher’s Note: MDPI stays neutral with regard to jurisdictional claims in published maps and institutional affiliations. |
© 2021 by the authors. Licensee MDPI, Basel, Switzerland. This article is an open access article distributed under the terms and conditions of the Creative Commons Attribution (CC BY) license (https://creativecommons.org/licenses/by/4.0/).
Share and Cite
Kamel, M.; Hanna, A.R.N.; Krellner, C.; Klingeler, R.; Abdellah, M.; Abdel-Hafiez, M.; Hassen, A.; Khalil, A.S.G.; Abdel-Baset, T.; Hassan, A. Synthesis, Optical, Magnetic and Thermodynamic Properties of Rocksalt Li1.3Nb0.3Mn0.4O2 Cathode Material for Li-Ion Batteries. Crystals 2021, 11, 825. https://doi.org/10.3390/cryst11070825
Kamel M, Hanna ARN, Krellner C, Klingeler R, Abdellah M, Abdel-Hafiez M, Hassen A, Khalil ASG, Abdel-Baset T, Hassan A. Synthesis, Optical, Magnetic and Thermodynamic Properties of Rocksalt Li1.3Nb0.3Mn0.4O2 Cathode Material for Li-Ion Batteries. Crystals. 2021; 11(7):825. https://doi.org/10.3390/cryst11070825
Chicago/Turabian StyleKamel, Mohamed, Abanoub R. N. Hanna, Cornelius Krellner, Rüdiger Klingeler, Mohamed Abdellah, Mahmoud Abdel-Hafiez, Arafa Hassen, Ahmed S. G. Khalil, Tarob Abdel-Baset, and Abdelwahab Hassan. 2021. "Synthesis, Optical, Magnetic and Thermodynamic Properties of Rocksalt Li1.3Nb0.3Mn0.4O2 Cathode Material for Li-Ion Batteries" Crystals 11, no. 7: 825. https://doi.org/10.3390/cryst11070825
APA StyleKamel, M., Hanna, A. R. N., Krellner, C., Klingeler, R., Abdellah, M., Abdel-Hafiez, M., Hassen, A., Khalil, A. S. G., Abdel-Baset, T., & Hassan, A. (2021). Synthesis, Optical, Magnetic and Thermodynamic Properties of Rocksalt Li1.3Nb0.3Mn0.4O2 Cathode Material for Li-Ion Batteries. Crystals, 11(7), 825. https://doi.org/10.3390/cryst11070825

