Novel Dihydro-1,3,2H-benzoxazine Derived from Furfurylamine: Crystal Structure, Hirshfeld Surface Analysis, Photophysical Property, and Computational Study
Abstract
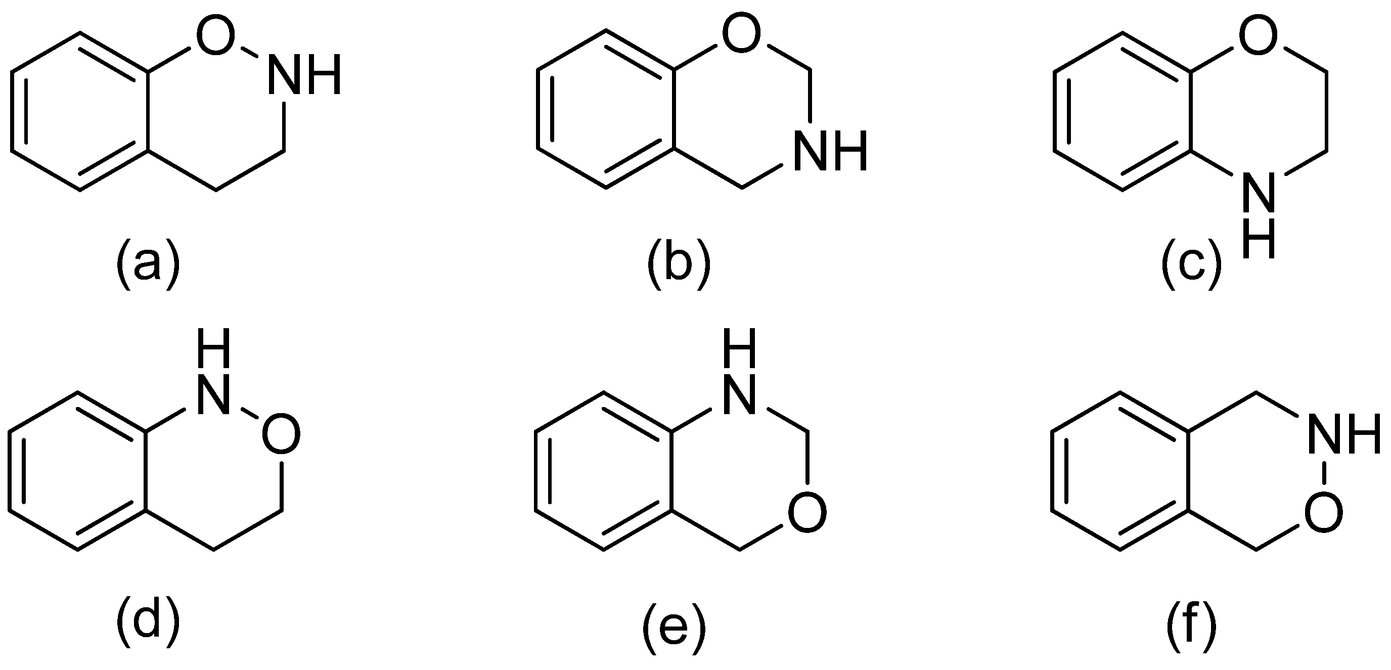
1. Introduction
2. Materials and Methods
2.1. Synthesis of the Benzoxazine (I)
2.2. Single-Crystal X-ray Diffraction (SC-XRD)
2.3. Characterization of the Benzoxazine (I)
2.4. Photophysical Studies
2.5. Computational Details
3. Results and Discussion
3.1. Molecular Structure, Crystal Packing, and Hirshfeld Surface Analysis
3.2. Photophysical Studies
3.3. Computational Study
4. Conclusions
Supplementary Materials
Author Contributions
Funding
Institutional Review Board Statement
Informed Consent Statement
Data Availability Statement
Acknowledgments
Conflicts of Interest
References
- Ishida, H.; Agag, T. Handbook of Benzoxazine Resins; Elsevier: Amsterdam, The Netherlands, 2011. [Google Scholar]
- Zhang, K.; Froimowicz, P.; Ishida, H. Development of new generation benzoxazine thermosets based on smart ortho-benzoxazine chemistry. Adv. Emerg. Polybenzoxazine Sci. Technol. 2017, 35–64. [Google Scholar] [CrossRef]
- Chernykh, A.; Agag, T.; Ishida, H. Novel benzoxazine monomer containing diacetylene linkage: An approach to benzoxazine thermosets with low polymerization temperature without added initiators or catalysts. Polymer 2009, 50, 3153–3157. [Google Scholar] [CrossRef]
- Vaithilingam, S.; Jayanthi, K.P.; Muthukaruppan, A. Synthesis and characterization of cardanol based fluorescent composite for optoelectronic and antimicrobial applications. Polymer 2017, 108, 449–461. [Google Scholar] [CrossRef]
- Yen, H.-J.; Liou, G.-S. Design and preparation of triphenylamine-based polymeric materials towards emergent optoelectronic applications. Prog. Polym. Sci. 2019, 89, 250–287. [Google Scholar] [CrossRef]
- Alper-Hayta, S.; Aki-Sener, E.; Tekiner-Gulbas, B.; Yildiz, I.; Temiz-Arpaci, O.; Yalcin, I.; Altanlar, N. Synthesis, antimicrobial activity and QSARs of new benzoxazine-3-ones. Eur. J. Med. Chem. 2006, 41, 1398–1404. [Google Scholar] [CrossRef]
- Periyasamy, T.; Asrafali, S.; Shanmugam, M.; Kim, S.-C. Development of sustainable and antimicrobial film based on polybenzoxazine and cellulose. Int. J. Biol. Macromol. 2021, 170, 664–673. [Google Scholar] [CrossRef] [PubMed]
- Yadav, N.; Monisha, M.; Niranjan, R.; Dubey, A.; Patil, S.; Priyadarshini, R.; Lochab, B. Antibacterial performance of fully biobased chitosan-grafted-polybenzoxazine films: Elaboration and properties of released material. Carbohydr. Polym. 2021, 254, 117296. [Google Scholar] [CrossRef]
- Thirukumaran, P.; Manoharan, R.K.; Parveen, A.S.; Atchudan, R.; Kim, S.-C. Sustainability and antimicrobial assessments of apigenin based polybenzoxazine film. Polymer 2019, 172, 100–109. [Google Scholar] [CrossRef]
- Huang, S.; Gu, J.; Ye, J.; Fang, B.; Wan, S.; Wang, C.; Ashraf, U.; Li, Q.; Wang, X.; Shao, L.; et al. Benzoxazine monomer derived carbon dots as a broad-spectrum agent to block viral infectivity. J. Colloid Interface Sci. 2019, 542, 198–206. [Google Scholar] [CrossRef]
- Gupta, N.; Sharma, S.; Raina, A.; Dangroo, N.A.; Bhushan, S.; Sangwan, P.L. Synthesis and anti-proliferative evaluation of novel 3,4-dihydro-2H-1,3-oxazine derivatives of bakuchiol. RSC Adv. 2016, 6, 106150–106159. [Google Scholar] [CrossRef]
- Mbaba, M.; Dingle, L.M.K.; Cash, D.; Mare, J.-A.D.L.; Laming, D.; Taylor, D.; Hoppe, H.C.; Edkins, A.L.; Khanye, S.D. Repurposing a polymer precursor: Synthesis and in vitro medicinal potential of ferrocenyl 1,3-benzoxazine derivatives. Eur. J. Med. Chem. 2020, 187, 111924. [Google Scholar] [CrossRef] [PubMed]
- Carramiñana, V.; Ochoa de Retana, A.M.; de los Santos, J.M.; Palacios, F. First synthesis of merged hybrids phosphorylated azirino[2,1-b]benzo[e][1,3]oxazine derivatives as anticancer agents. Eur. J. Med. Chem. 2020, 185, 111771. [Google Scholar] [CrossRef] [PubMed]
- Xu, Y.; Li, P.; Li, L.; Dai, J.; Ran, Q.; Gu, Y. Thermal degradation mechanism of a cured acetylene/aldehyde functional benzoxazine with high thermal stability. Polym. Degrad. Stab. 2020, 171, 109041. [Google Scholar] [CrossRef]
- Liao, Y.-T.; Lin, Y.-C.; Kuo, S.-W. Highly thermally stable, transparent, and flexible polybenzoxazine nanocomposites by combination of double-decker-shaped polyhedral silsesquioxanes and polydimethylsiloxane. Macromolecules 2017, 50, 5739–5747. [Google Scholar] [CrossRef]
- Ran, Q.-C.; Zhang, D.-X.; Zhu, R.-Q.; Gu, Y. The structural transformation during polymerization of benzoxazine/FeCl3 and the effect on the thermal stability. Polymer 2012, 53, 4119–4127. [Google Scholar] [CrossRef]
- Zhang, K.; Liu, J.; Ohashi, S.; Liu, X.; Han, Z.; Ishida, H. Synthesis of high thermal stability polybenzoxazoles via ortho-imide-functional benzoxazine monomers. J. Polym. Sci. Part A Polym. Chem. 2015, 53, 1330–1338. [Google Scholar] [CrossRef]
- El-Mahdy, A.F.M.; Kuo, S.W. Direct synthesis of poly(benzoxazine imide) from an ortho-benzoxazine: Its thermal conversion to highly cross-linked polybenzoxazole and blending with poly(4-vinylphenol). Polym. Chem. 2018, 9, 1815–1826. [Google Scholar] [CrossRef]
- Pei, L.; Zhao, S.; Li, H.; Zhang, X.; Fan, X.; Wang, W.; Zhang, C.; Zhao, G.; Wang, Z. Preparation of low temperature cure polybenzoxazine coating with enhanced thermal stability and mechanical properties by combustion synthesis approach. Polymer 2021, 220, 123573. [Google Scholar] [CrossRef]
- Chen, C.-H.; Lin, C.-H.; Hon, J.-M.; Wang, M.-W.; Juang, T.-Y. First halogen and phosphorus-free, flame-retardant benzoxazine thermosets derived from main-chain type bishydroxydeoxybenzoin-based benzoxazine polymers. Polymer 2018, 154, 35–41. [Google Scholar] [CrossRef]
- Zhang, K.; Han, L.; Froimowicz, P.; Ishida, H. A smart latent catalyst containing otrifluoroacetamide functional benzoxazine: Precursor for low temperature formation of very high performance polybenzoxazole with low dielectric constant and high thermal stability. Macromolecules 2017, 50, 6552–6560. [Google Scholar] [CrossRef]
- Wu, J.; Xi, Y.; McCandless, G.T.; Xie, Y.; Menon, R.; Patel, Y.; Yang, D.J.; Iacono, S.T.; Novak, B.M. Synthesis and characterization of partially fluorinated polybenzoxazine resins utilizing octafluorocyclopentene as a versatile building block. Macromolecules 2015, 48, 6087–6095. [Google Scholar] [CrossRef]
- Chen, K.-C.; Li, H.-T.; Huang, S.-C.; Chen, W.-B.; Sun, K.-W.; Chang, F.-C. Synthesis and performance enhancement of novel polybenzoxazines with low surface free energy. Polym. Int. 2011, 60, 1089–1096. [Google Scholar] [CrossRef]
- Zhang, K.; Yu, X.; Kuo, S.W. Outstanding dielectric and thermal properties of main chain-type poly(benzoxazine-co-imide-co-siloxane)-based cross-linked networks. Polym. Chem. 2019, 10, 2387–2396. [Google Scholar] [CrossRef]
- Cao, Y.; Chen, C.; Lu, X.; Xu, D.; Huang, J.; Xin, Z. Bio-based polybenzoxazine superhydrophobic coating with active corrosion resistance for carbon steel protection. Surf. Coat. Technol. 2021, 405, 126569. [Google Scholar] [CrossRef]
- Chen, C.; Cao, Y.; Lu, X.; Li, X.; Yao, H.; Xin, Z. Copolymer of eugenol-based and pyrogallol-based benzoxazines: Low curing temperature and enhanced corrosion resistance. Colloids Surf. A Physicochem. Eng. 2021, 609, 125605. [Google Scholar] [CrossRef]
- Zachariah, S.; Liu, Y.-L. Nanocomposites of polybenzoxazine-functionalized multiwalled carbon nanotubes and polybenzoxazine for anti-corrosion application. Compos. Sci. Technol. 2020, 194, 108169. [Google Scholar] [CrossRef]
- Aly, K.I.; Mohamed, M.G.; Younis, O.; Mahross, M.H.; Abdel-Hakim, M.; Sayed, M.M. Salicylaldehyde azine-functionalized polybenzoxazine: Synthesis, characterization, and its nanocomposites as coatings for inhibiting the mild steel corrosion. Prog. Org. Coat. 2020, 138, 105385. [Google Scholar] [CrossRef]
- Mohamed, M.G.; Kuo, S.W.; Mahdy, A.; Ghayd, I.M.; Aly, K.I. Bisbenzylidene cyclopentanone and cyclohexanone-functionalized polybenzoxazine nanocomposites: Synthesis, characterization, and use for corrosion protection on mild steel. Mater. Today Commun. 2020, 25, 101418. [Google Scholar] [CrossRef]
- Xu, D.; Lou, C.; Huang, J.; Lu, X.; Xin, Z.; Zhou, C. Effect of inhibitor-loaded halloysite nanotubes on active corrosion protection of polybenzoxazine coatings on mild steel. Prog. Org. Coat. 2019, 134, 126–133. [Google Scholar] [CrossRef]
- Voiciuk, V.; Redeckas, K.; Martynaitis, V.; Steponavičiute, R.; Šačkus, A.; Vengris, M. Improving the photochromic properties of indolo[2,1-b][1,3]benzoxazines with phenylic substituents. J. Photochem. Photobiol. A Chem. 2014, 278, 60–68. [Google Scholar] [CrossRef]
- Wang, Y.; Niu, H.; Lu, Q.; Zhang, W.; Qiao, X.; Niu, H.; Zhang, Y.; Wang, W. From aerospace to screen: Multifunctional poly(benzoxazine)s based on different triarylamines for electrochromic, explosive detection and resistance memory devices. Spectrochim. Acta A Mol. Biomol. Spectrosc. 2020, 225, 117524. [Google Scholar] [CrossRef] [PubMed]
- Wattanathana, W.; Nonthaglin, S.; Veranitisagul, C.; Koonsaeng, N.; Laobuthee, A. Crystal structure and novel solid-state fluorescence behavior of the model benzoxazine monomer: 3,4-Dihydro-3,6-dimethyl-1,3,2H-benzoxazine. J. Mol. Struct. 2014, 1074, 118–125. [Google Scholar] [CrossRef]
- Calò, E.; Maffezzoli, A.; Mele, G.; Martina, F.; Mazzetto, S.E.; Tarzia, A.; Stifani, C. Synthesis of a novel cardanol-based benzoxazine monomer and environmentally sustainable production of polymers and bio-composites. Green Chem. 2007, 9, 754–775. [Google Scholar] [CrossRef]
- Zhang, K.; Han, M.; Liu, Y.; Froimowicz, P. Design and synthesis of bio-based high-performance trioxazine benzoxazine resin via natural renewable resources. ACS Sustain. Chem. Eng. 2019, 7, 9399–9407. [Google Scholar] [CrossRef]
- Thirukumaran, P.; Parveen, A.S.; Sarojadevi, M. Synthesis and copolymerization of fully biobased benzoxazines from renewable resources. ACS Sustain. Chem. Eng. 2014, 2, 2790–2801. [Google Scholar] [CrossRef]
- Wang, C.; Sun, J.; Liu, X.; Sudo, A.; Endo, T. Synthesis and copolymerization of fully bio-based benzoxazines from guaiacol, furfurylamine and stearylamine. Green Chem. 2012, 14, 2799–2806. [Google Scholar] [CrossRef]
- Teng, N.; Yang, S.; Dai, J.; Wang, S.; Zhao, J.; Zhu, J.; Liu, X. Making benzoxazine greener and stronger: Renewable resource, microwave irradiation, green solvent, and excellent thermal properties. ACS Sustain. Chem. Eng. 2019, 7, 8715–8723. [Google Scholar] [CrossRef]
- Kiskan, B.; Yagci, Y. Thermally curable benzoxazine monomer with a photodimerizable coumarin group. J. Polym. Sci. Part A Polym. Chem. 2007, 45, 1670–1676. [Google Scholar] [CrossRef]
- Froimowicz, P.; Arza, C.R.; Han, L.; Ishida, H. Smart, sustainable, and ecofriendly chemical design of fully bio-based thermally stable thermosets based on benzoxazine chemistry. ChemSusChem 2016, 1921–1928. [Google Scholar] [CrossRef]
- Peng, Y.; Dai, J.; Liu, Y.; Cao, L.; Zhu, J.; Liu, X. Bio-based polybenzoxazine modified melamine sponges for selective absorption of organic solvent in water. Adv. Sustain. Syst. 2019, 3, 1800126. [Google Scholar] [CrossRef]
- Liu, X.; Zhang, R.; Li, T.; Zhu, P.; Zhuang, Q. Novel fully biobased benzoxazines from rosin: Synthesis and properties. ACS Sustain. Chem. Eng. 2017, 5, 10682–10692. [Google Scholar] [CrossRef]
- Yang, R.; Han, M.; Hao, B.; Zhang, K. Biobased high-performance tri-furan functional bis-benzoxazine resin derived from renewable guaiacol, furfural and furfurylamine. Eur. Polym. J. 2020, 131, 109706. [Google Scholar] [CrossRef]
- Dai, J.; Teng, N.; Peng, Y.; Liu, Y.; Cao, L.; Zhu, J.; Liu, X. Biobased benzoxazine derived from daidzein and furfurylamine: Microwave-Assisted synthesis and thermal properties investigation. ChemSusChem 2018, 11, 3175–3183. [Google Scholar] [CrossRef] [PubMed]
- Teong, S.P.; Yi, G.; Zhang, Y. Hydroxymethylfurfural production from bioresources: Past, present and future. Green Chem. 2014, 16, 2015–2026. [Google Scholar] [CrossRef]
- Chirachanchai, S.; Laobuthee, A.; Phongtamrug, S. Self termination of ring opening reaction of p-substituted phenol-based benzoxazines: An obstructive effect via intramolecular hydrogen bond. J. Heterocycl. Chem. 2009, 46, 714–721. [Google Scholar] [CrossRef]
- Kaewvilai, A.; Rujitanapanich, S.; Wattanathana, W.; Veranitisagul, C.; Suramitr, S.; Koonsaeng, N.; Laobuthee, A. The effect of alkali and Ce(III) ions on the response properties of benzoxazine supramolecules prepared via molecular assembly. Molecules 2012, 17, 511–526. [Google Scholar] [CrossRef]
- SAINT Version 8.34A 2013; Bruker AXS: Madison, WI, USA, 2013.
- Sheldrick, G.M. SADABS; University of Göttingen: Göttingen, Germany, 1996. [Google Scholar]
- Dolomanov, O.V.; Bourhis, L.J.; Gildea, R.J.; Howard, J.A.K.; Puschmann, H. OLEX2: A complete structure solution, refinement and analysis program. J. Appl. Crystallogr. 2009, 42, 339–341. [Google Scholar] [CrossRef]
- Sheldrick, G.M. SHELXT—Integrating space group determination and structure solution. Acta Cryst. Crystallogr. A 2014, 70, C1437. [Google Scholar] [CrossRef]
- Sheldrick, G.M. Crystal structure refinement with SHELXL. Acta Crystallogr. Sect. C 2015, 71, 3–8. [Google Scholar]
- Macrae, C.F.; Edgington, P.R.; McCabe, P.; Pidcock, E.; Shields, G.P.; Taylor, R.; Towler, M.; van de Streek, J. Mercury: Visualization and analysis of crystal structures. J. Appl. Cryst. 2006, 39, 453–457. [Google Scholar] [CrossRef]
- Frisch, M.J.; Trucks, G.W.; Schlegel, H.B.; Scuseria, G.E.; Robb, M.A.; Cheeseman, J.R.; Scalmani, G.; Barone, V.; Mennucci, B.; Petersson, G.A.; et al. Gaussian 09, Revision B. 01; Gaussian Inc.: Wallingford, CT, USA, 2010. [Google Scholar]
- Becke, A.D. Density-Functional thermochemistry. III. The role of exact exchange. J. Chem. Phys. 1993, 98, 5648–5652. [Google Scholar] [CrossRef]
- Raghavachari, K. Perspective on “Density functional thermochemistry. III. The role of exact exchange”. Theor. Chem. Acc. 2000, 103, 361–363. [Google Scholar] [CrossRef]
- Miehlich, B.; Savin, A.; Stoll, H.; Preuss, H. Results obtained with the correlation energy density functionals of becke and Lee, Yang and Parr. Chem. Phys. Lett. 1989, 157, 200–206. [Google Scholar] [CrossRef]
- Lee, C.; Yang, W.; Parr, R.G. Development of the Colle-Salvetti correlation-energy formula into a functional of the electron density. Phys. Rev. B 1988, 37, 785–789. [Google Scholar] [CrossRef] [PubMed]
- Krishnan, R.; Binkley, J.S.; Seeger, R.; Pople, J.A. Self-consistent molecular orbital methods. XX. A basis set for correlated wave functions. J. Chem. Phys. 1980, 72, 650–654. [Google Scholar] [CrossRef]
- Clark, T.; Chandrasekhar, J.; Spitznagel, G.W.; Schleyer, P.V.R. Efficient diffuse function-augmented basis sets for anion calculations. III. The 3-21+G basis set for first-row elements, Li–F. J. Comp. Chem. 1983, 4, 294–301. [Google Scholar] [CrossRef]
- Cossi, M.; Barone, V. Analytical second derivatives of the free energy in solution by polarizable continuum models. J. Chem. Phys. 1998, 109, 6246–6254. [Google Scholar] [CrossRef]
- Rivera, A.; Camacho, J.; Ríos-Motta, J.; Kučeraková, M.; Dušek, M. 3,3′-(Ethane-1,2-diyl)bis(6-methoxy-3,4-dihydro-2H-1,3-benzoxazine) monohydrate. Acta Cryst. 2012, E68, o2734. [Google Scholar] [CrossRef] [PubMed]
- Arendt-Pindel, A.; Marszałek-Harych, A.; Gȩbarowska, E.; Gȩbarowski, T.; Jȩdrzkiewicz, D.; Plaskowska, E.; Zalewski, D.; Gulia, N.; Szafert, S.ł.; Ejfler, J. Design and functionalization of bioactive benzoxazines. An unexpected ortho-substitution effect. New J. Chem. 2019, 43, 12042–12053. [Google Scholar] [CrossRef]
- Cremer, D.; Pople, J.A. A general definition of ring puckering coordinates. J. Am. Chem. Soc. 1975, 97, 1354–1358. [Google Scholar] [CrossRef]
- Liu, X.; Gu, Y. Effects of molecular structure parameters on ring-opening reaction of benzoxazines. Sci. China B Chem. 2001, 44, 552–560. [Google Scholar] [CrossRef]
- Chen, X.-L.; Wu, M.-H. 3-Benzyl-6-methyl-3,4-dihydro-2H-1,3-benzoxazine. Acta Crystallogr. Sect. E 2007, 63, o3684. [Google Scholar] [CrossRef]
- Andrews, P.R.; Cody, V.; Gulbis, J.M.; Iskander, M.N.; Jeffrey, A.I.; Mackay, M.F.; Di paola, C.; Sadek, M. Structure and conformations of GABA-transaminase inhibitors. II transition state analogues. Aust. J. Chem. 1985, 39, 1575–1585. [Google Scholar] [CrossRef]
- Zhu, J.; Ren, Z.-D.; Liu, Y.; Zhao, L.; Wu, Y. 6-Allyl-8-methoxy-3-phenyl-3,4-dihydro-2H-benzo[e][1,3]oxazine. Acta Crystallogr. Sect. E 2011, 67, o2056. [Google Scholar] [CrossRef] [PubMed]
- Ranjith, S.; Thenmozhi, S.; Manikannan, R.; Muthusubramanian, S.; Subbiahpandi, A. 3,3′-(p-phenyl-ene)bis-(3,4-dihydro-2H-1,3-benzoxazine). Acta Crystallogr. Sect. E 2009, 65, o581. [Google Scholar] [CrossRef]
- Huerta, R.; Toscano, R.A.; Castillo, I. 1,4-Bis(8-tert-butyl-6-methyl-4H-1,3-benzoxazin-3-yl)benzene. Acta Crystallogr. Sect. E 2006, 62, o2938–o2940. [Google Scholar] [CrossRef]
- Etter, M.C.; Macdonald, J.C.; Bernstein, J. Graph-Set analysis of hydrogen-bond patterns in organic crystals. Acta Crystallogr. Sect. B 1990, 46, 256–262. [Google Scholar] [CrossRef]
- Bernstein, J.; Shimoni, L.; Davis, R.E.; Chang, N.-L. Graph set analysis of hydrogen-bond patterns in organic crystals. Recent developments and applications. Acta Crystallogr. Sect. A 1993, 49, c164. [Google Scholar] [CrossRef]
- Grell, J.; Bernstein, J.; Tinhofer, G. Graph-Set analysis of hydrogen-bond patterns: Some mathematical concepts. Acta Crystallogr. Sect. B 1999, 55, 1030–1043. [Google Scholar] [CrossRef]
- Hirshfeld, F.L. Bonded-atom fragments for describing molecular charge densities. Theor. Chim. Acta 1977, 44, 129–138. [Google Scholar] [CrossRef]
- Spackman, M.A.; Jayatilaka, D. Hirshfeld surface analysis. CrystEngComm 2009, 11, 19–32. [Google Scholar] [CrossRef]
- Turner, M.J.; McKinnon, J.J.; Wolff, S.K.; Grimwood, D.J.; Spackman, P.R.; Jayatilaka, D.; Spackman, M.A. Crystal Explorer 17; The University of Western Australia: Crawley, Australia, 2017. [Google Scholar]
- McKinnon, J.J.; Jayatilaka, D.; Spackman, M.A. Towards quantitative analysis of intermolecular interactions with Hirshfeld surfaces. Chem. Commun. 2007, 3814–3816. [Google Scholar] [CrossRef]
- Maliszewsk Paczkowski, I.; Lange Coelho, F.; Franciscato Campo, L. 2,1,3-Benzothiadiazole dyes conjugated with benzothiazole and benzoxazole: Synthesis, solvatochromism and solid-state properties. J. Mol. Liq. 2020, 319, 114277. [Google Scholar] [CrossRef]
- Affeldt, R.F.; De Amorim Borges, A.C.; Russowsky, D.; Severo Rodembusch, F. Synthesis and fluorescence properties of benzoxazole-1,4-dihydropyridine dyads achieved by a multicomponent reaction. New J. Chem. 2014, 38, 4607–4614. [Google Scholar] [CrossRef]
- Chen, W.-H.; Pang, Y. Excited-State intramolecular proton transfer in 2-(2′,6′-dihydroxyphenyl)benzoxazole: Effect of dual hydrogen bonding on the optical properties. Tetrahedron Lett. 2010, 51, 1914–1918. [Google Scholar] [CrossRef]
- Adamo, C.; Jacquemin, D. The calculations of excited-state properties with Time-Dependent Density Functional Theory. Chem. Soc. Rev. 2013, 42, 845–856. [Google Scholar] [CrossRef] [PubMed]








| Crystallographic Data and Structural Refinement Details | Benzoxazine (I) |
|---|---|
| CCDC number | 2015006 |
| Empirical formula | C14H15NO2 |
| Formula weight | 229.27 |
| Temperature/K | 100.0 |
| Crystal system | orthorhombic |
| Space group | P212121 |
| a/Å | 5.4704(3) |
| b/Å | 9.6887(6) |
| c/Å | 22.2293(16) |
| α/° | 90 |
| β/° | 90 |
| γ/° | 90 |
| Volume/Å3 | 1178.18(13) |
| Z | 4 |
| ρcalcg/cm3 | 1.293 |
| μ/mm−1 | 0.087 |
| F(000) | 488.0 |
| Crystal size/mm3 | 0.38 × 0.06 × 0.06 |
| Radiation | Mo Kα (λ = 0.71073) |
| 2Θ range for data collection/° | 5.578 to 56.518 |
| Index ranges | −7 ≤ h ≤ 4, −12 ≤ k ≤ 7, −28 ≤ l ≤ 29 |
| Reflections collected | 6314 |
| Independent reflections | 2898 [Rint = 0.0408, Rsigma = 0.0698] |
| Data/restraints/parameters | 2898/0/155 |
| Goodness-of-fit on F2 | 1.053 |
| Final R indexes [I > = 2σ (I)] | R1 = 0.0492, wR2 = 0.0970 |
| Final R indexes [all data] | R1 = 0.0710, wR2 = 0.1073 |
| Largest diff. peak/hole/e Å−3 | 0.25/−0.23 |
| D–H···A | d(D–H)/Å | d(H9A)/Å | d(D···A)/Å | D–H···A/° |
|---|---|---|---|---|
| C12–H12···N1 i | 0.95 | 2.56 | 3.505(3) | 172 |
| C13–H13···O1 ii | 0.95 | 2.62 | 3.430 | 143 |
| C8–H8B···Cg i | 0.99 | 2.61 | 3.574 | 165 |
| C1–H1A···Cg i | 0.98 | 2.95 | 3.931 | 175 |
| Solvent | Photophysical Properties | ||||
|---|---|---|---|---|---|
| λabs a (nm) | λem b (nm) | ∆Ʋ c (nm) | Φf d | Ε e (M−1 cm−1) | |
| Dioxane | 283 | 309 | 26 | 0.02 | 2.9 × 103 |
| Chloroform | 284 | NF | NF | NF | 2.1 × 103 |
| EtOAc | 282 | 306 | 24 | 0.03 | 1.9 × 103 |
| THF | 291 | 313 | 22 | 0.03 | 1.9 × 103 |
| DCM | 283 | 311 | 28 | 0.03 | 2.2 × 103 |
| DMF | 283 | 297 | 14 | 0.24 | 2.5 × 103 |
| ACN | 282 | 309 | 27 | 0.02 | 2.3 × 103 |
| EtOH | 282 | 308 | 26 | 0.02 | 2.1 × 103 |
| MeOH | 282 | 308 | 26 | 0.02 | 2.3 × 103 |
| Water | 282 | 309 | 27 | 0.01 | 2.5 × 103 |
| Solvent | ε | Absorption | Emission | ||||
|---|---|---|---|---|---|---|---|
| Energy nm (eV) | ƒ a | Electronic Transition b | Energy nm (eV) | ƒ a | Electronic Transition b | ||
| Dioxane | 2.210 | 262 (4.73) | 0.0637 | S0→S1 (H→L) | 290 (4.21) | 0.1013 | S1→S0 (L→H) |
| Chloroform | 4.711 | 262 (4.74) | 0.0648 | S0→S1 (H→L) | 291 (4.26) | 0.1246 | S1→S0 (L→H) |
| EtOAc | 5.987 | 261 (4.74) | 0.0621 | S0→S1 (H→L) | 290 (4.27) | 0.1304 | S1→S0 (L→H) |
| THF | 7.426 | 261 (4.74) | 0.0633 | S0→S1 (H→L) | 291 (4.26) | 0.1349 | S1→S0 (L→H) |
| DCM | 8.930 | 261 (4.74) | 0.0641 | S0→S1 (H→L) | 291 (4.26) | 0.1382 | S1→S0 (L→H) |
| DMF | 37.219 | 261 (4.75) | 0.0643 | S0→S1 (H→L) | 291 (4.26) | 0.1525 | S1→S0 (L→H) |
| ACN | 35.688 | 261 (4.76) | 0.0610 | S0→S1 (H→L) | 291 (4.27) | 0.1523 | S1→S0 (L→H) |
| EtOH | 24.852 | 261 (4.75) | 0.0616 | S0→S1 (H→L) | 291 (4.27) | 0.1501 | S1→S0 (L→H) |
| MeOH | 32.613 | 261 (4.76) | 0.0603 | S0→S1 (H→L) | 290 (4.27) | 0.1518 | S1→S0 (L→H) |
| Water | 78.355 | 261 (4.76) | 0.0605 | S0→S1 (H→L) | 291 (4.27) | 0.1552 | S1→S0 (L→H) |
Publisher’s Note: MDPI stays neutral with regard to jurisdictional claims in published maps and institutional affiliations. |
© 2021 by the authors. Licensee MDPI, Basel, Switzerland. This article is an open access article distributed under the terms and conditions of the Creative Commons Attribution (CC BY) license (https://creativecommons.org/licenses/by/4.0/).
Share and Cite
Wattanathana, W.; Hanlumyuang, Y.; Wannapaiboon, S.; Chansaenpak, K.; Pinyou, P.; Nanok, T.; Kanjanaboos, P. Novel Dihydro-1,3,2H-benzoxazine Derived from Furfurylamine: Crystal Structure, Hirshfeld Surface Analysis, Photophysical Property, and Computational Study. Crystals 2021, 11, 568. https://doi.org/10.3390/cryst11050568
Wattanathana W, Hanlumyuang Y, Wannapaiboon S, Chansaenpak K, Pinyou P, Nanok T, Kanjanaboos P. Novel Dihydro-1,3,2H-benzoxazine Derived from Furfurylamine: Crystal Structure, Hirshfeld Surface Analysis, Photophysical Property, and Computational Study. Crystals. 2021; 11(5):568. https://doi.org/10.3390/cryst11050568
Chicago/Turabian StyleWattanathana, Worawat, Yuranan Hanlumyuang, Suttipong Wannapaiboon, Kantapat Chansaenpak, Piyanut Pinyou, Tanin Nanok, and Pongsakorn Kanjanaboos. 2021. "Novel Dihydro-1,3,2H-benzoxazine Derived from Furfurylamine: Crystal Structure, Hirshfeld Surface Analysis, Photophysical Property, and Computational Study" Crystals 11, no. 5: 568. https://doi.org/10.3390/cryst11050568
APA StyleWattanathana, W., Hanlumyuang, Y., Wannapaiboon, S., Chansaenpak, K., Pinyou, P., Nanok, T., & Kanjanaboos, P. (2021). Novel Dihydro-1,3,2H-benzoxazine Derived from Furfurylamine: Crystal Structure, Hirshfeld Surface Analysis, Photophysical Property, and Computational Study. Crystals, 11(5), 568. https://doi.org/10.3390/cryst11050568

